Sign in to use this feature.

Years

Between: -

Subjects

remove_circle_outline
remove_circle_outline
remove_circle_outline
remove_circle_outline
remove_circle_outline
remove_circle_outline
remove_circle_outline
remove_circle_outline

Journals

Article Types

Countries / Regions

Search Results (67)

Search Parameters:
Keywords = weighted fractional integral operators

Order results
Result details
Results per page
Select all
Export citation of selected articles as:
25 pages, 1264 KB  
Article
A Unified Framework for Cross-Coupled Delay Systems Under Generalized Power-Law Caputo Fractional Operators
by Yasir A. Madani, Mohammed Almalahi, Osman Osman, Khaled Aldwoah, Alawia Adam, Mohammed Rabih and Habeeb Ibrahim
Fractal Fract. 2026, 10(2), 87; https://doi.org/10.3390/fractalfract10020087 (registering DOI) - 26 Jan 2026
Abstract
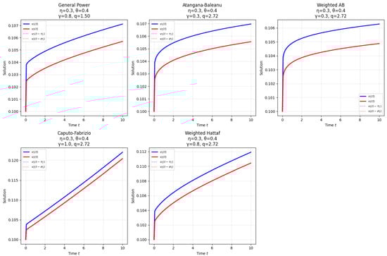
In this study, we address a coupled system of nonlinear fractional delay differential equations subject to cross-coupled multi-point boundary conditions. By utilizing the generalized power Caputo fractional derivative, we present a unified theoretical framework that encompasses several operators—including the Atangana–Baleanu, Caputo–Fabrizio, and weighted [...] Read more.
In this study, we address a coupled system of nonlinear fractional delay differential equations subject to cross-coupled multi-point boundary conditions. By utilizing the generalized power Caputo fractional derivative, we present a unified theoretical framework that encompasses several operators—including the Atangana–Baleanu, Caputo–Fabrizio, and weighted Hattaf derivatives—as special cases. This generality ensures that our results remain applicable across a broad family of fractional kernels. We transform the complex delay system into an equivalent integral form to derive sufficient criteria for the existence and uniqueness of solutions via fixed-point theory. Furthermore, we rigorously establish the Ulam–Hyers stability of the system, a critical property for ensuring robustness in the presence of perturbations. Finally, the theoretical findings are validated through a detailed numerical study employing a predictor–corrector scheme adapted for fractional delay systems. The simulations highlight the sensitivity of solutions to the memory kernel and fractional orders and include a systematic exploration of delay effects. Full article
(This article belongs to the Section General Mathematics, Analysis)
Show Figures

Figure 1

15 pages, 2027 KB  
Article
Weight Standardization Fractional Binary Neural Network for Image Recognition in Edge Computing
by Chih-Lung Lin, Zi-Qing Liang, Jui-Han Lin, Chun-Chieh Lee and Kuo-Chin Fan
Electronics 2026, 15(2), 481; https://doi.org/10.3390/electronics15020481 - 22 Jan 2026
Viewed by 28
Abstract
In order to achieve better accuracy, modern models have become increasingly large, leading to an exponential increase in computational load, making it challenging to apply them to edge computing. Binary neural networks (BNNs) are models that quantize the filter weights and activations to [...] Read more.
In order to achieve better accuracy, modern models have become increasingly large, leading to an exponential increase in computational load, making it challenging to apply them to edge computing. Binary neural networks (BNNs) are models that quantize the filter weights and activations to 1-bit. These models are highly suitable for small chips like advanced RISC machines (ARMs), field-programmable gate arrays (FPGAs), application-specific integrated circuits (ASICs), system-on-chips (SoCs) and other edge computing devices. To design a model that is more friendly to edge computing devices, it is crucial to reduce the floating-point operations (FLOPs). Batch normalization (BN) is an essential tool for binary neural networks; however, when convolution layers are quantized to 1-bit, the floating-point computation cost of BN layers becomes significantly high. This paper aims to reduce the floating-point operations by removing the BN layers from the model and introducing the scaled weight standardization convolution (WS-Conv) method to avoid the significant accuracy drop caused by the absence of BN layers, and to enhance the model performance through a series of optimizations, adaptive gradient clipping (AGC) and knowledge distillation (KD). Specifically, our model maintains a competitive computational cost and accuracy, even without BN layers. Furthermore, by incorporating a series of training methods, the model’s accuracy on CIFAR-100 is 0.6% higher than the baseline model, fractional activation BNN (FracBNN), while the total computational load is only 46% of the baseline model. With unchanged binary operations (BOPs), the FLOPs are reduced to nearly zero, making it more suitable for embedded platforms like FPGAs or other edge computers. Full article
(This article belongs to the Special Issue Advances in Algorithm Optimization and Computational Intelligence)
Show Figures

