You are currently viewing a new version of our website. To view the old version click .
  • Article
  • Open Access

8 May 2021

Strategic Analysis of the Pricing Mechanisms in an Online Book Supply Chain in the Presence of Reference Price Effects

and
Business School, Nankai University, Tianjin 300071, China
*
Author to whom correspondence should be addressed.
This article belongs to the Section Data Science, AI, and e-Commerce Analytics

Abstract

(1) Background: A binding recommended retail price has been used in several markets in a variety of forms, and the book market is a typical example. Publishers sell books to online retailers at a unit wholesale discount computed on the cover price. Retailers are then allowed to set the retail price. Therefore, if consumers regard the cover prices as reference points, then they may be more likely to purchase books if retail prices are lower than the cover prices. (2) Methods: We develop a Stackelberg game model for a book supply chain to investigates how reference price effects affect retailers and publisher’s pricing strategies. (3) Results: The results show that retailers will sell printed books at a discount only when the publisher’s wholesale discount rate is not high. Further, as the intensity of the reference price effects increases, (a) the lower boundary of the wholesale discount rate rises, (b) publishers’ profits increase and (c) retailers’ profits increase relative to the level of consumers’ e-books acceptance. (4) Conclusions: This result is related to the fact that the online retailer, such as Amazon and JD.com, like to invoke reference price effects in consumers’ minds by highlighting the printed book’s discount rate.

1. Introduction

In some industries, manufacturers recommend a retail price to their retailers. This recommended retail price strategy has been used in markets ranging from grocery products to electronics. Most manufacturers provide nonbinding recommended retail prices; however, some forms of recommended retail prices are binding, such as list prices and maximum resale price maintenance. Binding recommended retail prices are common in such markets as books, medicines and magazines. When a manufacturer sells goods with binding recommended retail prices, retailers receive a unit discount based on the recommended retail price.
A typical example is the book industry, where a publisher often sets a cover price for books first Cheng, et al. [1]; this price may depend more on genre or category than on production costs [2]. Publishers always sell their printed books to retailers or distributors at a fixed discount rate (the publisher’s wholesale discount) computed on the cover price [3]. Retailers can then set the retail price for printed books, which may not exceed the cover price. Thus, retailers face a choice of two strategies: comply with the cover price or undercut. Furthermore, with the dramatic development of online retailing, the books’ sale from online book retailers, including Amazon, Barnes & Noble, accounts for 40 percent of global book sales [4]. Furthermore, this percentage is as higher as 80 percent in China book market. However, due to online retailing’s low operation cost, the online book retailers often competed with each other by selling the books at a considerable discount. Thus, when consumers browse book listings online, they are aware of two prices: the cover price (list price) listed on the books and the price offered by the retailer.
Prior research verifies that consumers are unlikely to pay a retail price higher than the recommendation when the recommended price acts as a reference price [5,6]. Other studies point out that a retail price lower than the recommendation may stimulate consumption [7]. Empirical evidence also indicates that the recommended price may influence consumer’s preferences [8,9]. It is worth to note that Tom Corson-Knowles, the founder of TCK publishing, points out that a discount of 50% or more on the prices of their publications on Amazon usually brings a two to three times sales increase [10]. Statista.com’s surveys also show that about 41% of consumers show interest in discounts for books in Germany [11] and 55% of consumers are swayed by a discount price when purchasing a book in Poland [12]. In general, consumers may consider the cover price (recommended price) as a reference point and are more likely to buy books offering bigger sales discounts, i.e., larger differences between the cover price and the retail price.
Nevertheless, with reference point effects, how the publisher sets the cover price (recommended price) and whether the retailer will always lower the retail prices are not clear. On the one hand, a high cover price may induce the retailer to set an even higher retail price, negatively affecting sales. On the other hand, a lower cover price may squeeze a publisher’s revenue. Several studies about recommended prices show that a recommended price does not always lower the retail prices with reference price effects [5,13]. But none of them investigate how the reference price effects influence the recommended price. Moreover, previous studies mainly focus on the non-binding recommended prices scenario where consumers might be more sensitive to loss than gain. When it comes to the books market, the cover price (recommended price) of the printed book is binding. How the reference price effects affect price in a binding recommended scenario is value to investigate.
The combined effects of the reference price effects and a bonding recommended price in the book supply chain, coexisting the printed book and e-books, make it more complicated to predict the publisher and retailer strategies. Thereby, how will the publisher set the cover price for printed books? Under what conditions should the retailer comply with or undercut the cover price? If publishers also publish an electronic version of their printed books, should they release the printed and electronic versions of the books simultaneously, and under what circumstances should the publisher release only the printed books? How will reference point effects influence the decision of the publisher, the retailer and consumers?
To capture the aforementioned issues, we establish a game model that incorporates the reference price effects in a monopoly book supply chain consists of a publisher and an online retailer. Our study aims to theoretically investigate the interaction between publisher and online retailer, and how the publisher decision on the cover price of print influences the selling discount and further influence consumer’s behavior, thus we establish a Stackelberg game and assume the publisher to be the leader. Moreover, we model the printed book and its e-version as vertically differentiated goods since consumers value books’ e-version less than the printed version [14,15]. In a publication’s newly released stage, the publisher decides whether to release both versions of the book simultaneously or only a printed edition. For printed book publishing, the publisher decides the cover price and sells it to a retailer with a constant wholesale discount. Then, the online retailer should decide to sell the printed book to comply with the cover price or with a discount. Some consumers may consider the cover price of a printed book as the reference price. Therefore, the publisher and retailer must react to the fact that demand is affected by the reference price effects.
The rest of this paper is organized as follows. Section 2 provides a brief review of related literature. Section 3 describes the main assumptions and notations of our model. In Section 4, we analyze publishers’ and retailers’ optimal pricing strategies and investigate how the reference price effects affect them and profits. Section 5 extends the model by considering consumers’ reference point effects for e-books. Section 6 concludes the paper.

2. Literature Review

There are three research streams related to this paper: books market, reference price effects and recommended retail price. We briefly review the relevant literature in this section.
Studies in the books market have focused on the presence of e-books. Previous qualitative studies on e-book have investigated topics such as e-book conception [16], related technology issues [17] and predicting the e-book market’s future [18]. Other research on e-books mainly focused on whether introducing a digital version of books negatively affects printed books’ sales. Bounie, et al. [19] analyze the bestsellers and find that e-book sales may help or hurt the total sales of e-books and p-books. Chen, et al. [20] utilize a natural experiment to further examine how e-books affect printed books’ sales. They found that there is no strong cannibalization between printed books and e-books in the short term. Theoretical studies of the books market analyze the publisher’s strategy under multi-channel models with price competition in the book supply chain, which is closely related to our study. Specifically, Hua, et al. [3] first investigate the impact of e-books on the publishers’ distribution channel choices. Li, et al. [21] and Li, et al. [22] examine the publisher’s pricing and launch strategies and discover the publisher’s publishing sequence is related to the market potential. Chen and Tang [23] formulate a model to analyze the self-publishing model. Several studies explore the pricing strategies of e-books that compared the agency pricing model and wholesale pricing model of e-books [2,24,25].
The above studies describe the pricing model of printed books as general products, and none of them consider the effect of printed books’ cover price. While, Hua, et al. [3] point out that the publisher cannot determine the wholesale price of books due to the keen competition in books market. Lu, et al. [2] and Cheng, et al. [1] capture the unique characteristics of books and point out that books’ price mechanism depends more on book genre or category than on product costs. Works closely related to this paper are Tan and Carrillo [25] and Lu, et al. [2], who adopt the Stackelberg model to explore how the publisher’s distribution channel choice for e-books influences the retailer’s strategies and retail prices. Similarly, this study investigates the interaction between the publisher and the retailer. Thus, we build a publisher-leader Stackelberg model to theoretically analyze the publisher’s pricing and distribution strategies and retailer’s reaction, and how the reference price effects influence their strategies. Our work is differentiated from the aforementioned studies by conducting a vertical differentiated book supply chain and capturing the characteristics pricing feature of book markets.
A reference price reflects consumers’ price expectations, which may arise in different scenarios and may be influenced by time or context [26]. In some studies, reference prices refer to the products’ historical prices [27,28]; Other studies argue that reference price is constructed from prices of similar products at the point of purchase [29]. Preview study related to reference price effects considers the impact of reference prices on consumer decisions [30,31,32] and strategy behavior [33,34], firms’ dynamic pricing strategic decisions [35,36,37], revenue management [38] and finite memory [39].
Our study is closely related to such a stream of research on promotion strategy. Greenleaf [40] develops a single-period model to describe how studies reference price effects influence promotion profits. He finds that promotion could increase profit only when the influence of gain outweighed that of loss. Fibich, et al. [41] examine similar questions in an asymmetric reference price scenario. The above studies focus on retailer promotion and ignore the interaction between the manufacturer and the retailer. Lin [42] develops a supply chain consisting of one manufacturer and one retailer to investigate the effect of price promotion in the presence of reference price effects. Their results indicate that the reference price effects may mitigate double marginalization effects and improve channel efficiency. Malekian and Rasti-Barzoki [7] consider how promotion pricing affects supply chain member’s profits with reference price effects. Zhang, et al. [43] consider a supply chain in a bilateral monopoly setting with the reference price effects. In their study, the reference price is an exponentially weighted average of past prices. Our study extends the previous work by including characteristics specific to the book industry and capturing the interaction between printed and e-version of books. Furthermore, in our study, a binding recommended retail price acts as the reference price, which is endogenously given by the manufacture.
Our study is also related to the literature of recommended retail prices (suggested retail price). Plenty of literature analyzes whether a recommended retail price decreases the retail price and influences consumer demand. Bruttel [8] provides experimental evidence to show that the demand is larger for higher recommended retail prices, while it drastically drops for prices above the recommended. Buehler and Gartner [44] provide theoretical rationale to show that price suggestions will always be undercut if they affect demand directly.
The most associated line of study with recommended retail price focus on the effect of reference price effects. Empirical study verifies that the recommended price may influence preferences and serve as a reference point [9]. Based on this assumption, Puppe and Rosenkranz [45] propose a model in which consumers experience a loss when purchasing at a price higher than recommended retail price. Fabrizi, et al. [5] extent their model by adding downstream competition. Both researchers demonstrate that the recommended retail price will either be undercut or complied with by the retailer but never surpassed. However, all of the above literature does not investigate the impact of binding recommended price with reference price study. Empirical data shows that a recommended price does not always lower prices when it acts as a binding price ceiling [13]. Our study is different from the above study: first, we theoretically analyze how a binding recommended retail price affects the retail price with reference price effects; Second, we assume the recommended retail price (cover price) is endogenously given by the manufacture.
In summary, our paper’s key aspects, which are books supply chain with the coexistence of printed and e-book, reference price effects and binding recommended retail prices, have not been thoroughly explored. Our study develops an analytical model to examine how the reference price effects influence publishers’ and retailers’ pricing strategies and how the reference price affects the interaction between the publisher (supplier) and the retailer. Our study explores the research scenario of reference price effects, and our model can also be adapted to study the various content products such as music, software, movies and video games.

3. Model Setup

We consider a book supply chain that consists of one publisher and one printed book online retailer. The publisher makes release decisions on a newly released book in one period. The publisher should first decide whether to publish both the printed version and the e-version of a book simultaneously, or only the printed version. Consistent with Hua, et al. [3] and Li, et al. [21], we assume the publisher sells the printed book through a book retailer, and sells the e-version directly to consumers. The publisher holds pricing power in the form of the cover price of the printed book. This cover price can also be understood as a binding recommendation price. Thus, the retailer faces a choice of two pricing strategies: sell the printed book at a discount retail price (i.e., lower than the cover price), or sell it in compliance with the cover price. A publisher supplies the book to a retailer at a fixed wholesale discount rate—that is, at a fixed ratio to the cover price. This wholesale discount rate is often decided based on industry standards or on requirements by wholesalers and retailers [46,47]. The discount rate is about 50% in the US printed book market, and between 40% and 65% in Chinese book markets. Thus, we assume this rate to be industry specific and exogenous.

