Wave Scattering by Inverse T-Type Compound Breakwater with Ocean Currents: An Analytical and Numerical Study
Abstract
1. Introduction
2. Mathematical Formulation
2.1. Problem Setup Using the EEM
2.2. Problem Setup Using the BEM
2.3. Governing Equation and Boundary Conditions
3. Solution Strategy
3.1. Analytical Solution via EEM
3.2. Computational Approach Using the BEM
- For region 1:
- For region 2:
- For region 3:
- For region 1:
- For region 2:
- For region 3:
- For region 1:
- For region 2:
- For region 3:
4. Results and Discussion
4.1. Validation
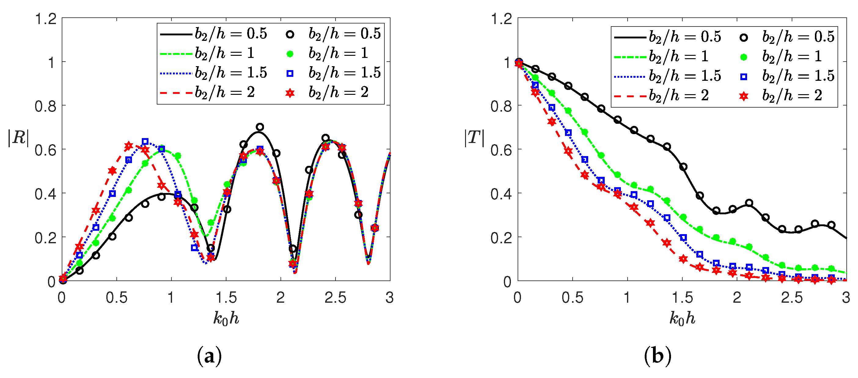
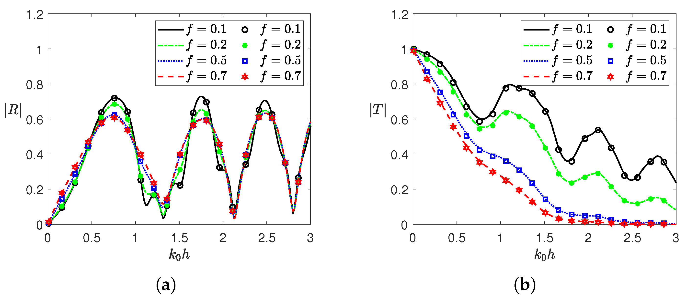
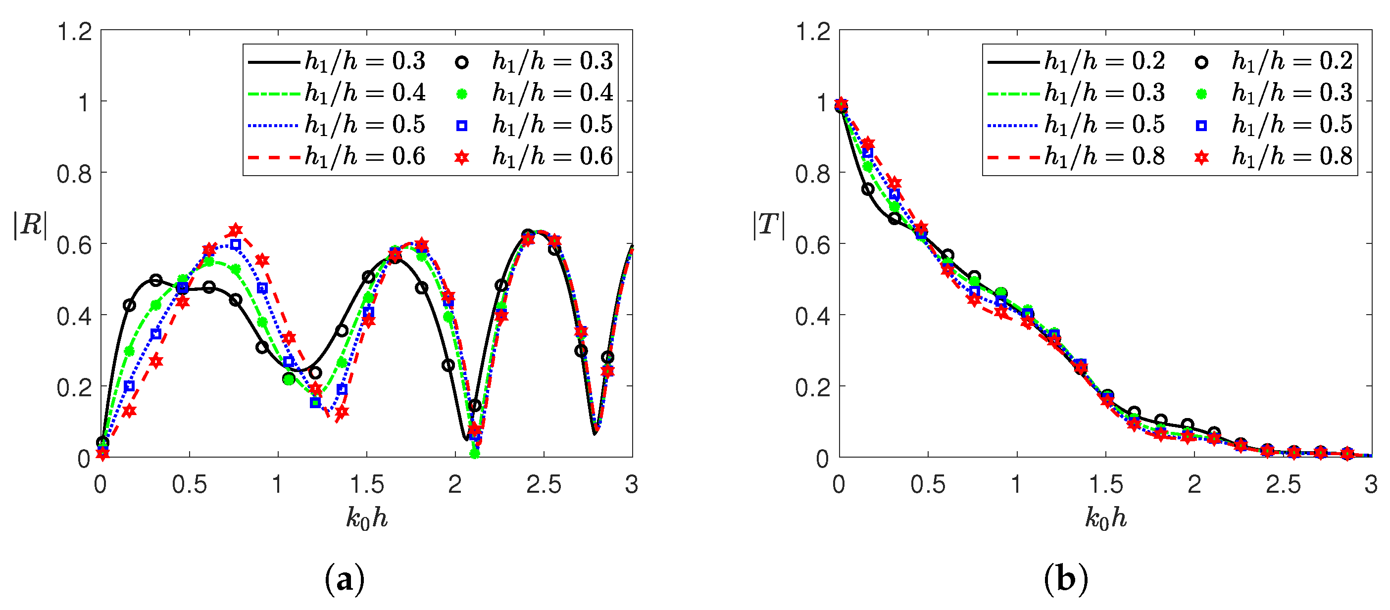
4.2. Reflection and Transmission Coefficients
4.3. Time-Domain Simulations of the Fluid Flow
5. Conclusions
- It is observed that the presence of an ocean current in wave propagation significantly enhances water dissipation through the compound inverse T-shaped structure, leading to less wave transmission. Moreover, it can be concluded that selecting an optimal porosity for the structure ensures minimal wave load, as water waves are efficiently dissipated through the compound structure when subjected to a following current in wave propagation.
