Ceria–Zirconia-Supported Ruthenium Catalysts for Hydrogen Production by Ammonia Decomposition
Abstract
1. Introduction
2. Experimental
2.1. Synthesis of Ruthenium Catalysts
2.2. Physicochemical Methods for the Supports and Catalysts Characterization
CO Chemisorption
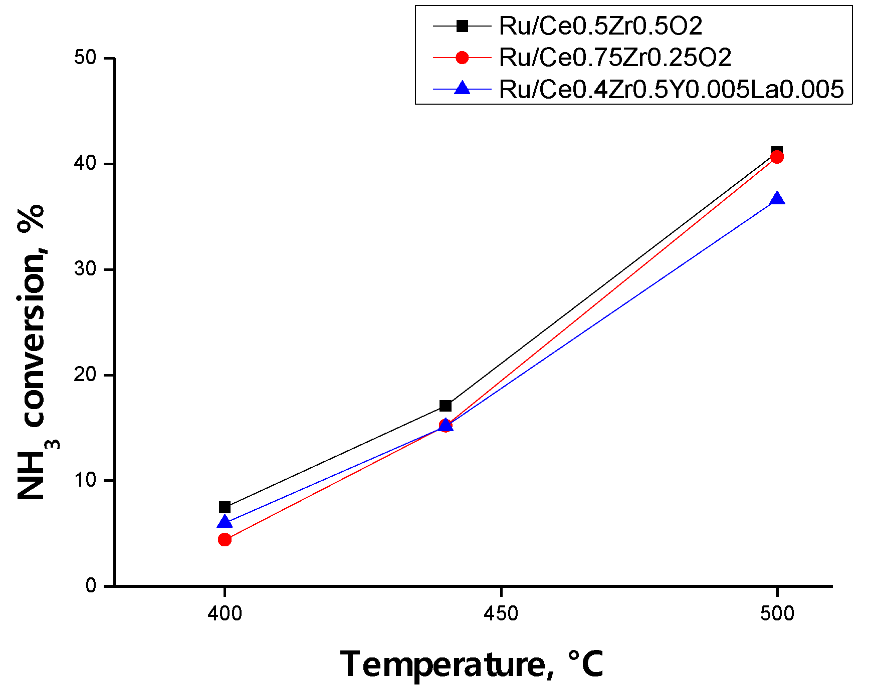
3. Results and Discussion
Simulation of Experimental Data on Ammonia Decomposition over the Ru/Ce0.5Zr0.5O2 Catalyst Using Kinetic Data Reported in the Literature
4. Conclusions
- The IR spectroscopy and XRD data proved the formation of solid CeO2–ZrO2 solutions in the supported ruthenium catalysts. With increasing zirconium content, the crystallite size decreases and equals 8.2 nm for Ru/Ce0.75Zr0.25O2, 7.5 nm for Ru/Ce0.5Zr0.5O2, and 6.4 nm for Ru/Ce0.4Zr0.5Y0.05La0.05O2. The synthesized catalysts are characterized by high dispersion of the active component. According to the TEM data, the ruthenium particle size in Ru/Ce0.5Zr0.5O2 and Ru/Ce0.4Zr0.5Y0.05La0.05O2 was 1.3 and 1.2 nm, respectively.
- According to the XPS data, ruthenium on the catalyst surface occurs predominantly in the Ru4+ state, most probably due to its oxidation at contact with air. Cerium in all samples presents predominantly in the Ce4+ state.
- Ruthenium catalysts were tested in the process of ammonia decomposition. The best activity showed the catalyst in support with the highest content of cerium (Ru/Ce0.75Zr0.25O2). It provided a hydrogen productivity of 53.3 mmol H2/min•gcat at 500 °C and retained high activity during 48 h testing in the ammonia decomposition process.
- The kinetics of NH3 decomposition were calculated using the Temkin–Pyzhov exponential expression. The mathematic model describes well with the experimental data.
5. Notations
- W is the specific rate of reaction, mmol(H2)/(gcat min);
- is the specific rate of reaction, mol(NH3)/gcat/s;
- and are the ammonia and hydrogen concentrations, respectively, mol/m3;
- , and are the ammonia, hydrogen, and nitrogen partial pressure bars, respectively;
- is the pre-exponential factor;
- is the temperature-dependent equilibrium constant;
- is the activation energy;
- is the ammonia adsorption constant;
- is the hydrogen desorption constant.