3.1. Consumer

Consumers are heterogeneous in their willingness to pay V, which is uniformly distributed over [0, 1] and the total market size is normalized to one. A Statista.com survey shows that 56% of US consumers agree with the statement that e-books should be cheaper than printed versions [48] and that consumers always value the e-version of books less than the printed version [14,15]. Thus, consistent with Tan and Carrillo [25] and Cheng, et al. [1], we assume that e-books are vertically differentiated from printed books. We then introduce a variable θ   ( 0 < θ < 1 ) to reflect a consumer’s differential preference, which also refers to consumers’ degree of acceptance of electronic books. Due to reference price effects, the total utility that consumers obtain consists of two parts: acquisition utility and transaction utility [49]. A consumer receives acquisition utility V P 1 from a printed book purchase and θ V P 2 from the corresponding e-book purchase. P 1 and P 2 represent the retail prices of print books and e-books, respectively. The transaction utility depends on the comparison between the real retail price and the reference price. Given the cover price of the printed books, consumers’ transaction utility is μ ( a P 1 ) + μ ( P 1 a ) + . The first term represents the perceived utility gain if a > P 1 , and the second term represents the perceived utility loss if P 1 > a . However, in our study, the cover price serves as a binding recommendation price, which means the retail price P 1 never exceeds the cover price ( P 1 a ) . Thus, the second term always equals zero. In short, consumers receive transaction utility purchase μ ( a P 1 ) from a printed book purchase. That is, consumer’s utility functions for purchasing printed books and e-books are:
U 1 = V P 1 + μ ( a P 1 ) ,
U 2 = θ V P 2 .
These are in line with the work of Fabrizi, et al. [5] and Amaldoss and He [50]; the reference price effects provide additional utility to consumers since the cover price, which acts as a binding recommendation price, is not less than the retail price. The parameter μ represents the degree of consumers’ concern over the discount and is a measure of consumers’ sensitivity to the difference between the retail price and the cover price of the printed book. When the retailer sells printed books at the cover price, there is no additional utility. We only consider consumers’ reference price effects for printed books in our main model, since the aim of our study is to examine how the effects influence the pricing strategy of printed books. In Section 5, we extend our model by considering the consumers’ reference price effects for e-books.
To analyze the effects of reference price effects on publishers’ strategy, we consider the case without reference price effects to be a benchmark. Thus, consumers only obtain acquisition utility from a purchase; the utility functions for purchasing printed books and e-books in this case are:
U 1 B = V P 1 ,
U 2 B = θ V P 2 .

3.2. Profit Function

Consumers can choose to purchase either a printed version or an e-version of the book. Figure 1 illustrates the market segmentation. We denote v 1 the marginal consumer who is indifferent between purchasing a printed book and an e-book, v 2 the marginal consumer indifferent between a printed book and nothing and v 3 the marginal consumer indifferent between an e-book and nothing. By solving U 1 = U 2 ,   U 1 = 0 and U 2 = 0 , we have v 1 = P 1 + μ P 1 a μ P 2 1 θ , v 2 = P 1 + μ P 1 a μ and v 3 = P 2 θ . Thus, the demand functions of the two channels are as follows:
D 1 = { 1 P 1 + μ P 1 a μ P 2 1 θ , P 1 a θ μ + P 2 θ + θ μ 1 P 1 μ P 1 + a μ , P 1 < a θ μ + P 2 θ + θ μ
D 2 = { P 1 + μ P 1 a μ P 2 1 θ P 2 θ , P 1 a θ μ + P 2 θ + θ μ 0 , P 1 < a θ μ + P 2 θ + θ μ .
Figure 1. Market Segmentation when P 1 a θ μ + P 2 θ + θ μ
Similarly, we depict the market segmentation without the reference price effects in Figure 2. By solving U 1 B = U 2 B ,   U 1 B = 0 and U 2 B = 0 , we have v 1 b = P 1 P 2 1 θ ,   v 2 b = P 1 and v 3 b = P 2 θ . Thus, the demand functions of the two channels are as follows:
D 1 B = { 1 P 1 P 2 1 θ , P 1 P 2 θ 1 P 1 , P 1 < P 2 θ
D 2 B = { P 1 P 2 1 θ P 2 θ , P 1 P 2 θ 0 , P 1 < P 2 θ .
Figure 2. Market Segmentation of the Benchmark Model when P 1 P 2 θ
The retailer profit function is given as:
Π R = ( P 1 a d ) D 1 .
The publisher profit function is given as:
Π P = a d D 1 + P 2 D 2
The variable d   ( 0 < d < 1 ) denotes the publisher’s wholesale discount rate for the printed book, which is exogenous. Related studies on manufacturers’ price control refer to this discount cost as the transfer price [51]. This assumption is also in line with the work of Cachon and Lariviere [52] and De Giovanni [53], whose studies demonstrated that the supply chain coordinates when all parties know the contract terms in advance, if the supply chain uses a complicated contract.
We normalize the retailer’s production and operating costs to zero, because this study aims to examine retailer reactions to the cover price and publisher discount rate. Book publishing as an industry is characterized by high fixed costs and low marginal costs [54]. The definitions of the parameters and decision variables are summarized in Table 1.
Table 1. Model Variables.

4. Analysis

In this section, we first characterize the equilibrium outcome of the benchmark. We then analyze the equilibrium outcome in the presence of reference price effects. Based on these analyses, we can deliver a constructive comparison between the two situations and then identify how reference price effects affect the publisher’s choice of strategy. The specific analytical process and outcomes are shown in Appendix A.
We assume that the publisher makes the first move. The publisher first sets the cover price for the printed book and the retail price for the e-book, and the retailer then decides to sell the printed book at the cover price or at a discounted retail price.
The sequence of events implies that the publisher is the leader of the game. In the Appendix A, we analyze an alternative time sequence of the main model in which the publisher and the retailer determine the retail prices P 1 and P 2 simultaneously, after the publisher sets the cover price a . However, in such a time sequence, the publisher does not earn more profit than in the current sequence. Thus, this sequence is not further analyzed.

4.1. Benchmark without Reference Price Effects

In the benchmark case, with the proposed time sequence, the problem is solved backward in two steps. The retailer needs to solve the following problem:
m a x   P 1 Π R = ( P 1 a d ) ( 1 P 1 P 2 1 θ ) .
And the problem of the publisher:
m a x a ,   P 2 Π P = a d ( 1 P 1 P 2 1 θ   ) + P 2 ( P 1 P 2 1 θ P 2 θ ) , s . t .   P 1 a .
Lemma 1.
The optimal solutions for the benchmark case are as follows:
(i) 
when 0 < d < 2 3 θ , the retailer will undercut the cover price. The optimal prices are:   a = 1 2 d , P 2 = θ 2 and P 1 = 3 θ 4 .
(ii) 
when 2 3 θ < d < 1 , the retailer will set the retail price in compliance with the cover price. The optimal prices are a = P 1 = ( 1 θ ) ( 4 2 d θ ) 2 ( ( 2 d ) 2 ( 2 d 2 ) θ ) and P 2 = ( 2 + d ( 1 2 d ) ) ( 1 θ ) θ 2 ( ( 2 d ) 2 ( 2 d 2 ) θ ) .
Lemma 1 provides the general conditions for the equilibrium pricing strategy. When the publisher’s wholesale discount rate d is above a certain threshold, the retailer will sell the printed book at the cover price; otherwise, the retailer will sell the book at a discounted retail price. Furthermore, the publisher will always publish both printed and electronic versions. A high publisher’s wholesale discount restrains the retailer from setting a lower retail price for the printed book. As a result, the retailer sells the printed book at the cover price. When the wholesale discount is not very high, the retailer is left with a large margin to set a low retail price via a sales discount. The threshold for the wholesale discount rate increases with θ . This is because, as θ increases, the competition between the two versions intensifies, driving the retailer to reduce the retail price for the printed book.
Proposition 1.
If the retailer sells the printed book at a discounted retail price, then a d < 0 , P 1 d = 0 and P 2 d = 0 . If the retailer sells the printed book with no discount, then a d = P 1 d > 0 and P 2 is concave in d .
When the retailer sells the printed book at a discount, the publisher reduces the cover price of the printed book through a wholesale discount rate increase to maintain the wholesale price at a constant level. Thus, the retail price of the printed book is independent of the wholesale discount rate. When d is high, the cover price is increasing in d . A high value of d forces the retailer to set a high retail price for the printed book. In this scenario, the publisher will change the pricing strategy from capturing more demand to obtaining high profits from the sale of each printed book; consequently, the publisher will set a high cover price. It is also interesting that the e-book’s retail price is concave in d . When d is high, but not significantly high, the publisher first increases the retail price of the e-book to motivate the retailer to sell the printed book at the cover price. However, when this discount is exceptionally high, the retailer will undoubtedly sell the printed book at the cover price, and the publisher decreases the retail price of the e-book to attract more consumers with a lower willingness to pay to choose the e-book. In this case, the printed book demand is decreasing in d and the e-book demand is increasing.