Figure 1

20 pages, 1962 KB  
Article
Machine Learning-Based Prediction and Feature Attribution Analysis of Contrast-Associated Acute Kidney Injury in Patients with Acute Myocardial Infarction
by Neriman Sıla Koç, Can Ozan Ulusoy, Berrak Itır Aylı, Yusuf Bozkurt Şahin, Veysel Ozan Tanık, Arzu Akgül and Ekrem Kara
Medicina 2026, 62(1), 228; https://doi.org/10.3390/medicina62010228 - 22 Jan 2026
Viewed by 28
Abstract
Background and Objectives: Contrast-associated acute kidney injury (CA-AKI) is a frequent and clinically significant complication in patients with acute myocardial infarction (AMI) undergoing coronary angiography. Early and accurate risk stratification remains challenging with conventional models that rely on linear assumptions and limited [...] Read more.
Background and Objectives: Contrast-associated acute kidney injury (CA-AKI) is a frequent and clinically significant complication in patients with acute myocardial infarction (AMI) undergoing coronary angiography. Early and accurate risk stratification remains challenging with conventional models that rely on linear assumptions and limited variable integration. This study aimed to evaluate and compare the predictive performance of multiple machine learning (ML) algorithms with traditional logistic regression and the Mehran risk score for CA-AKI prediction and to explore key determinants of risk using explainable artificial intelligence methods. Materials and Methods: This retrospective, single-center study included 1741 patients with AMI who underwent coronary angiography. CA-AKI was defined according to KDIGO criteria. Multiple ML models, including gradient boosting machine (GBM), random forest (RF), XGBoost, support vector machine, elastic net, and standard logistic regression were developed using routinely available clinical and laboratory variables. A weighted ensemble model combining the best-performing algorithms was constructed. Model discrimination was assessed using area under the receiver operating characteristic curve (AUC), along with sensitivity, specificity, positive predictive value (PPV), and negative predictive value (NPV). Model interpretability was evaluated using feature importance and SHapley Additive exPlanations (SHAP). Results: CA-AKI occurred in 356 patients (20.4%). In multivariable logistic regression, lower left ventricular ejection fraction, higher contrast volume, lower sodium, lower hemoglobin, and higher neutrophil-to-lymphocyte ratio (NLR) were independently associated with CA-AKI. Among ML approaches, the weighted ensemble model demonstrated the highest discriminative performance (AUC 0.721), outperforming logistic regression and the Mehran risk score (AUC 0.608). Importantly, the ensemble model achieved a consistently high NPV (0.942), enabling reliable identification of low-risk patients. Explainability analyses revealed that inflammatory markers, particularly NLR, along with sodium, uric acid, baseline renal indices, and contrast burden, were the most influential predictors across models. Conclusions: In patients with AMI undergoing coronary angiography, interpretable ML models, especially ensemble and gradient boosting-based approaches, provide superior risk stratification for CA-AKI compared with conventional methods. The high negative predictive value highlights their clinical utility in safely identifying low-risk patients and supporting individualized, risk-adapted preventive strategies. Full article
(This article belongs to the Section Urology & Nephrology)
Show Figures

