Sign in to use this feature.

Years

Between: -

Subjects

remove_circle_outline
remove_circle_outline
remove_circle_outline
remove_circle_outline
remove_circle_outline
remove_circle_outline
remove_circle_outline

Journals

Article Types

Countries / Regions

Search Results (58)

Search Parameters:
Keywords = zirconium-based catalysts

Order results
Result details
Results per page
Select all
Export citation of selected articles as:
22 pages, 3204 KB  
Article
Texturally Modified Zirconia–Tungstophosphoric Acid Catalysts for Efficient Lignocellulosic Pyrolysis
by Jose L. Buitrago, Leticia Jésica Méndez, Mónica Laura Casella, Juan Antonio Cecilia, Enrique Rodríguez-Castellón, Ileana D. Lick and Luis R. Pizzio
Reactions 2026, 7(1), 21; https://doi.org/10.3390/reactions7010021 - 14 Mar 2026
Viewed by 403
Abstract
This work presents the synthesis, characterization, and application of zirconium oxide (ZrO2)-based catalysts, modified with macro (silica nanospheres, NSP-SiO2) and mesopore templates (Pluronic 123), impregnated with tungstophosphoric acid (TPA), in the catalytic pyrolysis of tomato agro-industrial residues. The NSP-SiO [...] Read more.
This work presents the synthesis, characterization, and application of zirconium oxide (ZrO2)-based catalysts, modified with macro (silica nanospheres, NSP-SiO2) and mesopore templates (Pluronic 123), impregnated with tungstophosphoric acid (TPA), in the catalytic pyrolysis of tomato agro-industrial residues. The NSP-SiO2 (SXX) and P123 (PYY) amount mainly influences the ZrO2SXXPYY-specific surface area (SBET) and average pore diameter (Dp). 31P MAS NMR and FT-IR characterization results show that TPA (H3PW12O40) was partially transformed into [P2W21O71]6− and [PW11O39]7− during the synthesis steps. The acidic properties of ZrO2SXXPYY samples containing 25 and 50 wt% of TPA (ZrO2SXXPYYT25 and ZrO2SXXPYYT50, respectively) are dependent on both the TPA content and the support nature. Bio-oil composition and product selectivity were strongly influenced by the textural and acid-based properties of the catalysts. Notably, non-catalytic pyrolysis favored pathways leading to C2 compounds, with a high content of acetic acid and hydroxyacetone. In contrast, the use of catalysts promoted the formation of higher molecular weight oxygenated compounds (C5–C6), specifically furans, aldehydes, and ketones. Full article
Show Figures

Figure 1

17 pages, 1706 KB  
Article
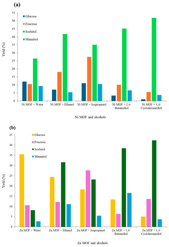
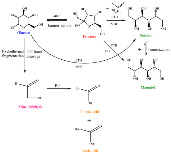
Novel Ni/Zn MOFs for Sorbitol Production via Catalytic Transfer Hydrogenation
by Vuyolwethu Tokoyi and Nirmala Deenadayalu
Molecules 2025, 30(23), 4565; https://doi.org/10.3390/molecules30234565 - 27 Nov 2025
Cited by 1 | Viewed by 805
Abstract
Researchers continue to explore alternative catalysts that are more abundant and effective for hydrogenation reactions to produce sorbitol, such as those using nickel, ruthenium, or zirconium metal centers. This study examined the catalytic transfer hydrogenation of glucose to sorbitol using different alcohol hydrogen [...] Read more.
Researchers continue to explore alternative catalysts that are more abundant and effective for hydrogenation reactions to produce sorbitol, such as those using nickel, ruthenium, or zirconium metal centers. This study examined the catalytic transfer hydrogenation of glucose to sorbitol using different alcohol hydrogen donors, specifically ethanol, isopropanol, 1,4-butanediol, and 1,4-cyclohexanediol, with the prepared Ni/Zn MOF catalysts. It also assessed how sacrificial alcohols affected the transformation and selectivity toward sorbitol. The results confirmed the successful catalytic activity and feasibility of this process using MOFs, especially the Ni-based one, which produced up to 51.8% sorbitol, while the Zn-based catalyst yielded 42.3% sorbitol in 1,4-cyclohexanediol. Sacrificial diols exhibited enhanced efficacy as hydrogen donors relative to short-chain alcohols, specifically terminal diols such as 1,4-butanediol and 1,4-cyclohexanediol, which provided substantial hydrogen donation potential and improved selectivity in the conversion of glucose to sorbitol, achieving maximum yields of 45.12% with 1,4-butanediol and 51.8% with 1,4-cyclohexanediol. Regarding the catalysts, both Ni and Zn MOFs improved the transfer hydrogenation process in sugar alcohol mixtures compared to aqueous solutions, and particularly the Ni MOF, with its high surface area and multiple active sites, enhanced the catalytic transformation process. The results clearly indicate that the structural and chemical properties of these alcohols affect the quantity of hydrogen generated and transferred, which is crucial for the efficient overall yield of sorbitol. This insight enhances the understanding of this engineered system and its potential future applications in sustainable biomass utilization. Full article
Show Figures

