Sign in to use this feature.

Years

Between: -

Subjects

remove_circle_outline
remove_circle_outline
remove_circle_outline
remove_circle_outline
remove_circle_outline
remove_circle_outline
remove_circle_outline
remove_circle_outline
remove_circle_outline

Journals

Article Types

Countries / Regions

Search Results (44)

Search Parameters:
Keywords = western bread

Order results
Result details
Results per page
Select all
Export citation of selected articles as:
13 pages, 362 KB  
Article
SNP Effects on Yield and Agronomic Traits in an International Winter Wheat Collection Grown in Western Siberia
by Vladimir Shamanin, Sergey Shepelev, Alexandr Kovalchuk, Alexey Morgounov, Yerlan Turuspekov and Inna Pototskaya
Crops 2025, 5(4), 41; https://doi.org/10.3390/crops5040041 - 10 Jul 2025
Viewed by 907
Abstract
The extension of genetic diversity is the basis for yield and adaptability improvements of winter wheat varieties under climate fluctuations. In the present study, an international collection consisting of 96 winter bread wheat accessions from Russia, Germany, Finland, Kazakhstan, Bulgaria, Turkey, the USA, [...] Read more.
The extension of genetic diversity is the basis for yield and adaptability improvements of winter wheat varieties under climate fluctuations. In the present study, an international collection consisting of 96 winter bread wheat accessions from Russia, Germany, Finland, Kazakhstan, Bulgaria, Turkey, the USA, and the international programme (Turkey–CIMMYT–ICARDA) was analysed under the conditions of Western Siberia during three growing seasons. Yield and yield-related traits were recorded following standard agronomy practices. Genotyping of the germplasm panel was conducted using 55 KASP markers at the Institute of Plant Biology and Biotechnology (Kazakhstan). The yield had a high correlation with the number of fertile tillers per unit area (0.68), which indicates significant yield reduction in wheat accessions from different origins that are not adaptive to the conditions of Western Siberia. The main stable QTLs associated with yield-related traits during two growing seasons, ippb_ta_1147 (1A), ippb_ta_107 (4A), ippb_ta_239 (5D), and ippb_ta_283 (6A), can be used in MAS for the improvement of yield and related traits. The outperforming genotypes Zhiva, Zolushka, Doneko, Line K 18918, Line 2293; CO13D1299, KS13DH0030-32, Gondvana//HBK0935-29-15/KS90W077-2-2/VBF0589-1… are recommended to be included in hybridisation programmes and represent promising sources for breeding high-yielding and climate-resilient winter wheat. Full article
Show Figures

Figure 1

29 pages, 1867 KB  
Review
Should Grain-Based Staple Foods Be Included in Admonitions to “Avoid Processed and Ultra-Processed Food”?
by Julie Miller Jones
Nutrients 2025, 17(13), 2188; https://doi.org/10.3390/nu17132188 - 30 Jun 2025
Viewed by 2150
Abstract
Background/Objectives: The nutritional importance of grain-based foods (GBFs) and whole grains (WGs) is underscored by their central position in dietary guidance worldwide. Many jurisdictions recommend consumers increase WG intake because they are associated with multiple health benefits, with evidence quality rated as moderate [...] Read more.
Background/Objectives: The nutritional importance of grain-based foods (GBFs) and whole grains (WGs) is underscored by their central position in dietary guidance worldwide. Many jurisdictions recommend consumers increase WG intake because they are associated with multiple health benefits, with evidence quality rated as moderate to high. High intakes of ultra-processed foods (UPFs), as defined by NOVA that classifies food by level of processing, are associated with numerous negative health outcomes, with evidence less convincing than for WGs. Yet, some dietary guidance recommends consumers to avoid UPFs. This creates two divergent guidelines since NOVA designates most commonly eaten grain-based foods (GBFs) as UPFs. These contradictory guidelines fail to comply with recommended principles of dietary guidance and generate questions about underlying assumptions and definitions that classify WG staples and colas together. Methods: Definitions and assumptions for systems ostensibly categorizing foods by level of processing were evaluated for validity by various methods. Special attention was paid to the ability of different classifications to differentiate between WGs, RGs staples, and indulgent GBFs. Findings from meta-analyses associating high intakes of WGs with numerous health benefits were compared with those associating high intakes of UPFs. Menus and modeling studies were assessed for ability to meet recommendations for WGs and the grain food group with customary GBFs while avoiding UPFs. Advice to “avoid UPFs” was tested against principles for effective dietary guidance. Results: Definitions and categorizations of foods by levels of processing vary markedly. Assumptions for NOVA and other systems are questionable. While meta-analyses consistently show high intakes of UPFs are associated with adverse health outcomes, high intake of WG foods, nearly all designated as UPFs, are associated with better health outcomes, although evidence quality for the latter is rated stronger. These findings add to the body of evidence suggesting flawed assumptions behind categorizing WG staples in terms of level of processing. Conclusions: NOVA deems 90% of WGs as UPFs. Adding statements to dietary guidance to “Avoid UPFs”, while asking consumers to increase WG intakes, confuses. Further, it jeopardizes efforts to increase intake of fiber and WG foods because it excludes top sources of fiber and WG-based breads, rolls, tortillas, or cold cereals in Western diets. NOVA advice to avoid UPFs challenges principles for usable dietary guidance and the construction of culturally appropriate, healthy dietary patterns containing WG staples from all levels of processing. Full article
(This article belongs to the Special Issue Effects of Dietary Grains on Human Health)
Show Figures