Supplementary Materials
Author Contributions
Funding
Data Availability Statement
Acknowledgments
Conflicts of Interest
References
- Qureshi, F.; Yusuf, M.; Kamyab, H.; Vo, D.-V.N.; Chelliapan, S.; Joo, S.-W.; Vasseghian, Y. Latest eco-friendly avenues on hydrogen production towards a circular bioeconomy: Currents challenges, innovative insights, and future perspectives. Renew. Sustain. Energy Rev. 2022, 168, 112916. [Google Scholar] [CrossRef]
- Qureshi, F.; Yusuf, M.; Kamyab, H.; Zaidi, S.; Khalil, M.J.; Arham Khan, M.; Azad Alam, M.; Masood, F.; Bazli, L.; Chelliapan, S.; et al. Current trends in hydrogen production, storage and applications in India: A review. Sustain. Energy Technol. Assess. 2022, 53, 102677. [Google Scholar] [CrossRef]
- Raab, M.; Maier, S.; Dietrich, R.-U. Comparative techno-economic assessment of a large-scale hydrogen transport via liquid transport media. Int. J. Hydrogen Energy 2021, 46, 11956–11968. [Google Scholar] [CrossRef]
- Chiyoda. Mitsubishi link with Singaporean firms for sustainable hydrogen economy. Fuel Cells Bull. 2020, 5, 14. [Google Scholar] [CrossRef]
- Abdin, Z.; Tang, C.; Liu, Y.; Catchpole, K. Large-scale stationary hydrogen storage via liquid organic hydrogen carriers. IScience 2021, 24, 102966. [Google Scholar] [CrossRef] [PubMed]
- Nagaoka, K.; Eboshi, T.; Takeishi, Y.; Tasaki, R.; Honda, K.; Imamura, K.; Sato, K. Carbon-free H2 production from ammonia triggered at room temperature with an acidic RuO2 /γ-Al2 O3 catalyst. Sci. Adv. 2017, 3, e1602747. [Google Scholar] [CrossRef] [PubMed]
- Hu, Z.-P.; Chen, L.; Chen, C.; Yuan, Z.-Y. Fe/ZSM-5 catalysts for ammonia decomposition to COx-free hydrogen: Effect of SiO2/Al2O3 ratio. Mol. Catal. 2018, 455, 14–22. [Google Scholar] [CrossRef]
- Simonsen, S.B.; Chakraborty, D.; Chorkendorff, I.; Dahl, S. Alloyed Ni-Fe nanoparticles as catalysts for NH3 decomposition. Appl. Catal. A Gen. 2012, 447–448, 22–31. [Google Scholar] [CrossRef]
- Hu, X.-C.; Wang, W.-W.; Jin, Z.; Wang, X.; Si, R.; Jia, C.-J. Transition metal nanoparticles supported La-promoted MgO as catalysts for hydrogen production via catalytic decomposition of ammonia. J. Energy Chem. 2019, 38, 41–49. [Google Scholar] [CrossRef]
- Lendzion-Bielun, Z.; Narkiewicz, U.; Arabczyk, W. Cobalt-based Catalysts for Ammonia Decomposition. Materials 2013, 6, 2400–2409. [Google Scholar] [CrossRef]
- Henpraserttae, S.; Charojrochkul, S.; Lawtrakul, L.; Toochinda, P. Ni-based Catalysts for Hydrogen Production from Ammonia Decomposition: Effect of Dopants and Urine Application. Chem. Select 2018, 3, 11842–11850. [Google Scholar] [CrossRef]
- Yu, Y.; Gan, Y.-M.; Huang, C.; Lu, Z.-H.; Wang, X.; Zhang, R.; Feng, G. Ni/La2O3 and Ni/MgO–La2O3 catalysts for the decomposition of NH3 into hydrogen. Int. J. Hydrog. Energy 2020, 45, 16528–16539. [Google Scholar] [CrossRef]
- Nakamura, I.; Fujitani, T. Role of metal oxide supports in NH3 decomposition over Ni catalysts. Appl. Catal. A Gen. 2016, 524, 45–49. [Google Scholar] [CrossRef]
