Abstract
This study investigates the relationship between apparent electrical resistivity (ER) and key material parameters governing moisture and pore-structure characteristics of concrete. An experimental program was conducted using six concrete mix designs, where ER was continuously measured under controlled wetting and drying cycles to characterize its dependence on the degree of saturation (DS). Results confirmed that ER decreases exponentially with increasing DS across all mixtures, with R2 values between 0.896 and 0.997, establishing DS as the dominant factor affecting electrical conduction. To incorporate additional pore-structure parameters, eight input combinations consisting of DS, porosity (P), water–cement ratio (WCR), and compressive strength (f′c) were evaluated using five machine learning models. Gaussian Process Regression and Neural Networks achieved the highest accuracy, particularly when all parameters were included. SHAP analysis revealed that DS accounts for the majority of predictive influence, while porosity and WCR provide secondary but meaningful contributions to ER behavior. Guided by these insights, nonlinear multivariate regression models were formulated, with the exponential model yielding the strongest predictive capability (R2 = 0.96). The integrated experimental–computational approach demonstrates that ER is governed by moisture dynamics and pore-structure refinement, offering a physically interpretable and statistically robust framework for nondestructive durability assessment of concrete.
1. Introduction
Concrete’s composite nature plays a crucial role in its long-term durability and performance under different environmental exposures [1,2,3,4]. The interaction among its constituents—cement paste, aggregates, water, and chemical admixtures—enables engineers to tailor the material for improved strength, durability, and service life [5,6,7]. For structures exposed to aggressive environments, such as coastal regions, mix design parameters, including water-to-binder ratio and binder composition, are carefully optimized to enhance impermeability and corrosion resistance, ensuring that reinforced concrete meets durability demands in chloride-rich conditions [8,9,10].
Moisture within the pore network significantly affects both the mechanical behavior and durability performance of concrete [11,12,13,14,15]. Higher pore water content can create conditions that make concrete more vulnerable to deterioration, as the pore solution acts as the electrolyte that supports ionic migration—a fundamental component of the electrochemical corrosion process [16,17]. Thus, the degree of saturation is a critical factor when assessing the corrosion susceptibility of reinforced concrete before active corrosion begins. Moreover, deterioration often manifests as internal cracking due to the expansive nature of corrosion products [18,19]. While minor cracking does not necessarily compromise global structural capacity, it can substantially increase permeability, enabling greater ingress of water and harmful substances such as chlorides [20,21,22]. This accelerates steel corrosion and interacts synergistically with other degradation mechanisms, including carbonation and freeze–thaw cycles [23,24].
Tests commonly interpret regions with higher degrees of saturation as zones of increased corrosion risk, particularly once corrosion progresses and rust formation expands within the concrete [25,26,27]. Saturation also strongly influences the response of nondestructive evaluation (NDE) techniques that rely on electrical properties—such as ground-penetrating radar permittivity [28], half-cell potential [29], and electrochemical current density. Consequently, understanding the moisture state is essential for improving the interpretation of NDE data and achieving reliable condition assessment of reinforced concrete exposed to corrosive environments [30,31,32,33].
Among the available NDE techniques, electrical resistivity (ER) is widely used for evaluating concrete durability due to its simplicity, rapid data acquisition, and cost-effectiveness during field inspections [34,35,36,37]. Many agencies incorporate ER measurements into construction quality control and maintenance protocols [38,39]. Previous studies have demonstrated strong correlations between ER and corrosion rate [40,41,42,43,44], as well as chloride diffusivity [45,46,47,48,49]. Fundamentally, ER reflects the combined effects of moisture content and the microstructural characteristics of concrete, making it a valuable indicator of strength and durability [37]. It also represents the ability of the cementitious matrix to resist the flow of ions when subjected to an externally applied electrical current [50,51].
Electrical resistivity ( is fundamentally defined as the ratio of the measured electrical potential difference to the applied current, multiplied by an appropriate geometric constant [52]. In the Wenner probe setup, four equally spaced electrodes are arranged linearly, as shown in Figure 1. An alternating current (AC) is applied through the two outer electrodes, while the resulting voltage is captured by the two inner electrodes [53]. The Wenner configuration assumes that the current flows through a semi-infinite, homogeneous, and isotropic medium, an idealization commonly adopted in concrete resistivity measurements [54,55].
Figure 1.
Wenner probe configuration, with ‘s’ as the distance between the electrodes.
Based on these assumptions, the apparent resistivity ( is calculated using Equation (1) where π is the mathematical constant (3.1416), s is the electrode spacing of the Wenner probe (mm), V is the measured electrical potential difference (V), and I is the applied current (A). The value displayed by commercial Wenner devices represents this apparent resistivity and does not explicitly account for the specimen’s thickness or surface area [56]. To obtain the true resistivity (), ( must be corrected using a geometric correction factor, K, as expressed in Equation (2). This factor varies depending on the specimen’s dimensions, surface characteristics, and the specific probe configuration employed [57].
Accurate interpretation of electrical resistivity (ER) measurements in both laboratory and field settings requires careful consideration of several influencing factors. ER is highly sensitive to material and environmental conditions, and improper handling can lead to misleading assessments. Numerous concrete properties affect ER, including water/cement ratio [58,59], age of concrete [60,61], moisture content and degree of saturation [62], specimen geometry [63,64], temperature [65,66], electrode spacing [67], occurrence of cracks and delamination defects [68,69,70], and presence of re-bars [50,69,71]. Also, the concrete’s microstructure properties, such as the volume and pore size has a direct effect on resistivity measurements [72].