Figure 1

24 pages, 1979 KB  
Article
Optimising White Wheat Bread Fortification with Vitamin D3 and Dietary Fibre: Balancing Nutritional Enhancement and Technological Quality
by Sabrina Boudrag, Elke K. Arendt, Celia Segura Godoy, Aylin W. Sahin, Laura Nyhan, Kevin D. Cashman and Emanuele Zannini
Foods 2025, 14(12), 2055; https://doi.org/10.3390/foods14122055 - 11 Jun 2025
Cited by 3 | Viewed by 5534
Abstract
Inadequate vitamin D and dietary fibre intake are growing public health concerns in Western countries, especially in regions with limited sunlight and diets rich in processed foods. Bakery products, widely consumed, offer a promising opportunity for nutritional fortification. This study explored the possibility [...] Read more.
Inadequate vitamin D and dietary fibre intake are growing public health concerns in Western countries, especially in regions with limited sunlight and diets rich in processed foods. Bakery products, widely consumed, offer a promising opportunity for nutritional fortification. This study explored the possibility of fortifying white wheat bread—a staple food but low in fibre—with vitamin D3 and various dietary fibres (oat fibre, pectin, cellulose, and beta-glucan). The goal was to enhance its nutritional profile while maintaining desirable bread qualities. Using Response Surface Methodology (RSM), an empirical model, optimised the fibre combination. A range of dough and bread analyses were conducted—including assessments of gluten structure, starch pasting, fermentation activity, crumb hardness, specific volume, and colourimetry. The results showed fibre addition weakened the gluten network and altered starch properties (reduced peak, final and breakdown viscosities)—reducing loaf volume (4.2 ± 0.4 mL/g vs. 4.8 ± 0.1 mL/g for the control)—though to a lesser extent than in wholemeal bread (2.4 ± 0.1 mL/g), while vitamin D3 inclusion had a minimal impact (4.0 ± 0.4 mL/g for white bread, 2.1 ± 0.0 mL/g for wholemeal bread). The study identified an optimal mix of soluble and insoluble fibres with vitamin D3 that preserved the texture, crumb structure, and appearance of standard white bread. The final product offered fibre levels (Total Dietary Fibre, TDF = 10.72 ± 0.31 g/100 g bread, vs. 3.81 ± 0.06 g/100 g for the control) comparable to those of wholemeal bread (TDF = 9.54 ± 0.67 g/100 g), with improved texture and volume. This approach presents an effective strategy to enhance staple foods, potentially improving public health through better nutrient intake without compromising consumer acceptance. Full article
Show Figures

