Effect of Heterogeneity in Initial Geographic Distribution on Opinions’ Competitiveness
Abstract
:1. Introduction
2. Model and Details of Numerical Simulations
2.1. Spatial Distributions of Competing Opinions
2.2. Details of Monte Carlo Simulations
3. Results and Discussion
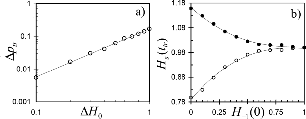
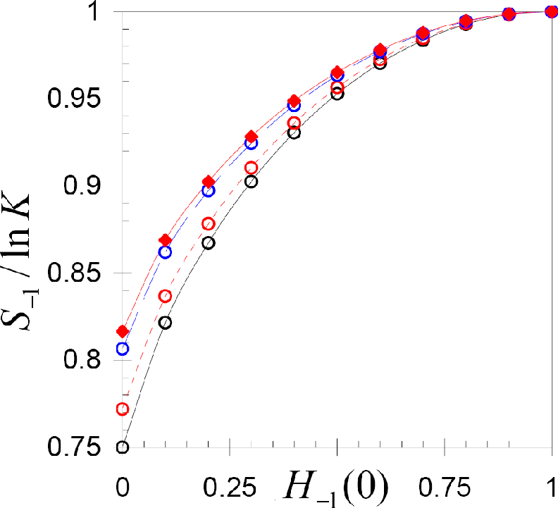
- What happens with the three-state regime during the majority rule system evolution? How does the number of update steps needed to disappear all the neutral state (ttr) depend on the lattice size and the initial distributions of opposite spins? Does the system have a non-zero magnetization at the transition from the three- to two-state regime? If yes, how does the magnetization depend on the initial heterogeneity in the spatial distributions of the opposite spins? How are the opposite spins distributed among cells once the last neutral state has disappeared?
- How does the heterogeneous system to consensus in the two-state regime? How does the heterogeneity in the initial spatial distributions affect the time to consensus TC in the different scenarios of evolution?
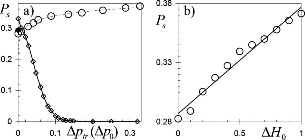
- How does the heterogeneity in the initial spatial distribution of one of two rival opinions affect its own probability to win the competition?
4. Conclusions
Acknowledgments
Author Contributions
Conflicts of Interest
References
- Galam, S. Sociophysics: A Physicist’s Modeling of Psycho-Political Phenomena; Springer: New York, NY, USA, 2012. [Google Scholar]
- Galam, S. Application of statistical physics to politics. Physica A 1999, 274, 132–139. [Google Scholar]
- Castellano, C.; Fortunato, S.; Loreto, V. Statistical physics of social dynamics. Rev. Mod. Phys. 2009, 81, 591–646. [Google Scholar]
- Vicsek, T.; Zafeiris, A. Collective motion. Phys. Rep. 2012, 517, 71–140. [Google Scholar]
- Xiong, X.; Liu, Y.; Zhu, J. Competition of Dynamic Self-Confidence and Inhomogeneous Individual Influence in Voter Models. Entropy 2013, 15, 5292–5304. [Google Scholar]
- Li, P.-P.; Zheng, D.-F.; Hui, P.M. Dynamics of opinion formation in a small-world network. Phys. Rev. E 2006, 73, 056128. [Google Scholar]
- Lambiotte, R.; Ausloos, M.; Hołyst, J.A. Majority model on a network with communities. Phys. Rev. E 2007, 75. [Google Scholar] [CrossRef]
- Crokidakis, N.; Forgerini, F.L. Consequence of reputation in the Sznajd consensus model. Phys. Lett. A 2010, 374, 3380–3383. [Google Scholar]
- Fernández-Gracia, J.; Castelló, X.; Eguíluz, V.M.; San Miguel, M. Dynamics of link states in complex networks: The case of a majority rule. Phys. Rev. E 2012, 86, 066113. [Google Scholar]
- Bagnoli, F.; Rechtman, R. Topological bifurcations in a model society of reasonable contrarians. Phys. Rev. E 2013, 88, 062914. [Google Scholar]
- Galam, S. Local dynamics vs. social mechanisms: A unifying frame. Europhys. Lett. 2005, 70, 705–711. [Google Scholar]
- De la Lama, M.S.; Szendro, I.G.; Iglesias, J.R.; Wio, H.S. Van Kampen’s expansion approach in an opinion formation model. Eur. Phys. J. B 2006, 51, 435–442. [Google Scholar]
- Biswas, S.; Chatterjee, A.; Senc, P. Disorder induced phase transition in kinetic models of opinion dynamics. Physica A 2012, 391, 3257–3265. [Google Scholar]
- Crokidakis, N.; Anteneodo, C. Role of conviction in nonequilibrium models of opinion formation. Phys. Rev. E 2012, 86, 061127. [Google Scholar]