Figure 1

16 pages, 2688 KB  
Article
Research on TID Controller Design for Fractional-Order Time-Delay Systems
by Jinyuan Zhang, Ling Zhang, Zhisheng Liang and Rongnian Tang
Appl. Sci. 2026, 16(2), 727; https://doi.org/10.3390/app16020727 - 10 Jan 2026
Viewed by 158
Abstract
Fractional-order time-delay systems boast better dynamic performance than integer-order ones in optimally controlling industrial design objects. However, in lack of commendable methodologies, designing proper controllers for these systems confronts a plurality of challenges. This study puts forth an innovative design approach that merges [...] Read more.
Fractional-order time-delay systems boast better dynamic performance than integer-order ones in optimally controlling industrial design objects. However, in lack of commendable methodologies, designing proper controllers for these systems confronts a plurality of challenges. This study puts forth an innovative design approach that merges frequency-domain analysis with time-domain optimization concepts, so that fractional-order Tilt-Integral-Derivative (TID) controllers can be acquired. To pursue a stable control system loop, the tilted and integral gains of fractional-order TID controllers are identified as per frequency-domain specifications, including gain crossover frequency and phase margin. In light of these specifications (e.g., the integral of time-weighted absolute error (ITAE)), the differential gain and fractional-order operator λ of the controller are determined, which accomplishes a desirable dynamic performance in the time domain. This article expounds on the procedure of how to develop the proposed fractional-order TID controller and furnishes illustrative examples for the research steps. As manifested by the simulation results, the proposed controller dramatically upgrades the control performance of the system in contrast to conventional PID, FOPI, and FOPID controllers. Moreover, it outperforms PID and fuzzy PID in terms of responding to the demand variations in step signals. Full article
(This article belongs to the Special Issue Automation and Control Systems Technology in Industry)
Show Figures

Figure 1

21 pages, 776 KB  
Article
Solvability, Ulam–Hyers Stability, and Kernel Analysis of Multi-Order σ-Hilfer Fractional Systems: A Unified Theoretical Framework
by Yasir A. Madani, Mohammed Almalahi, Osman Osman, Ahmed M. I. Adam, Haroun D. S. Adam, Ashraf A. Qurtam and Khaled Aldwoah
Fractal Fract. 2026, 10(1), 21; https://doi.org/10.3390/fractalfract10010021 - 29 Dec 2025
Viewed by 499
Abstract
This paper establishes a rigorous analytical framework for a nonlinear multi-order fractional differential system governed by the generalized σ-Hilfer operator in weighted Banach spaces. In contrast to existing studies that often treat specific kernels or fixed fractional orders in isolation, our approach [...] Read more.
This paper establishes a rigorous analytical framework for a nonlinear multi-order fractional differential system governed by the generalized σ-Hilfer operator in weighted Banach spaces. In contrast to existing studies that often treat specific kernels or fixed fractional orders in isolation, our approach provides a unified treatment that simultaneously handles multiple fractional orders, a tunable kernel σ(ς), weighted integral conditions, and a nonlinearity depending on a fractional integral of the solution. By converting the hierarchical differential structure into an equivalent Volterra integral equation, we derive sufficient conditions for the existence and uniqueness of solutions using the Banach contraction principle and Mönch’s fixed-point theorem with measures of non-compactness. The analysis is extended to Ulam–Hyers stability, ensuring robustness under modeling perturbations. A principal contribution is the systematic classification of the system’s symmetric reductions—specifically the Riemann–Liouville, Caputo, Hadamard, and Katugampola forms—all governed by a single spectral condition dependent on σ(ς). The theoretical results are illustrated by numerical examples that highlight the sensitivity of solutions to the memory kernel and the fractional orders. This work provides a cohesive analytical tool for a broad class of fractional systems with memory, thereby unifying previously disparate fractional calculi under a single, consistent framework. Full article
(This article belongs to the Section General Mathematics, Analysis)
Show Figures

Figure 1

22 pages, 425 KB  
Article
Fractional Black–Scholes Under Memory Effects: A Sixth-Order Local RBF–FD Scheme with Integrated Multiquadric Kernels
by Yutong Li, Mingqian Zhang, Ruosong Cao, Tao Liu, Xiaoxi Hu and Yakun Li
Axioms 2026, 15(1), 24; https://doi.org/10.3390/axioms15010024 - 27 Dec 2025
Viewed by 200
Abstract
In this work, a high-order meshless framework is developed for the numerical resolution of the temporal–fractional Black–Scholes equation arising in option pricing with long-memory effects. The spatial discretization is carried out with a local radial basis function produced finite difference (RBF–FD) method on [...] Read more.
In this work, a high-order meshless framework is developed for the numerical resolution of the temporal–fractional Black–Scholes equation arising in option pricing with long-memory effects. The spatial discretization is carried out with a local radial basis function produced finite difference (RBF–FD) method on seven-node stencils. Analytical differentiation weights are constructed by employing closed-form second integrations of a variant of the inverse multiquadric kernel, which yields sparse differentiation matrices. Explicit formulas are derived for both first- and second-order operators, and a detailed truncation error analysis confirms sixth-order convergence in space. Numerical experiments for European options discuss better accuracy per spatial node than standard finite difference schemes. Full article
(This article belongs to the Special Issue Fractional Differential Equation and Its Applications)
Show Figures

