Sign in to use this feature.

Years

Between: -

Subjects

remove_circle_outline
remove_circle_outline
remove_circle_outline
remove_circle_outline
remove_circle_outline
remove_circle_outline
remove_circle_outline
remove_circle_outline
remove_circle_outline

Journals

remove_circle_outline
remove_circle_outline
remove_circle_outline
remove_circle_outline

Article Types

Countries / Regions

Search Results (176)

Search Parameters:
Keywords = weight amplification

Order results
Result details
Results per page
Select all
Export citation of selected articles as:
39 pages, 14025 KB  
Article
Degradation-Aware Multi-Stage Fusion for Underwater Image Enhancement
by Lian Xie, Hao Chen and Jin Shu
J. Imaging 2026, 12(1), 37; https://doi.org/10.3390/jimaging12010037 - 8 Jan 2026
Viewed by 216
Abstract
Underwater images frequently suffer from color casts, low illumination, and blur due to wavelength-dependent absorption and scattering. We present a practical two-stage, modular, and degradation-aware framework designed for real-time enhancement, prioritizing deployability on edge devices. Stage I employs a lightweight CNN to classify [...] Read more.
Underwater images frequently suffer from color casts, low illumination, and blur due to wavelength-dependent absorption and scattering. We present a practical two-stage, modular, and degradation-aware framework designed for real-time enhancement, prioritizing deployability on edge devices. Stage I employs a lightweight CNN to classify inputs into three dominant degradation classes (color cast, low light, blur) with 91.85% accuracy on an EUVP subset. Stage II applies three scene-specific lightweight enhancement pipelines and fuses their outputs using two alternative learnable modules: a global Linear Fusion and a LiteUNetFusion (spatially adaptive weighting with optional residual correction). Compared to the three single-scene optimizers (average PSNR = 19.0 dB; mean UCIQE ≈ 0.597; mean UIQM ≈ 2.07), the Linear Fusion improves PSNR by +2.6 dB on average and yields roughly +20.7% in UCIQE and +21.0% in UIQM, while maintaining low latency (~90 ms per 640 × 480 frame on an Intel i5-13400F (Intel Corporation, Santa Clara, CA, USA). The LiteUNetFusion further refines results: it raises PSNR by +1.5 dB over the Linear model (23.1 vs. 21.6 dB), brings modest perceptual gains (UCIQE from 0.72 to 0.74, UIQM 2.5 to 2.8) at a runtime of ≈125 ms per 640 × 480 frame, and better preserves local texture and color consistency in mixed-degradation scenes. We release implementation details for reproducibility and discuss limitations (e.g., occasional blur/noise amplification and domain generalization) together with future directions. Full article
(This article belongs to the Section Image and Video Processing)
Show Figures

Figure 1

18 pages, 6405 KB  
Article
Hydrodynamic Analysis of Scale-Down Model Tests of Membrane-Type Floating Photovoltaic Under Different Sea States
by Xin Qi, Lichao Xiong, Linyang Zhang and Puyang Zhang
Appl. Sci. 2026, 16(1), 331; https://doi.org/10.3390/app16010331 - 29 Dec 2025
Viewed by 224
Abstract
Floating photovoltaic (FPV) systems are increasingly deployed in offshore environments. Among various FPV concepts, membrane-type platforms offer distinct advantages, including reduced weight, lower material consumption, and cost-effectiveness. This study investigates the hydrodynamic response of a membrane-type offshore FPV system through a 1:40 scale [...] Read more.
Floating photovoltaic (FPV) systems are increasingly deployed in offshore environments. Among various FPV concepts, membrane-type platforms offer distinct advantages, including reduced weight, lower material consumption, and cost-effectiveness. This study investigates the hydrodynamic response of a membrane-type offshore FPV system through a 1:40 scale physical model test based on the Ocean Sun prototype. Static-water free-decay tests were first conducted to determine the natural periods and damping characteristics in heave, surge, and pitch motions. Subsequently, irregular-wave tests were performed under seven sea states representative of an offshore demonstration site. Free-decay results show model-scale natural periods of approximately 1.0 s for heave, 0.8 s for pitch, and 15 s for surge. The long surge natural period avoids resonance with short-period waves, while the high damping in heave and pitch effectively limit dynamic amplification. Under irregular waves, heave and pitch motions remain small, whereas surge motion exhibits pronounced long-frequency excursions. Spectral analysis reveals a dominant low-frequency surge peak at f ≈ 0.067 Hz (corresponding to the natural period of 15 s), superimposed with higher-frequency components associated with wave-induced motions. A strong correlation is observed between low-frequency surge and mooring tensions. Across Sea States 1–6, the motion responses increase gradually, while a marked rise in the exceedance probability of mooring forces occurs only in the most severe sea state. Weibull extreme-value fits show good linearity, indicating that the measured extremes are statistically consistent. The results provide experimental data and design insights for membrane-type FPV systems, establishing a foundation for future hydroelastic studies. Full article
(This article belongs to the Section Civil Engineering)
Show Figures

