Sign in to use this feature.

Years

Between: -

Subjects

remove_circle_outline
remove_circle_outline
remove_circle_outline
remove_circle_outline
remove_circle_outline
remove_circle_outline
remove_circle_outline
remove_circle_outline

Journals

remove_circle_outline
remove_circle_outline
remove_circle_outline
remove_circle_outline
remove_circle_outline

Article Types

Countries / Regions

remove_circle_outline
remove_circle_outline
remove_circle_outline
remove_circle_outline

Search Results (313)

Search Parameters:
Keywords = wavenumber method

Order results
Result details
Results per page
Select all
Export citation of selected articles as:
22 pages, 1677 KB  
Article
Wave Scattering by Inverse T-Type Compound Breakwater with Ocean Currents: An Analytical and Numerical Study
by Aman Kumar Kushwaha, Harekrushna Behera and Vinay Kumar Gupta
Mathematics 2026, 14(1), 22; https://doi.org/10.3390/math14010022 - 21 Dec 2025
Viewed by 64
Abstract
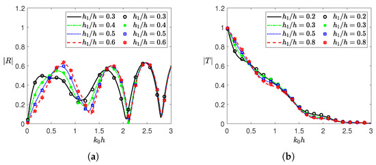
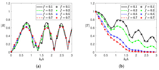
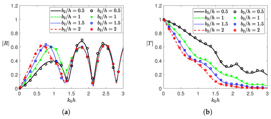
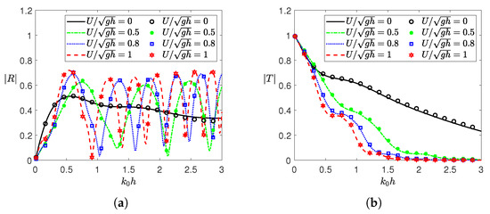
The present work focuses on wave scattering generated by an inverse T-type compound breakwater in the presence of the ocean current. The boundary value problem (BVP) is investigated using two distinct strategies: an exact formulation derived from the eigenfunction expansion method (EEM) and [...] Read more.
The present work focuses on wave scattering generated by an inverse T-type compound breakwater in the presence of the ocean current. The boundary value problem (BVP) is investigated using two distinct strategies: an exact formulation derived from the eigenfunction expansion method (EEM) and a computational framework developed with the boundary element method (BEM). A comparison of outcomes from both techniques with established studies confirms the consistency and accuracy of the present formulations. Reflection and transmission coefficients, along with the time-domain simulations of the free surface, are evaluated under different wave conditions and structural configurations. In the long-wave region, the reflection coefficient exhibits strong dependence on the wavenumber, with higher values observed as the height and width of the porous section increase. Increasing the friction coefficient within the porous layer considerably reduces wave transmission to the leeside, demonstrating the important role of friction in energy dissipation. Furthermore, greater ocean current velocity leads to an increase in the reflection curve, highlighting the significant effect of hydrodynamic conditions on wave–structure interaction. The time-domain simulations of the free surface are also presented to provide a clear visualization of the wave behavior on the surface, both with and without the presence of an ocean current. The findings shed light on the combined influence of breakwaters and ocean currents, enabling the development of coastal protection measures that enhance resilience, sustainability, and safety from erosion and damage. Full article
(This article belongs to the Section C: Mathematical Analysis)
Show Figures