- In general, as the current velocity ( increases, the amplitude of the reflection curve rises, accompanied by a more noticeable decrease in wave transmission. Furthermore, an increase in the height of the perforated section of the structure results in a higher amplitude of the reflection curve in the long-wave region, while the transmission coefficient exhibits an opposite trend in the same region. Additionally, a higher value of the friction parameter consistently contributes to a reduction in the transmission coefficient across all wave conditions.
- A higher value of the porosity parameter leads to a marked decrease in amplitude of the reflection coefficient as a function of , while simultaneously resulting in a significant increase in the transmission coefficient with respect to these parameters.
- The time-domain simulations of the free surface indicate that, over time, the surface elevation decreases more significantly when an ocean current is present compared to the scenario without a current across all regions.
Author Contributions
Funding
Data Availability Statement
Conflicts of Interest
Nomenclature
| h | Water depth |
| Height of the porous structure | |
| U | Velocity of the ocean current |
| Left gap | |
| Width of the porous structure | |
| Right gap | |
| Total velocity potential | |
| Steady current potential | |
| Unsteady wave potential | |
| Real part | |
| Spatial velocity potential | |
| g | Acceleration due to gravity |
| s | Inertial coefficient |
| f | Friction coefficient |
| Porous parameter | |
| Progressive wavenumber | |
| A | Incident wave amplitude |
| Angular frequency | |
| Green’s function | |
| Normal derivative of Green’s function | |
| R | Reflection coefficient |
| T | Transmission coefficient |
| Scaling parameter | |
| Elevation |
References
- Cess, R.D.; Goldenberg, S.D. The effect of ocean heat capacity upon global warming due to increasing atmospheric carbon dioxide. J. Geophys. Res. Ocean. 1981, 86, 498–502. [Google Scholar] [CrossRef]
- Tebaldi, C.; Ranasinghe, R.; Vousdoukas, M.; Rasmussen, D.; Vega-Westhoff, B.; Kirezci, E.; Kopp, R.E.; Sriver, R.; Mentaschi, L. Extreme sea levels at different global warming levels. Nat. Clim. Chang. 2021, 11, 746–751. [Google Scholar] [CrossRef]
- Neumann, B.; Vafeidis, A.T.; Zimmermann, J.; Nicholls, R.J. Future coastal population growth and exposure to sea-level rise and coastal flooding-a global assessment. PLoS ONE 2015, 10, e0118571. [Google Scholar] [CrossRef] [PubMed]
- Jeffreys, H. Note on the Offshore Bar Problem and Reflection from a Bar; Wave Report No. 3; Great Britain Ministry of Supply: London, UK, 1944. [Google Scholar]
- Johnson, J.W.; Fuchs, R.A.; Morison, J. The damping action of submerged breakwaters. Eos, Trans. Am. Geophys. Union 1951, 32, 704–718. [Google Scholar]
- Abul-Azm, A. Diffraction through wide submerged breakwaters under oblique waves. Ocean Eng. 1994, 21, 683–706. [Google Scholar] [CrossRef]
- Zheng, Y.; Liu, P.; Shen, Y.; Wu, B.; Sheng, S. On the radiation and diffraction of linear water waves by an infinitely long rectangular structure submerged in oblique seas. Ocean Eng. 2007, 34, 436–450. [Google Scholar] [CrossRef]
- Behera, H.; Sahoo, T. Gravity wave interaction with porous structures in two-layer fluid. J. Eng. Math. 2014, 87, 73–97. [Google Scholar] [CrossRef]
- Magdalena, I.; Atras, M.F.; Sembiring, L.; Nugroho, M.; Labay, R.S.B.; Roque, M.P. Wave transmission by rectangular submerged breakwaters. Computation 2020, 8, 56. [Google Scholar] [CrossRef]