Figure 1

22 pages, 5796 KB  
Article
Coupled Dynamic Analysis of a Twin-Barge Float-Over Installation: Load Transfer and Motion Responses
by Changzi Wang, Shibo Jian, Xiancang Song, Yufeng Jiang, Xiaodong Liu and Yuanzhi Guo
J. Mar. Sci. Eng. 2025, 13(12), 2365; https://doi.org/10.3390/jmse13122365 - 12 Dec 2025
Viewed by 283
Abstract
The increasing size and weight of deep-water topside modules necessitate reliable and efficient installation methods. The twin-barge float-over technique presents a viable alternative to conventional heavy-lift operations; however, its critical tri-vessel load transfer phase involves complex hydrodynamic interactions and continuous load redistribution that [...] Read more.
The increasing size and weight of deep-water topside modules necessitate reliable and efficient installation methods. The twin-barge float-over technique presents a viable alternative to conventional heavy-lift operations; however, its critical tri-vessel load transfer phase involves complex hydrodynamic interactions and continuous load redistribution that are not adequately captured by traditional staged analyses. This study develops a fully coupled time-domain dynamic model to simulate this process. The framework integrates multi-body potential flow hydrodynamics, mooring and fender systems, and Deck Support Units (DSUs). A novel continuous mass-point variation method is introduced to replicate progressive ballasting and the dynamic load transfer from single- to dual-barge support. Numerical simulations under representative sea states reveal significant narrow-gap resonance effects, direction-dependent motion amplification, and transient DSU load peaks that are overlooked in conventional quasi-static approaches. Beam-sea conditions are found to induce the largest lateral DSU loads and the highest risk of barge misalignment. The proposed framework demonstrates superior capability in predicting motion responses and load transitions, thereby providing critical technical support for the safe and efficient application of twin-barge float-over installations in complex marine environments. Full article
(This article belongs to the Special Issue Deep-Sea Mineral Resource Development Technology and Equipment)
Show Figures

Figure 1

25 pages, 5570 KB  
Article
Influence of Multi-Source Electromagnetic Coupling on NVH in Automotive PMSMs
by Tingwei Du, Jinbo Wang, Weihai Zhang and Wei Liao
Electronics 2025, 14(23), 4652; https://doi.org/10.3390/electronics14234652 - 26 Nov 2025
Viewed by 356
Abstract
Persistent discrepancies remain in the perceived far-field noise of automotive permanent-magnet synchronous motors (PMSMs) and the predictions of conventional NVH simulations. To bridge this gap, a Tri-source Electromagnetic Coupling NVH Integrated Framework (Tri-ECNVH) is developed, in which air-gap electromagnetic force harmonics, torque ripple, [...] Read more.
Persistent discrepancies remain in the perceived far-field noise of automotive permanent-magnet synchronous motors (PMSMs) and the predictions of conventional NVH simulations. To bridge this gap, a Tri-source Electromagnetic Coupling NVH Integrated Framework (Tri-ECNVH) is developed, in which air-gap electromagnetic force harmonics, torque ripple, and cogging torque are treated as a coupled excitation system rather than as independent sources. Traditional workflows usually superpose their responses in the power domain, which tends to underestimate the radiating contribution of torque-related excitations and neglect their phase and order coupling with radial electromagnetic forces. In the proposed Tri-ECNVH framework, the three sources are mapped into the order domain, aligned by spatial order, and applied to the stator with phase consistency, so that inter-source coupling and cross terms are explicitly retained along a unified electromagnetic–structural–acoustic chain. Acoustic radiation is evaluated by prescribing the normal velocity on the stator outer surface as a Neumann boundary condition and computing the far-field A-weighted sound pressure level (SPL) using a boundary element method (BEM) model. Numerical results reveal pronounced cooperative amplification of the three sources at critical orders and within perceptually sensitive frequency bands; relative to independent-source modeling with power-domain summation, Tri-ECNVH predicts peak levels that are typically 5–10 dB higher and reproduces the spectral envelope and peak–valley evolution more faithfully. The framework therefore offers a practical, radiation-oriented basis for multi-source noise mitigation in traction PMSMs and helps narrow the gap between simulation and perceived sound quality in automotive applications. Full article
Show Figures