Figure 1

19 pages, 8332 KB  
Article
Chemometric Approaches for Identification of Herbal Medicinal Products
by Olga V. Levitskaya, Tatiana V. Pleteneva, Elena V. Uspenskaya, Daria A. Galkina, Daiaana D. Ogotoeva, Nadezda A. Khodorovich and Anton V. Syroeshkin
Analytica 2025, 6(4), 59; https://doi.org/10.3390/analytica6040059 - 16 Dec 2025
Viewed by 159
Abstract
Quality control of herbal medicinal products (HMPs) is challenging due to their multicomponent composition. For most HMPs, chemical reference standards (CRSs) required for traditional chromatographic and spectral analyses are unavailable. According to USP and Ph. Eur., an exception is valerian tincture, for which [...] Read more.
Quality control of herbal medicinal products (HMPs) is challenging due to their multicomponent composition. For most HMPs, chemical reference standards (CRSs) required for traditional chromatographic and spectral analyses are unavailable. According to USP and Ph. Eur., an exception is valerian tincture, for which highly specific CRSs have been developed. The aim of this study was to use principal component analysis (PCA) and the novel two-dimensional diffuse laser scattering (2D-DLS) method to identify HMPs and their aqueous-ethanolic extracts according to their botanical genera without relying on specific marker compounds. Spectral data were compiled into an extensive library covering a wide wavelength range—from 0.02 nm to 15,000 nm. PCA of the spectral data (UV spectrophotometry, fluorimetry, FTIR spectroscopy, and X-ray diffraction) enabled clustering of samples by individual botanical genera. The most significant information for sample differentiation was provided by wavenumbers of 1400, 1180, and 931 cm−1 in the IR spectra and wavelengths of 450 nm and 672 nm in the UV and fluorescence spectra, respectively. During model cross-validation, all “blind samples” were correctly classified by botanical genus, achieving a non-error rate (NER) of 100%. Furthermore, the unique 2D-DLS method was used to rapidly identify tinctures without opening the glass bottles. Full article
(This article belongs to the Special Issue New Analytical Techniques and Methods in Pharmaceutical Science)
Show Figures

Figure 1

19 pages, 1723 KB  
Article
Study on the Structure of Lignin Isolated from Wood Under Acidic Conditions
by Andrzej Antczak, Aneta Skręta, Anna Kamińska-Dwórznicka, Klaudia Rząd and Arkadiusz Matwijczuk
Molecules 2025, 30(24), 4705; https://doi.org/10.3390/molecules30244705 - 9 Dec 2025
Viewed by 247
Abstract
Lignin obtained in acidic conditions is a waste product in various technological processes like sulfite pulping, organosolv pulping, or bioethanol production. Knowing the structure of the lignin enables its use in high-value-added applications. In this paper, the lignin structure isolated from Pinus sylvestris [...] Read more.
Lignin obtained in acidic conditions is a waste product in various technological processes like sulfite pulping, organosolv pulping, or bioethanol production. Knowing the structure of the lignin enables its use in high-value-added applications. In this paper, the lignin structure isolated from Pinus sylvestris L. and Populus deltoides × maximowiczii wood in acidic conditions was investigated. Two methods of lignin isolation (Klason method and a method using a sulfuric and phosphoric acid mixture) were compared. Additionally, lignin acetylation was performed. The lignin samples were analyzed using different instrumental techniques, such as size exclusion chromatography (SEC), attenuated total reflection–Fourier transform infrared spectroscopy (ATR-FTIR), and scanning electron microscopy (SEM). Based on the studies carried out, it was found out that the lignin isolated from pine and poplar wood in acidic conditions had a highly condensed structure. This was evidenced by the high-weight average molar mass of lignin (up to 118,700 g/mol) and the precipitates, aggregates, and agglomerates on its surface. Moreover, the characteristic signals of condensed lignin in ATR-FTIR analysis (band with wavenumber of 767 cm−1) and their decrease/disappearance (band that usually occurs with a wavenumber of about 814 cm−1) were observed. Lignin acetylation and analysis in the 0.5% LiCl/DMAc system have proven particularly effective in the case of the condensed poplar lignin. The beneficial effect of lignin acetylation was confirmed by SEM analysis. The high-molecular-weight condensed lignin, despite some of its problematic properties connected mainly with solubility, is a valuable substance that can be used for different applications (carbon fibers or as an additive for thermoplastic blends), which was confirmed by the studies in this paper and the findings of other scientists. Full article
(This article belongs to the Section Macromolecular Chemistry)
Show Figures