Figure 1

32 pages, 5680 KB  
Article
A Unified Drift–Flux Framework for Predictive Analysis of Flow Patterns and Void Fractions in Vertical Gas Lift Systems
by Omid Heydari, Sohrab Zendehboudi and Stephen Butt
Fluids 2026, 11(1), 6; https://doi.org/10.3390/fluids11010006 - 26 Dec 2025
Viewed by 282
Abstract
This study utilizes the drift–flux model to develop a new flow pattern map designed to facilitate an accurate estimation of gas void fraction (αg) in vertical upward flow. The map is parameterized by mixture velocity (um) and [...] Read more.
This study utilizes the drift–flux model to develop a new flow pattern map designed to facilitate an accurate estimation of gas void fraction (αg) in vertical upward flow. The map is parameterized by mixture velocity (um) and gas volumetric quality (βg), integrating transition criteria from the established literature. For applications characterized by significant pressure gradients, such as gas lift, these criteria were reformulated as functions of pressure, enabling direct estimation from operational data. A critical component of this methodology for the estimation of αg is the estimation of the distribution parameter (C0). An analysis of experimental data, spanning pipe diameters from 1.27 to 15 cm across the full void fraction ranges (0<αg<1), reveals a critical αg threshold beyond which C0 exhibits a distinct decreasing trend. To characterize this phenomenon, the parameter of the distribution-weighted void fraction (αc=αgC0) is introduced. This parameter, representing the dynamically effective void fraction, identifies the critical threshold at its inflection point. The proposed model subsequently defines C0 using a two-part function of αc. This generalized approach simplifies the complexity inherent in existing correlations and demonstrates superior predictive accuracy, reducing the average error in αg estimations to 5.4% and outperforming established methods. Furthermore, the model’s parametric architecture is explicitly designed to support the optimization and fine-tuning of coefficients, enabling future use of machine learning for various fluids and complex industrial cases. Full article
(This article belongs to the Special Issue Multiphase Flow for Industry Applications, 2nd Edition)
Show Figures

Figure 1

31 pages, 1151 KB  
Article
p, q, r-Fractional Fuzzy Frank Aggregation Operators and Their Application in Multi-Criteria Group Decision-Making
by Abid Khan, Ashfaq Ahmad Shah and Muhammad Zainul Abidin
Fractal Fract. 2026, 10(1), 11; https://doi.org/10.3390/fractalfract10010011 - 25 Dec 2025
Viewed by 614
Abstract
This paper presents new aggregation operators for p,q,r-fractional fuzzy sets based on the Frank t-norm and t-conorm. We introduce the p,q,r-fractional fuzzy Frank weighted average and p,q,r [...] Read more.
This paper presents new aggregation operators for p,q,r-fractional fuzzy sets based on the Frank t-norm and t-conorm. We introduce the p,q,r-fractional fuzzy Frank weighted average and p,q,r-fractional fuzzy Frank weighted geometric operators and discuss their algebraic properties, including closure, boundedness, idempotency, and monotonicity. Based on new operations, we develop a multi-criteria group decision-making framework that integrates the evaluations of multiple experts via the proposed Frank operators and ranks the alternatives under p,q,r-fractional fuzzy information. The model is applied to a cryptocurrency stability assessment problem, where four coins are evaluated with respect to six criteria. The results show that both aggregation operators yield consistent rankings with good discriminatory power among the alternatives. A sensitivity analysis is conducted to check the stability of the model under parameter variations. A comparative study further demonstrates the compatibility and advantages of the proposed method over several existing decision-making approaches. The proposed framework is well suited to decision-making scenarios in which multiple experts’ opinions must be integrated within a complex fuzzy information environment. Full article
Show Figures