Graphical abstract

10 pages, 181 KB  
Article
Developing Planetary Humanities
by Whitney Bauman
Religions 2025, 16(6), 681; https://doi.org/10.3390/rel16060681 - 27 May 2025
Viewed by 893
Abstract
If modern Western disciplinary structures, laid forth by Dilthey and others in the 19th century, have helped structure the world in ways that bring about climate change and gross economic inequities (along with many “good” things such as vaccines and some modern comforts), [...] Read more.
If modern Western disciplinary structures, laid forth by Dilthey and others in the 19th century, have helped structure the world in ways that bring about climate change and gross economic inequities (along with many “good” things such as vaccines and some modern comforts), how might we re-structure our thinking and learning in ways that address these violent lacunae? What does it mean to educate in a truly globalized world that is facing climate change, extinction, and growing injustice? The answer to that surely cannot be “more of the same”. Following the work of critical theorists and the ideas of Paulo Freire and bell hooks, among others, this essay argues that education should be about imagining and working toward a more just and ecologically sound version of the planetary future in a way that is attentive to as much input as possible from multiple perspectives (human and non). The goals of such an education are connective, grounding, and encountering “others” rather than reductive, productive, and geared toward technology transfer. What would it mean to undiscipline or open our disciplinary categories in ways that reattune us to the changing, entangled planet of which we are a part? What will it take to develop planetary humanities and technologies? If humans are not exceptions to the rest of the natural world, and if the nonhuman world is not just dead matter to be used toward human ends, then how do we go about re-grounding our epistemologies within the planet, rather than continuously thinking “out of this world”? The first part of this essay offers a critique of the reductive and productive model that turns the world into a “standing reserve” for use by some humans. The second part of the essay outlines some principles for knowledge that are more connective, grounding and enable us to counter the multiple others within the planetary community. Such “planetary” knowledge reminds humans of the humus of our humanity, connects us to other life found through compassion (to suffer with), reminds us of the justice of good company (sharing of bread/resources), and focuses on the playfulness of public, political conversations (the ability to be converted to another’s point of view). In the third part, I suggest some grounded metaphors for planetary thinking: wild and slow thinking, elemental and grounded thinking, and creaturely and mycelium thinking. Full article
(This article belongs to the Special Issue Undisciplining Religion and Science: Science, Religion and Nature)
26 pages, 3565 KB  
Article
Sensory Properties and Acceptability of Fermented Pearl Millet, a Climate-Resistant and Nutritious Grain, Among Consumers in the United States—A Pilot Study
by May M. Cheung, Lauren Miller, Jonathan Deutsch, Rachel Sherman, Solomon H. Katz and Paul M. Wise
Foods 2025, 14(5), 871; https://doi.org/10.3390/foods14050871 - 3 Mar 2025
Cited by 1 | Viewed by 2651
Abstract
Millets are climate-resistant, potential alternatives to wheat that could provide environmental, food security, and health benefits (e.g., lower glycemic index). However, millets are high in phytic acid, which reduces the bioavailability of essential minerals. Millets are often fermented in Africa and parts of [...] Read more.
Millets are climate-resistant, potential alternatives to wheat that could provide environmental, food security, and health benefits (e.g., lower glycemic index). However, millets are high in phytic acid, which reduces the bioavailability of essential minerals. Millets are often fermented in Africa and parts of Asia to improve bioavailability and, thus, nutritional value, but both unfermented and fermented millets may have flavors unfamiliar to Western cultures. We conducted two pilot studies on sensory perception and liking of whole grain, United States pearl millet (Pennisetum glaucum), in a group of U.S. consumers. In a preliminary study, we compared pearl millet treated under five different conditions (0, 48, and 96 h of fermentation fully submerged in either distilled water or in a 5% NaCl solution at 28 °C). We found that 96 h of spontaneous fermentation in water, an inexpensive and accessible technique consistent with consumer demand for minimally processed foods, reduced phytic acid by ~72%. However, consumers (n = 12) rated flatbreads made with fermented pearl millet as more bitter and sour than flatbreads made with unfermented pearl millet. In a second study, participants (n = 30) rated liking and purchase intent for whole wheat bread with 0 to 50% (w/w) substitution of pearl millet flour. Replacing up to 20% of wheat with fermented or unfermented pearl millet had no measurable effect on liking or purchase intent. More extensive substitution compromised liking, particularly with fermented pearl millet. More work is needed, but so far, there appear to be no sensory barriers to at least partial substitution of whole-grain pearl millet for wheat in whole wheat bread for United States consumers. Full article
(This article belongs to the Section Sensory and Consumer Sciences)
Show Figures