Graphical abstract

16 pages, 8923 KB  
Article
A High-Resolution Mirror Migration Framework for Ocean Bottom Cable Seismic Data
by Wenjun Ni, Shaoyong Liu, Mingyuan Xu, Bingkai Han and Guodong Fan
J. Mar. Sci. Eng. 2025, 13(12), 2254; https://doi.org/10.3390/jmse13122254 - 27 Nov 2025
Viewed by 254
Abstract
Seismic data migration is a critical step for accurate subsurface imaging. While Ocean Bottom Cable (OBC) surveys provide high-quality seismic data, reliance on primary reflections alone leads to significant illumination gaps. Receiver-side ghost waves can mitigate these gaps; however, conventional mirror migration suffers [...] Read more.
Seismic data migration is a critical step for accurate subsurface imaging. While Ocean Bottom Cable (OBC) surveys provide high-quality seismic data, reliance on primary reflections alone leads to significant illumination gaps. Receiver-side ghost waves can mitigate these gaps; however, conventional mirror migration suffers from low resolution and amplitude inaccuracy. To address these limitations, this study introduces a high-resolution mirror migration framework based on Point Spread Function (PSF)-guided inversion imaging. The methodology involves first separating the OBC wavefield to isolate ghost-wave components, followed by applying standard mirror migration to produce an initial, blurred image. Subsequently, the PSFs of down-going ghost waves are estimated to characterize imaging distortions, and image-domain least squares migration (LSM) is implemented via PSF deconvolution to reconstruct high-resolution reflectivity. Numerical experiments on complex models demonstrate that the proposed method preserves the additional illumination provided by this wavefield, substantially improves the spatial resolution of imaging targets, and enhances lateral continuity. Quantitative analysis confirms this enhancement through a significant extension of the effective vertical wavenumber bandwidth and the recovery of higher-frequency content. The framework provides a robust and computationally efficient solution for high-fidelity OBC imaging, enabling more reliable subsurface interpretation. Full article
(This article belongs to the Special Issue Modeling and Waveform Inversion of Marine Seismic Data)
Show Figures

Figure 1

14 pages, 26522 KB  
Article
Effect of Distributed Roughness Elements on Crossflow Transition in a Yawed Cone in a Mach 6 Wind Tunnel
by Haibo Niu, Shihe Yi, Xiaolin Liu and Jia Fu
Aerospace 2025, 12(12), 1045; https://doi.org/10.3390/aerospace12121045 - 25 Nov 2025
Viewed by 276
Abstract
Research on hypersonic crossflow transition holds significant engineering and scientific importance. This paper investigates the impact of distributed roughness elements (DREs) on crossflow transition for a cone set at a 6° angle of attack, using experimental methods. The research was conducted in the [...] Read more.
Research on hypersonic crossflow transition holds significant engineering and scientific importance. This paper investigates the impact of distributed roughness elements (DREs) on crossflow transition for a cone set at a 6° angle of attack, using experimental methods. The research was conducted in the Mach 6 wind tunnel, employing temperature-sensitive paint (TSP) as the measurement technology. Two types of nosetip were examined: a sharp nosetip with a radius of 0.1 mm and a blunt nosetip with a radius of 2.5 mm. The circumferential wavenumbers of the DREs on the nosetip included k = 35, k = 50, and k = 70. The results indicate that the nosetip with DREs at k = 50 has a more pronounced effect in promoting boundary layer transition to turbulence on the leeward side of the cone compared to the nosetips with DREs at k = 35 and k = 70. However, all three types of DREs exhibit similar effects on transition on the windward side. Additionally, the bluntness of the nosetip, at R = 2.5 mm, diminishes the effectiveness of DREs in promoting transition; however, the degree of diminished effectiveness varies with the circumferential azimuth. Full article
Show Figures