Figure 1

15 pages, 3043 KB  
Article
Synthesis of Defective MOF-801 via Air–Liquid Segmented Flow for Catalytic Transfer Hydrogenation of Furfural
by Yuxuan Liu, Qiuju Fu, Weijing Niu, Yingxin Zhang, Wenpeng Xie, Huimin Jiang, Liting Yan, Guangda Li and Xuebo Zhao
Molecules 2025, 30(13), 2697; https://doi.org/10.3390/molecules30132697 - 22 Jun 2025
Cited by 4 | Viewed by 1832
Abstract
As one of the most important platform chemicals, furfural (FAL) can be converted into high-value-added products such as furfuryl alcohol (FOL) through multiple pathways. Zirconium-based MOF-801 demonstrates exceptional catalytic potential for FAL conversion via catalytic transfer hydrogenation (CTH), owing to its unique crystal [...] Read more.
As one of the most important platform chemicals, furfural (FAL) can be converted into high-value-added products such as furfuryl alcohol (FOL) through multiple pathways. Zirconium-based MOF-801 demonstrates exceptional catalytic potential for FAL conversion via catalytic transfer hydrogenation (CTH), owing to its unique crystal defects generated during growth. In this study, a series of defective MOF-801 samples were efficiently synthesized using an air–liquid segmented microfluidic technique. The characterization results reveal that the air–liquid segmented flow method not only regulates the defect content of MOF-801 to expose more active sites but also adjusts the crystal size and pore structures by precisely controlling the reaction time. The enhanced defects in MOF-801 significantly improved its catalytic performance. A-MOF-801-64 exhibited the highest activity, achieving over 99% FAL conversion and 98% FOL selectivity under mild conditions (130 °C, 12 h) using isopropanol as the hydrogen donor; this performance surpassed that of other reported Zr-based catalysts. This study will facilitate the practical applications of defect-engineered MOF-801 in upgrading biomass-derived chemicals. Full article
(This article belongs to the Special Issue Modern Materials in Energy Storage and Conversion—Second Edition)
Show Figures

Graphical abstract

17 pages, 5897 KB  
Article
MOF-808 as Effective Support for Cu-Based Catalyst for CO2 Hydrogenation to Methanol
by Abinavnataraj Ramakrishnan, Simmy Rathod, Wakshum Mekonnen Tucho, Sachin M. Chavan and Zhixin Yu
Catalysts 2025, 15(4), 324; https://doi.org/10.3390/catal15040324 - 28 Mar 2025
Cited by 4 | Viewed by 3793
Abstract
The thermocatalytic hydrogenation of CO2 to methanol offers a promising route for reducing greenhouse gas emissions (GHG) and producing valuable chemicals and fuels. In this study, copper–zinc bimetallic catalysts supported on a zirconium-based MOF-808 framework were synthesized via a facile deposition–precipitation method [...] Read more.
The thermocatalytic hydrogenation of CO2 to methanol offers a promising route for reducing greenhouse gas emissions (GHG) and producing valuable chemicals and fuels. In this study, copper–zinc bimetallic catalysts supported on a zirconium-based MOF-808 framework were synthesized via a facile deposition–precipitation method and compared to a conventional Cu/ZnO/Al2O3 (CZA) catalyst. MOF-808 was selected due to its high surface area and porous structure, which enhance metal dispersion. Characterization through X-ray diffraction (XRD) and N2 physisorption showed significant changes in surface area and pore structure after Cu-Zn incorporation and calcination. The 50-CuZn MOF-808 catalyst achieved the best catalytic performance at 260 °C and 40 bar, demonstrating a high STY of 193.32 gMeOH·Kgcat−1 h−1 and a turnover frequency (TOF) of 47.44 h−1, surpassing traditional CZA catalysts. The strong Cu-Zn-Zr interactions within the MOF-808 framework played a crucial role in promoting CO2 activation and methanol formation. This study underscores the potential of MOF-808-supported Cu-Zn catalysts as viable alternatives to traditional systems for CO2 hydrogenation to methanol. Full article
(This article belongs to the Special Issue Catalysis for CO2 Conversion, 2nd Edition)
Show Figures