- Lorenzut, B.; Montini, T.; Pavel, C.C.; Comotti, M.; Vizza, F.; Bianchini, C.; Fornasiero, P. Embedded Ru@ZrO2 Catalysts for H2 Production by Ammonia Decomposition. ChemCatChem 2010, 2, 1096–1106. [Google Scholar] [CrossRef]
- Borisov, V.A.; Iost, K.N.; Temerev, V.L.; Simunin, M.M.; Leont’eva, N.N.; Mikhlin, Y.L.; Volochaev, M.N.; Shlyapin, D.A. Ammonia decomposition Ru catalysts supported on alumina nanofibers for hydrogen generation. Mater. Lett. 2022, 306, 130842. [Google Scholar] [CrossRef]
- Mukherjee, S.; Devaguptapu, S.V.; Sviripa, A.; Lund, C.R.F.; Wu, G. Low-temperature ammonia decomposition catalysts for hydrogen generation. Appl. Catal. B Env. 2018, 226, 162–181. [Google Scholar] [CrossRef]
- Fujitani, T.; Nakamura, I.; Hashiguchi, Y.; Kanazawa, S.; Takahashi, A. Effect of Catalyst Preparation Method on Ammonia Decomposition Reaction over Ru/MgO Catalyst. Bull. Chem. Soc. Jpn. 2020, 93, 1186–1192. [Google Scholar] [CrossRef]
- Lucentini, I.; García Colli, G.; Luzi, C.D.; Serrano, I.; Martínez, O.M.; Llorca, J. Catalytic ammonia decomposition over Ni-Ru supported on CeO2 for hydrogen production: Effect of metal loading and kinetic analysis. Appl. Catal. B Environ. 2021, 286, 119896. [Google Scholar] [CrossRef]
- Ju, X.; Liu, L.; Zhang, X.; Feng, J.; He, T.; Chen, P. Highly Efficient Ru/MgO Catalyst with Surface-Enriched Basic Sites for Production of Hydrogen from Ammonia Decomposition. ChemCatChem 2019, 11, 4161–4170. [Google Scholar] [CrossRef]
- Ju, X.; Liu, L.; Yu, P.; Guo, J.; Zhang, X.; He, T.; Wu, G.; Chen, P. Mesoporous Ru/MgO prepared by a deposition-precipitation method as highly active catalyst for producing COx-free hydrogen from ammonia decomposition. Appl. Catal. B Environ. 2017, 211, 167–175. [Google Scholar] [CrossRef]
- Hu, Z.; Mahin, J.; Datta, S.; Bell, T.E.; Torrente-Murciano, L. Ru-Based Catalysts for H2 Production from Ammonia: Effect of 1D Support. Top. Catal. 2019, 62, 1169–1177. [Google Scholar] [CrossRef]
- Zheng, W.; Zhang, J.; Zhu, B.; Blume, R.; Zhang, Y.; Schlichte, K.; Schlögl, R.; Schüth, F.; Su, D.S. Structure-Function Correlations for Ru/CNT in the Catalytic Decomposition of Ammonia. ChemSusChem 2010, 3, 226–230. [Google Scholar] [CrossRef] [PubMed]
- Hill, A.K.; Torrente-Murciano, L. Low temperature H2 production from ammonia using ruthenium-based catalysts: Synergetic effect of promoter and support. Appl. Catal. B Env. 2015, 172–173, 129–135. [Google Scholar] [CrossRef]
- Lucentini, I.; Casanovas, A.; Llorca, J. Catalytic ammonia decomposition for hydrogen production on Ni, Ru and Ni-Ru supported on CeO2. Int. J. Hydrogen Energy 2019, 44, 12693–12707. [Google Scholar] [CrossRef]
- Hu, X.C.; Fu, X.P.; Wang, W.W.; Wang, X.; Wu, K.; Si, R.; Ma, C.; Jia, C.J.; Yan, C.H. Ceria-supported ruthenium clusters transforming from isolated single atoms for hydrogen production via decomposition of ammonia. Appl. Catal. B Environ. 2020, 268, 118424. [Google Scholar] [CrossRef]
- Wang, S.J.; Yin, S.F.; Li, L.; Xu, B.Q.; Ng, C.F.; Au, C.T. Investigation on modification of Ru/CNTs catalyst for the generation of COx-free hydrogen from ammonia. Appl. Catal. B Environ. 2004, 52, 287–299. [Google Scholar] [CrossRef]