Figure 1

20 pages, 3625 KB  
Article
Effects of Low-Allergen Wheat and Bayberry Leaf on Wheat Bread: A Comparison with Commercial Wheat
by Yoko Tsurunaga and Eishin Morita
Foods 2025, 14(3), 364; https://doi.org/10.3390/foods14030364 - 23 Jan 2025
Viewed by 1771
Abstract
Gliadin and glutenin wheat proteins are major food allergens. The allergenicity of various wheat products, such as bread, can be reduced by substituting flour with plant-derived tannins. Here, we investigated a technique for reducing the allergenicity of wheat by utilizing the properties of [...] Read more.
Gliadin and glutenin wheat proteins are major food allergens. The allergenicity of various wheat products, such as bread, can be reduced by substituting flour with plant-derived tannins. Here, we investigated a technique for reducing the allergenicity of wheat by utilizing the properties of proanthocyanidins (PAs), which strongly bind to proteins. We compared commercial bread wheat (BW), low-allergen wheat (1BS-18 “Minamino Kaori”; 1BS-18M), and bayberry leaves (BBLs). Allergenicity was investigated through enzyme-linked immunosorbent assays (ELISAs) and Western blotting (WB). The immunoreactivity of wheat allergens in both BW and 1BS-18M decreased in a concentration-dependent manner with BBL substitution, and the effect was greatest at 10%. The antioxidative properties also increased with BBL substitution, and the highest antioxidative property was observed at 10%. The specific volumes of both BW and 1BS-18M decreased while the a* value (green to red) increased with increasing BBL substitution. In contrast, no significant differences were observed in the texture of breads with 0% (control), 3%, or 5% BBL substitution. However, 10% BBL substitution led to a significant (p < 0.05) reduction in the texture of the bread. Therefore, 5% BBL substitution is optimal for achieving low allergenicity and improved antioxidative properties while maintaining quality. Full article
(This article belongs to the Special Issue Allergens in Food: Identification, Detection, and Mitigation)
Show Figures

Figure 1

17 pages, 2348 KB  
Article
Gut Microbiota Fermentation of Digested Almond–Psyllium–Flax Seed-Based Artisan Bread Promotes Mediterranean Diet-Resembling Microbial Community
by Kourtney L. Sprague, Sumudu Rajakaruna, Brant Bandow, Natalie Burchat, Michael Bottomley, Harini Sampath and Oleg Paliy
Microorganisms 2024, 12(6), 1189; https://doi.org/10.3390/microorganisms12061189 - 12 Jun 2024
Cited by 3 | Viewed by 3746
Abstract
Different modifications of the standard bread recipe have been proposed to improve its nutritional and health benefits. Here, we utilized the in vitro Human Gut Simulator (HGS) to assess the fermentation of one such artisan bread by human gut microbiota. Dried and milled [...] Read more.
Different modifications of the standard bread recipe have been proposed to improve its nutritional and health benefits. Here, we utilized the in vitro Human Gut Simulator (HGS) to assess the fermentation of one such artisan bread by human gut microbiota. Dried and milled bread, composed of almond flour, psyllium husks, and flax seeds as its three main ingredients, was first subjected to an in vitro protocol designed to mimic human oro-gastro-intestinal digestion. The bread digest was then supplied to complex human gut microbial communities, replacing the typical Western diet-based medium (WM) of the GHS system. Switching the medium from WM to bread digest resulted in statistically significant alterations in the community structure, encoded functions, produced short-chain fatty acids, and available antioxidants. The abundances of dietary fiber degraders Enterocloster, Mitsuokella, and Prevotella increased; levels of Gemmiger, Faecalibacterium, and Blautia decreased. These community alterations resembled the previously revealed differences in the distal gut microbiota of healthy human subjects consuming typical Mediterranean vs. Western-pattern diets. Therefore, the consumption of bread high in dietary fiber and unsaturated fatty acids might recapitulate the beneficial effects of the Mediterranean diet on the gut microbiota. Full article
(This article belongs to the Special Issue Probiotics, Prebiotics, and Gut Microbes)
Show Figures

Figure 1

11 pages, 2805 KB  
Article
Effect of Adding Chestnut Inner Skin on Allergenic Protein, Antioxidant Properties, and Quality of Bread
by Yoko Tsurunaga and Eishin Morita
Molecules 2024, 29(4), 863; https://doi.org/10.3390/molecules29040863 - 15 Feb 2024
Cited by 2 | Viewed by 2035
Abstract
Wheat-dependent, exercise-induced anaphylaxis has no fundamental cure and requires patients to refrain from wheat consumption or to rest after eating. Although hypoallergenic wheat production by enzymatic degradation or thioredoxin treatment has been investigated, challenges still exist in terms of labor and efficacy. We [...] Read more.
Wheat-dependent, exercise-induced anaphylaxis has no fundamental cure and requires patients to refrain from wheat consumption or to rest after eating. Although hypoallergenic wheat production by enzymatic degradation or thioredoxin treatment has been investigated, challenges still exist in terms of labor and efficacy. We investigated a hypoallergenic wheat product manufacturing technology that takes advantage of the property of tannins to bind tightly to proteins. Commercially available bread wheat (BW) and hypoallergenic wheat (1BS-18 “Minaminokaori”, 1BS-18M) were used. Chestnut inner skin (CIS) was selected as a tannin material based on the screening of breads with added unused parts of persimmon and chestnut. Hypoallergenicity was evaluated using Western blotting. The effect of CIS addition on the antioxidative properties of bread was also measured. For both BW and 1BS-18M, CIS addition reduced the immunoreactivity of wheat allergens. Antioxidant activities increased with increasing CIS substitution. However, 10% CIS-substituted breads were substantially less puffy. Five percent CIS substitution was optimal for achieving low allergenicity, while maintaining bread quality. The strategy investigated herein can reduce allergies related to wheat bread consumption. In this study, the evaluation of hypoallergenicity was limited to instrumental analysis. In the future, we will evaluate hypoallergenicity through clinical trials in humans. Full article
(This article belongs to the Special Issue Plant Foods Ingredients as Functional Foods and Nutraceuticals III)
Show Figures