Graphical abstract

17 pages, 1528 KB  
Article
Innovative Production of 3D-Printed Ceramic Monolithic Catalysts for Oxidation of VOCs by Using Fused Filament Fabrication
by Filip Car, Nikolina Zekić, Domagoj Vrsaljko and Vesna Tomašić
Catalysts 2025, 15(2), 125; https://doi.org/10.3390/catal15020125 - 27 Jan 2025
Cited by 5 | Viewed by 3348
Abstract
In this work, ceramic monolithic catalyst carriers based on zirconium dioxide (ZrO2) were produced using fused filament fabrication (FFF). The active catalyst components were deposited on the resulting carriers using the wet impregnation method. The activity of the prepared monolithic catalysts [...] Read more.
In this work, ceramic monolithic catalyst carriers based on zirconium dioxide (ZrO2) were produced using fused filament fabrication (FFF). The active catalyst components were deposited on the resulting carriers using the wet impregnation method. The activity of the prepared monolithic catalysts was evaluated by catalytic oxidation of a mixture of aromatic volatile organic compounds: benzene, toluene, ethylbenzene, and o-xylene (BTEX). The efficiency of the prepared monolithic catalysts was investigated as a function of the geometry of the monolithic carrier (ZDP, Z, and M) and the chemical composition of the catalytically active component (MnFeOx, MnCuOx, and MnNiOx) during the catalytic oxidation of BTEX compounds. The mechanical stability of the catalyst layer and the dimensional stability of the 3D-printed monolithic catalyst carriers were investigated prior to the kinetic measurements. In addition, thorough characterization of the commercial ZrO2-based filament was carried out. The results of the efficiency of the prepared monolithic catalysts for the catalytic oxidation of BTEX showed that the 3D-printed model M, which contained MnFeOx as the catalytically active component, was the most successful catalyst for the oxidation of BTEX compounds. The mentioned catalyst enables the catalytic oxidation of all components of the BTEX mixture (>99% efficiency) at a temperature of 177 °C. Full article
(This article belongs to the Special Issue Advances in Catalysis for a Sustainable Future)
Show Figures

Figure 1

20 pages, 3760 KB  
Article
Carbon-Based Catalysts from H3PO4 Activation of Olive Stones for Sustainable Solketal and γ-Valerolactone Production
by Javier Torres-Liñán, Miguel García-Rollán, Ramiro Ruiz-Rosas, Juana María Rosas, José Rodríguez-Mirasol and Tomás Cordero
Catalysts 2024, 14(12), 869; https://doi.org/10.3390/catal14120869 - 28 Nov 2024
Cited by 1 | Viewed by 1567
Abstract
The use of activated carbon-based catalysts for the production of solketal and γ-valerolactone (GVL), two products of interest for biorefinery processes, was investigated. Activated carbons (ACs) were prepared by chemical activation of olive stones, an agricultural byproduct, using H3PO4 to [...] Read more.
The use of activated carbon-based catalysts for the production of solketal and γ-valerolactone (GVL), two products of interest for biorefinery processes, was investigated. Activated carbons (ACs) were prepared by chemical activation of olive stones, an agricultural byproduct, using H3PO4 to olive stone mass impregnation ratios (IRs) of 1:1 and 3:1, and under nitrogen or air atmosphere. The ACs showed SBET values of 1130–1515 m2/g, owing to the presence of micropores (0.45–0.60 cm3/g). The use of an IR of 3:1 delivered a wider pore size distribution, with mesopore volume increasing up to 1.36 cm3/g. XPS confirmed the presence of phosphorus groups with surface concentrations of 2.2–3.2 wt% strongly bonded the AC surface through C-O-P bonds. The ACs were tested as acid catalysts for the acetalization of glycerol in a stirred batch reactor at temperatures of 30–50 °C, glycerol concentrations of 1.5 to 3.4 mol/L, and 1–3 wt% catalytic loading. The catalytic activity was clearly correlated with the quantity of C-O-P acid groups determined by TPD, which increased when ACs were prepared under air atmosphere. The AC prepared with IR 3:1 under air achieved full selectivity to solketal, with activation energy of 49 kJ/mol and conversion of up to 70%, matching the equilibrium conversion value under the optimum reaction conditions. A bifunctional catalyst was prepared over this AC by deposition of 5 wt% zirconium and tested in stirred batch reactor for the hydrogenation of levulinic acid (LA) using isopropyl alcohol (IPA) as solvent and H2 donor, with LA:IPA ratios from 1:1 to 1:7 and temperatures between 160–200 °C. The catalyst reached full LA conversion and a GVL yield higher than 80% after only 12 h at 200 °C. A test conducted in the presence of water revealed that it was an inhibitor of the reaction. The identification of isopropyl levulinate as an intermediate suggests that the most likely reaction pathway was dehydration, followed by hydrogenation and cyclization, to obtain GVL. Kinetic modelling of the results showed a value of 42 kJ/mol for the hydrogenation step. The reusability of the catalyst was tested for five consecutive reaction cycles, maintaining most of the activity and selectivity towards GVL. Full article
Show Figures