- Im, Y.; Muroyama, H.; Matsui, T.; Eguchi, K. Investigation on catalytic performance and desorption behaviors of ruthenium catalysts supported on rare-earth oxides for NH3 decomposition. Int. J. Hydrogen Energy 2022, 47, 32543–32551. [Google Scholar] [CrossRef]
- Wang, Z.; Qu, Y.; Shen, X.; Cai, Z. Ruthenium catalyst supported on Ba modified ZrO2 for ammonia decomposition to COx-free hydrogen. Int. J. Hydrogen Energy 2019, 44, 7300–7307. [Google Scholar] [CrossRef]
- Miyamoto, M.; Hamajima, A.; Oumi, Y.; Uemiya, S. Effect of basicity of metal doped ZrO2 supports on hydrogen production reactions. Int. J. Hydrogen Energy 2018, 43, 730–738. [Google Scholar] [CrossRef]
- Cha, J.; Lee, T.; Lee, Y.-J.; Jeong, H.; Jo, Y.S.; Kim, Y.; Nam, S.W.; Han, J.; Lee, K.B.; Yoon, C.W.; et al. Highly monodisperse sub-nanometer and nanometer Ru particles confined in alkali-exchanged zeolite Y for ammonia decomposition. Appl. Catal. B Env. 2021, 283, 119627. [Google Scholar] [CrossRef]
- Wang, F.; Deng, L.; Wu, Z.; Ji, K.; Chen, Q.; Jiang, X. The dispersed SiO2 microspheres supported Ru catalyst with enhanced activity for ammonia decomposition. Int. J. Hydrog. Energy 2021, 46, 20815–20824. [Google Scholar] [CrossRef]
- Li, Y.; Yao, L.; Song, Y.; Liu, S.; Zhao, J.; Ji, W.; Au, C.-T. Core–shell structured microcapsular-like Ru@SiO2 reactor for efficient generation of COx-free hydrogen through ammonia decomposition. Chem. Commun. 2010, 46, 5298. [Google Scholar] [CrossRef] [PubMed]
- Varisli, D.; Elverisli, E.E. Synthesizing hydrogen from ammonia over Ru incorporated SiO2 type nanocomposite catalysts. Int. J. Hydrog. Energy 2014, 39, 10399–10408. [Google Scholar] [CrossRef]
- Huang, C.; Yu, Y.; Yang, J.; Yan, Y.; Wang, D.; Hu, F.; Wang, X.; Zhang, R.; Feng, G. Ru/La2O3 catalyst for ammonia decomposition to hydrogen. Appl. Surf. Sci. 2019, 476, 928–936. [Google Scholar] [CrossRef]
- Ogura, Y.; Sato, K.; Miyahara, S.; Kawano, Y.; Toriyama, T.; Yamamoto, T.; Matsumura, S.; Hosokawa, S.; Nagaoka, K. Efficient ammonia synthesis over a Ru/La0.5Ce0.5O1.75 catalyst pre-reduced at high temperature. Chem. Sci. 2018, 9, 2230–2237. [Google Scholar] [CrossRef] [PubMed]
- Han, W.; Li, Z.; Liu, H. La2Ce2O7 supported ruthenium as a robust catalyst for ammonia synthesis. J. Rare Earths 2019, 37, 492–499. [Google Scholar] [CrossRef]
- Sato, K.; Imamura, K.; Kawano, Y.; Miyahara, S.; Yamamoto, T.; Matsumura, S.; Nagaoka, K. A low-crystalline ruthenium nano-layer supported on praseodymium oxide as an active catalyst for ammonia synthesis. Chem. Sci. 2017, 8, 674–679. [Google Scholar] [CrossRef]
- Nagaoka, K.; Honda, K.; Ibuki, M.; Sato, K.; Takita, Y. Highly Active Cs2/Ru/Pr6O11as a Catalyst for Ammonia Decomposition. Chem. Lett. 2010, 39, 918–919. [Google Scholar] [CrossRef]
- Nagaoka, K.; Eboshi, T.; Abe, N.; Miyahara, S.I.; Honda, K.; Sato, K. Influence of basic dopants on the activity of Ru/Pr6O11 for hydrogen production by ammonia decomposition. Int. J. Hydrog. Energy 2014, 3, 20731–20735. [Google Scholar] [CrossRef]
