A High-Resolution Mirror Migration Framework for Ocean Bottom Cable Seismic Data
Abstract
1. Introduction
2. Methodology
2.1. Principles of Mirror Migration
2.2. Wavefield Separation on Ocean Bottom Cable Seismic Data
2.3. PSF of Downgoing Waves and PSF-Based High Resolution Imaging
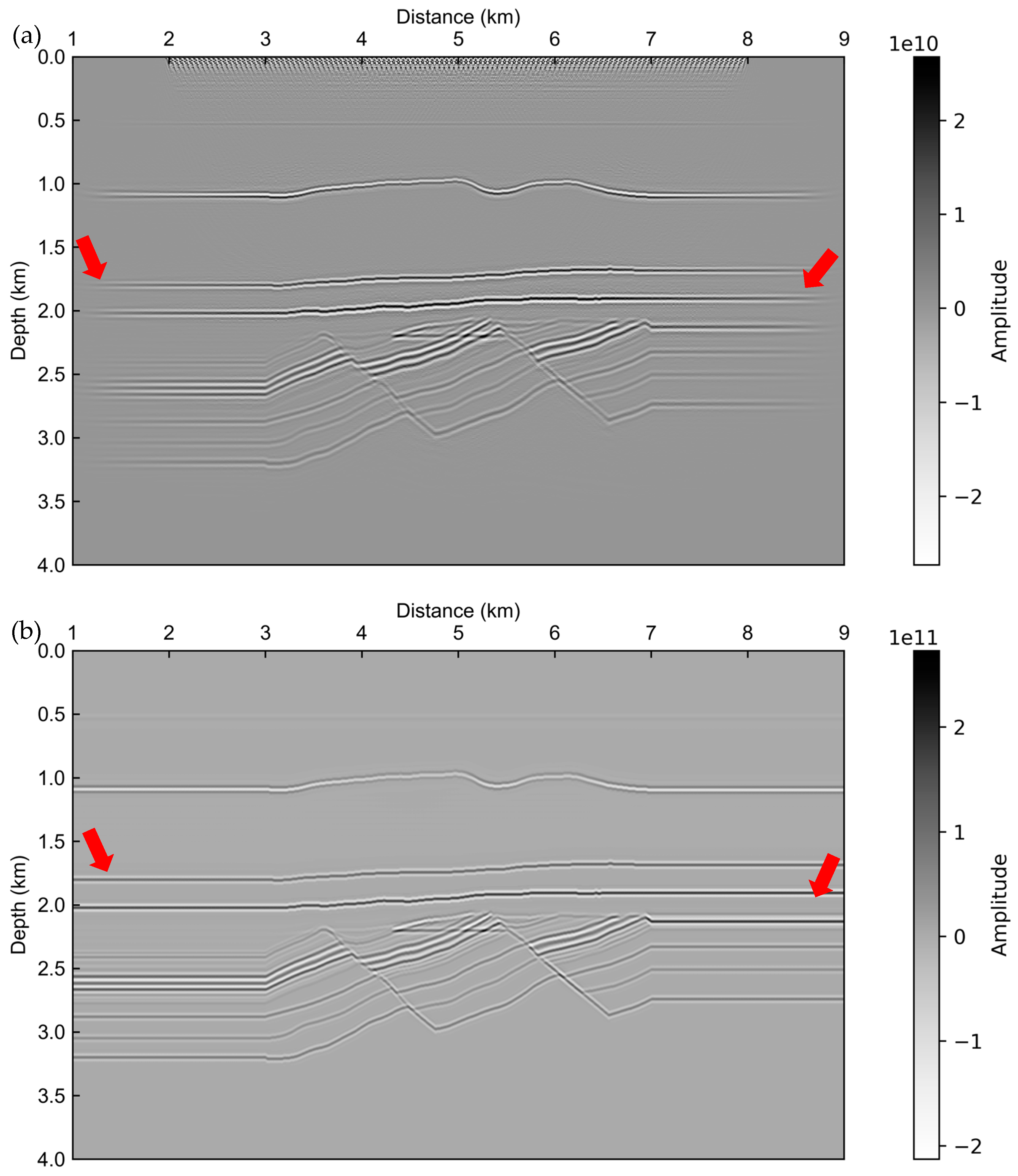
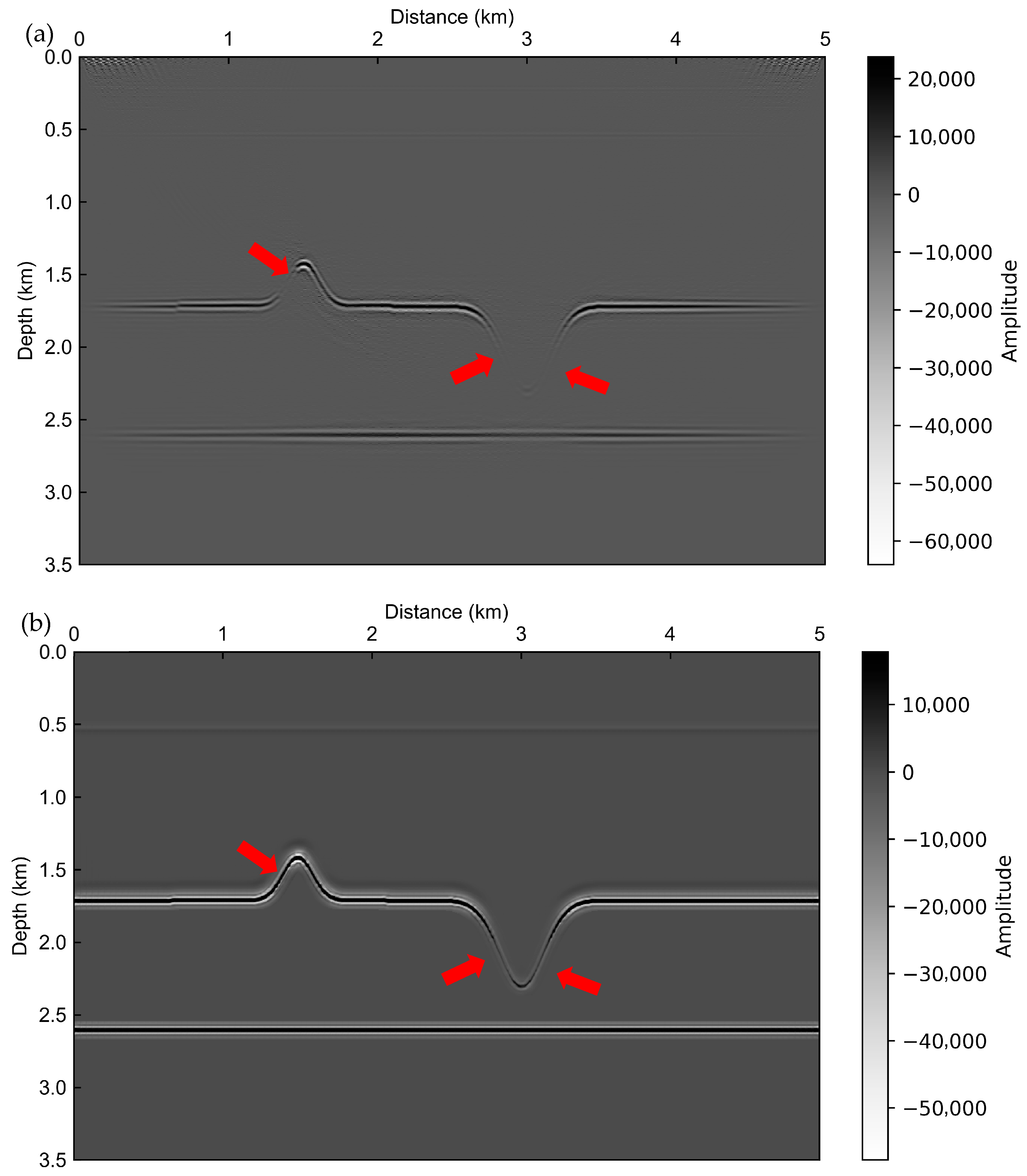
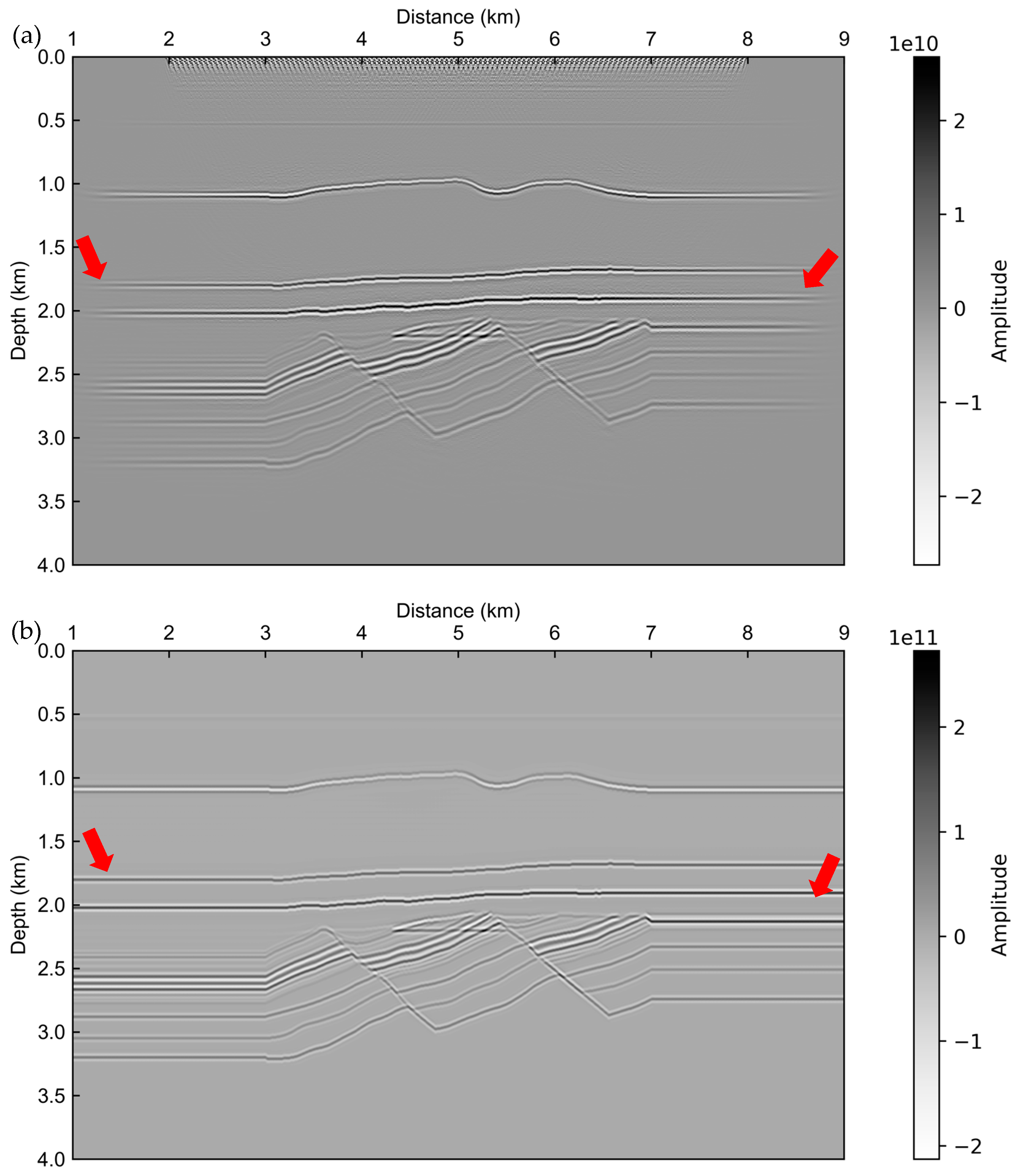
3. Numerical Examples
3.1. Uplift–Depression Model Test
3.2. Gullfaks Model Test
3.3. Pluto Model Test
4. Discussion
5. Conclusions
Author Contributions
Funding
Data Availability Statement
Conflicts of Interest
Correction Statement
References
- Chen, F.; Wang, X.; Liu, W.; Li, Y.; Liu, Z. Non-Repetitive Time-Shifted Seismic Monitoring Study Based on Ocean Bottom Cable and Towed Streamer Data. J. Mar. Sci. Eng. 2024, 12, 1615. [Google Scholar] [CrossRef]
- Sears, T.J.; Singh, S.; Barton, P. Elastic full waveform inversion of multi-component OBC seismic data. Geophys. Prospect. 2008, 56, 843–862. [Google Scholar]
- Han, G.; Li, Y.; Huang, J. Hierarchical Joint Elastic Full Waveform Inversion Based on Wavefield Separation for Marine Seismic Data. J. Mar. Sci. Eng. 2025, 13, 1430. [Google Scholar] [CrossRef]
- Shi, S.; Zhan, L.; Cai, W.; Yang, R.; Lu, H. Bottom-Simulating Reflectors (BSRs) in Gas Hydrate Systems: A Comprehensive Review. J. Mar. Sci. Eng. 2025, 13, 1137. [Google Scholar] [CrossRef]
- Wang, H.; Xiang, J.; Shi, Y. Basic logic and key methods of OBN seismic data imaging processing. Geophys. Prospect. Pet. 2024, 63, 12–29. [Google Scholar]