Figure 1

16 pages, 12354 KB  
Article
Phenotypic Plasticity of Yield and Yield-Related Traits Contributing to the Wheat Yield in a Doubled Haploid Population
by Md Atik Us Saieed, Yun Zhao, Kefei Chen, Shanjida Rahman, Jingjuan Zhang, Shahidul Islam and Wujun Ma
Plants 2024, 13(1), 17; https://doi.org/10.3390/plants13010017 - 20 Dec 2023
Cited by 3 | Viewed by 2977
Abstract
Phenotypic plasticity is the ability of an individual genotype to express phenotype variably in different environments. This study investigated the plasticity of yield-related traits of bread wheat by utilising 225 doubled haploid (DH) lines developed from cv. Westonia and cv. Kauz, through two [...] Read more.
Phenotypic plasticity is the ability of an individual genotype to express phenotype variably in different environments. This study investigated the plasticity of yield-related traits of bread wheat by utilising 225 doubled haploid (DH) lines developed from cv. Westonia and cv. Kauz, through two field trials in Western Australia. Plasticity was quantified via two previously published methods: responsiveness to varying ecological conditions and slopes of reaction norms. The spikelets/spike was the most plastic trait, with an overall plasticity of 1.62. The least plastic trait was grain protein content, with an overall plasticity of 0.79. The trait hierarchy based on phenotypic plasticity was spikelets/spike > thousand kernel weight > seed number > seed length > grain yield > grain protein content. An increase in yield plasticity of 0.1 was associated with an increase in maximum yield of 4.45 kg ha−1. The plasticity of seed number and grain protein content were significantly associated with yield plasticity. The maximal yield was positively associated with spikelets/spike and grain yield, whereas it negatively associated with grain protein content. In contrast, the minimal yield was found to be negatively related to the plasticity of spikelets/spike and the plasticity of grain yield, whereas it was not related to grain protein content plasticity. Seed number and seed length exhibited plastic responses at the higher fertilisation state while remaining relatively stable at the lower fertilisation state for the wheat DH population. The finding of the current study will play a key role in wheat improvement under the changing climate. Seed length and seed number should be the breeding target for achieving stable yield in adverse environmental conditions. Full article
(This article belongs to the Special Issue Soil-Plant-Water System and Interactions)
Show Figures

Figure 1

28 pages, 5488 KB  
Review
Buckwheat Production and Value-Added Processing: A Review of Potential Western Washington Cropping and Food System Applications
by Rachel Breslauer, Elizabeth Nalbandian, Tayler Reinman, Mahvash Rezaey, Girish M. Ganjyal and Kevin M. Murphy
Sustainability 2023, 15(20), 14758; https://doi.org/10.3390/su152014758 - 11 Oct 2023
Cited by 10 | Viewed by 6479
Abstract
Increasing cropping system diversity can promote agricultural sustainability; however, identifying suitable alternative crops for regional growing conditions, supply chains, and markets is challenging. This review considers the potential for buckwheat production and consumption in western Washington (WWA). Buckwheat production is modest in WWA [...] Read more.
Increasing cropping system diversity can promote agricultural sustainability; however, identifying suitable alternative crops for regional growing conditions, supply chains, and markets is challenging. This review considers the potential for buckwheat production and consumption in western Washington (WWA). Buckwheat production is modest in WWA but is promising as a weed suppressive summer crop in organic systems and a short-season alternative to cereal grains. Key challenges for production in the region include flood sensitivity and sensitivity to heat at seed set, which should be breeding targets in WWA. Other production challenges include access to suitable production, storage, and transportation equipment. Regarding end-use qualities, buckwheat is composed of ash (1.1–3.1%), moisture (7.6–11.7%), crude fat (0.9–5.4%), crude fiber (0.8–10.6%), protein (6.8–17.9%), and starch (65.6–76.8%). Information about buckwheat fraction (starch and protein) functionality is limited. Buckwheat has been tested in an array of products, including pasta, noodles, cakes, cookies, bread, and beer. To enhance the quality of buckwheat food products, various enzymes and activation ingredients including transglutaminase, xanthan gum, and calcium hydroxide have been explored. Simultaneously addressing these research gaps for food products and crop production systems will be critical to successfully investing in and developing a regional supply chain in WWA. Full article
(This article belongs to the Section Sustainable Agriculture)
Show Figures