- Carbajal-Ramos, I.A.; Gomez, M.F.; Condó, A.M.; Bengió, S.; Andrade-Gamboa, J.J.; Abello, M.C.; Gennari, F.C. Catalytic behavior of Ru supported on Ce0.8Zr0.2O2 for hydrogen production. Appl. Catal. B Env. 2016, 181, 58–70. [Google Scholar] [CrossRef]
- Atribak, I.; Guillén-Hurtado, N.; Bueno-López, A.; García-García, A. Influence of the physico-chemical properties of CeO2–ZrO2 mixed oxides on the catalytic oxidation of NO to NO2. Appl. Surf. Sci. 2010, 256, 7706–7712. [Google Scholar] [CrossRef]
- Nakonieczny, D.; Paszenda, Z.; Drewniak, S.; Radko, T.; Lis, M. sZrO2-CeO2 ceramic powders obtained from a sol-gel process using acetylacetone as a chelating agent for potential application in prosthetic dentistry. Acta Bioeng. Biomech. 2016, 18, 53–60. [Google Scholar] [PubMed]
- Zhao, B.; Wang, Q.; Li, G.; Zhou, R. Effect of rare earth (La, Nd, Pr, Sm and Y) on the performance of Pd/Ce0.67Zr0.33MO2−δ three-way catalysts. J. Environ. Chem. Eng. 2013, 1, 534–543. [Google Scholar] [CrossRef]
- Borisov, V.A.; Iost, K.N.; Petrunin, D.A.; Temerev, V.L.; Muromtsev, I.V.; Arbuzov, A.B.; Trenikhin, M.V.; Gulyaeva, T.I.; Smirnova, N.S.; Shlyapin, D.A.; et al. Effect of the Modifier on the Catalytic Properties and Thermal Stability of Ru–Cs(Ba)/Sibunit Catalyst for Ammonia Decomposition. Kinet. Catal. 2019, 60, 372–379. [Google Scholar] [CrossRef]
- Slavinskaya, E.M.; Gulyaev, R.V.; Stonkus, O.A.; Zadesenets, A.V.; Plyusnin, P.E.; Shubin, Y.V.; Korenev, S.V.; Ivanova, A.S.; Zaikovskii, V.I.; Danilova, I.G.; et al. Low-temperature oxidation of carbon monoxide on Pd(Pt)/CeO2 catalysts prepared from complex salts. Kinet. Catal. 2011, 52, 282–295. [Google Scholar] [CrossRef]
- Moulder, J.F.; Stickle, W.F.; Sobol, P.E.; Bomben, K.D.; Chastain, J. Handbook of X-Ray Photoelectron Spectroscopy; Physical Electronics Division, Perkin-Elmer Corporation: Eden Prairie, MN, USA, 1992. [Google Scholar]
- Maroto-Valiente, A.; Cerro-Alarcón, M.; Guerrero-Ruiz, A.; Rodríguez-Ramos, I. Effect of the metal precursor on the surface site distribution of Al2O3-supported Ru catalysts: Catalytic effects on the n-butane/H2 test. Appl. Catal. A Gen. 2005, 283, 23–32. [Google Scholar] [CrossRef]
- Grier, D.; McCarthy, G. North Dakota State University, ICDD Grant-in-Aid 1991; Powder Diffraction File; JCPDS Data File No. 43-1002, (n.d.); International Center for Diffraction Data: Newtown Square, PA, USA, 1994; pattern 00-043-1002. [Google Scholar]
- He, H.; Dai, H.X.; Ng, L.H.; Wong, K.W.; Au, C.T. Pd-, Pt-, and Rh-Loaded Ce0.6Zr0.35Y0.05O2.Three-Way Catalysts: An Investigation on Performance and Redox Properties. J. Catal. 2002, 206, 1–13. [Google Scholar] [CrossRef]
- Kim, A.-R.; Cha, J.; Kim, J.S.; Ahn, C.-I.; Kim, Y.; Jeong, H.; Choi, S.H.; Nam, S.W.; Yoon, C.W.; Sohn, H. Hydrogen production from ammonia decomposition over Ru-rich surface on La2O2CO3-Al2O3 catalyst beads. Catal. Today. 2022, in press. [CrossRef]