- Lu, S.; Qiu, L.; Li, X. Addressing the crosstalk issue in imaging using seismic multiple wavefields. Geophysics 2021, 86, S235–S245. [Google Scholar] [CrossRef]
- Ronen, S.; Comeaux, L.; Miao, J.G. Imaging downgoing waves from ocean bottom stations. In Proceedings of the SEG International Exposition and 75th Annual Meeting, Houston, TX, USA, 6–11 November 2005; pp. 963–966. [Google Scholar]
- Grion, S.; Exley, R.; Manin, M.; Miao, X.; Pica, A.; Wang, Y.; Granger, P.; Ronen, S. Mirror imaging of OBS data. First Break 2007, 25, 37–42. [Google Scholar] [CrossRef]
- Muijs, R.; Robertsson, J.O.A.; Holliger, K. Prestack depth migration of primary and surface-related multiple reflections—Part 1: Imaging. Geophysics 2007, 72, S59–S69. [Google Scholar]
- Whitmore, N.D.; Valenciano, A.A.; Sollner, W.; Lu, S. Imaging of primaries and multiples using a dual-sensor towed streamer. In Proceedings of the SEG International Exposition and 80th Annual Meeting, Denver, CO, USA, 17–22 October 2010; pp. 3187–3192. [Google Scholar]
- Dash, R.; Spence, G.; Hyndman, R.; Grion, S.; Wang, Y.; Ronen, S. Wide-area imaging from OBS multiples. Geophysics 2009, 74, Q41–Q47. [Google Scholar] [CrossRef]
- Zhang, D.; Schuster, G.T. Least-squares reverse time migration of multiples. Geophysics 2014, 79, S11–S21. [Google Scholar] [CrossRef]
- Wapenaar, K.; Thorbecke, J.; van der Neut, J.; Broggini, F.; Slob, E.; Snieder, R. Marchenko imaging. Geophysics 2014, 79, WA39–WA57. [Google Scholar] [CrossRef]