Figure 1

19 pages, 5457 KB  
Article
High-Magnesium Olivines (Fo 90–100): Determination of Fo Content by Raman Spectroscopy
by Tianqi Wang, Mingyue He, Bijie Peng, Jingxuan Wang, Mei Yang and Ning Wang
Crystals 2025, 15(11), 964; https://doi.org/10.3390/cryst15110964 - 7 Nov 2025
Viewed by 1758
Abstract
Olivine is a dominant constituent of the Earth’s upper mantle, and its forsterite content (Fo = 100 × Mg/(Mg + Fetotal) in molar basis) holds significant implications for indicating petrogenesis. The characteristic Raman doublet near ~820 and ~855 cm−1 shifts [...] Read more.
Olivine is a dominant constituent of the Earth’s upper mantle, and its forsterite content (Fo = 100 × Mg/(Mg + Fetotal) in molar basis) holds significant implications for indicating petrogenesis. The characteristic Raman doublet near ~820 and ~855 cm−1 shifts systematically to higher wavenumbers with increasing Fo content. Although previous studies have established general relationships between Fo content and Raman shifts in olivine, research focusing specifically on high-Fo (90–100) compositions remains limited, primarily due to a scarcity of suitable samples. This study addresses this gap by systematically investigating 45 high-Fo (90–100 olivine samples, to establish regression relationships between the Fo content and both the primary doublet (P1: 822–826 cm−1; P2: 855–858 cm−1) and three secondary peaks (P3: 881–884 cm−1, P4: 917–921 cm−1, and P5: 961–967 cm−1). Our results show that, whereas the secondary peaks (P3–P5) show weak correlations with Fo values, the doublet exhibits a strong compositional dependence, providing a reliable basis for developing calibration models. To enable the rapid screening of unknown olivines, we established a generalized linear equation (Fo = −(3547 ± 65) + (4.25 ± 0.08) P2), with P2 > 855.0 cm−1 indicating Fo > 90. For the precise quantification of these identified high-Fo samples, calibration models derived from the doublet show an excellent correlation with Fo (R2 > 0.93), with residual fluctuation within ±2.5%, a leave-one-out cross-validation root-mean-square error (LOOCV-RMSE) of ~0.7. Notably, the quadratic regression model based on the P2 peak, Fo = (346,357 ± 10,890) − (812.4 ± 287.8) P2 + (0.477 ± 0.028) P22, demonstrates exceptional predictive stability and generalization capability, with prediction errors constrained within 4 Fo units. This model provides a reliable tool for the compositional discrimination for high-Fo olivine, enriches the Raman spectral database for olivine studies, and offers a robust method for the rapid and accurate compositional analysis of both terrestrial and extraterrestrial olivine samples. Full article
(This article belongs to the Section Mineralogical Crystallography and Biomineralization)
Show Figures

Figure 1

21 pages, 1214 KB  
Article
Wave Scattering and Trapping by C-Type Floating Breakwaters in the Presence of Bottom-Standing Perforated Semicircular Humps
by Prakash Kar, Harekrushna Behera and Dezhi Ning
Mathematics 2025, 13(21), 3372; https://doi.org/10.3390/math13213372 - 23 Oct 2025
Viewed by 406
Abstract
In this paper, the propagation of surface gravity waves over multiple bottom-standing porous semicircular humps is examined in the absence and presence of double floating C-type detached asymmetric breakwaters. Both wave scattering and trapping phenomena are investigated within the framework of small-amplitude [...] Read more.
In this paper, the propagation of surface gravity waves over multiple bottom-standing porous semicircular humps is examined in the absence and presence of double floating C-type detached asymmetric breakwaters. Both wave scattering and trapping phenomena are investigated within the framework of small-amplitude linear water wave theory, with the governing problem numerically solved using the multi-domain Boundary Element Method (BEM) in finite-depth water. A detailed parametric analysis is conducted to evaluate the effects of key physical parameters, including hump radius, porosity, spacing between adjacent humps, and the separation between the two C-type detached breakwaters. The study presents results for reflection and transmission coefficients, free-surface elevations, and the horizontal and vertical forces acting on the first perforated semicircular hump, as well as on the shore-fixed wall. The findings highlight the significant role of porous humps in altering Bragg scattering characteristics. For larger wavenumbers, wave reflection increases notably in the presence of a vertical shore-fixed wall, while it tends to vanish in its absence. Reflection is also observed to decrease with an increase in semicircle radius. Furthermore, as the wavenumber approaches zero, the vertical force on multiple permeable semicircles converges to zero, whereas for impermeable semicircles, it approaches unity. In addition, the horizontal force acting on the shore-fixed wall diminishes rapidly with increasing porosity of the semicircular humps. Full article
(This article belongs to the Section E: Applied Mathematics)
Show Figures