4.2. Model with Reference Price Effects

We next analyze the situation in which consumers are concerned about the sales discount. As with the benchmark, we first solve the retailer’s problem by maximizing profit:
max P 1 Π R = ( P 1 a d ) ( 1 P 1 + μ P 1 a μ P 2 1 θ )
The optimal value of the retail price of the printed book is a function of the cover price of the printed book and the retail price of the e-book, such that P 1 * = 1 θ + a ( d + μ + d μ ) + P 2 2 ( 1 + μ ) . We then substitute this value for P 1 back into the publisher’s problem, so that the problem of the publisher is as follows:
max a ,   P 2 Π P = a d ( 1 P 1 + μ P 1 a μ P 2 1 θ ) + P 2 ( P 1 + μ P 1 a μ P 2 1 θ P 2 θ ) , s . t .   1 θ + a ( d + μ + d μ ) + P 2 2 ( 1 + μ ) a .
To determine the equilibrium outcomes, we first define four threshold values for the publisher’s discount rate:
d 1 = μ 1 + μ , d 2 = μ ( θ ( 4 + μ ) 4 ) θ ( 8 + 8 μ + μ 2 ) 8 ( 1 + μ ) + 2 2 ( 2 3 θ + θ 2 ) μ 2 ( θ ( 8 + 8 μ + μ 2 ) 8 ( 1 + μ ) ) 2 , d 3 = μ ( θ ( 4 + μ ) 4 ) θ ( 8 + 8 μ + μ 2 ) 8 ( 1 + μ ) 2 2 ( 2 3 θ + θ 2 ) μ 2 ( θ ( 8 + 8 μ + μ 2 ) 8 ( 1 + μ ) ) 2 , d 4 = 3 μ 2 θ μ 2 2 θ + 3 μ 2 θ μ , d 5 = 1 4 ( 4 + ( 6 θ ) μ ( 3 θ ) ( 1 + μ ) + 16 + 8 ( 6 4 θ + θ 2 ) μ + 9 ( 2 θ ) 2 μ 2 ( 3 θ ) 2 ( 1 + μ ) 2 ) ,
Lemma 2.
The optimal solutions in the presence of reference price effects are:
(i) 
When μ 1 + μ < d < m a x ( d 1 , d 2 ) the publisher only publishes printed books and the optimal prices are a i = 1 2 d 2 μ + 2 d μ and P 1 i = 1 4 ( 1 1 + μ + 2 d d ( 1 d ) μ ) .
(ii) 
When m a x ( d 1 , d 2 ) < d < d 3 , the publisher publishes both versions of the book and the optimal prices are: a i i = 1 2 d 2 μ + 2 d μ ,   P 1 i i = 1 2 ( 1 θ ( 2 θ ) ( 1 + μ ) + d d ( 1 d ) μ ) and P 2 i i = 1 2 1 2 θ + θ .
(iii) 
When d 3 < d < d 4 , the publisher publishes both versions of book and the optimal prices are:   a i i i = ( 1 θ ) ( 4 d ( 1 d ) θ μ ) 8 d 2 ( 1 θ ) 8 ( 1 d ) d ( 1 θ ) μ ( 1 d ) 2 θ μ 2 ,   P 1 i i i = ( 1 θ ) ( 2 d 2 ( 3 θ ) ( 1 + μ ) θ μ 2 + d μ ( 2 + θ ( 2 + μ ) ) ) ( 1 + μ ) ( 8 d 2 ( 1 θ ) 8 ( 1 d ) d ( 1 θ ) μ ( 1 d ) 2 θ μ 2 ) and P 2 i i i = d ( 1 θ ) θ ( 4 d 3 ( 1 d ) μ ) 8 d 2 ( 1 θ ) 8 ( 1 d ) d ( 1 θ ) μ ( 1 d ) 2 θ μ 2 .
(iv) 
When d 4 < d < 1 , the optimal prices are a i v = ( 1 θ ) ( 2 ( 2 + μ ) θ 2 d ( 1 + μ ) ) 2 ( ( 2 θ + μ ) ( 2 + μ ) 2 d ( 1 + μ ) ( 2 + μ ) + d 2 ( 1 + μ ) ( 1 + θ + μ ) ) , a i v = P 1 i v , and P 2 i v = ( 1 θ ) θ ( 2 + μ + d ( 1 2 d ) ( 1 + μ ) ) 2 ( ( 2 θ + μ ) ( 2 + μ ) 2 d ( 1 + μ ) ( 2 + μ ) + d 2 ( 1 + μ ) ( 1 + θ + μ ) ) .
(v) 
When 0 < d < μ 1 + μ , the publishers will not sell the book.
Lemma 2 provides the general conditions for the equilibrium pricing strategies in the presence of consumers’ reference price effects. Unlike in the benchmark model, there exists a lower boundary for the wholesale discount rate d 1 , below which the publisher will not distribute its books. A low wholesale discount rate leaves the publisher a small profit margin. Furthermore, the existence of reference price effects will encourage the retailer to further reduce the retail price, rendering the publisher unprofitable. Thus, we only discuss the situation where d 1 < d .
When d 1 < d , the publisher will choose to distribute both versions of the book only when the wholesale discount rate is above a certain level, that is, m a x ( d 2 , d 3 ) < d , unless the publisher will only distribute the printed version through the retailer. If the publisher decides to sell both versions of the book, as in the benchmark model, then the retailer will sell the printed book at the cover price when d is high. The intuition behind this is the same: a high publisher’s wholesale discount restrains the retailer from setting a lower retail price for the printed book.
It is interesting to note that, when d is below d 4 , even if the publisher sells both the printed book and the e-book, no consumer chooses the e-book. This is because, with reference price effects, both the publisher and the retailer will benefit from the high sales discounts. The existence of the e-book produces a competition effect that motivates the retailer to further reduce the retail price for the printed book. Therefore, the retailer will keep the e-book channel merely to control the printed version’s price, and no direct sales occur when the wholesale discount rate is low.
Proposition 2.
If the retailer sells the printed book at a discounted retail price, then a d < 0 , P 1 d < 0 , a μ > 0 , P 1 μ > 0 ; if the retailer sells the printed book with no discount, then a d > 0 , P 1 d > 0 , a μ < 0 , P 1 μ < 0 . P 2 is not monotonic in d and μ in both cases.
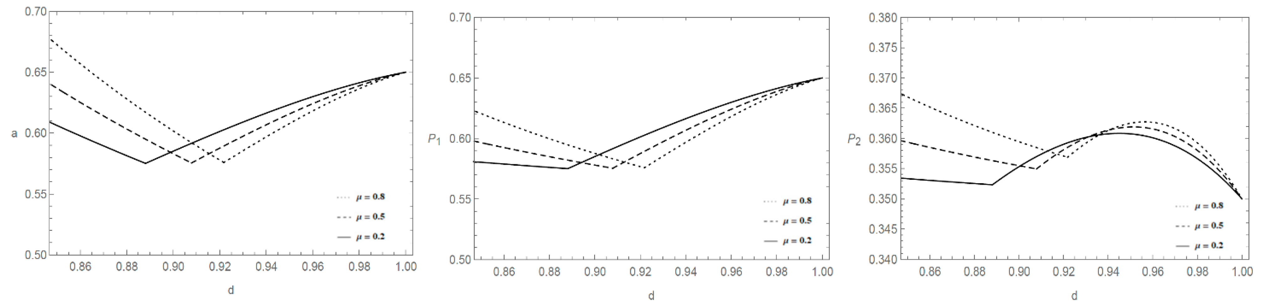
As in the benchmark, a is decreasing in d when the retailer sells the printed book at a discounted retail price. P 1 and P 2 are no longer independent of d but decreasing in d . The reason is that demands are influenced not only by the price competition between the printed book and e-book, but also by the difference between the cover price and the retail price of the printed book. Thus, as d increases, the retailer has a large margin to decrease the retail price for a deeper discount that can attract more consumers to choose the printed book. Meanwhile, the publisher will also lower the e-book’s retail price, which also drives the retailer to set a low P 1 . As d becomes relatively large, the retailer sells the printed book at the cover price; the result is similar to that of the benchmark. A high wholesale discount rate restrains the retailer from selling the printed book at a lower price. The cover price is increasing in d . For conciseness, we provide a representative example in Figure 3. We show how the cover price and retail price change with respect to d by setting θ = 0.7 and varying μ = { 0.2 ,   0.5 ,   0.8 } . This value of θ is based on the result of [14]’s (2018) experiment, which shows that consumers’ willingness to pay for e-books is about 70% of their willingness to pay for the printed version.
Figure 3. Comparison of Cover and Retail Prices of Printed and E-books. (a is the cover price of printed book; P 1 is the retail price of printed book; P 2 is the retail price of e-book; d is the publisher’s wholesale discount rate of the printed book; μ is the degree of consumers’ concern about a discount).
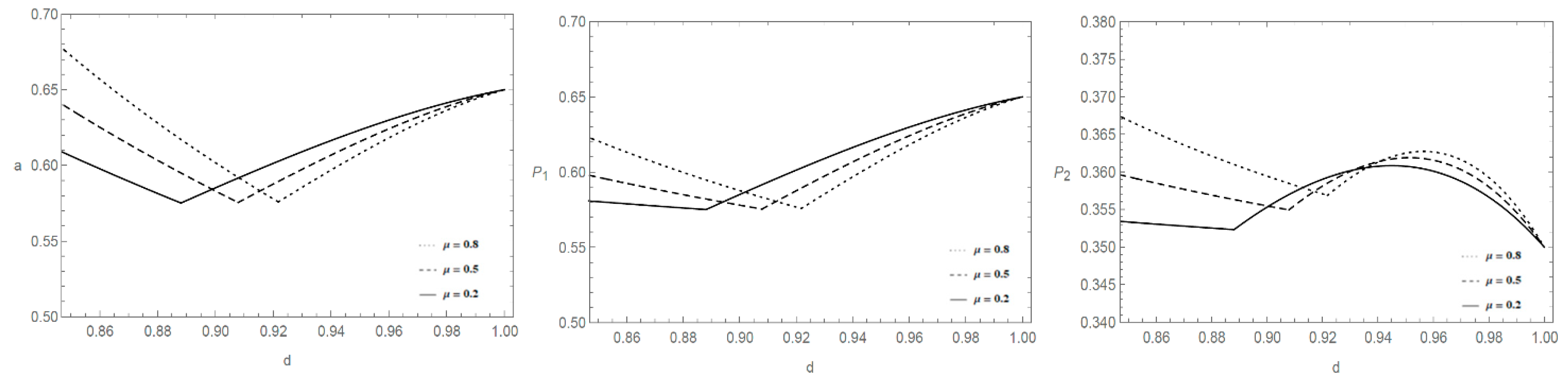
Figure 3 reflects the trade-off faced by the publisher and the retailer between adopting a low-price strategy and a high discount strategy to attract consumers. If the value of d is not high, then the cover price of the printed book is increasing in μ , leaving the retailer a wide margin to discount. A high discount strategy is dominant when μ is high. Specifically, when μ = 0.5   and   0.8 , both the cover price and the retail price of the printed book are very high: it takes a significant discount rate to attract consumers to choose the printed book. Furthermore, it is interesting that the e-book’s retail price is independent of d when d is low. This reflects the special case when the publisher keeps the e-book channel, but no sales occur in it. However, when the value of μ is low, the high discount strategy is no longer dominant. Instead, the low-price strategy becomes dominant. The publisher will then decrease both the printed book’s cover price and the e-book’s retail price to induce the retailer to set a low retail price. When d is larger, the retailer sells the printed book at the cover price: the results are different. In Figure 4, we present a close-up of d from Figure 3 to analyze how the characteristic influences the price strategy.
Figure 4. Comparison of Cover and Retail Prices (close-up when d is in the high range). (a is the cover price of printed book; P 1 is the retail price of printed book; P 2 is the retail price of e-book; d is the publisher’s wholesale discount rate of the printed book; μ is the degree of consumers’ concern about a discount).
For a specific high value of d , there is no margin for the retailer to sell the print book at a discount, and the cover price of the printed book is decreasing in μ . The publisher gives up the high discount strategy that takes advantage of reference price effects to attract consumers, turning instead to a reduced print cover price to accomplish the same. Meanwhile, the publisher will also first increase the retail price of the e-book to encourage the retailer to sell at the cover price and guarantee that some consumers will choose the e-book. As the value of d further increases, the retailer will be certain to sell at the cover price; the publisher will then decrease the e-book’s price to capture more sales from it. As a result, the e-book’s price is concave in d when the value of d is extremely high.
From Lemma 2, the publisher’s optimal strategy is related to d , μ and θ . We now illustrate how these characteristics influence the publisher’s strategies. We then partition the d - θ space by equilibrium channel for μ = 0.15 in Figure 5a and μ = 0.85 in Figure 5b. The five regions of Figure 5 correspond to the five cases in Lemma 2.
Figure 5. Equilibrium Outcome in the Presence of Reference Price Effects. (d is the publisher’s wholesale discount rate of the printed book; θ is consumers’ acceptance level of an e-book; μ is the degree of consumers’ concern about a discount; (i), (ii), (iii) and (iv) represent cases (i), (ii), (iii) and (iv) in Lemma 2, respectively; N/A represents the case (v) in Lemma 2).
As we mentioned before, the publisher chooses to publish both versions when the value of d is relatively significant (Regions ii, iii and iv and releases only the printed books when d is small (Region i). Further, the thresholds of d for each case are increasing in consumers’ e-book acceptance level θ . An increase of θ encourages the publisher to increase the retail price of the e-book. Meanwhile, the competition between the two versions of the book is also increasing in θ , in turn driving the retailer to decrease the retail price of the printed book. Thus, when the value of θ is exceptionally high, the publisher prefers to sacrifice demand for e-books or even restrict sales to the single channel.
Corollary 1.
As the reference price effects intensify, the threshold of d for the publisher to publish both printed and electronic versions of books rise.
When there are no reference price effects, the publisher always publishes both versions of books. However, there exists a lower boundary of the wholesale discount above which consumers care about the discount. As the reference price effects become weak, the publish is more willing to distribute both versions of books through the retailer. This result is consistent with practice.
The previous study points out that the reference price effect is diminishing sensitivity, which means the impact of reference price decreases with its size [55]. In previous decades, the book market was relatively immature, and consumers showed strong interest in the sales discount rate. Thus, book retailers competed to attract consumers through deep sales discounts, and the publisher prefers to publish only the printed book. As the book market and online market matured in recent years, price competition between retailers has strengthened, the reference price effects become weak as the frequency of discount becomes high. Thus, the publisher will always prefer to release both versions of a book simultaneously.
Next, to analyze how reference price effects influence the retailer’s sales discount decision, we introduce the notation s = 1 P 1 a to refer to the sales discount rate for a printed book. The results are captured in the following proposition.
Proposition 3.
The retailer’s sales discount is decreasing in d and increasing in θ . However, the retailer’s sales discount is nonmonotonic in μ .
The sales discount is not always increasing in μ . When θ is high and d is low, the sales discount is convex in μ . This result reflects the publisher’s trade-off between greater demand for the printed book and for the e-book. The retailer also faces the problem of whether to raise the sales discount rate to attract more consumers or set a higher retail price to extract the surplus of consumers who have a higher willingness to pay. If the consumers’ discount concern is not intense, then the retailer will set a high retail price, which leads to a decrease in the discount rate; if the consumers are highly discount-sensitive, then it is optimal for the retailer to decrease its prices monotonically to prevent consumers from feeling a sense of loss.