Figure 1

23 pages, 2153 KB  
Article
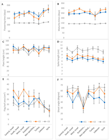
Characterizing Agronomic and Shoot Morphological Diversity across 263 Wild Emmer Wheat Accessions
by Shanjida Rahman, Shahidul Islam, Eviatar Nevo, Md Atik Us Saieed, Qier Liu, Rajeev Kumar Varshney and Wujun Ma
Agriculture 2023, 13(4), 759; https://doi.org/10.3390/agriculture13040759 - 25 Mar 2023
Cited by 3 | Viewed by 3339
Abstract
Wild emmer, the direct progenitor of modern durum and bread wheat, has mostly been studied for grain quality, biotic, and abiotic stress-related traits. Accordingly, it should also have a certain amount of diversity for morphological and agronomic traits. Despite having a high chance [...] Read more.
Wild emmer, the direct progenitor of modern durum and bread wheat, has mostly been studied for grain quality, biotic, and abiotic stress-related traits. Accordingly, it should also have a certain amount of diversity for morphological and agronomic traits. Despite having a high chance of huge diversity, it has not been deeply explored. In the current study, 263 wild emmer accessions collected from different regions of Israel, Turkey, Lebanon, and Syria were characterized for a total of 19 agronomic and shoot morphological traits. Three trials were carried out in Western Australia, which demonstrated a large variation in these traits. The average phenotypic diversity (H’) was 0.91 as quantified by Shannon’s diversity index. A high heritability was recorded for most of the traits, where biomass/plant and yield/plant were identified as the most potential traits. Correlation analysis revealed several significant associations between traits, including significant positive correlation between yield and tiller number, first leaf area, spike length, and biomass/plant. The principal component analysis (PCA) demonstrated that most of the traits contributed to the overall observed variability. The cluster analysis categorized 263 accessions into five clusters on average. On the other hand, accessions were categorized into eight populations based on the collection region and a comparative analysis demonstrated considerable variations between populations for plant height, spike length, and flag leaf area. Despite the low yield, several wild emmer accessions demonstrated superior performance compared to modern bread wheat cultivars, when selection was based on combining yield with multiple traits. These observations indicate that wild emmer contains a broad gene pool for several agronomic and shoot morphological traits, which can be utilized for bread and durum wheat improvement. Full article
(This article belongs to the Section Crop Genetics, Genomics and Breeding)
Show Figures

Figure 1

17 pages, 1170 KB  
Review
Food, Dietary Patterns, or Is Eating Behavior to Blame? Analyzing the Nutritional Aspects of Functional Dyspepsia
by Charalampia Amerikanou, Stamatia-Angeliki Kleftaki, Evdokia Valsamidou, Eirini Chroni, Theodora Biagki, Demetra Sigala, Konstantinos Koutoulogenis, Panagiotis Anapliotis, Aristea Gioxari and Andriana C. Kaliora
Nutrients 2023, 15(6), 1544; https://doi.org/10.3390/nu15061544 - 22 Mar 2023
Cited by 20 | Viewed by 15753
Abstract
Functional dyspepsia is a gastrointestinal disorder characterized by postprandial fullness, early satiation, epigastric pain, and epigastric burning. The pathophysiology of the disease is not fully elucidated and there is no permanent cure, although some therapies (drugs or herbal remedies) try to reduce the [...] Read more.
Functional dyspepsia is a gastrointestinal disorder characterized by postprandial fullness, early satiation, epigastric pain, and epigastric burning. The pathophysiology of the disease is not fully elucidated and there is no permanent cure, although some therapies (drugs or herbal remedies) try to reduce the symptoms. Diet plays a critical role in either the reduction or the exacerbation of functional dyspepsia symptoms; therefore dietary management is considered to be of high importance. Several foods have been suggested to be associated with worsening functional dyspepsia, such as fatty and spicy foods, soft drinks, and others, and other foods are thought to alleviate symptoms, such as apples, rice, bread, olive oil, yogurt, and others. Although an association between functional dyspepsia and irregular eating habits (abnormal meal frequency, skipping meals, late-night snacking, dining out, etc.) has been established, not many dietary patterns have been reported as potential factors that influence the severity of functional dyspepsia. A higher adherence to Western diets and a lower adherence to FODMAPs diets and healthy patterns, such as the Mediterranean diet, can contribute to the worsening of symptoms. More research is needed on the role of specific foods, dietary patterns, or specific eating habits in the management of functional dyspepsia. Full article
(This article belongs to the Special Issue Dietary Patterns and Nutritional Value in Non-communicable Diseases)
Show Figures