Figure 1

15 pages, 10672 KB  
Article
Overexpression of Hevea brasiliensis HbCDS2 Gene Enhances Cold Tolerance in Transgenic Arabidopsis
by Wencai Yu, Guanghong Kong, Huajin Ya and Hanyao Zhang
Plants 2025, 14(23), 3591; https://doi.org/10.3390/plants14233591 - 25 Nov 2025
Viewed by 426
Abstract
Rubber tree (Hevea brasiliensis) is a crucial economic crop in tropical regions worldwide; however, low temperature in some areas have become a major source of abiotic stress that constrains the sustainable development of the natural rubber industry. Superoxide dismutase (SOD) is [...] Read more.
Rubber tree (Hevea brasiliensis) is a crucial economic crop in tropical regions worldwide; however, low temperature in some areas have become a major source of abiotic stress that constrains the sustainable development of the natural rubber industry. Superoxide dismutase (SOD) is an enzyme that catalyzes the dismutation of the superoxide anion radical (O2) into oxygen (O2) and hydrogen peroxide (H2O2). Thus, SOD is an important antioxidant defense under plant stress defense, and also may help to improve rubber tree protection from the cold. In this study, a Cu/Zn superoxide dismutase gene, HbCSD2, was successfully cloned from the rubber tree via PCR amplification. Subcellular localization analysis revealed that HbCSD2 is localized in the cytoplasm and nucleus. Under low-temperature stress, the seed germination rate, fresh weight, and survival rate of HbCSD2-overexpressing transgenic Arabidopsis were significantly higher than those of the wild-type (WT) plants. Conversely, the malformed seedling rate was considerably lower. Compared to WT plants, the transgenic Arabidopsis showed marked increases in SOD, catalase (CAT), and peroxidase (POD) activity, as well as the soluble sugar content. Meanwhile, the levels of malondialdehyde (MDA), H2O2, and O2 were significantly lower. This study confirms that HbCSD2 enhances cold tolerance by boosting antioxidant enzyme activity and ROS scavenging capabilities, while reducing membrane lipid peroxidation. These findings offer valuable insights into the regulatory role of HbCSD2 and the mechanisms behind stress responses in the rubber tree. Full article
(This article belongs to the Section Plant Response to Abiotic Stress and Climate Change)
Show Figures

Figure 1

19 pages, 2557 KB  
Article
Comparison of Different DNA Isolation Methods from Grapevine (Vitis vinifera) Leaves
by Nina Buljević, Darko Preiner, Iva Šikuten and Ivana Tomaz
Separations 2025, 12(11), 316; https://doi.org/10.3390/separations12110316 - 12 Nov 2025
Viewed by 1022
Abstract
The extraction of high-quality DNA is essential for molecular analyses in grapevine, yet differences among commonly used protocols remain underexplored. This study compared two cetyltrimethylammonium bromide (CTAB)-based methods, with and without polyvinylpyrrolidone (PVP), and three commercial kits (peqGOLD Plant DNA Mini Kit, Qiagen [...] Read more.
The extraction of high-quality DNA is essential for molecular analyses in grapevine, yet differences among commonly used protocols remain underexplored. This study compared two cetyltrimethylammonium bromide (CTAB)-based methods, with and without polyvinylpyrrolidone (PVP), and three commercial kits (peqGOLD Plant DNA Mini Kit, Qiagen DNeasy Plant Mini Kit, and SPINeasy DNA Kit for Plant MP) using grapevine leaves and other tissues and further validated the CTAB protocol across 34 cultivars. DNA yield, purity, and integrity were assessed spectrophotometrically and by electrophoresis, while PCR suitability was confirmed for all methods. CTAB provided the highest yields and purity at low cost, with densitometry showing approximately 70–85% high-molecular-weight DNA (>20 kb). The Qiagen kit yielded reproducible results with moderate integrity (about 40–60% HMW fraction), making it suitable for high-throughput applications. The MP kit produced high concentrations but severe fragmentation (<10% HMW fraction) due to bead-beating, while the VWR kit performed worst in yield and purity. The addition of PVP improved DNA purity in polyphenol-rich tissues but reduced yield. All protocols generated DNA sufficient for PCR amplification. Overall, CTAB was robust and cost-effective across cultivars and tissues, Qiagen offered speed and reproducibility, and MP provided high concentration at the expense of integrity. Full article
(This article belongs to the Collection State of the Art in Plant Omics Analysis in Separations)
Show Figures