Graphical abstract

39 pages, 3549 KB  
Review
Zirconium Phosphates and Phosphonates: Applications in Catalysis
by Anna Donnadio, Monica Pica, Morena Nocchetti and Oriana Piermatti
Catalysts 2024, 14(10), 733; https://doi.org/10.3390/catal14100733 - 19 Oct 2024
Cited by 8 | Viewed by 4868
Abstract
This review covers recent advancements in the use of zirconium phosphates and phosphonates (ZrPs) as catalysts or catalyst supports for a variety of reactions, including biomass conversion, acid–base catalysis, hydrogenation, oxidation, and C-C coupling reactions, from 2015 to the present. The discussion emphasizes [...] Read more.
This review covers recent advancements in the use of zirconium phosphates and phosphonates (ZrPs) as catalysts or catalyst supports for a variety of reactions, including biomass conversion, acid–base catalysis, hydrogenation, oxidation, and C-C coupling reactions, from 2015 to the present. The discussion emphasizes the intrinsic catalytic properties of ZrPs, focusing on how surface acidity, hydrophobic/hydrophilic balance, textural properties, and particle morphology influence their catalytic performance across various reactions. Additionally, this review thoroughly examines the use of ZrPs as supports for catalytic species, ranging from organometallic complexes and metal ions to noble metals and metal oxide nanoparticles. In these applications, ZrPs not only enhance the dispersion and stabilization of active catalytic species but also facilitate their recovery and reuse due to their robust immobilization on the solid support. This dual functionality underscores the importance of ZrPs in promoting efficient, selective, and sustainable catalytic processes, making them essential to the advancement of green chemistry. Full article
(This article belongs to the Special Issue Feature Papers in "Industrial Catalysis" Section)
Show Figures

Graphical abstract

17 pages, 3113 KB  
Article
Compositional and Fabrication Cycle Optimization of Ceria-Zirconia-Supported Mo-Based Catalysts for NH3-SCR NOx Reduction
by Luca Spiridigliozzi, Viviana Monfreda, Serena Esposito, Olimpia Tammaro, Nicola Blangetti, Fabio Alessandro Deorsola and Gianfranco Dell’Agli
Inorganics 2024, 12(8), 217; https://doi.org/10.3390/inorganics12080217 - 10 Aug 2024
Cited by 2 | Viewed by 1737
Abstract
The reduction of nitrogen oxides (NOx), critical pollutants from stationary to mobile sources, mainly relies on the selective catalytic reduction (NH3-SCR) method, employing ammonia to reduce NOx into nitrogen and water. However, conventional catalysts, while effective, pose both [...] Read more.
The reduction of nitrogen oxides (NOx), critical pollutants from stationary to mobile sources, mainly relies on the selective catalytic reduction (NH3-SCR) method, employing ammonia to reduce NOx into nitrogen and water. However, conventional catalysts, while effective, pose both environmental and operational challenges. This study investigates ceria-zirconia-supported molybdenum-based catalysts, exploring the effects of zirconium doping and different catalyst synthesis techniques, i.e., co-precipitation and impregnation. The catalytic performance of the differently prepared samples was significantly influenced by the molybdenum incorporation method and the zirconium content within the ceria-zirconia support. Co-precipitation at higher temperatures resulted in catalysts with better structural attributes but slightly lower catalytic activity compared to those prepared via impregnation. Optimal NOx reduction (close to 100%) was observed at a 15 mol% zirconium doping level when using the impregnation method. Full article
(This article belongs to the Special Issue Metal Catalyst Discovery, Design and Synthesis)
Show Figures