Figure 1

20 pages, 2314 KB  
Article
Explainable AI-Driven Raman Spectroscopy for Rapid Bacterial Identification
by Dimitris Kalatzis, Angeliki I. Katsafadou, Dimitrios Chatzopoulos, Charalambos Billinis and Yiannis Kiouvrekis
Micro 2025, 5(4), 46; https://doi.org/10.3390/micro5040046 - 14 Oct 2025
Viewed by 1264
Abstract
Raman spectroscopy is a rapid, label-free, and non-destructive technique for probing molecular structures, making it a powerful tool for clinical pathogen identification. However, interpreting its complex spectral data remains challenging. In this study, we evaluate and compare a suite of machine learning models—including [...] Read more.
Raman spectroscopy is a rapid, label-free, and non-destructive technique for probing molecular structures, making it a powerful tool for clinical pathogen identification. However, interpreting its complex spectral data remains challenging. In this study, we evaluate and compare a suite of machine learning models—including Support Vector Machines (SVM), XGBoost, LightGBM, Random Forests, k-nearest Neighbors (k-NN), Convolutional Neural Networks (CNNs), and fully connected Neural Networks—with and without Principal Component Analysis (PCA) for dimensionality reduction. Using Raman spectral data from 30 clinically important bacterial and fungal species that collectively account for over 90% of human infections in hospital settings, we conducted rigorous hyperparameter tuning and assessed model performance based on accuracy, precision, recall, and F1-score. The SVM with an RBF kernel combined with PCA emerged as the top-performing model, achieving the highest accuracy (0.9454) and F1-score (0.9454). Ensemble methods such as LightGBM and XGBoost also demonstrated strong performance, while CNNs provided competitive results among deep learning approaches. Importantly, interpretability was achieved via SHAP (Shapley Additive exPlanations), which identified class-specific Raman wavenumber regions critical to prediction. These interpretable insights, combined with strong classification performance, underscore the potential of explainable AI-driven Raman analysis to accelerate clinical microbiology diagnostics, optimize antimicrobial therapy, and improve patient outcomes. Full article
Show Figures

Figure 1

21 pages, 1230 KB  
Article
Inverse Judd–Ofelt Formalism Based on Radiative Lifetime for Comparative Spectroscopy of RE3+ Ions in Glass
by Helena Cristina Vasconcelos, Maria Gabriela Meirelles and Reşit Özmenteş
Photonics 2025, 12(10), 1011; https://doi.org/10.3390/photonics12101011 - 13 Oct 2025
Viewed by 495
Abstract
This work shows that inverse Judd–Ofelt (JO) analysis of relative absorption spectra, anchored by a single lifetime, provides JO parameters and radiative rates without absolute calibration. The method is applied to Er3+, Dy3+, and Sm3+ in a compositionally [...] Read more.
This work shows that inverse Judd–Ofelt (JO) analysis of relative absorption spectra, anchored by a single lifetime, provides JO parameters and radiative rates without absolute calibration. The method is applied to Er3+, Dy3+, and Sm3+ in a compositionally identical oxyfluoride glass. Three well-resolved ground-state 4f–4f absorption bands were selected. After baseline removal and wavenumber-domain integration, their normalized strengths Srel,k (k = 1, 2, 3; k∈S) define a 3 × 3 system solved by non-negative least squares to obtain the anchor-independent ordering (Ω246). Absolute scaling uses a single lifetime anchor. We report lifetime-scaled Ωt and Arad, and the normalized fractions pk within the selected triplets; as imposed by the method, the anchor-independent ordering (Ω246) is analyzed, while absolute Arad and Ωt scale with τref. The extracted parameters fall within the expected ranges for oxyfluoride hosts and reveal clear ion-specific trends: Ω2 follows Dy3+ > Er3+ > Sm3+ (site asymmetry/hypersensitive response), while the ordering Ω4 > Ω6 holds across all ions (oxide-rich networks). Er3+ exhibits the largest Ω4 and the smallest Ω6, indicative of pronounced medium-range “rigidity” with suppressed long-range polarizability; Sm3+ shows the lowest Ω2 (more symmetric/less covalent coordination); and Dy3+ the highest Ω2 (strong hypersensitive behavior). Uncertainty was quantified by Monte Carlo resampling of the preprocessing steps, yielding compact 95% confidence intervals; the resulting JO-parameter trends (Ω2, Ω4, Ω6) and normalized fk fractions reproduce the characteristic spectroscopic behavior known for each ion. This method enables quantitative JO outputs from uncalibrated spectra, allowing direct spectroscopic comparisons and quick screening when only relative absorption data are available. Full article
(This article belongs to the Section Optoelectronics and Optical Materials)
Show Figures