Figure 1

18 pages, 2885 KB  
Article
The Anthocyanidins Malvidin and Cyanidin Alleviate Irinotecan-Triggered Intestinal Mucositis by Modulating Oxidative Stress and Cytokine Release
by Giovana Filócomo Machado, Quélita Cristina Pereira, Felipe Leonardo Fagundes, Maycon Tavares Emílio-Silva, Vinícius Peixoto Rodrigues, Mariana de Almeida Patiño, Giulia Izzo Jorge, José Aires Pereira, Carlos Augusto Real Martinez, Clélia Akiko Hiruma-Lima and Raquel de Cássia dos Santos
Int. J. Mol. Sci. 2025, 26(21), 10747; https://doi.org/10.3390/ijms262110747 - 5 Nov 2025
Viewed by 474
Abstract
Chemotherapy with irinotecan (CPT-11) induces intestinal mucositis via oxidative stress and NF-κB-driven cytokine amplification. We investigated the protective effects of the anthocyanidins cyanidin and malvidin (5 mg/kg) in a murine CPT-11 mucositis model. Both compounds increased duodenal glutathione level (GSH) and reduced lipid [...] Read more.
Chemotherapy with irinotecan (CPT-11) induces intestinal mucositis via oxidative stress and NF-κB-driven cytokine amplification. We investigated the protective effects of the anthocyanidins cyanidin and malvidin (5 mg/kg) in a murine CPT-11 mucositis model. Both compounds increased duodenal glutathione level (GSH) and reduced lipid peroxidation (MDA), with distinct antioxidant profiles: malvidin enhanced catalase (CAT) activity, while cyanidin elevated superoxide dismutase (SOD). In the colon, cyanidin lowered MDA, whereas other oxidative and inflammatory markers remained largely unchanged. Malvidin significantly reduced IL-1β and IL-17 in both intestinal segments; cyanidin selectively decreased IL-6 in the colon, and this reduction was also observed for malvidin treatment. Gene expression analysis revealed broad transcriptional suppression in the duodenum for both compounds (Nrf2, NF-κB, TNF-α, IL-1β, IL-6, IL-17, IL-10), while colonic effects were more limited (suppression in IL-6 for both compounds). Despite these biochemical and transcriptional improvements—which were more pronounced with malvidin—neither compound prevented CPT-11-induced weight loss or colonic histopathology, indicating that redox and cytokine modulation alone are insufficient to restore mucosal integrity. Overall, malvidin demonstrated a more significant modulation in the antioxidant response in the duodenum, with anti-inflammatory activity in both segments, while cyanidin showed targeted modulation of oxidative stress. These findings position both anthocyanidins as complementary agents with distinct mechanistic profiles, warranting further investigation into dose–response, pharmacokinetics, NRF2 protein dynamics, and barrier-repair strategies. Early-phase clinical evaluation is recommended to assess their potential as adjunctive therapies for chemotherapy-induced intestinal mucositis. Full article
(This article belongs to the Section Bioactives and Nutraceuticals)
Show Figures

Graphical abstract

17 pages, 397 KB  
Review
The Silent Revolution of the Genome: The Role of Optical Genome Mapping in Acute Lymphoblastic Leukemia
by Claudia Simio, Matteo Molica, Laura De Fazio and Marco Rossi
Cancers 2025, 17(21), 3445; https://doi.org/10.3390/cancers17213445 - 27 Oct 2025
Cited by 1 | Viewed by 676
Abstract
Background: Acute lymphoblastic leukemia (ALL) is a genetically heterogeneous malignancy driven by structural variants (SVs) that impact diagnosis, prognosis, and treatment. Traditional methods such as karyotyping, FISH, and PCR often fail to detect cryptic or complex rearrangements, which are critical for accurate risk [...] Read more.
Background: Acute lymphoblastic leukemia (ALL) is a genetically heterogeneous malignancy driven by structural variants (SVs) that impact diagnosis, prognosis, and treatment. Traditional methods such as karyotyping, FISH, and PCR often fail to detect cryptic or complex rearrangements, which are critical for accurate risk stratification. Methods: Optical Genome Mapping (OGM) is a technology that directly analyzes ultra-high-molecular-weight DNA, enabling the identification of balanced and unbalanced SVs, copy number variations (CNVs), and gene fusions with high resolution. This review compares the advantages and limitations of OGM versus standard techniques in ALL. Results: OGM improves ALL diagnosis by detecting clinically relevant alterations such as IKZF1 deletions, cryptic KMT2A rearrangements, and kinase fusions, especially in cases with normal or uninformative karyotypes. It reduces artifacts by eliminating cell culture and shortens reporting times. OGM resolves complex events like intrachromosomal amplifications and chromothripsis, enhancing classification and therapy decisions. Limitations include reduced sensitivity in repetitive regions, challenges in detecting Robertsonian translocations, difficulties with complex ploidies, and lower sensitivity for low-frequency subclones. Conclusions: Integrating OGM with next-generation sequencing (NGS) allows comprehensive genomic profiling, improving diagnosis, prognosis, and personalized treatment in ALL. Future advancements promise to further enhance the clinical utility of OGM. Full article
(This article belongs to the Special Issue New Approaches to Biology and Treatment of Acute Leukemia)
Show Figures