Graphical abstract

16 pages, 7377 KB  
Article
Ru-Ce0.7Zr0.3O2−δ as an Anode Catalyst for the Internal Reforming of Dimethyl Ether in Solid Oxide Fuel Cells
by Miguel Morales, Mohammad Rezayat, Sandra García-González, Antonio Mateo and Emilio Jiménez-Piqué
Nanomaterials 2024, 14(7), 603; https://doi.org/10.3390/nano14070603 - 28 Mar 2024
Cited by 5 | Viewed by 2499
Abstract
The development of direct dimethyl ether (DME) solid oxide fuel cells (SOFCs) has several drawbacks, due to the low catalytic activity and carbon deposition of conventional Ni–zirconia-based anodes. In the present study, the insertion of 2.0 wt.% Ru-Ce0.7Zr0.3O2−δ [...] Read more.
The development of direct dimethyl ether (DME) solid oxide fuel cells (SOFCs) has several drawbacks, due to the low catalytic activity and carbon deposition of conventional Ni–zirconia-based anodes. In the present study, the insertion of 2.0 wt.% Ru-Ce0.7Zr0.3O2−δ (ruthenium–zirconium-doped ceria, Ru-CZO) as an anode catalyst layer (ACL) is proposed to be a promising solution. For this purpose, the CZO powder was prepared by the sol–gel synthesis method, and subsequently, nanoparticles of Ru (1.0–2.0 wt.%) were synthesized by the impregnation method and calcination. The catalyst powder was characterized by BET-specific surface area, X-ray diffraction (XRD), field emission scanning electron microscopy with an energy-dispersive spectroscopy detector (FESEM-EDS), and transmission electron microscopy (TEM) techniques. Afterward, the catalytic activity of Ru-CZO catalyst was studied using DME partial oxidation. Finally, button anode-supported SOFCs with Ru-CZO ACL were prepared, depositing Ru-CZO onto the anode support and using an annealing process. The effect of ACL on the electrochemical performance of cells was investigated under a DME and air mixture at 750 °C. The results showed a high dispersion of Ru in the CZO solid solution, which provided a complete DME conversion and high yields of H2 and CO at 750 °C. As a result, 2.0 wt.% Ru-CZO ACL enhanced the cell performance by more than 20% at 750 °C. The post-test analysis of cells with ACL proved a remarkable resistance of Ru-CZO ACL to carbon deposition compared to the reference cell, evidencing the potential application of Ru-CZO as a catalyst as well as an ACL for direct DME SOFCs. Full article
(This article belongs to the Special Issue Advances in Nanoscale Electrocatalysts)
Show Figures

Figure 1

13 pages, 3131 KB  
Article
Stereoselectivity in Butadiene Polymerization Promoted by Using Ziegler–Natta Catalysts Based on (Anilidomethyl)pyridine Group (IV) Complexes
by Stefano Milione and Stefania Pragliola
Symmetry 2024, 16(1), 18; https://doi.org/10.3390/sym16010018 - 22 Dec 2023
Viewed by 3884
Abstract
The stereoselective polymerization of conjugated dienes promoted by using transition metal complexes has attracted much interest in both industrial and academic environments for the relevance of polydienes as synthetic rubbers and for the challenging reaction mechanisms. Among the different transition metal complexes, those [...] Read more.
The stereoselective polymerization of conjugated dienes promoted by using transition metal complexes has attracted much interest in both industrial and academic environments for the relevance of polydienes as synthetic rubbers and for the challenging reaction mechanisms. Among the different transition metal complexes, those based on group IV have been demonstrated to be versatile and efficient catalysts. Titanium complexes are generally more active than zirconium complexes. A rare exception to this trend is represented by a series of Zr(IV) complexes supported by (anilidomethyl)pyridine ligands that, after activation by using Al(iBu2H)/MAO, were found to be highly active affording exclusively cis-1,4-polybutadiene. To rationalize this unexpected trend and to obtain more insights into the parameters that control the reactivity of group IV complexes, a theoretical investigation of the entire polymerization mechanism, employing density functional methods, was undertaken. In the framework of the widely accepted polymerization scheme, the different intermediates featuring h4 (both cis and trans) coordination of the monomer and h1 or h3 (syn or anti)allyl coordination of the growing chain were scrutinized. Subsequently, the effects of the metal center on the free-energy profiles of the elementary steps involved in the reaction were examined. The results presented herein aim to achieve a better knowledge of the influence of the metal on the polymerization rates and on the stereoselectivity of the reaction. Full article
(This article belongs to the Collection Feature Papers in Chemistry)
Show Figures