- Black, J.L.; Mei, C.C.; Bray, M.C.G. Radiation and scattering of water waves by rigid bodies. J. Fluid Mech. 1971, 46, 151–164. [Google Scholar] [CrossRef]
- Zheng, Y.; You, Y.; Shen, Y. On the radiation and diffraction of water waves by a rectangular buoy. Ocean Eng. 2004, 31, 1063–1082. [Google Scholar] [CrossRef]
- Masoudi, E.; Gan, L. Diffraction waves on general two-legged rectangular floating breakwaters. Ocean Eng. 2021, 235, 109420. [Google Scholar] [CrossRef]
- Li, Z.; Teng, B.; Gou, Y. Two-dimensional diffraction and radiation problems of a floating body in varying bathymetry. Appl. Ocean Res. 2024, 150, 104103. [Google Scholar] [CrossRef]
- Sollitt, C.K.; Cross, R.H. Wave transmission through permeable breakwaters. Coast. Eng. 1972, 1827–1846. [Google Scholar] [CrossRef]
- Chwang, A.T. A porous-wavemaker theory. J. Fluid Mech. 1983, 132, 395–406. [Google Scholar] [CrossRef]
- Dalrymple, R.A.; Losada, M.A.; Martin, P. Reflection and transmission from porous structures under oblique wave attack. J. Fluid Mech. 1991, 224, 625–644. [Google Scholar] [CrossRef]
- Karmakar, D.; Soares, C.G. Wave transformation due to multiple bottom-standing porous barriers. Ocean Eng. 2014, 80, 50–63. [Google Scholar] [CrossRef]
- Li, A.j.; Liu, Y.; Fang, H.; Liu, X. Wave scattering by a periodic array of porous breakwaters. Appl. Ocean Res. 2022, 127, 103328. [Google Scholar] [CrossRef]
- Williams, A.; Li, W.; Wang, K.H. Water wave interaction with a floating porous cylinder. Ocean Eng. 2000, 27, 1–28. [Google Scholar] [CrossRef]
- Zhao, F.; Bao, W.; Kinoshita, T.; Itakura, H. Theoretical and experimental study on a porous cylinder floating in waves. J. Offshore Mech. Arct. Eng. 2011, 133, 011301. [Google Scholar] [CrossRef]
- Sahoo, H.; Gayathri, R.; Khan, M.B.; Behera, H. Hybrid boundary element and eigenfunction expansion method for wave trapping by a floating porous box near a rigid wall. Ships Offshore Struct. 2023, 18, 1148–1158. [Google Scholar] [CrossRef]
- Hu, K.Z.; Xu, T.J.; Wang, S. Hydrodynamic investigation of a new type of floating breakwaters integrated with porous baffles. Appl. Ocean Res. 2025, 154, 104380. [Google Scholar] [CrossRef]
- Trimulyono, A.; Setiawan, D.A.; Samuel, S.; Adietya, B.A.; Santosa, A.W.B.; Tuswan, T. The Influence of mangrove arrangement on wave transmission using smoothed particle hydrodynamics. In Proceedings of the 5th Sustainability and Resilience of Coastal Management (SRCM 2024), Surabaya, India, 21 October–21 November 2025; Volume 157, p. 02002. [Google Scholar]
- Neelamani, S.; Rajendran, R. Wave interaction with T-type breakwaters. Ocean Eng. 2002, 29, 151–175. [Google Scholar] [CrossRef]
- Wang, G.; Huang, L.; Ren, B.; Wang, Y. Theoretical analysis of the performance of wave dissipation of T-type open breakwater. Adv. Sci. Technol. Water Resour. 2014, 34, 1–5. [Google Scholar]
- Deng, Z.; Wang, L.; Zhao, X.; Huang, Z. Hydrodynamic performance of a T-shaped floating breakwater. Appl. Ocean Res. 2019, 82, 325–336. [Google Scholar] [CrossRef]
- Hu, C.; Kashiwagi, M. Two-dimensional numerical simulation and experiment on strongly nonlinear wave–body interactions. J. Mar. Sci. Technol. 2009, 14, 200–213. [Google Scholar] [CrossRef]
- Zhao, X.; Ye, Z.; Fu, Y.; Cao, F. A CIP-based numerical simulation of freak wave impact on a floating body. Ocean Eng. 2014, 87, 50–63. [Google Scholar] [CrossRef]