Figure 1

36 pages, 3632 KB  
Article
Integrated Modeling of Maritime Accident Hotspots and Vessel Traffic Networks in High-Density Waterways: A Case Study of the Strait of Malacca
by Sien Chen, Xuzhe Cai, Jiao Qiao and Jian-Bo Yang
J. Mar. Sci. Eng. 2025, 13(11), 2052; https://doi.org/10.3390/jmse13112052 - 27 Oct 2025
Cited by 1 | Viewed by 1391
Abstract
The Strait of Malacca faces persistent maritime safety challenges due to high vessel density and complex navigational conditions. Current risk assessment methods often lean towards treating static accident analysis and dynamic traffic modeling separately, although some nascent hybrid approaches exist. However, these hybrids [...] Read more.
The Strait of Malacca faces persistent maritime safety challenges due to high vessel density and complex navigational conditions. Current risk assessment methods often lean towards treating static accident analysis and dynamic traffic modeling separately, although some nascent hybrid approaches exist. However, these hybrids frequently lack the capacity for comprehensive, real-time factor integration. This study proposes an integrated framework coupling accident hotspot identification with vessel traffic network analysis. The framework combines trajectory clustering using improved DBSCAN with directional filters, Kernel Density Estimation (KDE) for accident hotspots, and Fuzzy Analytic Hierarchy Process (FAHP) for multi-factor risk evaluation, acknowledging its subjective and region-specific nature. The model was trained and tuned exclusively on the 2023 dataset (47 incidents), reserving the 2024 incidents (24 incidents) exclusively for independent, zero-information-leakage validation. Results demonstrate superior performance: Area Under the ROC Curve (AUC) improved by 0.14 (0.78 vs. 0.64; +22% relative to KDE-only), and Precision–Recall AUC (PR-AUC) improved by 0.16 (0.65 vs. 0.49); both p < 0.001. Crucially, all model tuning and parameter finalization (including DBSCAN/Fréchet, FAHP weights, and adaptive thresholds) relied solely on 2023 data, with the 2024 incidents reserved exclusively for independent temporal validation. The model captures 75.2% of reported incidents within 20% of the study area. Cross-validation confirms stability across all folds. The framework reveals accidents concentrate at network bottlenecks where traffic centrality exceeds 0.15 and accident density surpasses 0.6. Model-based associations suggest amplification through three pathways: environmental-mediated (34%), traffic convergence (34%), and historical persistence (23%). The integrated approach enables identification of both where and why maritime accidents cluster, providing practical applications for vessel traffic services, risk-aware navigation, and evidence-based safety regulation in congested waterways. Full article
(This article belongs to the Special Issue Recent Advances in Maritime Safety and Ship Collision Avoidance)
Show Figures