Figure 1

31 pages, 4479 KB  
Article
Dual-Stimuli-Sensitive Smart Hydrogels Containing Magnetic Nanoparticles as Antitumor Local Drug Delivery Systems—Synthesis and Characterization
by Adam Kasiński, Agata Świerczek, Monika Zielińska-Pisklak, Sebastian Kowalczyk, Andrzej Plichta, Anna Zgadzaj, Ewa Oledzka and Marcin Sobczak
Int. J. Mol. Sci. 2023, 24(8), 6906; https://doi.org/10.3390/ijms24086906 - 7 Apr 2023
Cited by 20 | Viewed by 4397
Abstract
The aim of this study was to develop an innovative, dual-stimuli-responsive smart hydrogel local drug delivery system (LDDS), potentially useful as an injectable simultaneous chemotherapy and magnetic hyperthermia (MHT) antitumor treatment device. The hydrogels were based on a biocompatible and biodegradable poly(ε [...] Read more.
The aim of this study was to develop an innovative, dual-stimuli-responsive smart hydrogel local drug delivery system (LDDS), potentially useful as an injectable simultaneous chemotherapy and magnetic hyperthermia (MHT) antitumor treatment device. The hydrogels were based on a biocompatible and biodegradable poly(ε-caprolactone-co-rac-lactide)-b-poly(ethylene glycol)-b-poly(ε-caprolactone-co-rac-lactide) (PCLA-PEG-PCLA, PCLA) triblock copolymer, synthesized via ring-opening polymerization (ROP) in the presence of a zirconium(IV) acetylacetonate (Zr(acac)4) catalyst. The PCLA copolymers were successfully synthesized and characterized using NMR and GPC techniques. Furthermore, the gel-forming and rheological properties of the resulting hydrogels were thoroughly investigated, and the optimal synthesis conditions were determined. The coprecipitation method was applied to create magnetic iron oxide nanoparticles (MIONs) with a low diameter and a narrow size distribution. The magnetic properties of the MIONs were close to superparamagnetic upon TEM, DLS, and VSM analysis. The particle suspension placed in an alternating magnetic field (AMF) of the appropriate parameters showed a rapid increase in temperature to the values desired for hyperthermia. The MIONs/hydrogel matrices were evaluated for paclitaxel (PTX) release in vitro. The release was prolonged and well controlled, displaying close to zero-order kinetics; the drug release mechanism was found to be anomalous. Furthermore, it was found that the simulated hyperthermia conditions had no effect on the release kinetics. As a result, the synthesized smart hydrogels were discovered to be a promising antitumor LDDS, allowing simultaneous chemotherapy and hyperthermia treatment. Full article
Show Figures