4.3. The Effects of Wholesale Discount Rate

In the following, due to books’ special pricing mechanism, printed books’ wholesale discount rate is always industry specific and exogenous, we will investigate how the wholesale discount rate influences printed book’s wholesale price and publisher’s profit. We introduce the notation w = d a to refer to the wholesale price of printed books. The results are captured in the following lemma.
Lemma 3.
The wholesale prices of the printed book are decreasing in d if the printed book is sold at a discounted price. Otherwise, the wholesale price is increasing in d.
Lemma 3 shows that the influence of d on wholesale prices coincides with its influence on the cover price. Even though the publisher does not have the pricing power of wholesale price on each book, the publisher can still control the wholesale prices by adjusting the list price.
Proposition 4.
The publisher’s profit is always decreasing in d .
It is interesting to find that the publisher will always benefit from a low value of d . The reason behind this is that when the value of d is at a low level, the publisher can always benefit from setting a high cover price can let the retailer sells the printed book with a discount. As the value of d increases, the retailer’s constraint value to sell printed books with cover price also increases, which leads the publisher to increase the cover price to lead the retailer to sell with the cover price. However, the increase of cover price will lead to a decrease in printed book sales. As a result, the publisher will always benefit from a low value of d .

4.4. Reference Price Effects

To further explore the impact of reference price effects, we compare the publisher’s and retailer’s profits in the benchmark model to the results of the main model in this part. Since the main model is only feasible when μ 1 + μ < d < 1 , we only compare the profits when μ 1 + μ < d < 1 . The results are summarized in the following Proposition:
Proposition 5.
(1)   Π P B < Π P ; (2) Π R B > Π R when 0 < θ < 2 2 1 1 + μ and d 1 < d < d 3 , otherwise, Π R B < Π R .
Previous studies show that the reference price will not always benefit the supply chain members’ profits because of double-marginalization effects [42]. Our results show that the reference price effects always have a positive impact on the publisher’s profit. The reference price effects also represent a positive impact on the retailer’s profit except when 0 < θ < 2 2 1 1 + μ and d 1 < d < d 3 . The appearance of the negative impact is due to the publisher using the e-book to control the printed version’s price in this special situation. These results explain why both the publisher and the retailer like to invoke reference price effects in consumers’ minds by highlighting the printed book’s discount rate either on the web page or in the offline bookstore.

5. Extension: Reference Price for E-Books

In the above analysis, we only consider that consumers have reference price effects for printed books. In this extension, we assume consumers also have reference price effects for e-books. Since the retailer always lists the printed book’s cover price as a reference on the e-book’s web page, we then assume that consumers also see the cover price of the printed book as a reference price.
Hence, discount-sensitive consumers compare the retail price and retail price to the cover price to evaluate the discount level in deciding whether to buy or not. That is, consumers’ utility functions for purchasing printed books and e-books are:
U 1 = V P 1 + μ ( a P 1 ) , U 2 = θ V P 2 + μ ( a P 2 ) .
Consumers can choose between a printed book, an e-book or nothing. Let v 4 denote the valuation of a consumer who is indifferent between purchasing a printed book and an e-book, and v 5 denote the valuations of consumers who are indifferent between purchasing a printed book and nothing, and v 6 denote the valuations of consumers who are indifferent between purchasing an e-book and nothing. By solving U 1 = U 2 ,   U 1 = 0 and U 2 = 0 , we have v 4 = ( 1 μ ) ( P 1 P 2 ) 1 θ , v 5 = P 1 + μ P 1 a μ and v 6 = P 2 + μ P 2 a μ θ . Thus, the demand functions of the two channels are as follows:
D 1 = { 1 ( 1 μ ) ( P 1 P 2 ) 1 θ , P 1 P 2 θ a a θ μ θ + θ μ 1 ( P 1 + μ P 1 a μ ) , P 1 < P 2 θ a a θ μ θ + θ μ
D 2 = { ( 1 μ ) ( P 1 P 2 ) 1 θ P 1 + μ P 2 a μ θ , P 1 P 2 θ a a θ μ θ + θ μ 0 , P 1 < P 2 θ a a θ μ θ + θ μ
When P 1 < P 2 θ a a θ μ θ + θ μ , the publisher only publishes the printed version of the book, and the result is similar to that in the single-channel case in the main model. Thus, we summarized the result and condition only when P 1 P 2 θ a a θ μ θ + θ μ .
Lemma 4.
If P 1 P 2 θ a a θ μ θ + θ μ , the optimal solutions are:
(1) 
when μ 2 2 + 2 μ + μ 2 < θ < 1 and d 6 < d < m i n { d 7 , 1 } the retailer will undercut the cover price.
(2) 
if d 7 < 1 , when d 7 < d < 1 , the retailer will set the retail price to coincide with the cover price.
Consistent with the main model, the retailer will sell the printed book only when the wholesale discount rate is above a certain level. However, the results are related to the consumer’s acceptance level of e-books θ , which reflects the competition intensity between the printed version and the e-version of the book. The reference price effects for the e-book restrain the printed book’s price, especially when θ is low; thus, the publisher will publish both versions of the book profitably only when the value of θ is above a certain threshold μ 2 2 + 2 μ + μ 2 . When μ 2 2 + 2 μ + μ 2 < θ μ 2 , the retailer will always sell the printed version at a discounted retail price if d is not low, that is,   d 5 < d . When the value of θ is larger, that is, μ 2 < θ , the retailer will sell the printed version at a discounted retail price only when the value of d is at a moderate level.

6. Conclusions

This paper explores the publishers’ and retailers’ distribution and pricing strategies with the reference price effects. In the book supply chain, the publishers always set a cover price for their printed books depending on the genre, edition or cost of the books, and then the cover price act as a binding recommended price influences the retail price. Accordingly, consumers may compare retail prices and cover prices of printed books when making their purchase decisions. In other words, consumers regard the cover price as a reference price and show interest in books with discounts. The impacts of the reference price effects in the books market are complicated. Due to the reference price effects, online retailers compete with each other by providing discounts frequently. Furthermore, a Chinese book retail market report also indicates that publishers attempt to increase cover prices to allow the retailer to attract consumers with a deeply discounted price. However, the frequent discounts may weaken the reference price effects.
Preview study theoretically and empirically analyze how a non-binding recommended retail price impacts the market with the reference price effects, but the impact of a binding recommended retail price has not been well investigated; most of the studied about the book market do not consider the distinct pricing merchant of printed books. Hence, how the reference price effects influence the publishers’ and retailers’ strategies with a cover price (binding recommended price) has not been well studied. Further, it is important to know whether publishers and retailers benefit from the reference price effects.
To investigate publishers’ and retailers’ strategies with the reference price effects, we develop a publisher-leader Stackelberg game of a book supply chain coexisting printed and e-books. Our study fills the gap by capturing the pricing feature in the books market and examining the publishers’ channel and pricing strategies and interaction between the retailer and the publisher in the presence of reference price effects. In our model, a publisher first sets the cover price of the printed book, and a retailer decides to comply with or undercut the cover price. We incorporate consumers’ reference price effects to analyze how the effect influences publisher’s e-books distribution decisions and printed and e-books’ retail prices.
Common sense tells us that retailers will always undercut manufacturers’ suggested price if this price affects demand directly, and that they will monotonically decrease their prices to prevent consumers from feeling a sense of loss. Our results suggest that this statement does not always hold but depends on the publisher’s discount rate for printed books and consumers’ relative acceptance of e-books. Our main results are as follows.
First, we found that the cover and retail prices for printed books do not always decrease in response to consumers’ concerns about the sales discount. This finding reflects the publisher’s and the retailer’s trade-off between adopting a low-price strategy and a high discount strategy to attract consumers. In other words, the reference price effects allow the retailer and publisher to attract consumers with a high price and high discount.
Second, our study shows that the publisher is more willing to publish both books as the reference price affects’ salience decreases. The development of e-commerce drives online retailers to compete by providing discounts frequently, and consumers become less sensitive to the reference price effect. Therefore, the publisher may prefer to publish both the print and digital versions of books.
Third, we found that the publisher’s profit is always decreasing as the wholesale discount rate increase. With the development of e-commerce, books’ retailing is over-reliance on online retailers, several publishers may lower the wholesale discount to online retailers. However, our result shows that a low wholesale discount is not necessarily hurt the publisher’s profit. On the contrary, the publisher can take advantage of the reference price effect by setting a high cover price of print books and attract consumers with high discounts.
Furthermore, the reference price effects will always benefit publishers and benefit retailers when the consumers’ acceptance level of e-books is not low. Therefore, the retailers should highlight the discounted price on the page to intensify the reference price effects.
We also extend our model by considering the consumers’ reference price effects for e-book prices. The results, depending on consumers’ acceptance level of e-books, show that when consumers’ acceptance level of e-books is at a moderate level, the publisher will always sell the printed books at a discount. This result is also in line with the practice that the printed books sold on Amazon and Jd.com always have a discount.
There are several limitations in this paper. First, we assumed the publisher’s wholesale discount to be exogenous. The development of online retailing allows some dominated online retailers to bargain for a low publisher’s discount. Further study can endogenize the publisher’s discount by considering the negotiation between the publisher and the retailer and analyzing how their bargaining power affects the equilibrium results. Second, to examine the cover price’s effect, we assume consumers see the cover price as a reference price and only consider the sales period immediately after a book is published. However, the prices of printed and e-books are dynamic. Thus, future studies can consider a multi-period dynamic pricing strategy for the retailer and consider the case where the reference price is based on historical prices. Third, since this study focuses on analyzing the influence of printed books’ price mechanism, we assume that publishers sell e-books through their own channel. Future studies can consider the setting in which the publisher distributes e-books through the retailer’s e-books channel or a third-party retail platform and explore the retailer’s reaction.

Author Contributions

Conceptualization, W.H. and Y.Z.; methodology, Y.Z.; software, Y.Z.; formal analysis, Y.Z.; investigation, W.H. and Y.Z.; writing—original draft preparation, Y.Z.; writing—review and editing, W.H. and Y.Z.; supervision, W.H.; funding acquisition, W.H. All authors have read and agreed to the published version of the manuscript.

Funding

This research was funded by China National Social Science Foundation Project under Grant 15BGL07.

Institutional Review Board Statement

Not applicable.

Data Availability Statement

Not applicable.

Conflicts of Interest

The authors declare no conflict of interest.