Figure 1

18 pages, 4415 KB  
Article
AI-Aided GPR Data Multipath Summation Using x-t Stacking Weights
by Nikos Economou, Sobhi Nasir, Said Al-Abri, Bader Al-Shaqsi and Hamdan Hamdan
NDT 2025, 3(4), 24; https://doi.org/10.3390/ndt3040024 - 2 Oct 2025
Viewed by 486
Abstract
The Ground Penetrating Radar (GPR) method can image dielectric discontinuities in subsurface structures, which cause the reflection of electromagnetic (EM) waves. These discontinuities are imaged as reflectors in GPR sections, often distorted by diffracted energy. To focus the diffracted energy within the GPR [...] Read more.
The Ground Penetrating Radar (GPR) method can image dielectric discontinuities in subsurface structures, which cause the reflection of electromagnetic (EM) waves. These discontinuities are imaged as reflectors in GPR sections, often distorted by diffracted energy. To focus the diffracted energy within the GPR sections, migration is commonly used. The migration velocity of GPR data is a low-wavenumber attribute crucial for effective migration. Obtaining a migration velocity model, typically close to a Root Mean Square (RMS) model, from zero-offset (ZO) data requires analysis of the available diffractions, whose density and (x, t) coverage are random. Thus, the accuracy and efficiency of such a velocity model, whether for migration or interval velocity model estimation, are not guaranteed. An alternative is the multipath summation method, which involves the weighted stacking of constant velocity migrated sections. Each stacked section contributes to the final stack, weighted by a scalar value dependent on the constant velocity value used and its relation to its estimated mean velocity of the section. This method effectively focuses the GPR diffractions in the presence of low heterogeneity. However, when the EM velocity varies dramatically, 2D weights are needed. In this study, with the aid of an Artificial Intelligence (AI) algorithm that detects diffractions and uses their kinematic information, we generate a diffraction velocity model. This model is then used to assign 2D weights for the weighted multipath summation, aiming to focus the scattered energy within the GPR section. We describe this methodology and demonstrate its application in enhancing the lateral continuity of reflections. We compare it with the 1D multipath summation using simulated data and present its application on marble assessment GPR data for imaging cracks and discontinuities in the subsurface structure. Full article
Show Figures

Figure 1

13 pages, 4502 KB  
Article
Wavelength Calibration for an External Cavity Diode Laser Using a Polynomial Dual-Cosine Model
by Suman Ai, Ruifeng Kan, Cheng Du, Zhongqiang Yu, Weiqi Xing, Dingfeng Shi, Chuge Chen, Rantong Niu, Zhenyu Xu and An Huang
Photonics 2025, 12(10), 964; https://doi.org/10.3390/photonics12100964 - 29 Sep 2025
Viewed by 362
Abstract
A polynomial dual-cosine model is proposed for the wavelength calibration of an ECDL (Santec-TSL710-O-band). An analysis of the ECDL’s measured spectral data demonstrates that the polynomial dual-cosine model reduces the relative wavenumber fitting residuals by a factor of five within a scanning range [...] Read more.
A polynomial dual-cosine model is proposed for the wavelength calibration of an ECDL (Santec-TSL710-O-band). An analysis of the ECDL’s measured spectral data demonstrates that the polynomial dual-cosine model reduces the relative wavenumber fitting residuals by a factor of five within a scanning range of 30 cm−1. The experimental results of broadband temperature measurement (700~1600 K) in the tube furnace confirm that the proposed model successfully reduces the maximum temperature relative error from 6.7% to 2.3%. The wavelength calibration model effectively promotes further research on the broadband absorption spectroscopy thermometry method and its application in the temperature diagnostics of aeroengine combustors. Full article
(This article belongs to the Special Issue Advancements in Optics and Laser Measurement)
Show Figures