- Borisov, V.A.; Iost, K.N.; Temerev, V.L.; Fedotova, P.A.; Surovikin, Y.V.; Arbuzov, A.B.; Trenikhin, M.V.; Shlyapin, D.A. Effect of high-temperature treatment of on the activity of Ru-Cs(Ba)/Sibunit catalysts in ammonia synthesis and their resistance to methanation. Diam. Relat. Mater. 2020, 108, 107986. [Google Scholar] [CrossRef]
- López, E.F.; Escribano, V.S.; Panizza, M.; Carnasciali, M.M.; Busca, G. Vibrational and electronic spectroscopic properties of zirconia powders. J. Mater. Chem. 2001, 11, 1891–1897. [Google Scholar] [CrossRef]
- Morgan, D.J. Resolving ruthenium: XPS studies of common ruthenium materials. Surf. Interface Anal. 2015, 47, 1072–1079. [Google Scholar] [CrossRef]
- Ernst, M.A.; Sloof, W.G. Unraveling the oxidation of Ru using XPS. Surf. Interface Anal. 2008, 40, 334–337. [Google Scholar] [CrossRef]
- Over, H.; Seitsonen, A.P.; Lundgren, E.; Smedh, M.; Andersen, J.N. On the origin of the Ru-3d5=2 satellite feature from RuO2 (110). Surf. Sci. 2002, 504, L196–L200. [Google Scholar] [CrossRef]
- Kim, Y.J.; Gao, Y.; Chambers, S.A. Core-level X-ray photoelectron spectra and X-ray photoelectron diffraction of RuO2 (110) grown by molecular beam epitaxy on TiO2 (110). Appl. Surf. Sci. 1997, 120, 250–260. [Google Scholar] [CrossRef]
- Foelske, A.; Barbieri, O.; Hahn, M.; Kötz, R. An X-ray photoelectron spectroscopy study of hydrous ruthenium oxide powders with various water contents for supercapacitors. Electrochem. Solid-State Lett. 2006, 9, A268. [Google Scholar] [CrossRef]
- Fox, E.B.; Lee, A.F.; Wilson, K.; Song, C. In-situ XPS Study on the Reducibility of Pd-Promoted Cu/CeO2 Catalysts for the Oxygen-assisted Water-gas-shift Reaction. Top. Catal. 2008, 49, 89–96. [Google Scholar] [CrossRef]
- Zyryanova, M.M.; Snytnikov, P.V.; Gulyaev, R.V.; Amosov, Y.I.; Boronin, A.I.; Sobyanin, V.A. Performance of Ni/CeO2 catalysts for selective CO methanation in hydrogen-rich gas. Chem. Eng. J. 2014, 238, 189–197. [Google Scholar] [CrossRef]
- Wagner, C.D.; Naumkin, A.V.; Kraut-Vass, A.; Allison, J.W.; Powell, C.J.; Rumble, C.J. NIST X-ray Photoelectron Spectroscopy Database, Version 3.5; Natl. Inst. Stand. Technol.: Gaithersbg, MD, USA, 2003. [Google Scholar]
- Yin, S.F.; Zhang, Q.H.; Xu, B.Q.; Zhu, W.X.; Ng, C.F.; Au, C.T. Investigation on the catalysis of COx-free hydrogen generation from ammonia. J. Catal. 2004, 224, 384–396. [Google Scholar] [CrossRef]
- Takahashi, A.; Fujitani, T. Kinetic Analysis of Decomposition of Ammonia over Nickel and Ruthenium Catalysts. J. Chem. Eng. Japan 2016, 49, 22–28. [Google Scholar] [CrossRef]
- Shlyapin, D.A.; Glyzdova, D.V.; Afonasenko, T.N.; Temerev, V.L.; Tsyrul’nikov, P.G. Acetylene Hydrogenation to Ethylene in a Hydrogen-Rich Gaseous Mixture on a Pd/Sibunit Catalyst. Kinet. Catal. 2019, 60, 446–452. [Google Scholar] [CrossRef]
- Lamb, K.; Hla, S.S.; Dolan, M. Ammonia decomposition kinetics over LiOH-promoted, A-Al2O3-supported Ru catalyst. Int. J. Hydrog. Energy 2019, 44, 3726–3736. [Google Scholar] [CrossRef]
- Sayas, S.; Morlanés, N.; Katikaneni, S.P.; Harale, A.; Solami, B.; Gascon, J. High pressure ammonia decomposition on Ru–K/CaO catalysts. Catal. Sci. Technol. 2020, 10, 5027–5035. [Google Scholar] [CrossRef]