Appendix A

Proof of Lemma 
1
We begin to solve the problem when P 2 < P 1 θ , we first solve the retailer’s problem in the benchmark:
max P 1 Π R = ( P 1 a d ) ( 1 P 1 P 2 1 θ )
After characterizing the optimal value of P 1 = a r g m a x Π R ( a , P 2 ) = 1 θ + a ( d + μ + d μ ) + P 2 2 ( 1 + μ ) , we substitute back into the publisher’s problem. We use the first-order condition to solve the problem:
max a ,   P 2 Π P = a d ( 1 P 1 P 2 1 θ   ) + P 2 ( P 1 P 2 1 θ P 2 θ ) s . t .   P 1 a P 2 < P 1 θ
We define the Lagrangian function:
L = a d ( 1 P 1 P 2 1 θ   ) + P 2 ( P 1 P 2 1 θ P 2 θ ) + m ( a 1 θ + P 2 2 d ) + n ( θ + a d θ θ 2 2 θ P 2 )
The optimal solutions must satisfy the following K.K.T. conditions:
L a = 0
L P 2 = 0
L m 0 ,   m L m = m ( a 1 + θ P e 2 + d ) = 0
L n 0 ,   n L n = n ( θ + a d θ θ 2 2 θ P e ) = 0
Since there are two Lagrange multipliers, there are four cases.
  • Case 1:m = 0, n = 0
Equations (A1) and (A2) leads to a * = 1 2 d and P 2 * = θ 2 . We then verify Equations (A3) and (A4). Plugging a * and P 2 * into a 1 + θ P e 2 + d 0 , we obtain 0 < d < 2 3 θ . Plugging a * and P 2 * into θ + a d θ θ 2 2 θ P e 0 , we find this condition always holds. In summary, the condition of Case 1 is 0 < d < 2 3 θ , and the retail price of printed books is 3 θ 4 and the publisher’s optimal profit is 1 + θ 8 .
  • Case 2: m = 0 ,   n 0
By Equations (A1), (A2) and (A4), we obtain a * = 1 2 d , P 2 * = 1 2 + 1 2 + θ + θ and n = 1 2 . Since n < 0 , case 2 is infeasible.
  • Case 3: m 0 ,   n = 0
By Equations (A1)–(A3), we obtain a * = ( 1 θ ) ( 4 2 d θ ) 2 ( ( 2 d ) 2 ( 2 d 2 ) θ ) , P 2 * = ( 2 + d ( 1 2 d ) ) ( 1 θ ) θ 2 ( ( 2 d ) 2 ( 2 d 2 ) θ ) and m = ( 2 d ) d ( d ( 3 θ ) 2 ) 2 ( ( 2 d ) 2 ( 2 d 2 ) θ ) . To guarantee m 0 , we have 2 3 θ < d < 1 . We then check the constraint θ + a d θ θ 2 2 θ P 2 0 , which is always satisfied when 2 3 θ < d < 1 . In summary, the condition of Case 3 is 2 3 θ < d < 1 , and the retail price of printed books is the cover price and the publisher’s optimal profit is ( 4 ( 1 d ) d + θ ) ( 1 θ ) 4 ( ( 2 d ) 2 ( 2 d 2 ) θ ) .
  • Case 4: m 0 ,   n 0
By Equations (A3) and (A4), we obtain m = ( 2 d ) d ( θ + d ( 3 2 θ ) 2 ) 2 ( 2 d θ ) 2 and n = ( d ( 3 2 d ) + θ 2 ) ( 2 θ ) 2 ( 2 d θ ) 2 . To guarantee m 0 , we have 2 θ 3 2 θ < d < 1 . This condition leads to n < 0 . Thus, this case is infeasible.
In sum, we obtain the optimal solution as presented in lemma 1. □
Proof of Proposition 
1
It is easy to get that if the retailer sells printed books with a discount:
a d = 1 2 d 2 < 0 P 1 d = 0 P 2 d = 0
If the retailer sells printed books with the cover price:
a d = ( 1 θ ) ( 4 d ( 1 + θ ) ( 4 d θ ) ) ( ( 2 d ) 2 ( 2 d 2 ) θ ) 2 P 2 d = ( 1 θ ) θ ( 2 ( 6 θ ) d ( 20 7 d ( 4 d ) θ ) ) 2 ( ( 2 d ) 2 ( 2 d 2 ) θ ) 2
It suffices to prove ( 1 θ ) ( 4 d ( 1 + θ ) ( 4 d θ ) ) ( ( 2 d ) 2 ( 2 d 2 ) θ ) 2 > 0 always holds, which implies that the cover price increasing in d . The feasible region of this case is 2 3 θ < d < 1 , ( 1 θ ) θ ( 2 ( 6 θ ) d ( 20 7 d ( 4 d ) θ ) ) 2 ( ( 2 d ) 2 ( 2 d 2 ) θ ) 2 is positive only when 2 3 θ < d < 2 ( 5 θ ) 7 θ 2 8 7 θ + θ 2 ( 7 θ ) 2 ; otherwise ( 1 θ ) θ ( 2 ( 6 θ ) d ( 20 7 d ( 4 d ) θ ) ) 2 ( ( 2 d ) 2 ( 2 d 2 ) θ ) 2 is negative. Thus, the retail price of e-books is concave in d .
Therefore, the publisher’s profits in the AA model decrease in θ . □
Proof of Lemma 
2
We begin to solve the problem when P 1 a θ μ + P 2 θ + θ μ , we first solve the retailer’s problem:
max P 1 Π R = ( P 1 a d ) ( 1 P 1 + μ P 1 a μ P 2 1 θ )
After characterizing the optimal value of P 1 = a r g m a x Π R ( a , P 2 ) = 1 θ + a ( d + μ + d μ ) + P 2 2 ( 1 + μ ) . We substitute back into the publisher’s problem. We use the first order condition to solve the problem:
max a ,   P 2 Π P = a d ( 1 P 1 + μ P 1 a μ P 2 1 θ ) + P 2 ( P 1 + μ P 1 a μ P 2 1 θ P 2 θ ) s . t .   1 θ + a ( d + μ + d μ ) + P 2 2 ( 1 + μ ) a P 2 < θ a d θ + θ 2 + a θ μ a d θ μ 2 + θ
First, we check the second order condition by examining the Hessian.
H = [ 2 Π P a 2 2 Π P P 2 a 2 Π P a P 2 2 Π P P 2 2 ] = [ d ( ( 1 d ) μ d ) 1 θ d ( 2 + μ ) μ 2 ( 1 θ ) d ( 2 + μ ) μ 2 ( 1 θ ) 2 + θ ( 1 θ ) θ ]
H is negative semidefinite if and only if d ( ( 1 d ) μ d ) 1 θ 0 and d ( ( 1 d ) μ d ) 1 θ × 2 + θ ( 1 θ ) θ d ( 2 + μ ) μ 2 ( 1 θ ) × d ( 2 + μ ) μ 2 ( 1 θ ) 0 . These conditions hold when 0 < μ < 1 ,   0 < θ < 8 + 8 μ 8 + 8 μ + μ 2   and   d 1 < d < 1 , where d 1 = μ ( θ ( 4 + μ ) 4 ) θ ( 8 + 8 μ + μ 2 ) 8 ( 1 + μ ) + 2 2 ( 2 3 θ + θ 2 ) μ 2 ( θ ( 8 + 8 μ + μ 2 ) 8 ( 1 + μ ) ) 2 ; 0 < μ < 1 , 8 + 8 μ 8 + 8 μ + μ 2 < θ < 1 and d 2 < d < 1 , where d 2 = μ ( θ ( 4 + μ ) 4 ) θ ( 8 + 8 μ + μ 2 ) 8 ( 1 + μ ) 2 2 ( 2 3 θ + θ 2 ) μ 2 ( θ ( 8 + 8 μ + μ 2 ) 8 ( 1 + μ ) ) 2 . The following analysis is conducted based on these conditions.
The Lagrangian formulation of the problem is given by:
L = a d ( 1 P 1 + μ P 1 a μ P 2 1 θ ) + P 2 ( P 1 + μ P 1 a μ P 2 1 θ P 2 θ ) + f ( a 1 θ + a ( d + μ + d μ ) + P 2 2 ( 1 + μ ) ) + g ( θ a d θ + θ 2 + a θ μ a d θ μ 2 + θ P 2 )
The optimal solutions must satisfy the following K.K.T. conditions:
L a = 0
L P 2 = 0
L f 0 ,   f L f = f ( a 1 θ + a ( d + μ + d μ ) + P 2 2 ( 1 + μ ) ) = 0
L g 0 ,   g L g = g ( θ a d θ + θ 2 + a θ μ a d θ μ 2 + θ P 2 ) = 0
  • Case 1: f = 0 ,   g = 0
Equations (A5) and (A6) lead to a * = ( 1 θ ) ( 4 d ( 1 d ) θ μ ) 8 d 2 ( 1 θ ) 8 ( 1 d ) d ( 1 θ ) μ ( 1 d ) 2 θ μ 2 and P 2 * = d ( 1 θ ) θ ( 4 d 3 ( 1 d ) μ ) 8 d 2 ( 1 θ ) 8 ( 1 d ) d ( 1 θ ) μ ( 1 d ) 2 θ μ 2 . We then verify Equations (A7) and (A8). Plugging a * and P 2 * into a 1 θ + a ( d + μ + d μ ) + P 2 2 ( 1 + μ ) 0 , we obtain 2 ( 1 θ ) ( 2 d ( 2 d ( 3 θ ) ) + ( 1 d ) ( 2 d ( 3 θ ) θ ) μ ) 8 d 2 ( 1 θ ) 8 ( 1 d ) d ( 1 θ ) μ + ( 1 d ) 2 θ μ 2 0 . This condition holds when 0 < θ < 8 + 8 μ 8 + 8 μ + μ 2   , d 1 < d < d 4 and 8 + 8 μ 8 + 8 μ + μ 2 < θ < 1   a n d   d 2 < d < d 4 , where d 4 = 1 4 ( 4 + ( 6 θ ) μ ( 3 θ ) ( 1 + μ ) + 16 + 8 ( 6 4 θ + θ 2 ) μ + 9 ( 2 θ ) 2 μ 2 ( 3 θ ) 2 ( 1 + μ ) 2 ) . Plugging a * and P 2 * into θ a d θ + θ 2 + a θ μ a d θ μ 2 + θ P 2 0 , we find this condition always holds when d 3 < d < d 4 , where d 3 = 3 μ 2 θ μ 2 2 θ + 3 μ 2 θ μ . In summary, the condition of Case 1 is d 3 < d < d 4 and the retail price of printed books is ( 1 θ ) ( 2 d 2 ( 3 θ ) ( 1 + μ ) θ μ 2 + d μ ( 2 + θ ( 2 + μ ) ) ) ( 1 + μ ) ( 8 d 2 ( 1 θ ) 8 ( 1 d ) d ( 1 θ ) μ ( 1 d ) 2 θ μ 2 ) and the publisher’s optimal profit is d ( 1 θ ) ( d ( 1 + θ ) ( 1 d ) θ μ ) 8 d 2 ( 1 θ ) 8 ( 1 d ) d ( 1 θ ) μ ( 1 d ) 2 θ μ 2 .
  • Case 2: f = 0 ,   g 0
By Equations (A5), (A6) and (A8), we obtain a * = 1 2 d 2 μ + 2 d μ , P 2 * = 1 2 + 1 2 + θ + θ and g = ( 3 2 θ ) μ d ( 2 + 3 μ 2 θ ( 1 + μ ) ) 4 ( 1 θ ) ( d μ + d μ ) . The constraint g 0 leads to 0 < θ < 8 + 8 μ 8 + 8 μ + μ 2   , d 1 < d < d 3 and 8 + 8 μ 8 + 8 μ + μ 2 < θ < 1 and d 2 < d < d 3 . We then check the constraint a 1 θ + a ( d + μ + d μ ) + P 2 2 ( 1 + μ ) 0 , which is always satisfied. The retail price of printed books is 1 2 ( 1 θ ( 2 θ ) ( 1 + μ ) + d d ( 1 d ) μ ) and the publisher’s optimal profit is d 4 ( 2 θ ) ( d ( 1 d ) μ ) .
  • Case 3: f 0 ,   g = 0