Figure 1

22 pages, 10283 KB  
Article
Outlier Correction in Remote Sensing Retrieval of Ocean Wave Wavelength and Application to Bathymetry
by Zhengwen Xu, Shouxian Zhu, Wenjing Zhang, Yanyan Kang and Xiangbai Wu
Remote Sens. 2025, 17(19), 3284; https://doi.org/10.3390/rs17193284 - 24 Sep 2025
Viewed by 469
Abstract
The extraction of ocean wave wavelengths from optical imagery via Fast Fourier Transform (FFT) exhibits significant potential for Wave-Derived Bathymetry (WDB). However, in practical applications, this method frequently produces anomalously large wavelength estimates. To date, there has been insufficient exploration into the mechanisms [...] Read more.
The extraction of ocean wave wavelengths from optical imagery via Fast Fourier Transform (FFT) exhibits significant potential for Wave-Derived Bathymetry (WDB). However, in practical applications, this method frequently produces anomalously large wavelength estimates. To date, there has been insufficient exploration into the mechanisms underlying image spectral leakage to low wavenumbers and its suppression strategies. This study investigates three plausible mechanisms contributing to spectral leakage in optical images and proposes a subimage-based preprocessing framework: prior to executing two-dimensional FFT, the remote sensing subimages employed for wavelength inversion undergo three sequential steps: (1) truncation of distorted pixel values using a Gaussian mixture model; (2) application of a polynomial detrending surface; (3) incorporation of a two-dimensional Hann window. Subsequently, the dominant wavenumber peak is localized in the power spectrum and converted to wavelength values. Water depth is then inverted using the linear dispersion equation, combined with wave periods derived from ERA5. Taking 2 m-resolution WorldView-2 imagery of Sanya Bay, China as a case study, 1024 m subimages are utilized, with validation conducted against chart-sounding data. Results demonstrate that the proportion of subimages with anomalous wavelengths is reduced from 18.9% to 3.3% (in contrast to 14.0%, 7.8%, and 16.6% when the three preprocessing steps are applied individually). Within the 0–20 m depth range, the water depth retrieval accuracy achieves a Mean Absolute Error (MAE) of 1.79 m; for the 20–40 m range, the MAE is 6.38 m. A sensitivity analysis of subimage sizes (512/1024/2048 m) reveals that the 1024 m subimage offers an optimal balance between accuracy and coverage. However, residual anomalous wavelengths persist in near-shore subimages, and errors still increase with increasing water depth. This method is both concise and effective, rendering it suitable for application in shallow-water WDB scenarios. Full article
(This article belongs to the Section Ocean Remote Sensing)
Show Figures

Figure 1

19 pages, 5858 KB  
Article
An Improved Extended Wavenumber Domain Imaging Algorithm for Ultra-High-Resolution Spotlight SAR
by Gui Wang, Yao Gao and Weidong Yu
Sensors 2025, 25(17), 5599; https://doi.org/10.3390/s25175599 - 8 Sep 2025
Viewed by 875
Abstract
Ultra-high-resolution synthetic aperture radar (SAR) has important applications in military and civilian fields. However, the acquisition of high-resolution SAR imagery poses considerable processing challenges, including limitations in traditional slant range model precision, the spatial variation in equivalent velocity, spectral aliasing, and non-negligible error [...] Read more.
Ultra-high-resolution synthetic aperture radar (SAR) has important applications in military and civilian fields. However, the acquisition of high-resolution SAR imagery poses considerable processing challenges, including limitations in traditional slant range model precision, the spatial variation in equivalent velocity, spectral aliasing, and non-negligible error introduced by stop-and-go assumption. To this end, this paper proposes an improved extended wavenumber domain imaging algorithm for ultra-high-resolution SAR to systematically address the imaging quality degradation caused by these challenges. In the proposed algorithm, the one-step motion compensation method is employed to compensate for the errors caused by orbital curvature through range-dependent envelope shift interpolation and phase function correction. Then, the interpolation based on modified Stolt mapping is performed, thereby facilitating effective separation of the range and azimuth focusing. Finally, the residual range cell migration correction is applied to eliminate range position errors, followed by azimuth compression to achieve high-precision focusing. Both simulation and spaceborne data experiments are performed to verify the effectiveness of the proposed algorithm. Full article
Show Figures