To be specific, a number of studies have observed that the degree of saturation can affect the ER measurements. The increase in water content in concrete significantly decreases ER values [68,73,74,75,76]. Moreover, published papers discussed that for cementitious-based materials, an increase in the degree of water saturation results in a decrease in electrical resistivity [77,78,79,80,81]. To be specific, for concrete specimens, AASHTO TP95-11 indicated that the degree of water saturation has a significant effect on measuring the electrical resistivity of concrete specimens [62]. According to Layssi et al. [72], concrete, being a porous material, which can be related to the water content and degree of pore saturation, may exhibit various conductive and insulating characteristics. For example, electrical resistivity is very high at dry conditions, and the same concrete will be very low in a fully saturated condition [72]. However, to the authors’ knowledge, there is very little (if any) experimental data published regarding the relationship between ER and the degree of water saturation.
Recent studies have increasingly examined the use of regression analysis and machine learning techniques to predict the mechanical properties and performance characteristics of concrete [82,83,84,85]. Regression analysis remains a widely used statistical tool due to its simplicity and computational efficiency, and numerous works have adopted it to estimate compressive strength and related material properties [86,87,88,89]. More advanced data-driven approaches—such as artificial neural networks (ANNs), Gaussian process regression (GPR), and support vector machines (SVMs)—have gained prominence for their ability to model nonlinear and complex relationships directly from experimental data [90,91,92]. ANN models, for example, have been used to predict a variety of concrete mechanical properties [93,94,95] and to enhance the accuracy of testing equipment [96,97]. GPR has likewise shown strong capability in estimating different concrete properties with high precision [98,99,100].
However, to the best of the authors’ knowledge, no existing study has directly correlated the degree of saturation of concrete specimens with nondestructive evaluation parameters such as electrical resistivity. Furthermore, although pore-related characteristics—such as porosity, water–cement ratio, and compressive strength—are known to strongly influence moisture transport and ionic conduction [101,102,103], no published work has simultaneously incorporated these parameters alongside degree of saturation within a unified predictive or analytical framework. This research gap highlights the need for a comprehensive approach that integrates both moisture-state variables and pore-structure characteristics to improve the interpretation of ER measurements and advance durability assessment methodologies for reinforced concrete.
The main objective of this study is to establish a comprehensive and interpretable prediction framework that explains how the degree of saturation and key pore-structure parameters influence the electrical resistivity of concrete. By integrating experimental measurements, machine learning modeling, explainable AI techniques, and nonlinear regression analysis, the study aims to develop reliable predictive tools that support durability assessment and nondestructive evaluation of concrete.
To achieve this objective, the research began with an extensive experimental program designed to characterize the relationship between electrical resistivity and degree of saturation across six concrete mix designs. The laboratory testing provided continuous measurements during controlled wetting and drying cycles, ensuring a dataset that captured both moisture-state effects and material variability. This experimentally generated dataset was then used to develop several machine learning models, where different combinations of degree of saturation, porosity, water–cement ratio, and compressive strength were evaluated to determine their predictive capability. Following the model development stage, SHapley Additive exPlanations (SHAP) analysis, an interpretability method based on cooperative game theory, was used to quantify the contribution of each input parameter, allowing the identification of dominant predictors and the understanding of nonlinear interactions that shape electrical resistivity behavior. Insights from the SHAP interpretation guided the final stage of the study, in which multivariate nonlinear regression models were formulated and compared to determine the most physically consistent and statistically robust equation for predicting resistivity. Together, these tasks form an integrated workflow that links experimental evidence, machine learning prediction, explainable interpretation, and regression modeling to advance the understanding and practical use of electrical resistivity in concrete durability assessment.
2. Experimental Investigation
2.1. Design and Fabrication of Concrete Specimens
A total of eighteen plain concrete cylinders, each with a height of 200 mm and a diameter of 100 mm, were prepared at Dong-A University in Busan, South Korea (see Figure 1). The specimens were grouped into six design mixes corresponding to nominal strengths of 21, 24, 27, 40, 50, and 70 MPa. The mixture proportions for each design mix are summarized in Table 1, including water content, cement dosage, sand, coarse aggregates, admixture dosage, and total density. After casting, all cylinders were cured under controlled air-dry conditions in the laboratory at a temperature of 20 ± 3 °C until testing.
Table 1.
Concrete mixture proportions for each mix design used in specimen fabrication.
2.2. Degree of Water Saturation of Concrete Specimens
This experiment aimed to evaluate electrical resistivity (ER) at different moisture levels. To ensure a fully controlled saturation process, all specimens were first oven-dried at 80 °C until a constant mass was reached, ensuring complete removal of internal moisture. After oven drying, the cylinders were allowed to cool for 24 h to return to room temperature before the start of saturation measurement.
From this dry baseline condition, the specimens were fully immersed in water for seven days to achieve complete saturation (Figure 2). The mass of each specimen was recorded prior to immersion and monitored together with ER measurements—every 20 min during the first hour, every 30 min for the next nine hours, and then every 24 h for the remainder of the seven-day period.
Figure 2.
Schematic Diagram of the Test configurations of the ER measurements of concrete cylinders.