Figure 1

19 pages, 1018 KB  
Article
Fractality and Percolation Sensitivity in Software Vulnerability Networks: A Study of CWE–CVE–CPE Relations
by Iulian Tiță, Mihai Cătălin Cujbă and Nicolae Țăpuș
Appl. Sci. 2025, 15(21), 11336; https://doi.org/10.3390/app152111336 - 22 Oct 2025
Viewed by 527
Abstract
Public CVE feeds add tens of thousands of entries each year, overwhelming patch-management capacity. We model the CWE–CVE–CPE triad and, for each CWE, build count-weighted product co-exposure graphs by projecting CVE–CPE links. Because native graphs are highly fragmented, we estimate graph-distance box-counting dimensions [...] Read more.
Public CVE feeds add tens of thousands of entries each year, overwhelming patch-management capacity. We model the CWE–CVE–CPE triad and, for each CWE, build count-weighted product co-exposure graphs by projecting CVE–CPE links. Because native graphs are highly fragmented, we estimate graph-distance box-counting dimensions component-wise on the fragmented graphs using greedy box covering on unweighted shortest paths, then assess significance on the largest component of reconnected graphs. Significance is evaluated against degree-preserving nulls, reporting null percentiles, a z-score–based p-value, and complementary KS checks. We further characterise meso-scale organisation via normalized rich-club coefficients and k-core structure. Additionally, we quantify percolation sensitivity on the reconnected graphs by contrasting targeted removals with random failures for budgets of 1%, 5%, 10%, and 20%. This quantification involves tracking changes in largest-component size, average shortest-path length on the LCC, and global efficiency, and an amplification factor at 10%. Our corpus covers the MITRE CWE Top 25; we report high-level summaries for all 25 and perform the deepest null-model and sensitivity analyses on a subset of 12 CWEs selected on the basis of CVE volume. This links self-similar topology on native fragments with rich-club/core organisation and disruption sensitivity on reconnections, yielding actionable, vendor/software-type-aware mitigation cues. Structural indices are used descriptively to surface topological hotspots within CWE-conditioned product networks and are interpreted alongside, not in place of, EPSS/KEV/CVSS severity metrics. Full article
(This article belongs to the Special Issue Novel Approaches for Cybersecurity and Cyber Defense)
Show Figures

Figure 1

13 pages, 763 KB  
Review
Visceral Obesity and Metabolic Dysfunction in IgA Nephropathy: Nutritional and Metabolic Perspectives on Disease Progression
by Agnieszka Skibicka and Sylwia Małgorzewicz
Nutrients 2025, 17(20), 3307; https://doi.org/10.3390/nu17203307 - 21 Oct 2025
Viewed by 1332
Abstract
Introduction: IgA nephropathy (IgAN) is the most common primary glomerulonephritis in the world. In addition to genetic and immunological factors, visceral obesity and metabolic syndrome (MetS) are the main determinants of disease progression. This review aims to critically assess the role of visceral [...] Read more.
Introduction: IgA nephropathy (IgAN) is the most common primary glomerulonephritis in the world. In addition to genetic and immunological factors, visceral obesity and metabolic syndrome (MetS) are the main determinants of disease progression. This review aims to critically assess the role of visceral obesity and metabolic syndrome in driving the progression of IgA nephropathy (IgAN), with an emphasis on their underlying pathophysiological mechanisms and clinical implications. Methods: A systematic review was carried out in accordance with PRISMA guidelines. PubMed was searched (2015–2025) using terms related to IgA nephropathy, obesity, metabolic syndrome, and immunometabolic pathways. Only English-language observational and clinical studies in adults, excluding pediatric and animal studies, were included in the review. Additional sources were consulted to give context to the mechanistic aspects of obesity-related IgAN progression. Results: Visceral obesity and MetS accelerate IgAN progression through endocrine, inflammatory, and immune pathways, including cytokines derived from visceral adipose tissue, adipokines, intestinal dysbiosis, and BAFF/APRIL-mediated immune activation. MetS patients had higher proteinuria, a faster decrease in eGFR, and a higher risk of end-stage renal failure (23/65 vs. 15/60 endpoints, p < 0.001). Nutritional and metabolic interventions—including weight reduction, GLP-1 receptor agonists, dual GLP-1/GIP agonists, and bariatric/metabolic surgery—demonstrate renoprotective effects in obesity-related kidney disease and may have implications for IgAN. Conclusions: Obesity should be considered a chronic disease and a modifiable risk factor for IgAN. Nutrition-focused interventions targeting visceral obesity and metabolic dysfunction can slow the progression of the disease and should be included in renal guidelines. This review expands current knowledge by demonstrating that when sequential steps of IgAN pathophysiology are mapped with respect to endocrine and immunological effects of visceral adipose tissue, they converge on the same proinflammatory and immune pathways. This convergence suggests a bidirectional amplification loop in which obesity accelerates IgAN progression and increases the burden of complications. Full article
(This article belongs to the Section Nutrition and Obesity)
Show Figures