Figure 1

10 pages, 2354 KB  
Article
UiO-66 MOF-Derived Ru@ZrO2 Catalysts for Photo-Thermal CO2 Hydrogenation
by Fernando Almazán, Marta Lafuente, Amaya Echarte, Mikel Imizcoz, Ismael Pellejero and Luis M. Gandía
Chemistry 2023, 5(2), 720-729; https://doi.org/10.3390/chemistry5020051 - 25 Mar 2023
Cited by 18 | Viewed by 5707
Abstract
The use of metal–organic frameworks (MOFs) as templates or precursors in the manufacture of heterogeneous catalysts is highly attractive due to the transfer of MOFs’ inherent porosity and homogeneous metallic distribution to the derived structure. Herein, we report on the preparation of MOF-derived [...] Read more.
The use of metal–organic frameworks (MOFs) as templates or precursors in the manufacture of heterogeneous catalysts is highly attractive due to the transfer of MOFs’ inherent porosity and homogeneous metallic distribution to the derived structure. Herein, we report on the preparation of MOF-derived Ru@ZrO2 catalysts by controlled thermal treatment of zirconium-based MOF UiO-66 with ruthenium moieties. Ru3+ (3 or 10 mol%) precursor was added to UiO-66 synthesis and, subsequently, the as-synthesized hybrid structure was calcined in flowing air at different temperatures (400–600 °C) to obtain ZrO2-derived oxides doped with highly dispersed Ru metallic clusters. The materials were tested for the catalytic photo-thermal conversion of CO2 to CH4. Methanation experiments were conducted in a continuous flow (feed flow rate of 5 sccm and 1:4 CO2 to H2 molar ratio) reactor at temperatures from 80 to 300 °C. Ru0.10@ZrO2 catalyst calcined at 600 °C was able to hydrogenate CO2 to CH4 with production rates up to 65 mmolCH4·gcat.–1·h–1, CH4 yield of 80% and nearly 100% selectivity at 300 °C. The effect of the illumination was investigated with this catalyst using a high-power visible LED. A CO2 conversion enhancement from 18% to 38% was measured when 24 sun of visible LED radiation was applied, mainly due to the increase in the temperature as a result of the efficient absorption of the radiation received. MOF-derived Ru@ZrO2 catalysts have resulted to be noticeably active materials for the photo-thermal hydrogenation of CO2 for the purpose of the production of carbon-neutral methane. A remarkable effect of the ZrO2 crystalline phase on the CH4 selectivity has been found, with monoclinic zirconia being much more selective to CH4 than its cubic allotrope. Full article
Show Figures

Graphical abstract

14 pages, 1903 KB  
Article
Catalytic Properties of Zirconocene-Based Systems in 1-Hexene Oligomerization and Structure of Metal Hydride Reaction Centers
by Lyudmila V. Parfenova, Pavel V. Kovyazin, Almira Kh. Bikmeeva, Eldar R. Palatov, Pavel V. Ivchenko, Ilya E. Nifant’ev and Leonard M. Khalilov
Molecules 2023, 28(6), 2420; https://doi.org/10.3390/molecules28062420 - 7 Mar 2023
Cited by 8 | Viewed by 3103
Abstract
Despite large-scale investigations of homogeneous single-site metallocene catalysts and systems based on them, there are still unsolved problems related to the control of their activity and chemo- and stereoselectivity. A solution to these problems is required to develop efficient methods for the synthesis [...] Read more.
Despite large-scale investigations of homogeneous single-site metallocene catalysts and systems based on them, there are still unsolved problems related to the control of their activity and chemo- and stereoselectivity. A solution to these problems is required to develop efficient methods for the synthesis of practically useful products of alkene transformations, such as dimers, oligomers, and polymers. Here we studied the catalytic activity of structurally diverse zirconocenes (L2ZrCl2, L = Cp, C5Me5, Ind, L2 = Me2CCp2, Me2SiCp2, Me2C2Cp2, rac-Me2CInd2, rac-H4C2Ind2, BIPh(Ind)2, H4C2[THInd]2), and co-catalysts activating the system, namely HAlBui2, MMAO-12, and (Ph3C)[B(C6F5)4], at low activator/Zr ratios in a 1-hexene oligomerization reaction. The influence of catalyst structure and system composition on the alkene conversion, the type of products, and the reaction stereoselectivity were investigated. The composition of hydride intermediates formed in the L2ZrCl2–HAlBui2–activator system (L2 = ansa-Me2CCp2, Ind) was studied by NMR spectroscopy. Participation of the bis-zirconium hydride complex as the precursor of catalytically active sites of the alkene dimerization reaction was shown. Full article
(This article belongs to the Section Organic Chemistry)
Show Figures