By Equations (A5)–(A7), we obtain a * = ( 1 θ ) ( 2 ( 2 + μ ) θ 2 d ( 1 + μ ) ) 2 ( ( 2 θ + μ ) ( 2 + μ ) 2 d ( 1 + μ ) ( 2 + μ ) + d 2 ( 1 + μ ) ( 1 + θ + μ ) ) , P 2 * = ( 1 θ ) θ ( 2 + μ + d ( 1 2 d ) ( 1 + μ ) ) 2 ( ( 2 θ + μ ) ( 2 + μ ) 2 d ( 1 + μ ) ( 2 + μ ) + d 2 ( 1 + μ ) ( 1 + θ + μ ) ) and f = ( 2 + d + ( 1 + d ) μ ) ( 2 d ( 2 + d ( 3 + θ ) ) + ( 1 + d ) ( 2 d ( 3 + θ ) + θ ) μ ) 4 ( ( 2 + θ μ ) ( 2 + μ ) 2 d ( 1 + μ ) ( 2 + μ ) + d 2 ( 1 + μ ) ( 1 + θ + μ ) ) . To guarantee f 0 , we have d 4 < d < 1 . We then check the constraint θ a d θ + θ 2 + a θ μ a d θ μ 2 + θ P 2 0 , which is always satisfied. In summary, the condition of Case 3 is d 4 < d < 1 , and the retail price of printed books is the cover price and the publisher’s optimal profit is ( 1 θ ) ( θ + 4 ( 1 d ) d ( 1 + μ ) ) 4 ( ( 2 θ + μ ) ( 2 + μ ) 2 d ( 1 + μ ) ( 2 + μ ) + d 2 ( 1 + μ ) ( 1 + θ + μ ) ) .
  • Case 4: f 0 ,   g 0
By Equations (A7) and (A8), we obtain f = d ( + d ( 1 d ) μ 2 ) ( 2 + 3 μ d ( 3 2 θ ) ( 1 + μ ) θ ( 1 + 2 μ ) ) 2 ( 2 d θ + ( 1 d ) μ ) 2 and g = ( 2 θ ) ( θ μ + d ( 3 2 d ) ( 1 + μ ) 2 ) 2 ( 2 d θ + ( 1 d ) μ ) 2 . To guarantee f 0 , we have 2 θ + 3 μ 2 θ μ 3 2 θ + 3 μ 2 θ μ < d < 1 . This condition leads to g < 0 . Thus, this case is infeasible.
We then solve the problem when P 1 < a θ μ + P 2 θ + θ μ , where publisher only publishes printed books. we first solve the retailer’s problem:
max P 1 Π R = ( P 1 a d ) ( 1 + a μ P 1 μ P 1 )
After characterizing the optimal value of P 1 = a r g m a x Π R ( a ) = 1 + a ( d + μ + d μ ) 2 ( 1 + μ ) . We substitute back into the publisher’s problem. We use the first-order condition to solve the problem:
max a Π P = a d ( 1 + a μ P 1 μ P 1 ) s . t .   1 + a ( d + μ + d μ ) 2 ( 1 + μ ) a
We obtain the optimal cover price a * = 1 2 d 2 μ + 2 d μ . We then verify the condition of discount by plugging a * into 1 + a ( d + μ + d μ ) 2 ( 1 + μ ) a , we obtain 2 + 3 μ 3 d ( 1 + μ ) 4 ( 1 + μ ) ( d ( 1 d ) μ ) 0 . This condition holds only when μ 1 + μ < d < 2 + 3 μ 3 + 3 μ . In summary, when μ 1 + μ < d < 2 + 3 μ 3 + 3 μ , the retailers sell printed books with a discounted retail price, and the optimal retail price of printed books is 1 4 ( 1 1 + μ + 2 d d ( 1 d ) μ ) and the publisher’s optimal profit is d 8 ( d ( 1 d ) μ ) .When 0 < d < μ 1 + μ and 2 + 3 μ 3 + 3 μ < d < 1 , the retailers sell printed books with the cover price, and the optimal cover price is 1 2 d + μ d μ and the publisher’s optimal profit is ( 1 d ) d ( 1 + μ ) ( 2 d + ( 1 d ) μ ) 2 .
In sum, we obtain the optimal solution as presented in lemma 1. □
  • An alternative time sequence of main model
For a given wholesale discount rate d , the publisher could first declare cover price a , and then publisher determine P 2 and online retailer determines P 1 simultaneously. We denote such a time sequence as A. We now show that the publisher’s profits are higher in main model versus A.
When P 1 a θ μ + P 2 θ + θ μ , the publisher problem of sequence A is same with the main model. Thue, we only solve the problem when P 1 a θ μ + P 2 θ + θ μ , we first determine P 1 and P 2 to maximize the online retailer and publisher’s profits, respectively. By solving the following optimization problem,
max P 1 Π R A = ( P 1 a d ) ( 1 P 1 + μ P 1 a μ P 2 1 θ )
max P 2 Π P A = a d ( 1 P 1 + μ P 1 a μ P 2 1 θ ) + P 2 ( P 1 + μ P 1 a μ P 2 1 θ P 2 θ )
We can derive the optimal retail price P 1 and P 2 as functions of a as:
P 1 * ( a ) = 2 ( 1 θ ) + a d ( 2 + θ ) + a ( 2 + 2 d θ ) μ ( 4 θ ) ( 1 + μ )
P 2 * ( a ) = θ ( 1 θ a ( μ d ( 3 + μ ) ) ) 4 θ
Plugging P 1 * ( a ) and P 2 * ( a ) into condition P 1 a θ μ + P 2 θ + θ μ , we find the condition of dual-channel holds only when 0 < a < 1 θ d d θ + μ d μ . Plugging P 1 * ( a ) into condition P 1 < a , we find the condition of discount holds only when a > 2 ( 1 θ ) 2 ( 2 + μ ) θ d ( 2 + θ + 2 μ ) .
Replacing the above solutions into the profit function of the publisher and solving the problem of publisher. If the retailer sells the printed books with discount, the optimal cover price and retailer’s profit are:
a = ( 1 θ ) ( d ( 8 + θ 2 ) 2 ( 1 d ) θ μ ) 2 ( d 2 ( 1 θ ) ( 8 + θ ) 8 ( 1 d ) d ( 1 θ ) μ ( 1 d ) 2 θ μ 2 )
Π P A = d ( 1 θ ) ( d ( 2 + θ ) 2 4 ( 1 d ) θ μ ) 4 ( d 2 ( 1 θ ) ( 8 + θ ) 8 ( 1 d ) d ( 1 θ ) μ ( 1 d ) 2 θ μ 2 )
If the retailer sells the printed books with cover price, then the optimal cover price and publisher’s profit are:
a = 2 ( 1 θ ) 2 ( 2 + μ ) θ d ( 2 + θ + 2 μ )
Π P A = ( 1 d ) ( 1 θ ) ( θ + d ( 4 + θ + 4 μ ) ) ( θ 2 ( 2 + μ ) + d ( 2 + θ + 2 μ ) ) 2
By comparing publisher’s profit of the main model Π P with Π P A , we can obtain that Π P > Π P A always hold. Thus, the sequence in the main model is better off than in A model for publisher.
Proof of Proposition 
2
It is easy to achieve that if the retailer sells printed books with a discount:
a d = ( ( 1 θ ) μ ( 4 d ( θ 3 θ 2 d ( 8 θ ( 9 + θ ) ) ) μ 2 ( 1 d ) θ ( 3 + d 3 ( 1 d ) θ ) μ 2 + ( 1 d ) 2 θ 2 μ 3 32 d 2 ( 1 θ ) ) ) ( ( 1 + μ ) ( 8 ( 1 d ) d ( 1 θ ) μ + ( 1 d ) 2 θ μ 2 8 d 2 ( 1 θ ) ) 2 ) < 0
P 1 d = ( ( 1 θ ) ( θ μ 2 ( θ ( 8 + μ ) 12 ) + 2 d θ μ ( 8 ( 1 + μ ) θ ( 8 + μ ( 8 + μ ) ) ) d 2 ( 4 + θ μ ) ( 8 ( 1 + μ ) θ ( 8 + μ ( 8 + μ ) ) ) ) ) ( 8 ( 1 d ) d ( 1 θ ) μ + ( 1 d ) 2 θ μ 2 8 d 2 ( 1 θ ) ) 2 < 0
P 2 d = ( 1 θ ) θ μ ( 3 ( 1 d ) 2 θ μ 2 8 d 2 ( 1 θ ) 8 ( 1 d ) d θ μ ) ( 8 ( 1 d ) d ( 1 θ ) μ + ( 1 d ) 2 θ μ 2 8 d 2 ( 1 θ ) ) 2 < 0
P 1 μ = ( 1 d ) ( 1 θ ) ( 8 d 2 ( 4 θ ) ( 1 θ ) + 8 ( 1 d ) d θ μ ( 1 d ) 2 θ 2 μ 2 ) ( 8 ( 1 d ) d ( 1 θ ) μ + ( 1 d ) 2 θ μ 2 8 d 2 ( 1 θ ) ) 2 > 0 a μ > 0
P 2 μ = ( 1 d ) d ( 1 θ ) θ ( 8 d 2 ( 1 θ ) + 8 ( 1 d ) d θ μ 3 ( 1 d ) 2 θ μ 2 ) ( 8 ( 1 d ) d ( 1 θ ) μ + ( 1 d ) 2 θ μ 2 8 d 2 ( 1 θ ) ) 2 > 0
If the retailer sells the printed book with a discount, the cover prices and retail prices are decreasing in d and increasing in μ .
In the case that the retailer sells printed books with the cover price and no consumer choose e-books.
a d = 1 + μ 2 ( ( 1 d ) μ d ) 2 < 0
P 1 d = μ 2 ( ( 1 d ) μ d ) 2 < 0
P 2 d = 0
a μ = 1 + d 2 ( ( 1 d ) μ d ) 2 > 0
P 1 μ = 1 2 ( ( 1 d ) d ( d ( 1 d ) μ ) 2 1 θ ( 2 θ ) ( 1 + μ ) 2 ) > 0
P 2 μ = 0
If the retailer sells printed books with the cover price:
a d = ( 1 θ ) ( 1 + μ ) ( ( 2 + μ ) 2 + d 2 ( 1 + μ ) ( 1 + θ + μ ) + d ( 1 + θ + μ ) ( θ 2 ( 2 + μ ) ) ) ( ( θ μ 2 ) ( 2 + μ ) + 2 d ( 1 + μ ) ( 2 + μ ) d 2 ( 1 + μ ) ( 1 + θ + μ ) ) 2 > 0
P 2 d = ( ( 1 θ ) θ ( 1 + μ ) ( 2 d ( 5 θ + 3 μ ) ( 2 + μ ) d 2 ( 7 θ + 3 μ ) ( 1 + μ ) ( 2 + μ ) ( θ 3 ( 2 + μ ) ) ) ) ( 2 ( ( θ μ 2 ) ( 2 + μ ) + 2 d ( 1 + μ ) ( 2 + μ ) d 2 ( 1 + μ ) ( 1 + θ + μ ) ) 2 )
a μ = ( ( 1 d ) ( 1 θ ) ( 2 θ ( 2 + μ ) θ 2 2 d 2 ( 1 + μ ) 2 2 ( 2 + μ ) 2 d ( θ 2 + 2 θ μ 4 ( 1 + μ ) ( 2 + μ ) ) ) ) ( 2 ( ( 2 + θ μ 2 ) ( 2 + μ ) + 2 d ( 1 + μ ) ( 2 + μ ) d 2 ( 1 + μ ) ( 1 + θ + μ ) ) 2 ) < 0
P 2 μ = ( 1 d ) ( 1 θ ) θ ( 3 d 2 ( 1 + μ ) 2 2 d 3 ( 1 + μ ) 2 ( 2 + μ ) 2 d ( θ 2 ( 2 + μ ) ) ) 2 ( ( θ μ 2 ) ( 2 + μ ) + 2 d ( 1 + μ ) ( 2 + μ ) d 2 ( 1 + μ ) ( 1 + θ + μ ) ) 2
It suffices to prove P 2 d > 0 when d 4 < d < d 5 , where d 5 = ( 5 + θ 3 μ ) ( 2 + μ ) ( 7 + θ 3 μ ) ( 1 + μ ) ( 2 + μ ) ( θ ( 7 + θ 3 μ ) + 4 ( 2 + μ ) ) ( 7 + θ 3 μ ) 2 ( 1 + μ ) 2 ; otherwise P 2 d < 0 . Furthermore, P 2 μ is positive when d 4 < d < d 6 ; otherwise P 2 μ is negative. Thus, the retail price of e-books is not monotonic in d and μ . The cover price is increasing in d but decreasing in μ . □
Proof of Corollary 
1
We then prove how the thresholds of d influence by consumers’ reference price effect.
d 1 μ >0, d 2 μ >0,   d 3 μ >0,   d 4 μ >0,   d 5 μ >0. Thus, the thresholds of d are increasing in μ . □
Proof of Proposition 
3