Figure 1

16 pages, 2952 KB  
Article
Influence of Florfenicol Treatments on Marine-Sediment Microbiomes: A Metagenomic Study of Bacterial Communities in Proximity to Salmon Aquaculture in Southern Chile
by Sergio Lynch, Pamela Thomson, Rodrigo Santibañez and Ruben Avendaño-Herrera
Antibiotics 2025, 14(10), 1016; https://doi.org/10.3390/antibiotics14101016 - 13 Oct 2025
Viewed by 1509
Abstract
Background/Objectives: Metagenomic analyses are an important tool for understanding ecological effects, particularly in sites exposed to antimicrobial treatments. Marine sediments host diverse microbial communities and may serve as reservoirs for microbial resistance. Although it is known that antimicrobials can alter microbial composition, [...] Read more.
Background/Objectives: Metagenomic analyses are an important tool for understanding ecological effects, particularly in sites exposed to antimicrobial treatments. Marine sediments host diverse microbial communities and may serve as reservoirs for microbial resistance. Although it is known that antimicrobials can alter microbial composition, specific impacts on sediments surrounding salmon farms remain poorly understood. This study analyzed bacterial community structure in marine sediments subjected to florfenicol treatment from salmon farms in the Los Lagos Region of southern Chile. Methods: Sediment samples were collected and examined through DNA extraction and PCR amplification of the 16S rRNA gene (V3-V4 region). Sequences were analyzed using a bioinformatics pipeline, and amplicon sequence variants (ASVs) were taxonomically classified with a Naïve Bayesian classifier. The resulting ASV abundance were then used to predict metabolic functions and pathways via PICRUSt2, referencing the MetaCyc database. Results: Significant differences in bacterial phyla were observed between the control farm and two farms treated with florfenicol (17 mg kg−1 body weight per day) for 33 and 20 days, respectively. Farm 1 showed notable differences in phyla such as Bacteroidota, Bdellovibrionota, Crenarchaeota, Deferrisomatota, Desulfobacterota, Fibrobacterota, Firmicutes, and Fusobacteriota, while Farm 2 exhibited differences in the phyla Bdellovibrionota, Calditrichota, Crenarchaeota, Deferrisomatota, Desulfobacterota, Fusobacteriota, Nanoarchaeota, and Nitrospirota. Shannon Index analysis revealed a reduction in alpha diversity in the treated farms. Comparative analysis between the control and the treated farms showed pronounced shifts in the relative abundance of several bacterial phyla, including statistically significant differences in Chloroflexi and Firmicutes. Predicted functional pathways revealed a notable enrichment of L-methionine biosynthesis III in Farm 2, suggesting a shift in sulfur metabolism potentially driven by antimicrobial treatment. Additionally, increased activity in fatty acid oxidation pathways indicates a higher microbial potential for lipid degradation at this site. Conclusions: These findings highlight the considerable influence of florfenicol on sediment microbial communities and reinforce the need for sustainable management strategies to minimize ecological disruption and the spread of antimicrobial resistance. Full article
Show Figures

Figure 1

24 pages, 829 KB  
Article
Transformer with Adaptive Sparse Self-Attention for Short-Term Photovoltaic Power Generation Forecasting
by Xingfa Zi, Feiyi Liu, Mingyang Liu and Yang Wang
Electronics 2025, 14(20), 3981; https://doi.org/10.3390/electronics14203981 - 11 Oct 2025
Cited by 1 | Viewed by 770
Abstract
Accurate short-term photovoltaic (PV) power generation forecasting is critical for the stable integration of renewable energy into the grid. This study proposes a Transformer model enhanced with an adaptive sparse self-attention (ASSA) mechanism for PV power forecasting. The ASSA framework employs a dual-branch [...] Read more.
Accurate short-term photovoltaic (PV) power generation forecasting is critical for the stable integration of renewable energy into the grid. This study proposes a Transformer model enhanced with an adaptive sparse self-attention (ASSA) mechanism for PV power forecasting. The ASSA framework employs a dual-branch attention structure that combines sparse and dense attention paths with adaptive weighting to effectively filter noise while preserving essential spatiotemporal features. This design addresses the critical issues of computational redundancy and noise amplification in standard self-attention by adaptively filtering irrelevant interactions while maintaining global dependencies in Transformer-based PV forecasting. In addition, a deep feedforward network and a feature refinement feedforward network (FRFN) adapted from the ASSA–Transformer are incorporated to further improve feature extraction. The proposed algorithms are evaluated using time-series data from the Desert Knowledge Australia Solar Centre (DKASC), with input features including temperature, relative humidity, and other environmental variables. Comprehensive experiments demonstrate that the ASSA models’ accuracy in short-term PV power forecasting increases with longer forecast horizons. For 1 h ahead forecasts, it achieves an R2 of 0.9115, outperforming all other models. Under challenging rainfall conditions, the model maintains a high prediction accuracy, with an R2 of 0.7463, a mean absolute error of 0.4416, and a root mean square error of 0.6767, surpassing all compared models. The ASSA attention mechanism enhances the accuracy and stability in short-term PV power forecasting with minimal computational overhead, increasing the training time by only 1.2% compared to that for the standard Transformer. Full article
Show Figures