- Prasad, V.; Karim, A.M.; Arya, A.; Vlachos, D.G. Assessment of Overall Rate Expressions and Multiscale, Microkinetic Model Uniqueness via Experimental Data Injection: Ammonia Decomposition on Ru/γ-Al2O3 for Hydrogen Production. Ind. Eng. Chem. Res. 2009, 48, 5255–5265. [Google Scholar] [CrossRef]
- Chen, J.; Zhu, Z.H.; Wang, S.; Ma, Q.; Rudolph, V.; Lu, G.Q. Effects of nitrogen doping on the structure of carbon nanotubes (CNTs) and activity of Ru/CNTs in ammonia decomposition. Chem. Eng. J. 2010, 156, 404–410. [Google Scholar] [CrossRef]
- Kocer, T.; Oztuna, F.E.S.; Kurtoğlu, S.F.; Unal, U.; Uzun, A. Graphene aerogel-supported ruthenium nanoparticles for COx-free hydrogen production from ammonia. Appl. Catal. A Gen. 2021, 610, 117969. [Google Scholar] [CrossRef]
- Kurtoğlu, S.F.; Soyer-Uzun, S.; Uzun, A. Utilizing Red Mud Modified by Simple Treatments as a Support to Disperse Ruthenium Provides a High and Stable Performance for COx-Free Hydrogen Production from Ammonia. Catal. Today. 2020, 357, 425–435. [Google Scholar] [CrossRef]
- Wang, Z.; Cai, Z.; Wei, Z. Highly Active Ruthenium Catalyst Supported on Barium Hexaaluminate for Ammonia Decomposition to COx-Free Hydrogen. ACS Sustain. Chem. Eng. 2019, 7, 8226–8235. [Google Scholar] [CrossRef]
- Hayashi, F.; Toda, Y.; Kanie, Y.; Kitano, M.; Inoue, Y.; Yokoyama, T.; Hara, M.; Hosono, H. Ammonia decomposition by ruthenium nanoparticles loaded on inorganic electride C12A7:e−. Chem. Sci. 2013, 4, 3124–3130. [Google Scholar] [CrossRef]
- Le, T.A.; Kim, Y.; Kim, H.W.; Lee, S.-U.; Kim, J.-R.; Kim, T.-W.; Lee, Y.-J.; Chae, H.-J. Ru-supported lanthania-ceria composite as an efficient catalyst for COx-free H2 production from ammonia decomposition. Appl. Catal. B Env. 2021, 285, 119831. [Google Scholar] [CrossRef]
- Furusawa, T.; Shirasu, M.; Sugiyama, K.; Sato, T.; Itoh, N.; Suzuki, N. Preparation of Ru/ZrO2 Catalysts by NaBH4 Reduction and Their Catalytic Activity for NH3 Decomposition to Produce H2. Ind. Eng. Chem. Res. 2016, 55, 12742–12749. [Google Scholar] [CrossRef]
- Yin, S.-F.; Xu, B.-Q.; Ng, C.-F.; Au, C.-T. Nano Ru/CNTs: A highly active and stable catalyst for the generation of COx-free hydrogen in ammonia decomposition. Appl. Catal. B Env. 2004, 48, 237–241. [Google Scholar] [CrossRef]
- Baidya, T.; Dutta, G.; Hegde, M.S.; Waghmare, U.V. Correlating Particle Size and Shape of Supported Ru/γ-Al2O3 Catalysts with NH3 Decomposition Activity. J. Amer. Chem. Soc. 2009, 131, 12230–12239. [Google Scholar] [CrossRef]
- Baidya, T.; Dutta, G.; Hegde, M.S.; Waghmare, U.V. Noble metal ionic catalysts: Correlation of increase in CO oxidation activity with increasing effective charge on Pd ion in Pd ion substituted Ce1− x MxO2− δ (M= Ti, Zr and Hf). Dalt. Trans. 2009, 3, 455–464. [Google Scholar] [CrossRef]
- Reddy, B.M.; Khan, A. Nanosized CeO2–SiO2, CeO2–TiO2, and CeO2–ZrO2 mixed oxides: Influence of supporting oxide on thermal stability and oxygen storage properties of ceria. Catal. Surv. Asia. 2005, 9, 155–171. [Google Scholar] [CrossRef]