We then prove how the key parameters: publishing discount rate d , consumers’ acceptance level of e-books θ and consumers’ concern about discount μ affect the retailer’s discount decision. we introduce a notation s = 1 P 1 a refers to the sales discount rate of print books.
If the retailer sales printed books with the cover price, then s = 0 ; if the retailer sale printed books with a discount, then s 1 = 2 d ( 2 d ( 3 θ ) ) + ( 1 d ) ( 2 d ( 3 θ ) θ ) μ ( 1 + μ ) ( 4 d ( 1 d ) θ μ ) if e-books have demand; otherwise, s 2 = 2 θ + 3 μ 2 θ μ d ( 3 2 θ ) ( 1 + μ ) ( 2 θ ) ( 1 + μ )
It is easy to obtain that:
s 1 d = 2 ( 3 θ ) ( 2 d θ μ ( 1 + μ ) θ μ 2 d 2 ( 1 + μ ) ( 4 + θ μ ) ) ( 1 + μ ) ( 4 d ( 1 d ) θ μ ) 2 < 0
s 2 d = 1 2 θ 2 < 0
s 1 θ = 2 d ( d ( 1 d ) μ ) ( 4 d 3 ( 1 d ) μ ) ( 1 + μ ) ( 4 d ( 1 d ) θ μ ) 2 > 0
s 2 θ = d ( 1 d ) μ ( 2 θ ) 2 ( 1 + μ ) > 0
s 1 μ = ( 2 d 2 ( 4 θ ( 7 d ( 3 θ ) + θ ) ) + 4 ( 1 d ) d ( 2 d ( 3 θ ) ) θ μ ( 1 d ) 2 θ ( θ 2 d ( 3 θ ) ) μ 2 ) ( ( 1 + μ ) 2 ( 4 d ( 1 d ) θ μ ) 2 )
s 2 μ = 1 θ ( 2 θ ) ( 1 + μ ) 2 > 0
The sign of s 1 μ if the retailer sale printed books with a discount in the feasible region d 3 < d < d 4 could switch between positive and negative. The sales discount rate is nonmonotonic in μ .  
Proof of Lemma 
3
We then prove how the key parameters: publishing discount rate d affect the pubsliher’s wholesale price and profit. we introduce a notation w = d a refers to the wholesela price of printed books.
The wholesale price for each prcing strategies are w i = d * a i = d 2 ( d ( 1 d ) μ ) ,   w i i = d * a i i = d 2 ( d ( 1 d ) μ ) , w i i i = d * a i i i = d ( 1 θ ) ( 4 d ( 1 d ) θ μ ) 8 d 2 ( 1 θ ) 8 ( 1 d ) d ( 1 θ ) μ ( 1 d ) 2 θ μ 2 , w i v = d * a i v = d ( 1 θ ) ( θ + 2 d ( 1 + μ ) 2 ( 2 + μ ) ) 2 ( 2 d ( 1 + μ ) ( 2 + μ ) ( 2 + μ ) ( 2 θ + μ ) d 2 ( 1 + μ ) ( 1 + θ + μ ) ) , respectively.
It is easy to obtain that
w i d < 0 , w i i d < 0 , w i i i d < 0 , w i v d > 0 . The wholesale prices of printed books are decresing in d if the printed book is sold with discount ( w i ,   w i i ,   w i i i ), otherwise, the printed books is sold with cover pirce, and the wholesale prince is increasing in d . □
Proof of Proposition 
4
It is easy to achieve that:
Π P i d < 0 , Π P i i d < 0 , Π P i i i d < 0 ,   Π P i v d < 0 .
The publisher’s profits are always decreasing in d . □
Proof of Proposition 
5
Proposition 5 can be derived by comparing the results of Lemma 1 and Lemma 2. □
Proof of Lemma 
4
We begin to solve the problem when P 1 P 2 θ a a θ μ θ + θ μ , we first solve the retailer’s problem:
max P 1 Π R = ( P 1 a d ) ( 1 ( 1 μ ) ( P 1 P 2 ) 1 θ )
After characterizing the optimal value of P 1 = a r g m a x Π R ( a , P 2 ) = 1 θ + a d ( 1 + μ ) + ( 1 + μ ) P 2 2 ( 1 + μ ) . We substitute back into the publisher’s problem. We use the first order condition to solve the problem:
max a ,   P 2 Π P = a d ( 1 ( 1 μ ) ( P 1 P 2 ) 1 θ ) + P 2 ( ( 1 μ ) ( P 1 P 2 ) 1 θ P 2 + μ P 2 a μ θ )
s . t .   1 θ + ( 1 + μ ) P e ( 2 d ) ( 1 + μ ) a
P 2 < 2 a μ + θ ( 1 + a ( d ( 2 d ) μ ) ) θ 2 ( 2 θ ) ( 1 + μ )
First, we check the second order condition by examining the Hessian.
H = [ 2 Π P a 2 2 Π P P 2 a 2 Π P a P 2 2 Π P P 2 2 ] = [ d 2 ( 1 + μ ) 1 θ 2 d θ + 2 ( 1 θ + d θ ) μ 2 ( 1 θ ) θ 2 d θ + 2 ( 1 θ + d θ ) μ 2 ( 1 θ ) θ 2 θ ( 1 θ ) θ ]
H is negative semidefinite if and only if d 2 ( 1 + μ ) 1 θ 0 and ( d 2 ( 1 + μ ) 1 θ ) × ( 2 θ ( 1 θ ) θ ) 2 d θ + 2 ( 1 θ + d θ ) μ 2 ( 1 θ ) θ × 2 d θ + 2 ( 1 θ + d θ ) μ 2 ( 1 θ ) θ 0 . These conditions hold when 0 < μ < 1 ,   μ 2 2 + 2 μ + μ 2 < θ < 1   and   d 5 < d < 1 , where d 5 = 1 2 ( ( 2 θ ) μ 2 θ ( 1 + μ ) 2 + μ 1 + μ ) . The following analysis is conducted based on these conditions.
The following analysis is conducted based on these conditions. The Lagrangian formulation of the problem is given by:
L = a d ( 1 ( 1 μ ) ( P 1 P 2 ) 1 θ ) + P 2 ( ( 1 μ ) ( P 1 P 2 ) 1 θ P 2 + μ P 2 a μ θ ) + h ( a 1 θ + ( 1 + μ ) P e ( 2 d ) ( 1 + μ ) ) + j ( 2 a μ + θ ( 1 + a ( d ( 2 d ) μ ) ) θ 2 ( 2 θ ) ( 1 + μ ) P 2 )
The optimal solutions must satisfy the following K.K.T. conditions:
L a = 0
L P 2 = 0
L h 0 ,   h L h = h ( a 1 θ + ( 1 + μ ) P e ( 2 d ) ( 1 + μ ) ) = 0
L j 0 ,   j L j = j ( 2 a μ + θ ( 1 + a ( d ( 2 d ) μ ) ) θ 2 ( 2 θ ) ( 1 + μ ) P 2 ) = 0
  • Case 1: h = 0 ,   j = 0
Equations (A9) and (A10) leads to a * = θ ( μ θ μ + 2 d ( 1 + μ ) ) 4 d 2 θ ( 1 + μ ) 2 2 ( 1 θ ) μ 2 4 d θ μ ( 1 + μ ) and P 2 * = d θ ( μ θ μ + 2 d θ ( 1 + μ ) ) 4 d 2 θ ( 1 + μ ) 2 2 ( 1 θ ) μ 2 4 d θ μ ( 1 + μ ) . We then verify Equations (A11) and (A12). Plugging a * and P 2 * into a 1 θ + ( 1 + μ ) P e ( 2 d ) ( 1 + μ ) 0 , we obtain d 2 ( 3 θ ) θ ( 1 + μ ) 2 + ( 1 θ ) μ ( θ + μ ) d θ ( 1 + μ ) ( 2 + ( 3 θ ) μ ) ( 2 d ) ( 1 + μ ) ( ( 1 θ ) μ 2 + 2 d θ μ ( 1 + μ ) 2 d 2 θ ( 1 + μ ) 2 ) 0 . This condition holds when μ 2 2 + 2 μ + μ 2 < θ < μ 2   , d 5 < d < 1 and μ 2 < θ < 1   a n d   d 5 < d < d 6 , where d 6 = 1 2 ( 1 1 θ ( 3 θ ) ( 1 + μ ) + 4 θ + 4 ( 3 θ ) ( 2 θ ) θ μ + ( 3 θ ) ( 4 θ θ 2 ) μ 2 ( 3 θ ) 2 θ ( 1 + μ ) 2 ) . Plugging a * and P 2 * into 2 a μ + θ ( 1 + a ( d ( 2 d ) μ ) ) θ 2 ( 2 θ ) ( 1 + μ ) P 2 0 , we find this condition always holds when 0 < μ < 1 ,   μ 2 2 + 2 μ + μ 2 < θ < 1   and   d 5 < d < 1 . In summary, the condition of Case 1 is μ 2 2 + 2 μ + μ 2 < θ < μ 2   , d 5 < d < 1 and μ 2 < θ < 1   a n d   d 5 < d < d 6 . Furthermore, the retail price of printed books is θ ( 2 d ( 1 + μ ) μ + θ μ ) 2 ( 1 θ ) μ 2 + 4 d θ μ ( 1 + μ ) 4 d 2 θ ( 1 + μ ) 2 and the publisher’s optimal profit is d θ ( d ( 1 + θ ) ( 1 + μ ) μ + θ μ ) 4 ( 1 θ ) μ 2 + 8 d θ μ ( 1 + μ ) 8 d 2 θ ( 1 + μ ) 2 .
  • Case 2: h = 0 , j 0
By Equations (A9), (A10) and (A12), we obtain a * = 1 2 d 2 μ + 2 d μ , P 2 * = 2 ( 1 + θ ) 2 μ + d θ ( 3 + 2 θ ) ( 1 + μ ) 2 ( 2 + θ ) ( 1 + μ ) ( d + ( 1 + d ) μ ) and j = μ + θ ( d + ( 1 + d ) μ ) 2 θ ( d + ( 1 + d ) μ ) . when μ 2 2 + 2 μ + μ 2 < θ < 1   , d 5 < d < 1 , j < 0 . Thus, this case is infeasible.
  • Case 3: h 0 ,   j = 0
By Equations (A9)–(A11), we obtain a * = ( 1 θ ) ( 4 θ + 3 μ 2 d ( 1 + μ ) ) 2 ( 1 + μ ) ( 4 2 θ + 2 μ d ( 4 + ( 3 + θ ) μ d ( 1 + θ ) ( 1 + μ ) ) ) , P 2 * = ( 1 θ ) ( ( 2 d ) μ + θ ( 2 + d ( 1 + 2 μ 2 d ( 1 + μ ) ) ) ) 2 ( 1 + μ ) ( 4 2 θ + 2 μ d ( 4 + ( 3 + θ ) μ d ( 1 + θ ) ( 1 + μ ) ) ) and h = d 2 ( 3 θ ) θ ( 1 + μ ) 2 ( 1 θ ) μ ( θ + μ ) d θ ( 1 + μ ) ( 2 + ( 3 θ ) μ ) 2 θ ( 1 + μ ) ( 4 2 θ + 2 μ d ( 4 + ( 3 + θ ) μ d ( 1 + θ ) ( 1 + μ ) ) ) . To guarantee h 0 , we have μ 2 < θ < 1 and d 6 < d < 1 . We then check the constraint 2 a μ + θ ( 1 + a ( d ( 2 d ) μ ) ) θ 2 ( 2 θ ) ( 1 + μ ) P 2 0 , which is always satisfied. In summary, the condition of Case 3 is μ 2 < θ < 1 and d 6 < d < 1 , and the retail price of printed books is the cover price and the publisher’s optimal profit is ( 1 θ ) ( 4 d θ ( 1 + μ ) 2 4 d 2 θ ( 1 + μ ) 2 + ( θ + μ ) 2 ) 4 θ ( 1 + μ ) 2 ( 4 2 θ + 2 μ d ( 4 + ( 3 + θ ) μ d ( 1 + θ ) ( 1 + μ ) ) ) .
  • Case 4:h   0 ,   j 0
By Equations (A11) and (A12), we obtain h = ( 2 θ ) ( θ 2 μ ( 2 d + ( 1 d ) μ ) θ ( 2 d ( 1 + μ ) ( 3 + 2 μ 2 d ( 1 + μ ) ) ) ) 2 θ ( d + θ ( 1 d ) μ 2 ) 2 and j = d ( 1 + μ ) ( d ( 3 2 θ ) ( 1 + μ ) + θ ( 1 + 2 μ ) 2 3 μ ) 2 ( d + θ ( 1 d ) μ 2 ) 2 . The condition h   0 leads to j < 0 . Thus, this case is infeasible.
The single channel case is the same as the base model. The optimal solutions are characterized in the following lemma. □