- Tong, S.Y.; Sun, C.X.; Li, L.W.; Xu, D.; Wang, J. Using Mirror Migration of OBS Data to Image the Deepwater Area of South China Sea. J. Earth Sci. 2018, 29, 662–668. [Google Scholar] [CrossRef]
- Fernandez, M.R.; Ettrich, N.; Delescluse, M.; Rabaute, A.; Keuper, J. Towards deep learning for seismic demultiple. Geophys. Prospect. 2025, 73, 1185–1203. [Google Scholar] [CrossRef]
- Kiraz, M.S.; Snieder, R.; Sheiman, J. Attenuating free-surface multiples and ghost reflection from seismic data using a trace-by-trace convolutional neural network approach. Geophys. Prospect. 2024, 72, 908–937. [Google Scholar]
- Han, B.; Liang, Q.; Mao, W.; Chen, G. Imaging Ocean-Bottom Seismic Data with Acoustic Kirchhoff Pre-Stack Depth Migration: A Numerical Investigation of Migration Responses and Crosstalk Artifacts. J. Mar. Sci. Eng. 2025, 13, 2109. [Google Scholar]
- Cheng, X.; Mao, J.; Feng, Z.; Vigh, D.; Glaccum, K.; Yu, Y. Advancing seismic imaging: From kinematics to dynamics with elastic full-waveform inversion. Lead. Edge 2025, 44, 362–370. [Google Scholar] [CrossRef]
- Foster, D.J.; Mosher, C.C. Suppression of multiple reflections using the Radon transform. Geophysics 1992, 57, 386–395. [Google Scholar] [CrossRef]
- Song, H.; Mao, W.; Tang, H.; Xu, Q.; Ouyang, W. Multiple attenuation based on connected-component analysis and high-resolution parabolic Radon transform. J. Appl. Geophys. 2022, 199, 104580. [Google Scholar]