Figure 1

35 pages, 2441 KB  
Article
Power Normalized and Fractional Power Normalized Least Mean Square Adaptive Beamforming Algorithm
by Yuyang Liu and Hua Wang
Electronics 2026, 15(1), 49; https://doi.org/10.3390/electronics15010049 - 23 Dec 2025
Viewed by 217
Abstract
With the rapid deployment of high-speed maglev transportation systems worldwide, the operational velocity, electromagnetic complexity, and channel dynamics have far exceeded those of conventional rail systems, imposing more stringent requirements on real-time capability, reliability, and interference robustness in wireless communication. In maglev environments [...] Read more.
With the rapid deployment of high-speed maglev transportation systems worldwide, the operational velocity, electromagnetic complexity, and channel dynamics have far exceeded those of conventional rail systems, imposing more stringent requirements on real-time capability, reliability, and interference robustness in wireless communication. In maglev environments exceeding 600 km/h, the channel becomes predominantly line-of-sight with sparse scatterers, exhibiting strong Doppler shifts, rapidly varying spatial characteristics, and severe interference, all of which significantly degrade the stability and convergence performance of traditional beamforming algorithms. Adaptive smart antenna technology has therefore become essential in high-mobility communication and sensing systems, as it enables real-time spatial filtering, interference suppression, and beam tracking through continuous weight updates. To address the challenges of slow convergence and high steady-state error in rapidly varying maglev channels, this work proposes a new Fractional Proportionate Normalized Least Mean Square (FPNLMS) adaptive beamforming algorithm. The contributions of this study are twofold. (1) A novel FPNLMS algorithm is developed by embedding a fractional-order gradient correction into the power-normalized and proportionate gain framework of PNLMS, forming a unified LMS-type update mechanism that enhances error tracking flexibility while maintaining O(L) computational complexity. This integrated design enables the proposed method to achieve faster convergence, improved robustness, and reduced steady-state error in highly dynamic channel conditions. (2) A unified convergence analysis framework is established for the proposed algorithm. Mean convergence conditions and practical step-size bounds are derived, explicitly incorporating the fractional-order term and generalizing classical LMS/PNLMS convergence theory, thereby providing theoretical guarantees for stable deployment in high-speed maglev beamforming. Simulation results verify that the proposed FPNLMS algorithm achieves significantly faster convergence, lower mean square error, and superior interference suppression compared with LMS, NLMS, FLMS, and PNLMS, demonstrating its strong applicability to beamforming in highly dynamic next-generation maglev communication systems. Full article
(This article belongs to the Special Issue 5G and Beyond Technologies in Smart Manufacturing, 2nd Edition)
Show Figures

Figure 1

42 pages, 967 KB  
Article
A Stochastic Fractional Fuzzy Tensor Framework for Robust Group Decision-Making in Smart City Renewable Energy Planning
by Muhammad Bilal, A. K. Alzahrani and A. K. Aljahdali
Fractal Fract. 2026, 10(1), 6; https://doi.org/10.3390/fractalfract10010006 - 22 Dec 2025
Viewed by 353
Abstract
Modern smart cities face increasing pressure to invest in sustainable and reliable energy systems while navigating uncertainties arising from fluctuating market conditions, evolving technology landscapes, and diverse expert opinions. Traditional multi-criteria decision-making (MCDM) approaches often fail to fully represent these uncertainties [...] Read more.
Modern smart cities face increasing pressure to invest in sustainable and reliable energy systems while navigating uncertainties arising from fluctuating market conditions, evolving technology landscapes, and diverse expert opinions. Traditional multi-criteria decision-making (MCDM) approaches often fail to fully represent these uncertainties as they typically rely on crisp inputs, lack temporal memory, and do not explicitly account for stochastic variability. To address these limitations, this study introduces a novel Stochastic Fractional Fuzzy Tensor (SFFT)-based Group Decision-Making framework. The proposed approach integrates three dimensions of uncertainty within a unified mathematical structure: fuzzy representation of subjective expert assessments, fractional temporal operators (Caputo derivative, α=0.85) to model the influence of historical evaluations, and stochastic diffusion terms (σ=0.05) to capture real-world volatility. A complete decision algorithm is developed and applied to a realistic smart city renewable energy selection problem involving six alternatives and six criteria evaluated by three experts. The SFFT-based evaluation identified Geothermal Energy as the optimal choice with a score of 0.798, followed by Offshore Wind (0.722) and Waste-to-Hydrogen (0.713). Comparative evaluation against benchmark MCDM methods—TOPSIS (Technique for Order Preference by Similarity to Ideal Solution), VIKOR (VIšekriterijumsko KOmpromisno Rangiranje), and WSM (Weighted Sum Model)—demonstrates that the SFFT approach yields more robust and stable rankings, particularly under uncertainty and model perturbations. Extensive sensitivity analysis confirms high resilience of the top-ranked alternative, with Geothermal retaining the first position in 82.4% of 5000 Monte Carlo simulations under simultaneous variations in weights, memory parameter (α[0.25,0.95]), and noise intensity (σ[0.01,0.10]). This research provides a realistic, mathematically grounded, and decision-maker-friendly tool for strategic planning in uncertain, dynamic urban environments, with strong potential for deployment in wider engineering, management, and policy applications. Full article
Show Figures