Figure 1

13 pages, 933 KB  
Article
Association of Japanese Breakfast Intake with Macro- and Micronutrients and Morning Chronotype
by Farnaz Roshanmehr, Yu Tahara, Saneyuki Makino, Ayako Tada, Nanako Abe, Mikiko Michie and Shigenobu Shibata
Nutrients 2022, 14(17), 3496; https://doi.org/10.3390/nu14173496 - 25 Aug 2022
Cited by 10 | Viewed by 4831
Abstract
(1) Background: Dietary intake may have a remarkable effect on sleep because skipping breakfast and having a late dinner affects many sleep parameters. Breakfast is the most important meal of the day for children and adults to maintain morning chronotype. We examine whether [...] Read more.
(1) Background: Dietary intake may have a remarkable effect on sleep because skipping breakfast and having a late dinner affects many sleep parameters. Breakfast is the most important meal of the day for children and adults to maintain morning chronotype. We examine whether breakfast style is associated with nutrient intake and sleep factors. (2) Methods: This cross-sectional analysis, with a large sample size of 2671 (766 men and 1805 women aged 20–60 years after data brush-up), was based on data obtained from an online survey. Correlation analysis was performed using Spearman’s rank correlation test. The Kruskal–Wallis’s test followed by post hoc Dunn’s multiple comparison test was used to evaluate the interaction between sleep factors and breakfast categories. Multiple regression analyses were performed to identify variables associated with multiple confounding factors. Dietary data were analyzed using approximately one-month average dietary records from the application. The basic characteristics of the participants (age, sex, and BMI) and other lifestyle-related factors (sleep and physical activity) were obtained accordingly. Sleep parameters including the timing of weekday sleep onset, weekday wake-up, weekend (free day) sleep onset, weekend wake-up, sleep, and midpoints of sleep phase were calculated for each participant. We categorized participants’ breakfast types into five groups: (1) Japanese meal, where breakfast may contain Japanese ingredients such as rice; (2) Western meal, where breakfast may contain bread; (3) alternating eating patterns of Japanese and Western meals; (4) cereals and supplements, where breakfast may contain cereals or supplements and energy bars; and (5) skipped breakfast (no breakfast). (3) Results: The midpoint values of the sleep phase on weekends adjusted for sleep debt on work days (MSFsc) related to chronotype were higher in women, suggesting that they may prefer eveningness. Participants with obesity, young age, and low physical activity preferred eveningness with longer sleep durations. Intake of Japanese-style breakfast was significantly associated with early wake-up time on both weekdays and weekends. Cereal-style breakfast intake was significantly associated with late wake-up on both weekdays and weekends. Intake of macronutrients such as protein, fat, carbohydrate, and sodium at breakfast time was positively and strongly associated with the intake of Japanese breakfast, whereas macronutrients were negatively associated with the intake of cereal breakfast. Among micronutrients, vitamin K was positively correlated with Japanese breakfast and negatively correlated with cereal breakfast; (4) Conclusions: Japanese-style breakfast is associated not only with morning preference but also with high intake of macro- and micronutrients. Full article
(This article belongs to the Section Nutrition and Public Health)
Show Figures