Drying was performed in two stages. Initially, the specimens were air-dried at room temperature for seven days. This was followed by oven drying at 80 °C again to reach the oven-dry condition used as the reference mass. The degree of saturation (DS) at any time was calculated as the ratio of the current absorbed water to the maximum water content obtained at full saturation. Equation (3) expresses this relationship, where is the mass at a given time, is the oven-dry mass, and is the saturated-surface-dry mass:
2.3. ER Measurements of Concrete Cylinders
A commercially available four-point Wenner probe (Resipod, Proceq) with a fixed electrode spacing of 38 mm was used to measure the surface electrical resistivity (ER) of the concrete specimens, as illustrated in Figure 2. The instrument complies with AASHTO T358-15 [104], which specifies procedures for surface resistivity testing as an indicator of concrete’s resistance to chloride ion penetration. During measurement, the device applies a controlled electrical current—ranging from a minimum of 10 μA to a maximum of 200 μA depending on surface contact resistance—and reports the corresponding resistivity in kΩ·cm. This setup was used for all reinforced concrete cubes and plain concrete cylinders included in the study.
For the cylindrical specimens, ER measurements followed the AASHTO TP 95 protocol [65]. As shown in Figure 2, the Wenner probe was positioned parallel to the cylinder height and readings were taken at 90° intervals, completing two full circumferential rotations to capture directional variability. These measurements were performed throughout the saturation process to document changes in apparent resistivity as the degree of saturation increased.
3. Machine Learning and Predictive Modelling
The machine learning and data analysis component of this study was developed to complement the experimental investigation by establishing a predictive framework capable of capturing the nonlinear relationships governing electrical resistivity. Using the experimentally measured variables—degree of saturation, porosity, water–cement ratio, and compressive strength—the dataset was structured and processed to enable supervised regression modeling. As summarized in Figure 3, the workflow involved preparing the dataset, training multiple algorithms in MATLAB 2025b Regression Learner, evaluating model performance using cross-validated accuracy metrics, and performing SHAP analysis to interpret the relative influence of each parameter. Finally, multivariate nonlinear regression was conducted to derive physically meaningful equations that align with the experimentally observed resistivity behavior. This integrated approach provides both predictive capability and mechanistic insight into moisture- and microstructure-driven resistivity responses in concrete.
Figure 3.
Workflow diagram summarizing the machine-learning and data analysis procedures used in this study.
3.1. Machine Learning-Driven Regression Model
This section presents the development of machine learning regression models used to predict the apparent electrical resistivity (ER) of concrete. The workflow involved dataset preparation, construction of parameter combinations, model training, and performance evaluation to ensure the models generated accurate and reliable predictions.
Four experimentally measured variables were used as potential inputs for the machine learning models: degree of saturation (DS), porosity (P), water–cement ratio (WCR), and compressive strength (f′c). These variables were selected because they represent the primary physical and material characteristics known to influence electrical resistivity in concrete. All measurements used for model development were obtained from the laboratory procedures described in Section 2.
To systematically assess how different combinations of these parameters affect prediction accuracy, eight input-grouping schemes were established, as summarized in Table 2. These combinations range from using DS alone (c1) to expanding the input set to include all parameters (c8). This structured approach allows evaluation of whether incorporating material-related variables improves predictive accuracy beyond saturation alone.
Table 2.
Parameter combinations used for machine-learning model development.
Five machine-learning algorithms were trained using these parameter combinations: Decision Tree (DT), Support Vector Machine (SVM), Boosted Trees (BTs), Gaussian Process Regression (GPR), and Neural Networks (NNs). Each model was tuned and evaluated using standard performance metrics, including R2, RMSE, and MAE. Comparing the results across the eight parameter combinations allowed clear identification of which variables contributed to improved predictive accuracy, forming the basis for the model performance analysis presented in Section 4.2.
The five regression models were chosen to capture a broad set of learning strategies, covering linear, nonlinear, and ensemble-based techniques, as outlined in Table 3. These algorithms—commonly applied in previous studies on predicting concrete properties and assessing corrosion—provide an effective compromise between interpretability, model flexibility, and predictive capability [100,105]. Although other techniques, such as Random Forest, Elastic Net, K-Nearest Neighbors, or LightGBM, could also be utilized, the selected group was intended to reflect a representative mix of well-established machine learning approaches suitable for evaluating the proposed hybrid prediction framework [106,107].
The experimental dataset used for training and validating the models consisted of 18 specimens, with each record containing both non-destructive measurement results and corresponding degree of saturation values. Despite its moderate size, the dataset contains sufficient variability for supervised learning tasks, including exploratory regression, feature relevance analysis, and predictive modeling. While machine learning does not require a strict minimum dataset size, prior studies indicate that structured regression analyses can still yield dependable outcomes even with modest sample counts when traditional ML algorithms or shallow neural networks are employed [108,109]. Deep learning methods generally demand substantially larger datasets to avoid overfitting, which is why this study focused on conventional ML algorithms that better align with the scale and characteristics of the available data.
Table 3.
Summary of the machine learning (ML) algorithms utilized in this study.
Table 3.
Summary of the machine learning (ML) algorithms utilized in this study.
| Method | Principle | Advantages | Limitations | References |
|---|---|---|---|---|
| Support Vector Machine (SVM) |
|
|
| [110,111,112,113] |
| Gaussian Process Regression (GPR) |
|
|
| [114,115,116] |
| Artificial Neural Network (ANN) |
|
|
| [117,118,119,120,121] |
| Decision Tree (DT) |
|
|
| [122,123,124,125,126] |
| Bagged Trees (BTs) |
|
|
| [127,128] |
All models were initially implemented using their default hyperparameter configurations to establish a baseline level of performance. This provides a reference for future work, where dedicated hyperparameter tuning may be conducted to further enhance accuracy and generalizability. The default settings used for each algorithm are listed in Table 4.