Figure 1

26 pages, 1126 KB  
Article
Numerical Study of Fractional Order Burgers’-Huxley Equation Using Modified Cubic Splines Approximation
by Anita Devi, Archna Kumari, N. Parumasur, P. Singh and V. K. Kukreja
Fractal Fract. 2025, 9(12), 780; https://doi.org/10.3390/fractalfract9120780 - 1 Dec 2025
Viewed by 425
Abstract
This paper aims to explore the numerical solution of non-linear fractional-order Burgers’-Huxley equation based on Caputo’s formulation of fractional derivatives. The equation serves as a versatile tool for analyzing a wide range of physical, biological, and engineering systems, facilitating valuable insights into nonlinear [...] Read more.
This paper aims to explore the numerical solution of non-linear fractional-order Burgers’-Huxley equation based on Caputo’s formulation of fractional derivatives. The equation serves as a versatile tool for analyzing a wide range of physical, biological, and engineering systems, facilitating valuable insights into nonlinear dynamic phenomena. The fractional operator provides a comprehensive mathematical framework that effectively captures the non-locality, hereditary characteristics, and memory effects of various complex systems. The approximation of temporal differential operator is carried out through finite difference based L1 scheme, while spatial discretization is performed using modified cubic B-spline basis functions. The stability as well as convergence analysis of the approach are also presented. Additionally, some numerical test experiments are conducted to evaluate the computational efficiency of a modified fourth-order cubic B-spline (M43BS) approach. Finally, the results presented in the form of tables and graphs highlight the applicability and robustness of M43BS technique in solving fractional-order differential equations. The proposed methodology is preferred for its flexible nature, high accuracy, ease of implementation and the fact that it does not require unnecessary integration of weight functions, unlike other numerical methods such as Galerkin and spectral methods. Full article
Show Figures

Figure 1

31 pages, 6234 KB  
Article
Research on Cavitation Characteristics of the Fluid Domain of the Single-Plunger Two-Dimensional Electro-Hydraulic Pump
by Xinguo Qiu, Jiahui Wang and Haodong Lu
Machines 2025, 13(12), 1100; https://doi.org/10.3390/machines13121100 - 27 Nov 2025
Viewed by 486
Abstract
A single-plunger two-dimensional electro-hydraulic pump is an integrated unit in which a two-dimensional plunger pump is embedded inside the rotor of a permanent magnet synchronous motor, significantly improving the power density and power-to-weight ratio of electro-hydraulic pumps. The pursuit of a higher power-to-weight [...] Read more.
A single-plunger two-dimensional electro-hydraulic pump is an integrated unit in which a two-dimensional plunger pump is embedded inside the rotor of a permanent magnet synchronous motor, significantly improving the power density and power-to-weight ratio of electro-hydraulic pumps. The pursuit of a higher power-to-weight ratio has made high-speed operation and high-pressure output persistent research priorities. However, during the iterative design process of electro-hydraulic pumps, cavitation has been identified as a common issue, leading to difficulties in oil suction and even severe backflow. Based on the structure and motion characteristics of the single-plunger two-dimensional electro-hydraulic pump, a CFD numerical model was established to analyze the influence of different working conditions on the cavitation characteristics inside the pump. The study shows that cavitation mainly occurs in the plunger chamber, the distribution groove, and the triangular damping groove. The location and intensity of cavitation are directly reflected by the gas volume fraction. The simulation analysis of variable operating conditions has verified that suction pressure and rotational speed have a significant impact on cavitation—an increase in suction pressure can effectively suppress cavitation, while an increase in rotational speed will exacerbate cavitation development. Specifically, the non-cavitation working boundary of this type of pump was determined through theoretical derivation, and the coupling relationship between critical suction pressure and critical speed was clarified. This work provides an important theoretical basis for the optimization design of the new integrated electro-hydraulic pump. Full article
(This article belongs to the Special Issue Unsteady Flow Phenomena in Fluid Machinery Systems)
Show Figures