- Crokidakis, N. Role of noise and agents’ convictions on opinion spreading in a three-state voter-like model. J. Stat. Mech. 2013, 2013. [Google Scholar] [CrossRef]
- Balankin, A.S.; Martínez, M.Á.; Trejo, A. Effect of initial concentration and spatial heterogeneity of active agent distribution on opinion dynamics. Physica A 2011, 390, 3876–3887. [Google Scholar]
- Galam, S. Majority rule, hierarchical structures and democratic totalitarism: A statistical approach. J. Math. Psychol. 1986, 30, 426–434. [Google Scholar]
- Krapivsky, P.L.; Redner, S. Dynamics of majority rule in two-state interacting spin systems. Phys. Rev. Lett. 2003, 90, 238701. [Google Scholar]
- Mobilia, M.; Redner, S. Majority versus minority dynamics: Phase transition in an interacting two-state spin system. Phys. Rev. E 2003, 68, 046106. [Google Scholar]
- Chen, P.; Redner, S. Majority rule dynamics in finite dimensions. Phys. Rev. E 2005, 71, 036101. [Google Scholar]
- Barthélemy, M. Spatial networks. Phys. Rep. 2011, 499, 1–101. [Google Scholar]
- Spirin, V.; Krapivsky, P.L.; Redner, S. Fate of zero-temperature Ising ferromagnets. Phys. Rev. E 2001, 63, 036118. [Google Scholar]
- Spirin, V.; Krapivsky, P.L.; Redner, S. Freezing in Ising ferromagnets. Phys. Rev. E 2002, 65, 016119. [Google Scholar]
- Gudgin, G.; Taylor, P.J. Electoral Bias and the Distribution of Party Voters. Trans. Inst. Br. Geogr. 1974, 63, 53–74. [Google Scholar]
- Martínez-Cruz, M.A.; Balankin, A.S.; Morales, O.; Samayoa, D.; García, E.I. Análisis fractal de elecciones federales 1991–2003. Cientifíca. 2006, 10, 175–183. [Google Scholar]
- Nowak, A.; Vallacher, R.R. Toward Computational Social Psychology: Cellular Automata and Neutral Network Models of Interpersonal Dynamics. In Connectionist Models of Social Reasoning and Social Behavior, 2nd ed; Reed, S.J., Miller, L.S., Eds.; Lawrence Erlboum Accociation: Hillsdale, NJ, USA, 2013; pp. 277–311. [Google Scholar]






© 2015 by the authors; licensee MDPI, Basel, Switzerland This article is an open access article distributed under the terms and conditions of the Creative Commons Attribution license (http://creativecommons.org/licenses/by/4.0/).
Share and Cite
Balankin, A.S.; Martínez Cruz, M.Á.; Gayosso Martínez, F.; Martínez-González, C.L.; Morales Ruiz, L.; Patiño Ortiz, J. Effect of Heterogeneity in Initial Geographic Distribution on Opinions’ Competitiveness. Entropy 2015, 17, 3160-3171. https://doi.org/10.3390/e17053160
Balankin AS, Martínez Cruz MÁ, Gayosso Martínez F, Martínez-González CL, Morales Ruiz L, Patiño Ortiz J. Effect of Heterogeneity in Initial Geographic Distribution on Opinions’ Competitiveness. Entropy. 2015; 17(5):3160-3171. https://doi.org/10.3390/e17053160
Chicago/Turabian StyleBalankin, Alexander S., Miguel Ángel Martínez Cruz, Felipe Gayosso Martínez, Claudia L. Martínez-González, Leobardo Morales Ruiz, and Julián Patiño Ortiz. 2015. "Effect of Heterogeneity in Initial Geographic Distribution on Opinions’ Competitiveness" Entropy 17, no. 5: 3160-3171. https://doi.org/10.3390/e17053160
APA StyleBalankin, A. S., Martínez Cruz, M. Á., Gayosso Martínez, F., Martínez-González, C. L., Morales Ruiz, L., & Patiño Ortiz, J. (2015). Effect of Heterogeneity in Initial Geographic Distribution on Opinions’ Competitiveness. Entropy, 17(5), 3160-3171. https://doi.org/10.3390/e17053160