- Masoudi, E. Hydrodynamic characteristics of inverse T-type floating breakwaters. Int. J. Marit. Technol. 2019, 11, 13–20. [Google Scholar] [CrossRef]
- Sharma, P.; Sarkar, B.; De, S. Oblique wave scattering by single and double inverse T-type breakwaters. Ocean Eng. 2024, 303, 117804. [Google Scholar] [CrossRef]
- Taylor, G.I. The action of a surface current used as a breakwater. Proc. R. Soc. London. Ser. A. Math. Phys. Sci. 1955, 231, 466–478. [Google Scholar] [CrossRef]
- Peregrine, D.H. Interaction of water waves and currents. Adv. Appl. Mech. 1976, 16, 9–117. [Google Scholar]
- Jonsson, I.G.; Wang, J.D. Current-depth refraction of water waves. Ocean Eng. 1980, 7, 153–171. [Google Scholar] [CrossRef]
- Mohanty, S.; Bhattacharjee, J.; Sahoo, T. Time-dependent capillary-gravity waves in the presence of current. Acta Mech. 2015, 226, 311–330. [Google Scholar] [CrossRef]
- Mohanty, S.K.; Sidharth, M. Time dependent wave motion in a permeable bed. Meccanica 2020, 55, 1481–1497. [Google Scholar] [CrossRef]
- Saha, S.; Mohanty, S.K.; Bora, S.N. Flexural gravity wave resonance in the presence of current. J. Waterw. Port Coastal Ocean Eng. 2022, 148, 04022003. [Google Scholar] [CrossRef]
- Kushwaha, A.; Gokulakrishnan, T.; Behera, H. Impact of wave–current interaction on wave scattering by single and dual surface-piercing docks. Eng. Anal. Bound. Elem. 2025, 179, 106334. [Google Scholar] [CrossRef]
- Dora, R.R.; Trivedi, K.; Mohanty, S.K.; Koley, S. Oblique wave scattering by porous structures in the presence of current. Eng. Anal. Bound. Elem. 2024, 167, 105885. [Google Scholar] [CrossRef]
- Dora, R.R.; Mondal, R.; Mohanty, S.K. Wave trapping by porous breakwater near a wall under the influence of ocean current. Ocean Eng. 2024, 303, 117820. [Google Scholar] [CrossRef]
- Swami, K.C.; Koley, S. Scattering of water waves by thick porous breakwater placed over sloped rigid seabed in the presence of ocean current. Eur. Phys. J. Spec. Top. 2025, 234, 2345–2359. [Google Scholar] [CrossRef]
- Meylan, M.H.; Sturova, I.V. Time-dependent motion of a two-dimensional floating elastic plate. J. Fluids Struct. 2009, 25, 445–460. [Google Scholar] [CrossRef]
- Das, S.; Sahoo, T.; Meylan, M. Dynamics of flexural gravity waves: From sea ice to Hawking radiation and analogue gravity. Proc. R. Soc. A 2018, 474, 20170223. [Google Scholar] [CrossRef]
- Das, S.; Kar, P.; Sahoo, T.; Meylan, M.H. Flexural-gravity wave motion in the presence of shear current: Wave blocking and negative energy waves. Phys. Fluids 2018, 30, 106606. [Google Scholar] [CrossRef]
- Meylan, M.H. The time-dependent vibration of forced floating elastic plates by eigenfunction matching in two and three dimensions. Wave Motion 2019, 88, 21–33. [Google Scholar] [CrossRef]
- Bora, S.N.; Das, S.; Meylan, M.H.; Saha, S.; Zheng, S. Time-dependent water wave scattering by a marine structure consisting of an array of compound porous cylinders. Phys. Fluids 2023, 35, 077103. [Google Scholar] [CrossRef]
- Kushwaha, A.K.; Behera, H.; Gupta, V.K. A temporal study of wave scattering by multiple circular cylinders over a porous bed. Phys. Fluids 2025, 37, 037117. [Google Scholar] [CrossRef]
- Alex, D.; Ashok, R.; Balasubramani, N.; Behera, H. Time-domain analysis of oblique wave scattering by a forced floating elastic plate over porous bed. Phys. Fluids 2025, 37, 027156. [Google Scholar] [CrossRef]