Figure 1

34 pages, 4008 KB  
Article
An Artificial-Intelligence-Based Predictive Maintenance Strategy Using Long Short-Term Memory Networks for Optimizing HVAC System Performance in Commercial Buildings
by Manea Almatared, Mohammed Sulaiman, Abdulaziz Alghamdi and Eman Nasrallah
Buildings 2025, 15(22), 4129; https://doi.org/10.3390/buildings15224129 - 17 Nov 2025
Cited by 1 | Viewed by 1885
Abstract
This study addresses the persistence of avoidable failures and efficiency losses in HVAC plants by introducing a field-validated predictive maintenance (PdM) framework that estimates component-level RUL from multiyear BMS telemetry and translates forecasts into schedule-aware maintenance actions. The objective was to determine whether [...] Read more.
This study addresses the persistence of avoidable failures and efficiency losses in HVAC plants by introducing a field-validated predictive maintenance (PdM) framework that estimates component-level RUL from multiyear BMS telemetry and translates forecasts into schedule-aware maintenance actions. The objective was to determine whether an LSTM ensemble with mode-aware segmentation and isotonic calibration could yield decision-quality RUL forecasts that reduce unplanned outages, downtime, and electricity use in a large Riyadh office building. Two years of 1 min BMS data from chillers, primary pumps, and AHU fans were cleaned, standardized, and segmented by operating mode; RUL labels were derived from time-stamped work orders and failure confirmations; the LSTM produced per-minute RUL estimates trained with a Huber loss, calibrated to lower quantiles, and converted to sustained triggers compared against a fixed-interval program. On the held-out test set, the model achieved a weighted MAE of 19.8 ± 2.1 h and RMSE of 29.1 ± 3.3 h, with quantile calibration error (QCE) 0.06 and lead-time accuracy (LTA; fraction of triggers whose calibrated lower-quantile RUL is the planning threshold) of 0.79 at a 10-day threshold. When deployed in counterfactual evaluation, triggers reduced unplanned outages by 47.6% (paired bootstrap p = 0.008) and total downtime by 41.3% (p = 0.012), and yielded a 10.6% reduction in HVAC electricity (95% CI: 7.7–13.2%) and a 9.7% decrease in total operating cost. The findings indicate that calibrated sequence models coupled to simple sustained triggers can convert routine BMS data into reliable maintenance schedules with quantifiable reliability and energy benefits. Practically, conservative calibration (q approximately 0.25) with thresholds of 10–12 days provided stable lead windows; future work should assess transferability across climates and facility types using transfer learning and integrate uncertainty-aware triggering with MPC for joint operational and maintenance optimization. Full article
Show Figures