- Wiggins, J.W. Attenuation of complex water-bottom multiples by wave-equation-based prediction and subtraction. Geophysics 1988, 53, 1527–1539. [Google Scholar]
- Xie, X.B.; Wu, R.S. Multicomponent prestack depth migration using the elastic screen method. Geophysics 2005, 70, S30–S37. [Google Scholar] [CrossRef]
- Stanton, A.; Sacchi, M.D. Elastic least-squares one-way wave-equation migration. Geophysics 2017, 82, S293–S305. [Google Scholar] [CrossRef]
- Liu, Y.; Liu, X.; Hu, H.; Li, P.; Khan, M. Imaging of first-order surface-related multiples by reverse-time migration. Geophys. J. Int. 2017, 208, 1077–1087. [Google Scholar] [CrossRef]
- Muijs, R.; Robertsson, J.O.A.; Holliger, K. Prestack depth migration of primary and surface-related multiple reflections: Part II—Identification and removal of residual multiples. Geophysics 2007, 72, S71–S76. [Google Scholar] [CrossRef]
- Wapenaar, C.P.A.; Peels, G.L.; Budejicky, V.; Berkhout, A.J. Inverse extrapolation of primary seismic waves. Geophysics 1989, 54, 853–863. [Google Scholar] [CrossRef]
- Xu, P.; Feng, B.; Wang, H.; Liu, S. Noniterative least-squares reverse time migration based on an efficient asymptotic Hessian/point-spread function estimation. Geophysics 2022, 87, S169–S184. [Google Scholar]
- Chen, G.; Li, J.; Chen, J.; Du, R.; Liu, Y.; Qi, Y.; Li, C.F.; Huang, X. Application of high-precision seafloor velocity model building based on joint tomography and deep learning on OBS data in the South China Sea. J. Earth Sci. 2025, 36, 830–834. [Google Scholar] [CrossRef]

