Table 4.
Default hyperparameter settings in MATLAB Regression Learner.
To ensure reliable performance assessment, five-fold cross-validation was applied to all supervised learning models. In each fold, 80% of the data was randomly selected for training, while the remaining 20% served as the validation subset. This procedure was repeated five times with different data splits, and the resulting performance measures were averaged across folds to reduce bias and improve robustness. The mean cross-validation error served as the primary criterion for model comparison and selection. This procedure mitigates risks of overfitting and underfitting by evaluating each model on data not used during training within each fold, allowing the researchers to identify the algorithm with the most consistently reliable performance.
3.2. Feature Analysis
SHAP analysis was performed to evaluate how each input variable contributed to the predictions of the machine learning models. The computations were carried out in Google Colab using the SHAP library, which provides a model-agnostic approach for interpreting prediction outputs. SHAP, based on cooperative game theory, assigns importance values by estimating each feature’s marginal influence on the model’s prediction. This allows both point-wise interpretation and overall assessment of feature relevance. SHAP values were generated using the test portions of the five-fold cross-validation process, and the mean absolute contributions were normalized such that the total importance for each model summed to 100% [129,130]. This procedure enabled consistent comparison of variable influence across all models and parameter combinations, reflecting both linear and nonlinear relationships captured by the machine learning algorithms.
3.3. Multivariable Nonlinear Regression Analysis
A multivariable nonlinear regression analysis was carried out to develop mathematical models describing the relationship between apparent electrical resistivity and the key concrete parameters measured in this study. The analysis was performed using the nonlinear regression module in IBM SPSS Statistics Version 31.0.1.0, which is widely used for fitting complex nonlinear functions to experimental datasets [131]. Several combinations of input variables were tested to evaluate their influence on predicting ER and to determine how moisture-related and microstructural parameters interact within nonlinear formulations.
The SPSS nonlinear regression tool provided flexibility in defining model forms, assigning initial parameter estimates, and iteratively refining the equations until optimal convergence was achieved. This allowed identification of significant predictors and their combined effects, yielding regression equations and corresponding R2 values for each parameter set [132,133,134]. The resulting models were compared systematically to determine which combinations produced the best fit to the experimental ER data. This nonlinear regression procedure served as a benchmark for evaluating the performance of the machine learning models presented in later sections, offering insight into the fundamental relationships between degree of saturation, material properties, and electrical resistivity.
3.4. Performance Metrics
The performance of each machine learning model was evaluated using standard regression accuracy metrics, including the coefficient of determination (R2), root mean square error (RMSE), and mean absolute error (MAE). R2 measures how well the model predictions match the experimentally measured electrical resistivity (ER) values. It represents the proportion of the total variability in ER that can be explained by the input variables used in the model. A higher R2 value, approaching 1.0, indicates stronger predictive capability and better model alignment with the observed data [135,136]. The metric is computed according to Equation (4), where is the sum of squared prediction errors and is the total variance of the measured ER values.
In addition to R2, RMSE and MAE were used to evaluate the magnitude of prediction errors. RMSE quantifies the average size of the error by giving greater weight to larger deviations, making it useful for assessing whether a model produces large outliers in its predictions. MAE, on the other hand, measures the average absolute difference between predicted and observed ER values, providing a straightforward interpretation of typical prediction error. Lower RMSE and MAE values indicate more accurate and reliable model performance. Together, these three metrics allow a comprehensive comparison of the machine learning models, capturing both their overall explanatory power and the precision of their individual predictions.
4. Results and Discussion
4.1. Relationship Between Degree of Saturation and Apparent Electrical Resistivity
The relationship between the degree of saturation (DS) and the apparent electrical resistivity (ER) exhibits a consistent and physically intuitive trend across all concrete mixtures examined. As shown in Figure 4, ER decreases exponentially with increasing DS, regardless of the nominal design strength. At low saturation levels (DS < 0.3), ER values remain high and widely separated among mixtures, reflecting the strong influence of the pore structure during partially saturated conditions. As saturation progresses, the curves converge and ER approaches lower values, illustrating how the presence of interconnected water pathways dominates the conduction mechanism.
Figure 4.
Relationship between the degree of saturation (DS) and apparent electrical resistivity (ER) for concrete mixtures with different design strengths. Dash lines indicate the trend of the experimental data.
Despite the apparent separation of curves by design strength, the behavior is not governed by compressive strength alone. The tabulated regression equations for each mix (Table 5) confirm that the ER–DS relationship is best represented by an exponential decay function. All mixtures exhibit very high goodness-of-fit values, with R2 ranging from 0.896 to 0.997, indicating that DS alone captures the dominant mechanism driving electrical resistivity. The 21 MPa mixture, for instance, shows an almost perfect fit (R2 = 0.997), while the 50 MPa mixture similarly achieves an excellent R2 of 0.984. Even mixtures with greater variability in pore characteristics, such as the 40 MPa and 70 MPa concretes, still maintain high R2 values of 0.896 and 0.943, respectively. This consistency reinforces that saturation governs the electrical connectivity of the pore system more strongly than any other individual factor.
Table 5.
Regression equations describing the exponential relationship between apparent electrical resistivity (ER) and degree of saturation (DS) for each concrete mix.