Figure 1

31 pages, 3077 KB  
Article
Logistics Hub Location for High-Speed Rail Freight Transport—Case Ottawa–Quebec City Corridor
by Yong Lin Ren and Anjali Awasthi
Logistics 2025, 9(4), 158; https://doi.org/10.3390/logistics9040158 - 4 Nov 2025
Viewed by 1628
Abstract
Background: This paper develops a novel, interdisciplinary framework for optimizing high-speed rail (HSR) freight logistics hubs in the Ottawa–Quebec City corridor, addressing critical gaps in geospatial mismatches, static optimization limitations, and narrow sustainability scopes found in the existing literature. Methods: The research [...] Read more.
Background: This paper develops a novel, interdisciplinary framework for optimizing high-speed rail (HSR) freight logistics hubs in the Ottawa–Quebec City corridor, addressing critical gaps in geospatial mismatches, static optimization limitations, and narrow sustainability scopes found in the existing literature. Methods: The research methodology integrates a hybrid graph neural network-reinforcement learning (GNN-RL) architecture that encodes 412 nodes into a dynamic graph with adaptive edge weights, fractal accessibility (α = 1.78) derived from fractional calculus (α = 0.75) to model non-linear urban growth patterns, and a multi-criteria sustainability evaluation framework embedding shadow pricing for externalities. Methodologically, the framework is validated through global sensitivity analysis and comparative testing against classical optimization models using real-world geospatial, operational, and economic datasets from the corridor. Results: Key findings demonstrate the framework’s superiority. Empirical results show an obvious reduction in emissions and lower logistics costs compared to classical models, with Pareto-optimal hubs identified. These hubs achieve the most GDP coverage of the corridor, reconciling economic efficiency with environmental resilience and social equity. Conclusions: This research establishes a replicable methodology for mid-latitude freight corridors, advancing low-carbon logistics through the integration of GNN-RL optimization, fractal spatial analysis, and sustainability assessment—bridging economic viability, environmental decarbonization, and social equity in HSR freight network design. Full article
Show Figures

Figure 1

20 pages, 1043 KB  
Article
Multi-Criteria Decision-Making Algorithm Selection and Adaptation for Performance Improvement of Two Stroke Marine Diesel Engines
by Hla Gharib and György Kovács
J. Mar. Sci. Eng. 2025, 13(10), 1916; https://doi.org/10.3390/jmse13101916 - 5 Oct 2025
Cited by 1 | Viewed by 1107
Abstract
Selecting an appropriate Multi-Criteria Decision-Making (MCDM) algorithm for optimizing marine diesel engine operation presents a complex challenge due to the diversity in mathematical formulations, normalization schemes, and trade-off resolutions across methods. This study systematically evaluates fourteen MCDM algorithms, which are grouped into five [...] Read more.
Selecting an appropriate Multi-Criteria Decision-Making (MCDM) algorithm for optimizing marine diesel engine operation presents a complex challenge due to the diversity in mathematical formulations, normalization schemes, and trade-off resolutions across methods. This study systematically evaluates fourteen MCDM algorithms, which are grouped into five primary methodological categories: Scoring-Based, Distance-Based, Pairwise Comparison, Outranking, and Hybrid/Intelligent System-Based methods. The goal is to identify the most suitable algorithm for real-time performance optimization of two stroke marine diesel engines. Using Diesel-RK software, calibrated for marine diesel applications, simulations were performed on a variant of the MAN-B&W-S60-MC-C8-8 engine. A refined five-dimensional parameter space was constructed by systematically varying five key control variables: Start of Injection (SOI), Dwell Time, Fuel Mass Fraction, Fuel Rail Pressure, and Exhaust Valve Timing. A subset of 4454 high-potential alternatives was systematically evaluated according to three equally important criteria: Specific Fuel Consumption (SFC), Nitrogen Oxides (NOx), and Particulate Matter (PM). The MCDM algorithms were evaluated based on ranking consistency and stability. Among them, Proximity Indexed Value (PIV), Integrated Simple Weighted Sum Product (WISP), and TriMetric Fusion (TMF) emerged as the most stable and consistently aligned with the overall consensus. These methods reliably identified optimal engine control strategies with minimal sensitivity to normalization, making them the most suitable candidates for integration into automated marine engine decision-support systems. The results underscore the importance of algorithm selection and provide a rigorous basis for establishing MCDM in emission-constrained maritime environments. This study is the first comprehensive, simulation-based evaluation of fourteen MCDM algorithms applied specifically to the optimization of two stroke marine diesel engines using Diesel-RK software. Full article
(This article belongs to the Special Issue Marine Equipment Intelligent Fault Diagnosis)
Show Figures

Figure 1

Back to TopTop