- Johnson, H.K.; Karambas, T.V.; Avgeris, I.; Zanuttigh, B.; Gonzalez-Marco, D.; Caceres, I. Modelling of waves and currents around submerged breakwaters. Coast. Eng. 2005, 52, 949–969. [Google Scholar] [CrossRef]
- Chen, L.F.; Ning, D.Z.; Teng, B.; Zhao, M. Numerical and experimental investigation of nonlinear wave-current propagation over a submerged breakwater. J. Eng. Mech. 2017, 143, 04017061. [Google Scholar] [CrossRef]
- Yin, Z.; Wang, Y.; Jia, Q. Hydrodynamic characteristics of a pneumatic breakwater with combined wave–current actions: A numerical investigation. J. Coast. Res. 2020, 36, 196–203. [Google Scholar] [CrossRef]
- Swami, K.C.; Koley, S. Wave trapping by porous breakwater near a rigid wall under the influence of ocean current. Sci. Rep. 2024, 14, 17325. [Google Scholar] [CrossRef]
- Ryu, S.; Kim, M.; Lynett, P.J. Fully nonlinear wave-current interactions and kinematics by a BEM-based numerical wave tank. Comput. Mech. 2003, 32, 336–346. [Google Scholar] [CrossRef]
- Akarni, H.; El Aarabi, L.; Mouakkir, L.; Mordane, S. Numerical modeling of the wave-plate-current interaction by the boundary element method. Fluids 2021, 6, 435. [Google Scholar] [CrossRef]
- Akarni, H.; Mabchour, H.; Aarabi, L.; Mordane, S. Wave reflection by rectangular breakwaters for coastal protection. Fluid Dyn. Mater. Process. 2024, 20, 579. [Google Scholar] [CrossRef]
- Swami, K.C.; Koley, S.; Panduranga, K. Mathematical modeling of water waves interaction with trapezoidal-shaped breakwater in the presence of current. In Waves in Random and Complex Media; Taylor & Francis: Abingdon, UK, 2024; pp. 1–27. [Google Scholar]
- Cho, I.; Kim, M. Wave absorbing system using inclined perforated plates. J. Fluid Mech. 2008, 608, 1–20. [Google Scholar] [CrossRef]
- Panduranga, K.; Koley, S.; Meylan, M.H. A hybrid boundary element method based model for wave interaction with submerged viscoelastic plates with an arbitrary bottom profile in frequency and time domain. Phys. Fluids 2023, 35, 047114. [Google Scholar] [CrossRef]










Disclaimer/Publisher’s Note: The statements, opinions and data contained in all publications are solely those of the individual author(s) and contributor(s) and not of MDPI and/or the editor(s). MDPI and/or the editor(s) disclaim responsibility for any injury to people or property resulting from any ideas, methods, instructions or products referred to in the content. |
© 2025 by the authors. Licensee MDPI, Basel, Switzerland. This article is an open access article distributed under the terms and conditions of the Creative Commons Attribution (CC BY) license.
Share and Cite
Kushwaha, A.K.; Behera, H.; Gupta, V.K. Wave Scattering by Inverse T-Type Compound Breakwater with Ocean Currents: An Analytical and Numerical Study. Mathematics 2026, 14, 22. https://doi.org/10.3390/math14010022
Kushwaha AK, Behera H, Gupta VK. Wave Scattering by Inverse T-Type Compound Breakwater with Ocean Currents: An Analytical and Numerical Study. Mathematics. 2026; 14(1):22. https://doi.org/10.3390/math14010022
Chicago/Turabian StyleKushwaha, Aman Kumar, Harekrushna Behera, and Vinay Kumar Gupta. 2026. "Wave Scattering by Inverse T-Type Compound Breakwater with Ocean Currents: An Analytical and Numerical Study" Mathematics 14, no. 1: 22. https://doi.org/10.3390/math14010022
APA StyleKushwaha, A. K., Behera, H., & Gupta, V. K. (2026). Wave Scattering by Inverse T-Type Compound Breakwater with Ocean Currents: An Analytical and Numerical Study. Mathematics, 14(1), 22. https://doi.org/10.3390/math14010022