However, the separation between the exponential curves corresponding to different design strengths reveals that other material parameters subtly shift the ER response for a given DS. Although DS is measured independently of mechanical properties, it is inherently tied to porosity, which defines the total volume available for water storage [137]. Concrete strength, in turn, is closely linked to water–cement ratio (WCR), a parameter that also influences porosity and pore connectivity [138]. Therefore, mixtures with higher compressive strength generally present lower WCR and denser microstructures, consistent with the higher initial ER values observed at low DS. Conversely, concretes with higher porosity or higher WCR display lower resistivity at comparable saturation levels due to increased ionic mobility within larger or more connected pores [139,140].
These interdependencies demonstrate that while DS directly governs the fraction of conductive pathways filled with water, the characteristics of the pore system—largely shaped by porosity, WCR, and mix strength—modify the magnitude of ER along the exponential decay curve. This explains why mixtures with nominal strengths from 21 MPa to 70 MPa follow the same exponential form but differ in the constants A and B. In this study, the ER–DS relationship for each mixture is described using the general exponential expression , where A represents the apparent resistivity under near-dry conditions and B governs the rate at which resistivity decreases as saturation increases. Higher values of A in stronger concretes (e.g., 803.24 for 70 MPa and 721.82 for 50 MPa) reflect their inherently higher resistivity under dry conditions, while wider B values indicate faster resistivity decay as saturation increases. These variations in A and B arise from differences in pore structure, water–cement ratio, and overall microstructural refinement among the mixtures. Ultimately, this behavior confirms that the electrical resistivity of concrete is primarily governed by the combined effects of saturation dynamics and pore structure, rather than compressive strength alone. DS sets the functional shape of the ER response, while microstructural parameters such as porosity and WCR—factors that also influence strength—determine the absolute magnitude of resistivity. The high R2 values across all mixtures affirm the reliability of DS as a major predictor of ER, yet the systematic curve separation highlights the need to incorporate additional parameters when developing generalized predictive or machine-learning models, as explored in subsequent sections.
4.2. Machine Learning of DS and Apparent ER Including Other Input Parameters
Following the strong inverse relationship established between the degree of saturation and apparent electrical resistivity in Section 3.1, it became evident that ER behavior cannot be attributed to moisture alone. Parameters such as porosity, water–cement ratio, and compressive strength also influence ionic transport and pore solution continuity within concrete, and must therefore be incorporated into predictive models. To examine the combined effects of these variables, eight parameter combinations (c1–c8) were evaluated using five machine learning algorithms: Support Vector Machine (SVM), Decision Tree (DT), Ensemble (BT), Gaussian Process Regression (GPR), and Neural Network (NN). The complete performance metrics (Table 6, Table 7 and Table 8) summarize how accuracy evolves as additional material-related parameters are introduced.
Table 6.
Root Mean Square Error (RMSE) of the five machine learning models using parameter combinations c1–c8.
Table 7.
Coefficient of determination (R2) for each machine learning model across parameter combinations c1–c8.
Table 8.
Mean Absolute Error (MAE) values for the machine learning models using parameter combinations c1–c8.
Across all combinations, the GPR and NN consistently outperformed the other models, with the lowest RMSE and MAE values and the highest R2 scores. In the baseline case using only degree of saturation (c1), the GPR already achieved relatively high accuracy (RMSE = 15.08 kΩ·cm, R2 = 0.91), reinforcing that moisture is the dominant variable affecting resistivity. However, when compressive strength was included (c2), predictive accuracy improved markedly across all models, particularly for GPR and NN, where RMSE dropped to 9.63 and 11.43 kΩ·cm, respectively. This improvement is consistent with the fact that compressive strength indirectly reflects mixture proportioning and pore refinement, influencing the pathways available for ionic movement [141,142].
The addition of water–cement ratio (c3) also enhanced predictive performance, again demonstrating that microstructure-related parameters shape ER behavior. Although c2 and c3 showed similar levels of improvement, combining them (c4) resulted in a slight performance decline for some models, suggesting interaction effects that are better captured when porosity is included. Indeed, when porosity served as a secondary input (c5–c8), model accuracy improved consistently. The effect became most pronounced in combinations c7 and c8, both of which include degree of saturation, porosity, and WCR, with c8 also incorporating compressive strength. Here, GPR yielded exceptional performance, with RMSE values as low as 7.62 kΩ·cm and R2 up to 0.98. Neural Networks showed similarly high predictive strength (R2 = 0.96 for c7), indicating that datasets incorporating all four parameters best capture the complexity of ER behavior.
While the numerical improvements from c7 to c8 appear modest, the inclusion of compressive strength in c8 remains important. Concrete mixtures with identical porosity and WCR can still differ significantly in microcracking tendency, cement chemistry, and capillary pore refinement—differences that influence electrical pathways. This subtle influence becomes detectable in non-linear machine learning models, particularly GPR and NN, which showed the tightest clustering in the predicted-versus-actual ER plots.