Figure 1

16 pages, 4020 KB  
Article
Lightweight Detection Method of Wheelset Tread Defects Based on Improved YOLOv7
by Peng Yang, Fan Gao, Xinwen Yang, Caidong Wang, Hongjun Yang and Zhifeng Zhang
Appl. Sci. 2025, 15(20), 10903; https://doi.org/10.3390/app152010903 - 10 Oct 2025
Cited by 1 | Viewed by 500
Abstract
Accurate online inspection of train wheelset tread defects is challenging owing to the variety and position uncertainty of defects. This study develops an improved YOLOv7 model capable of inspecting various wheelset tread defects with high accuracy and low computation complexity. This model comprises [...] Read more.
Accurate online inspection of train wheelset tread defects is challenging owing to the variety and position uncertainty of defects. This study develops an improved YOLOv7 model capable of inspecting various wheelset tread defects with high accuracy and low computation complexity. This model comprises GSConv, a small target enhancement (STE) module, and StyleGAN3. GSConv significantly reduces the model volume while maintaining the feature expression ability, achieving a lightweight structure. The STE module enhances the fusion of shallow features and distribution of attention weights, significantly improving the sensitivity to small-sized defects and positioning robustness. StyleGAN3 enhances small samples by addressing inhomogeneity, thereby generating high-quality defect samples; it overcomes the limitations of traditional amplification methods regarding texture authenticity and morphological diversity, systematically improving the model’s generalization ability under sample scarcity conditions. The model achieves 1.6%, 10.7%, 48.63% and 37.97% higher mean average precision values than YOLOv7, YOLOv5, SSD, and Faster R-CNN, respectively, and the model parameter size is reduced by 73.91, 94.69, 122.11, and 154.91 MB, respectively. Hence, the proposed YOLOv7-STE model outperforms traditional models. Moreover, it demonstrates satisfactory performance in detecting small target defects in different samples, highlighting its potential applicability in online wheel tread defect inspection. Full article
Show Figures

Figure 1

24 pages, 2715 KB  
Article
Development of a Novel Weighted Maximum Likelihood-Based Parameter Estimation Technique for Improved Annual Energy Production Estimation of Wind Turbines
by Woobeom Han, Kanghee Lee, Jonghwa Kim and Seungjae Lee
Energies 2025, 18(19), 5265; https://doi.org/10.3390/en18195265 - 3 Oct 2025
Viewed by 522
Abstract
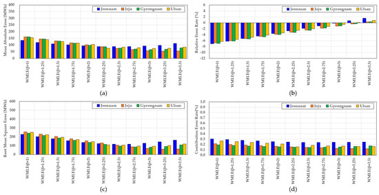
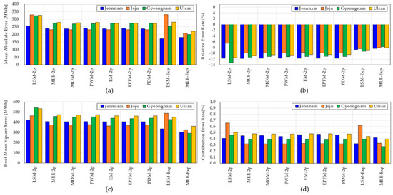
Conventional statistical models consider all wind speed ranges as equally important, causing significant prediction errors, particularly in wind speed intervals that contribute the most to wind turbine power generation. To overcome this limitation, this study proposes a novel parameter estimation method—Weighted Maximum Likelihood [...] Read more.
Conventional statistical models consider all wind speed ranges as equally important, causing significant prediction errors, particularly in wind speed intervals that contribute the most to wind turbine power generation. To overcome this limitation, this study proposes a novel parameter estimation method—Weighted Maximum Likelihood Estimation (WMLE)—to improve the accuracy of annual energy production (AEP) predictions for wind turbine systems. The proposed WMLE incorporates wind-speed-specific weights based on power generation contribution, along with a weighting amplification factor (β), to construct a power-oriented wind distribution model. WMLE performance was validated by comparing four offshore wind farm candidate sites in Korea—each exhibiting distinct wind characteristics. Goodness-of-fit evaluations against conventional wind statistical models demonstrated the improved distribution fitting performance of WMLE. Furthermore, WMLE consistently achieved relative AEP errors within ±2% compared to those of time-series-based methods. A sensitivity analysis identified the optimal β value, which narrowed the distribution fit around high-energy-contributing wind speeds, thereby enhancing the reliability of AEP predictions. In conclusion, WMLE provides a practical and robust statistical framework that bridges the gap between statistical distribution fitting and time-series-based methods for AEP. Moreover, the improved accuracy of AEP predictions enhances the reliability of wind farm feasibility assessments, reduces investment risk, and strengthens financial bankability. Full article
(This article belongs to the Section B: Energy and Environment)
Show Figures

Figure 1

Back to TopTop