Disclaimer/Publisher’s Note: The statements, opinions and data contained in all publications are solely those of the individual author(s) and contributor(s) and not of MDPI and/or the editor(s). MDPI and/or the editor(s) disclaim responsibility for any injury to people or property resulting from any ideas, methods, instructions or products referred to in the content. |
© 2025 by the authors. Licensee MDPI, Basel, Switzerland. This article is an open access article distributed under the terms and conditions of the Creative Commons Attribution (CC BY) license (https://creativecommons.org/licenses/by/4.0/).
Share and Cite
Ni, W.; Liu, S.; Xu, M.; Han, B.; Fan, G. A High-Resolution Mirror Migration Framework for Ocean Bottom Cable Seismic Data. J. Mar. Sci. Eng. 2025, 13, 2254. https://doi.org/10.3390/jmse13122254
Ni W, Liu S, Xu M, Han B, Fan G. A High-Resolution Mirror Migration Framework for Ocean Bottom Cable Seismic Data. Journal of Marine Science and Engineering. 2025; 13(12):2254. https://doi.org/10.3390/jmse13122254
Chicago/Turabian StyleNi, Wenjun, Shaoyong Liu, Mingyuan Xu, Bingkai Han, and Guodong Fan. 2025. "A High-Resolution Mirror Migration Framework for Ocean Bottom Cable Seismic Data" Journal of Marine Science and Engineering 13, no. 12: 2254. https://doi.org/10.3390/jmse13122254
APA StyleNi, W., Liu, S., Xu, M., Han, B., & Fan, G. (2025). A High-Resolution Mirror Migration Framework for Ocean Bottom Cable Seismic Data. Journal of Marine Science and Engineering, 13(12), 2254. https://doi.org/10.3390/jmse13122254