Figure 1

12 pages, 3647 KB  
Article
CO2-Switchable Hierarchically Porous Zirconium-Based MOF-Stabilized Pickering Emulsions for Recyclable Efficient Interfacial Catalysis
by Xiaoyan Pei, Jiang Liu, Wangyue Song, Dongli Xu, Zhe Wang and Yanping Xie
Materials 2023, 16(4), 1675; https://doi.org/10.3390/ma16041675 - 17 Feb 2023
Cited by 12 | Viewed by 2900
Abstract
Stimuli-responsive Pickering emulsions are recently being progressively utilized as advanced catalyzed systems for green and sustainable chemical conversion. Hierarchically porous metal–organic frameworks (H-MOFs) are regarded as promising candidates for the fabrication of Pickering emulsions because of the features of tunable porosity, high specific [...] Read more.
Stimuli-responsive Pickering emulsions are recently being progressively utilized as advanced catalyzed systems for green and sustainable chemical conversion. Hierarchically porous metal–organic frameworks (H-MOFs) are regarded as promising candidates for the fabrication of Pickering emulsions because of the features of tunable porosity, high specific surface area and structure diversity. However, CO2-switchable Pickering emulsions formed by hierarchically porous zirconium-based MOFs have never been seen. In this work, a novel kind of the amine-functionalized hierarchically porous UiO-66-(OH)2 (H-UiO-66-(OH)2) has been developed using a post-synthetic modification of H-UiO-66-(OH)2 by (3-aminopropyl)trimethoxysilane (APTMS), 3-(2-aminoethylamino)propyltrimethoxysilane (AEAPTMS) and 3-[2-(2-aminoethylamino)ethylamino]propyl-trimethoxysilane (AEAEAPTMS), and employed as emulsifiers for the construction of Pickering emulsions. It was found that the functionalized H-UiO-66-(OH)2 could stabilize a mixture of toluene and water to give an emulsion even at 0.25 wt % content. Interestingly, the formed Pickering emulsions could be reversibly transformed between demulsification and re-emulsification with alternate addition or removal of CO2. Spectral investigation indicated that the mechanism of the switching is attributed to the reaction of CO2 with amino silane on the MOF and the generation of hydrophilic salts, leading to a reduction in MOF wettability. Based on this strategy, a highly efficient and controlled Knoevenagel condensation reaction has been gained by using the emulsion as a mini-reactor and the emulsifier as a catalyst, and the coupling of catalysis reaction, product isolation and MOF recyclability has become accessible for a sustainable chemical process. Full article
(This article belongs to the Special Issue Novel Nanomaterials for Energy Storage and Catalysis)
Show Figures

Graphical abstract

16 pages, 3499 KB  
Article
Ceria–Zirconia-Supported Ruthenium Catalysts for Hydrogen Production by Ammonia Decomposition
by Vadim A. Borisov, Zaliya A. Fedorova, Victor L. Temerev, Mikhail V. Trenikhin, Dmitry A. Svintsitskiy, Ivan V. Muromtsev, Alexey B. Arbuzov, Alexey B. Shigarov, Pavel V. Snytnikov and Dmitry A. Shlyapin
Energies 2023, 16(4), 1743; https://doi.org/10.3390/en16041743 - 9 Feb 2023
Cited by 8 | Viewed by 4280
Abstract
Commercial cerium–zirconium oxide supports (Ce0.5Zr0.5O2, Ce0.75Zr0.25O2, and Ce0.4Zr0.5Y0.05La0.05O2) were used to prepare Ru/CeZrOx catalysts. According to the XRD and IR [...] Read more.
Commercial cerium–zirconium oxide supports (Ce0.5Zr0.5O2, Ce0.75Zr0.25O2, and Ce0.4Zr0.5Y0.05La0.05O2) were used to prepare Ru/CeZrOx catalysts. According to the XRD and IR spectroscopy data, the supports consist of ceria-based substitutional solid solutions. The specific surface areas of supports and catalysts are similar and range from 71–89 m2/g. As shown by TEM and XRD methods, the size of support particles equals 6–11 nm. According to the TEM data, the size of ruthenium particles does not exceed 1.3 nm. The catalyst activity in the ammonia decomposition process was studied. The Ru/Ce0.75Zr0.25O2 catalyst at temperature 500 °C and GHSV 120,000 h−1 demonstrated the highest hydrogen productivity of 53.3 mmol H2/(gcat·min) and compares well with the best results reported in the literature. The kinetics of ammonia decomposition reaction were calculated using the Temkin–Pyzhov exponential expression. The developed mathematical model well described the experimental data. The studied catalysts demonstrated high activity for the ammonia decomposition reaction. Full article
Show Figures

Figure 1

Back to TopTop