Figure 1

29 pages, 4433 KB  
Article
Influence of Boundary Conditions and Heating Modes on the Onset of Columnar Convection in Rotating Spherical Shells
by William Seeley, Francesca Coke, Radostin D. Simitev and Robert J. Teed
Fluids 2025, 10(9), 237; https://doi.org/10.3390/fluids10090237 - 5 Sep 2025
Viewed by 835
Abstract
We investigate the linear onset of thermal convection in rotating spherical shells with a focus on the influence of mechanical boundary conditions and thermal driving modes. Using a spectral method, we determine critical Rayleigh numbers, azimuthal wavenumbers, and oscillation frequencies over a wide [...] Read more.
We investigate the linear onset of thermal convection in rotating spherical shells with a focus on the influence of mechanical boundary conditions and thermal driving modes. Using a spectral method, we determine critical Rayleigh numbers, azimuthal wavenumbers, and oscillation frequencies over a wide range of Prandtl numbers and shell aspect ratios at moderate Ekman numbers. We show that the preferred boundary condition for convective onset depends systematically on both aspect ratio and Prandtl number: for sufficiently thick shells or for large Pr, the Ekman boundary layer at the outer boundary becomes destabilising, so that no-slip boundaries yield a lower Rac than stress-free boundaries. Comparing differential and internal heating, we find that internal heating generally raises Rac, shifts the onset to larger wavenumbers and frequencies, and relocates the critical column away from the tangent cylinder. Mixed boundary conditions with no-slip on the inner boundary behave similarly to purely stress-free boundaries, confirming the dominant influence of the outer surface. These results demonstrate that boundary conditions and heating mechanisms play a central role in controlling the onset of convection and should be carefully considered in models of planetary and stellar interiors. Full article
(This article belongs to the Collection Challenges and Advances in Heat and Mass Transfer)
Show Figures

Figure 1

12 pages, 4800 KB  
Article
Chromogenic Mechanism and Chromaticity Study of Brazilian Aquamarine
by Zheng Zhang, Endong Zu, Xiaohu He, Zixuan Wang, Die Wang, Yicong Sun, Yigeng Wang and Siqi Yang
Crystals 2025, 15(9), 775; https://doi.org/10.3390/cryst15090775 - 29 Aug 2025
Viewed by 612
Abstract
Aquamarine, a popular variety of blue beryl, faces challenges in market valuation due to its reliance on subjective color assessment. This study investigates the coloration mechanism and establish a quantitative framework for assessing its color based on spectral and chromaticity analysis. We utilized [...] Read more.
Aquamarine, a popular variety of blue beryl, faces challenges in market valuation due to its reliance on subjective color assessment. This study investigates the coloration mechanism and establish a quantitative framework for assessing its color based on spectral and chromaticity analysis. We utilized electron probe microanalysis, ultraviolet-visible-near-infrared spectroscopy, laser Raman spectroscopy, and fiber optic spectroscopy to examine Brazilian aquamarine samples with varying blue intensities. The results indicate that the samples have high alkali metal (Na, K) content and low V/Cr content, consistent with the characteristics of high-alkali beryl. Ultraviolet spectroscopy reveals that the Fe3+-Fe2+ interaction (absorption at 620 nm) is the primary cause of blue coloration, while in deep blue samples, absorption at 956 nm decreases. Raman shifts (317 cm−1, 392 cm−1 Al-O bonds) correlate with TFeO content and chromaticity b value higher TFeO content corresponds to smaller Al–O peak shifts, and larger shifts are associated with higher b values (yellow hue). Specifically, increasing TFeO content leads to a shift of the Al-O Raman peak towards higher wavenumbers, and the magnitude of this shift is negatively correlated with the TFeO level. Based on hue angle (H) and saturation (S), we propose a classification method: “Light Blue” (H: 140–170, S ≤ 15), “Sky Blue” (H: 170–200, 15 < S ≤ 25), “Ocean Blue” (H: 200–230, 25 < S ≤ 35), and “Deep Blue” (H > 230, S > 35). This system provides a scientific basis for the quality assessment and market valuation of aquamarine. Full article
(This article belongs to the Section Mineralogical Crystallography and Biomineralization)
Show Figures

Figure 1

Back to TopTop