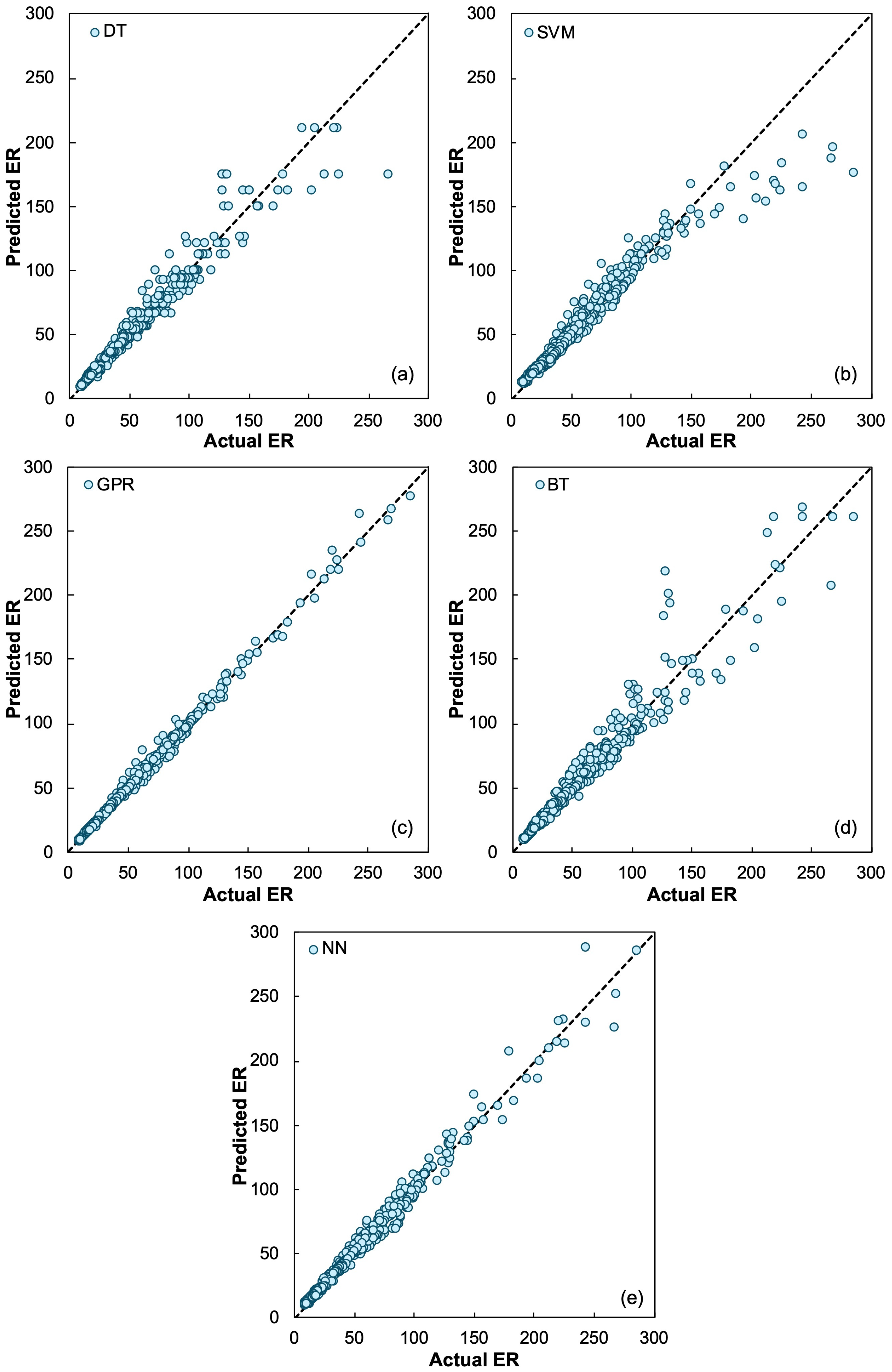
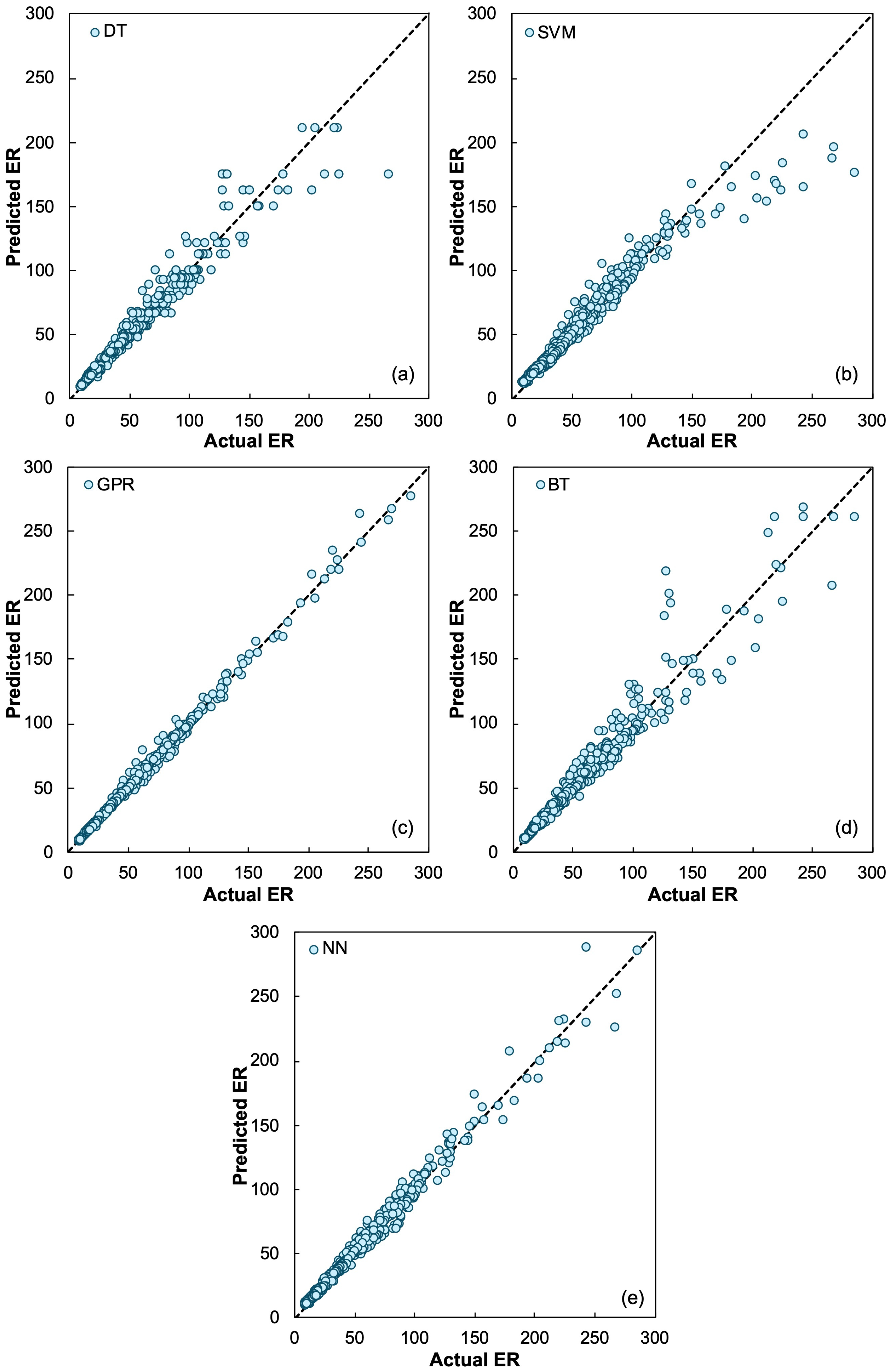
The predicted–actual plots (Figure 5) further illustrate these model differences. The Decision Tree model produced a visibly scattered trend, especially at higher ER values, confirming its tendency to oversimplify complex interactions. The Ensemble model demonstrated improved clustering, reflecting reduced variance from tree aggregation. In contrast, the Neural Network displayed strong alignment with the 1:1 line, capturing both the non-linear decrease in ER at low saturation levels and the more gradual changes near full saturation. The GPR model produced similar alignment and was numerically the strongest performer across all parameter groupings.
Figure 5.
Predicted versus actual apparent electrical resistivity (ER) for the (a) Decision Tree (DT), (b) Support Vector Machine, (c) Gaussian Process Regression, (d) Ensemble (BT), and (e) Neural Network (NN) models.
Overall, the machine learning results confirm that the degree of saturation is the primary driver of electrical resistivity, but its interaction with porosity, WCR, and compressive strength significantly enhances predictive fidelity. Models incorporating all parameters (c8) provide the most balanced representation of concrete’s physical and microstructural behavior, making them valuable tools for forecasting ER-based durability indicators in reinforced concrete.
4.3. Feature Contributions and Parameter Interactions Governing Apparent Electrical Resistivity
The improvements in predictive accuracy observed in Section 3.2 indicate that apparent electrical resistivity cannot be explained by degree of saturation (DS) alone and that microstructural parameters meaningfully influence the response. To understand how each parameter contributes to the predictions, SHAP analysis was performed across all machine learning models. The SHAP summary plots (Figure 6) show that DS consistently dominates model behavior, exhibiting the widest spread of SHAP values and the strongest positive-to-negative gradient. Low DS values push resistivity predictions upward, while high DS values lower them, confirming the exponential decay behavior observed experimentally. This dominance reflects the physical mechanism: moisture saturation controls the continuity of ionic pathways and therefore governs the fundamental shape of the ER response.
Figure 6.