Figure 1

16 pages, 514 KB  
Article
Nutritional Quality of Pre-Packaged Foods in China under Various Nutrient Profile Models
by Yuan Li, Huijun Wang, Puhong Zhang, Barry M. Popkin, Daisy H. Coyle, Jingmin Ding, Le Dong, Jiguo Zhang, Wenwen Du and Simone Pettigrew
Nutrients 2022, 14(13), 2700; https://doi.org/10.3390/nu14132700 - 29 Jun 2022
Cited by 16 | Viewed by 6914
Abstract
This study used various nutrient profile models (NPMs) to evaluate the nutritional quality of pre-packaged foods in China to inform future food policy development. Nutrition data for pre-packaged foods were collected through FoodSwitch China in 2017–2020. The analyses included 73,885 pre-packaged foods, including [...] Read more.
This study used various nutrient profile models (NPMs) to evaluate the nutritional quality of pre-packaged foods in China to inform future food policy development. Nutrition data for pre-packaged foods were collected through FoodSwitch China in 2017–2020. The analyses included 73,885 pre-packaged foods, including 8236 beverages and 65,649 foods. Processed foods (PFs) and ultra-processed foods (UPFs) accounted for 8222 (11.4%) and 47,003 (63.6%) of all products, respectively. Among the 55,425 PFs and UPFs, the overall proportion of products with an excessive quantity of at least one negative nutrient was 86.0% according to the Chilean NPM (2019), 83.3% for the Pan American Health Organization NPM (PAHO NPM), and 90.6% for the Western Pacific Region NPM for protecting children from food marketing (WPHO NPM), respectively. In all NPMs, 70.4% of PFs and UPFs were identified as containing an excessive quantity of at least one negative nutrient, with higher proportions of UPFs compared to PFs. Food groups exceeding nutrient thresholds in most NPMs included snack foods, meat and meat products, bread and bakery products, non-alcoholic beverages, confectionery, and convenience foods. In conclusion, PFs and UPFs accounted for three-fourths of pre-packaged foods in China, and the majority of PFs and UPFs exceeded the threshold for at least one negative nutrient under all three NPMs. Given the need to prevent obesity and other diet-related chronic diseases, efforts are warranted to improve the healthiness of foods in China through evidence-based food policy. Full article
(This article belongs to the Section Nutrition and Public Health)
Show Figures

Figure 1

24 pages, 3753 KB  
Article
Bread Wheat Productivity in Response to Humic Acid Supply and Supplementary Irrigation Mode in Three Northwestern Coastal Sites of Egypt
by Essam F. El-Hashash, Moamen M. Abou El-Enin, Taia A. Abd El-Mageed, Mohamed Abd El-Hammed Attia, Mohamed T. El-Saadony, Khaled A. El-Tarabily and Ahmed Shaaban
Agronomy 2022, 12(7), 1499; https://doi.org/10.3390/agronomy12071499 - 23 Jun 2022
Cited by 18 | Viewed by 4078
Abstract
Drought stress is a major factor limiting wheat crop production worldwide. The application of humic acid (HA) and the selection of the appropriate genotype in the suitable site is one of the most important methods of tolerance of wheat plants to drought-stress conditions. [...] Read more.
Drought stress is a major factor limiting wheat crop production worldwide. The application of humic acid (HA) and the selection of the appropriate genotype in the suitable site is one of the most important methods of tolerance of wheat plants to drought-stress conditions. The aim of this study was achieved using a three-way ANOVA, the stress tolerance index (STI), the Pearson correlation coefficient (rp), and principal component analysis (PCA). Three field experiments in three sites (Al-Qasr, El-Neguilla, and Abo Kwela) during the 2019/21 and 2020/21 seasons were conducted, entailing one Egyptian bread wheat variety (Sakha 94) with three HA rates (0, 30, and 60 kg ha−1) under normal and drought-stress conditions (supplemental irrigation). According to the ANOVA, the sites, supplemental irrigation, HA rates, and their first- and second-order interactions the grain yield and most traits evaluated (p ≤ 0.05 or 0.01) were significantly influenced in both seasons. Drought stress drastically reduced all traits registered in all factors studied compared with normal conditions. The wheat plants at the Al-Qasr site in both seasons showed significantly increased grain yield and most traits compared with that of the other sites under normal and drought-stress conditions. HA significantly promoted all studied traits under drought stress, and was highest when applying 60 kg HA ha−1, regardless of the site. The greatest grain yield and most traits monitored were observed in wheat plants fertilized with 60 kg HA ha−1 at the Al-Qasr site in both seasons under both conditions. Grain yield significantly (p ≤ 0.05 or 0.01) correlated with water and precipitation use efficiency as well as the most studied traits under normal and drought-stress conditions. The results of STI, rp, and PCA from the current study could be useful and could be used as a suitable method for studying drought-tolerance mechanisms to improve wheat productivity. Based on the results of statistical methods used in this study, we recommend the application of 60 kg HA ha−1 to improve wheat productivity under drought conditions along the north-western coast of Egypt. Full article
Show Figures

Figure 1

Back to TopTop