References

  1. Cheng, Y.; Dong, C.; Liu, R. The coexistence of printed book and electronic book in a book supply chain. In Proceedings of the 2017 IEEE International Conference on Industrial Engineering and Engineering Management (IEEM), Singapore, 10–13 December 2017; pp. 1421–1425. [Google Scholar]
  2. Lu, Q.H.; Shi, V.; Huang, J.Z. Who benefit from agency model: A strategic analysis of pricing models in distribution channels of physical books and e-books. Eur. J. Oper. Res. 2018, 264, 1074–1091. [Google Scholar] [CrossRef]
  3. Hua, G.; Cheng, T.C.E.; Wang, S. Electronic books: To “E” or not to “E”? A strategic analysis of distribution channel choices of publishers. Int. J. Prod. Econ. 2011, 129, 338–346. [Google Scholar] [CrossRef]
  4. Count, S.D. Global Book Printing Market Is Anticipated to Reach Values of around $49 Billion by 2024, Growing at A CAGR of More than 1% during 2020–2024. Available online: https://www.comserveonline.com/news-releases/global-book-printing-market-is-anticipated-to-reach-values-of-around-49-billion-by-2024-growing-at-a-cagr-of-more-than-1-during-2020-2024/10027601 (accessed on 19 March 2021).
  5. Fabrizi, S.; Lippert, S.; Puppe, C.; Rosenkranz, S. Manufacturer suggested retail prices, loss aversion and competition. J. Econ. Psychol. 2016, 53, 141–153. [Google Scholar] [CrossRef]
  6. Rosenkranz, S. The Manufacturer’s Suggested Retail Price; Utrecht School of Economics: Utrecht, The Netherlands, 2003. [Google Scholar]
  7. Malekian, Y.; Rasti-Barzoki, M. A game theoretic approach to coordinate price promotion and advertising policies with reference price effects in a two-echelon supply chain. J. Retail. Consum. Serv. 2019, 51, 114–128. [Google Scholar] [CrossRef]
  8. Bruttel, L. The Effects of Non-Binding Retail-Price Recommendations on Consumer and Retailer Behavior; Thurgauer Wirtschaftsinstitut, Universität Konstanz: Konstanz, Germany, 2014. [Google Scholar]
  9. Ariely, D.; Loewenstein, G.; Prelec, D. “Coherent Arbitrariness”: Stable Demand Curves Without Stable Preferences. Q. J. Econ. 2003, 118, 73–106. [Google Scholar] [CrossRef]
  10. Corson-Knowles, T. 9 Amazon Book Promotion Programs that Can Help You Sell More Books Every Day. Available online: https://www.tckpublishing.com/amazon-book-promotion-programs/ (accessed on 19 March 2021).
  11. Department, S.R. Which Product Category Interests You Most in Terms of Discounts? Available online: https://www.statista.com/statistics/858043/discount-interest-germany/ (accessed on 19 March 2021).
  12. Wanat, G. Factors Contributing to the Decision to Purchase a Book in Poland in 2019. Available online: https://www.statista.com/statistics/1077726/poland-factors-in-buying-books/ (accessed on 19 March 2021).
  13. De los Santos, B.; Kim, I.K.; Lubensky, D. Do MSRPs decrease prices? Int. J. Ind. Organ. 2018, 59, 429–457. [Google Scholar] [CrossRef]
  14. Atasoy, O.; Morewedge, C.K. Digital Goods Are Valued Less Than Physical Goods. J. Consum. Res. 2018, 44, 1343–1357. [Google Scholar] [CrossRef]
  15. Sehn, T.C.M.; Fragoso, S. The synergy between eBooks and printed books in Brazil. Online Inf. Rev. 2015, 39, 401–415. [Google Scholar] [CrossRef]
  16. Mooney, S. Digital object identifiers for eBooks: What are we identifying? Publ. Res. Q. 2001, 17, 29–36. [Google Scholar] [CrossRef]
  17. De Young, N. How Digital Content Resellers are Impacting Trade Book Publishing. Publ. Res. Q. 2009, 25, 139–146. [Google Scholar] [CrossRef]
  18. Ramaiah, C.K. An overview of electronic books: A bibliography. Electron. Libr. 2005, 23, 17–44. [Google Scholar] [CrossRef][Green Version]
  19. Bounie, D.; Eang, B.; Sirbu, M.; Waelbroeck, P. Superstars and outsiders in online markets: An empirical analysis of electronic books. Electron. Commer. Res. Appl. 2013, 12, 52–59. [Google Scholar] [CrossRef]
  20. Chen, H.L.; Hu, Y.J.; Smith, M.D. The Impact of E-book Distribution on Print Sales: Analysis of a Natural Experiment. Manag. Sci. 2019, 65, 19–31. [Google Scholar] [CrossRef]
  21. Li, Y.; Lin, Z.; Xu, L.; Swain, A. “Do the electronic books reinforce the dynamics of book supply chain market?”–A theoretical analysis. Eur. J. Oper. Res. 2015, 245, 591–601. [Google Scholar] [CrossRef]
  22. Li, F.; Li, S.L.; Gu, J.R. Whether to Delay the Release of eBooks or Not? An Analysis of Optimal Publishing Strategies for Book Publishers. J. Theor. Appl. Electron. Commer. Res. 2019, 14, 124–137. [Google Scholar] [CrossRef]
  23. Chen, L.; Tang, W. Analysis of Network Effect in the Competition of Self- Publishing Market. J. Theor. Appl. Electron. Commer. Res. 2020, 15, 50–68. [Google Scholar] [CrossRef]
  24. Hao, L.; Fan, M. An Analysis of Pricing Models in the Electronic Book Market. MIS Q. 2014, 38, 1017–1032. [Google Scholar] [CrossRef]
  25. Tan, Y.L.; Carrillo, J.E. Strategic Analysis of the Agency Model for Digital Goods. Prod. Oper. Manag. 2017, 26, 724–741. [Google Scholar] [CrossRef]
  26. Wang, R.X. When Prospect Theory Meets Consumer Choice Models: Assortment and Pricing Management with Reference Prices. Manuf. Serv. Oper. Manag. 2018, 20, 583–600. [Google Scholar] [CrossRef]
  27. Winer, R.S. A Reference Price Model of Brand Choice for Frequently Purchased Products. J. Consum. Res. 1986, 13, 250–256. [Google Scholar] [CrossRef]
  28. Zha, Y.; Zhang, L.; Xu, C.; Zhang, T. A two-period pricing model with intertemporal and horizontal reference price effects. Int. Trans. Oper. Res. 2018, 28, 1417–1440. [Google Scholar] [CrossRef]
  29. Rajendran, K.N.; Tellis, G.J. Contextual and Temporal Components of Reference Price. J. Mark. 1994, 58, 22–34. [Google Scholar] [CrossRef]
  30. DellaVigna, S. Psychology and Economics: Evidence from the Field. J. Econ. Lit. 2009, 47, 315–372. [Google Scholar] [CrossRef]
  31. Ho, T.H.; Lim, N.; Camerer, C.F. Modeling the Psychology of Consumer and Firm Behavior with Behavioral Economics. J. Mark. Res. 2006, 43, 307–331. [Google Scholar] [CrossRef]
  32. Andres-Martinez, M.E.; Gomez-Borja, M.A.; Mondejar-Jimenez, J.A. A model to evaluate the effects of price fairness perception in online hotel booking. Electron. Commer. Res. 2014, 14, 171–187. [Google Scholar] [CrossRef]
  33. Chen, K.H.; Zha, Y.; Alwan, L.C.; Zhang, L. Dynamic pricing in the presence of reference price effect and consumer strategic behaviour. Int. J. Prod. Res. 2020, 58, 546–561. [Google Scholar] [CrossRef]
  34. Zhao, N.G.; Wang, Q.; Cao, P.; Wu, J. Dynamic pricing with reference price effect and price-matching policy in the presence of strategic consumers. J. Oper. Res. Soc. 2019, 70, 2069–2083. [Google Scholar] [CrossRef]
  35. Fibich, G.; Gavious, A.; Lowengart, O. Explicit solutions of optimization models and differential games with nonsmooth (asymmetric) reference-price effects. Oper. Res. 2003, 51, 721–734. [Google Scholar] [CrossRef]
  36. Hu, Z.; Chen, X.; Hu, P. Technical Note—Dynamic Pricing with Gain-Seeking Reference Price Effects. Oper. Res. 2016, 64, 150–157. [Google Scholar] [CrossRef]
  37. Popescu, I.; Wu, Y.Z. Dynamic pricing strategies with reference effects. Oper. Res. 2007, 55, 413–429. [Google Scholar] [CrossRef]
  38. Yang, H.; Zhang, D.; Zhang, C. The influence of reference effect on pricing strategies in revenue management settings. Int. Trans. Oper. Res. 2017, 24, 907–924. [Google Scholar] [CrossRef]
  39. Bi, W.J.; Li, G.; Liu, M.Q. Dynamic pricing with stochastic reference effects based on a finite memory window. Int. J. Prod. Res. 2017, 55, 3331–3348. [Google Scholar] [CrossRef]
  40. Greenleaf, E.A. The Impact of Reference Price Effects on the Profitability of Price Promotions. Mark. Sci. 1995, 14, 82–104. [Google Scholar] [CrossRef]
  41. Fibich, G.; Gavious, A.; Lowengart, O. Optimal price promotion in the presence of asymmetric reference-price effects. Manag. Decis. Econ. 2007, 28, 569–577. [Google Scholar] [CrossRef]
  42. Lin, Z.B. Price promotion with reference price effects in supply chain. Transp. Res. E-Log. 2016, 85, 52–68. [Google Scholar] [CrossRef]
  43. Zhang, J.; Chiang, W.Y.K.; Liang, L. Strategic pricing with reference effects in a competitive supply chain. Omega 2014, 44, 126–135. [Google Scholar] [CrossRef]
  44. Buehler, S.; Gartner, D.L. Making Sense of Nonbinding Retail-Price Recommendations. Am. Econ. Rev. 2013, 103, 335–359. [Google Scholar] [CrossRef]
  45. Puppe, C.; Rosenkranz, S. Why Suggest Non-Binding Retail Prices? Economica 2011, 78, 317–329. [Google Scholar] [CrossRef]
  46. Leeper, D. Book Distributors and Book Wholesalers: What’s the Difference? Available online: https://www.bookmobile.com/opinion/book-distributors-and-book-wholesalers-whats-the-difference/ (accessed on 19 March 2021).
  47. Martin, K. Understanding Wholesale Discounte When Self-Publishing a Book. Available online: https://www.self-pub.net/blog/understanding-wholesale-discounts-when-self-publishing-a-book/ (accessed on 19 March 2021).
  48. Kunst, A.U.S. Consumers Attitude towards Cheaper e-Books April 2017. Available online: https://www.statista.com/statistics/707093/attitude-e-books-cheaper-than-printed-version/ (accessed on 19 March 2021).
  49. Thaler, R. Mental Accounting and Consumer Choice. Mark. Sci. 1985, 4, 199–214. [Google Scholar] [CrossRef]
  50. Amaldoss, W.; He, C. Reference-Dependent Utility, Product Variety, and Price Competition. Manag. Sci. 2018, 64, 4302–4316. [Google Scholar] [CrossRef]
  51. Sacco, A.; De Giovanni, P. Channel coordination with a manufacturer controlling the price and the effect of competition. J. Bus. Res. 2019, 96, 97–114. [Google Scholar] [CrossRef]
  52. Cachon, G.P.; Lariviere, M.A. Supply chain coordination with revenue-sharing contracts: Strengths and limitations. Manag. Sci. 2005, 51, 30–44. [Google Scholar] [CrossRef]
  53. De Giovanni, P. Coordination in a distribution channel with decisions on the nature of incentives and share-dependency on pricing. J. Oper. Res. Soc. 2017, 67, 1034–1049. [Google Scholar] [CrossRef]
  54. Clerides, S.K. Book value: Intertemporal pricing and quality discrimination in the US market for books. Int. J. Ind. Organ. 2002, 20, 1385–1408. [Google Scholar] [CrossRef]
  55. Tversky, A.; Kahneman, D. Loss Aversion in Riskless Choice: A Reference-Dependent Model. Q. J. Econ. 1991, 106, 1039–1061. [Google Scholar] [CrossRef]
Publisher’s Note: MDPI stays neutral with regard to jurisdictional claims in published maps and institutional affiliations.

Article Metrics

Citations

Article Access Statistics

Multiple requests from the same IP address are counted as one view.