SHAP summary plots showing the distribution of feature contributions for the (a) Decision Tree (DT), (b) Support Vector Machine (SVM), (c) Gaussian Process Regression (GPR), (d) Boosted Trees (BTs), (e) Neural Network (NN), and (f) combined-model evaluation.
Beyond moisture, the SHAP distributions reveal that porosity is the second-most influential parameter, especially in the GPR and NN models, where nonlinear interactions are captured more effectively. Higher porosity values lead to positive SHAP contributions due to increased pore connectivity and easier ion transport, while low porosity reduces predicted ER. The water–cement ratio (WCR) shows a moderate but consistent influence. Although correlated with porosity, WCR retains distinct predictive importance because it affects capillary structure and pore refinement at the material level. Compressive strength, in contrast, exhibits the smallest SHAP variation, indicating that its role is indirect. It serves mainly as a proxy descriptor of mixture proportioning and microstructural density rather than as a direct driver of electrical behavior.
These trends are further clarified by the mean SHAP percentage values (Figure 7). Across all models, DS accounts for roughly 72–83% of the total predictive contribution, reinforcing its central role in defining ER behavior. Porosity contributes between 9% and 43%, depending on the model’s ability to represent nonlinear effects, while WCR contributes approximately 6–20%, highlighting its secondary but non-negligible role in shaping the magnitude of resistivity. Strength contributes the least (0–20%), consistent with its indirect relationship to conduction pathways.
Figure 7.
Mean normalized SHAP percentage contributions of each input parameter across all machine learning models.
Together, the SHAP results confirm that ER is governed by the combined effects of moisture dynamics and microstructural refinement. DS dictates the main electrical conduction trend, while porosity and WCR shift the absolute resistivity values by modifying pore volume and connectivity. Strength contributes supplementary information but does not independently control ER. These interpretations explain why models incorporating all four parameters—particularly GPR and NN—demonstrate the highest predictive accuracy and best represent the physical behavior of reinforced concrete under varying saturation conditions.