- Reddy, B.M.; Khan, A.; Yamada, Y.; Kobayashi, T.; Loridant, S.; Volta, J.C. Structural characterization of CeO2−MO2 (M = Si4+, Ti4+, and Zr4+) mixed oxides by Raman spectroscopy, X-ray photoelectron spectroscopy, and other techniques. J. Phys. Chem. B. 2003, 107, 11475–11484. [Google Scholar] [CrossRef]
- Reddy, B.M.; Khan, A.; Yamada, Y.; Kobayashi, T.; Loridant, S.; Volta, J.C. Raman and X-ray photoelectron spectroscopy study of CeO2−ZrO2 and V2O5/CeO2−ZrO2 catalysts. Langmuir 2003, 19, 3025–3030. [Google Scholar] [CrossRef]









| Support | SBET, m2/g | DXRD, nm | UCP, nm | DTEM, nm |
|---|---|---|---|---|
| Ce0.75Zr0.25O2 | 87 | 10.5 | 0.5397 | 8.2 |
| Ce0.5Zr0.5O2 | 81 | 7.5 | 0.5282 | 7.4 |
| Ce0.4Zr0.5Y0.05La0.05O2 | 71 | 6.8 | 0.5261 | 6.4 |
| Catalyst | Ru Content *, wt.% | SBET, m2/g | UCPsup, nm | Particle Size, nm | |||
|---|---|---|---|---|---|---|---|
| Support | Ruthenium | ||||||
| XRD | TEM | TEM | CO Chemisorption | ||||
| Ru/Ce0.75Zr0.25O2 | 2.61 | 89 | 0.5395 | 10.8 | 8.2 | - | 2.6 |
| Ru/Ce0.5Zr0.5O2 | 3.32 | 80 | 0.5285 | 7.6 | 7.4 | 1.3 | 2.0 |
| Ru/Ce0.4Zr0.5Y0.05La0.05O2 | 2.26 | 84 | 0.5256 | 6.8 | 6.4 | 1.2 | 1.6 |
Disclaimer/Publisher’s Note: The statements, opinions and data contained in all publications are solely those of the individual author(s) and contributor(s) and not of MDPI and/or the editor(s). MDPI and/or the editor(s) disclaim responsibility for any injury to people or property resulting from any ideas, methods, instructions or products referred to in the content. |
© 2023 by the authors. Licensee MDPI, Basel, Switzerland. This article is an open access article distributed under the terms and conditions of the Creative Commons Attribution (CC BY) license (https://creativecommons.org/licenses/by/4.0/).
Share and Cite
Borisov, V.A.; Fedorova, Z.A.; Temerev, V.L.; Trenikhin, M.V.; Svintsitskiy, D.A.; Muromtsev, I.V.; Arbuzov, A.B.; Shigarov, A.B.; Snytnikov, P.V.; Shlyapin, D.A. Ceria–Zirconia-Supported Ruthenium Catalysts for Hydrogen Production by Ammonia Decomposition. Energies 2023, 16, 1743. https://doi.org/10.3390/en16041743
Borisov VA, Fedorova ZA, Temerev VL, Trenikhin MV, Svintsitskiy DA, Muromtsev IV, Arbuzov AB, Shigarov AB, Snytnikov PV, Shlyapin DA. Ceria–Zirconia-Supported Ruthenium Catalysts for Hydrogen Production by Ammonia Decomposition. Energies. 2023; 16(4):1743. https://doi.org/10.3390/en16041743
Chicago/Turabian StyleBorisov, Vadim A., Zaliya A. Fedorova, Victor L. Temerev, Mikhail V. Trenikhin, Dmitry A. Svintsitskiy, Ivan V. Muromtsev, Alexey B. Arbuzov, Alexey B. Shigarov, Pavel V. Snytnikov, and Dmitry A. Shlyapin. 2023. "Ceria–Zirconia-Supported Ruthenium Catalysts for Hydrogen Production by Ammonia Decomposition" Energies 16, no. 4: 1743. https://doi.org/10.3390/en16041743
APA StyleBorisov, V. A., Fedorova, Z. A., Temerev, V. L., Trenikhin, M. V., Svintsitskiy, D. A., Muromtsev, I. V., Arbuzov, A. B., Shigarov, A. B., Snytnikov, P. V., & Shlyapin, D. A. (2023). Ceria–Zirconia-Supported Ruthenium Catalysts for Hydrogen Production by Ammonia Decomposition. Energies, 16(4), 1743. https://doi.org/10.3390/en16041743