The predicted–actual plots (Figure 6) further illustrate these model differences. The Decision Tree model produced a visibly scattered trend, especially at higher ER values, confirming its tendency to oversimplify complex interactions. The Ensemble model demonstrated improved clustering, reflecting reduced variance from tree aggregation. In contrast, the Neural Network displayed strong alignment with the 1:1 line, capturing both the non-linear decrease in ER at low saturation levels and the more gradual changes near full saturation. The GPR model produced similar alignment and was numerically the strongest performer across all parameter groupings.
4.4. Multivariate Regression Analysis for Developing the Prediction Model
The SHAP results in Section 3.3 demonstrated that degree of saturation (DS), porosity (P), water–cement ratio (WCR), and compressive strength meaningfully influence apparent electrical resistivity (ER). While the machine-learning models revealed how these parameters interact and quantified their relative importance, they do not provide an explicit functional expression suitable for engineering practice. For this reason, the multivariate regression analysis in this section was conducted to translate the ML-derived insights into a transparent and physically interpretable equation. The objective of this section is therefore not to outperform the accuracy of the GPR model, but to develop a closed-form predictive relationship that reflects experimentally observed behavior and can be readily applied in field and design contexts.
Table 9 presents the performance of four regression formulations—linear, exponential, power, and polynomial—constructed using the same input parameters. Among these, the exponential model delivers the strongest predictive capability, achieving the highest R2 value (0.96) and lower error metrics relative to the other formulations. This result is highly consistent with the earlier experimental findings in Section 3.1, where the DS–ER relationship for all mixtures was shown to follow a clear exponential decay trend. The strong exponential response observed in both the single-variable experimental analysis and the multivariate context reinforces that ER is fundamentally governed by moisture-driven ionic conduction mechanisms, which naturally exhibit exponential behavior.
Table 9.
Performance of multivariate regression models for predicting apparent electrical resistivity (ER) using degree of saturation (DS), porosity (P), water–cement ratio (WCR), and compressive strength (f′c).
The power model also performs relatively well (R2 = 0.93), but its higher RMSE and MAE indicate weaker predictive precision. The polynomial regression captures nonlinear interactions through cross-terms and produces acceptable accuracy (R2 = 0.90), yet its added complexity may introduce sensitivity or overfitting, especially with limited datasets. In contrast, the linear model performs the poorest (R2 = 0.69), reflecting its inability to represent the inherently nonlinear nature of ER. Given these findings, adopting a nonlinear formulation is essential for accurately modeling resistivity behavior.
Overall, the comparison confirms that nonlinear formulations—particularly the exponential model—align most closely with both the experimental behaviour observed in Section 3.1 and the multivariate parameter influences identified through SHAP. Accordingly, the exponential regression equation provides a physically meaningful, statistically robust, and practically interpretable basis for ER prediction, complementing the exploratory insights obtained from the machine-learning analysis for predicting apparent electrical resistivity (ER) using degree of saturation (DS), porosity (P), water–cement ratio (WCR), and compressive strength (f′c).
4.5. Summary, Practical Implications, and Recommendations
This study established that the degree of saturation (DS) is the strongest predictor of apparent electrical resistivity (ER), governing the dominant trend of its exponential decay. Machine learning models demonstrated that ER responds to the nonlinear interactions among DS, porosity, water–cement ratio, and compressive strength, with GPR and Neural Networks providing the highest predictive accuracy. SHAP analysis supported these results by illustrating that moisture state drives the primary variability, while microstructural parameters refine the absolute magnitude of ER. The final multivariate regression model—particularly the exponential formulation—proved both accurate and physically consistent with the mechanisms observed experimentally and computationally.
The findings highlight that electrical resistivity is a robust non-destructive indicator of moisture-related deterioration in concrete. Because DS directly controls ionic conduction pathways, ER provides meaningful insight into internal moisture distribution and its impact on corrosion susceptibility. Porosity further influences resistivity by shaping pore connectivity, suggesting that these two parameters should be prioritized during field evaluations. The developed regression model offers a practical tool that can be incorporated into durability assessment workflows, allowing engineers to estimate ER using measurable properties and improve maintenance and monitoring decisions.
Future work should validate the proposed model using larger datasets, additional concrete mixtures, and in-service field measurements to ensure broader applicability. Expanding the dataset is essential because concrete behavior varies significantly with mixture proportions, curing conditions, and environmental exposure; larger and more diverse datasets have been shown to improve model generalization and reduce overfitting in concrete durability prediction studies [143,144]. This comprehensive approach not only enhances predictive accuracy but also supports the development of more effective strategies for assessing concrete durability in varying environmental conditions.
Simulation of saturation processes—particularly moisture transport under changing boundary conditions—should also be explored to better understand how DS evolves within real structures. Prior studies emphasize that moisture movement in concrete is governed by complex diffusion–permeation mechanisms, and numerical simulations provide valuable insight into internal saturation gradients that are difficult to measure experimentally [145]. Such simulations can help interpret resistivity variations more accurately and support the development of moisture-compensated NDT models.
It is also recommended to evaluate different specimen shapes and sizes, as saturation profiles, pore connectivity, and drying–wetting behavior can vary substantially with geometry and volume. Researchers have shown that specimen geometry influences moisture transport rates and can lead to size-dependent differences in measured resistivity, making it important to confirm that predictive models remain reliable across varying dimensions [76,146].
In addition, integrating temperature corrections into ER prediction is necessary because electrical resistivity is highly temperature-dependent; even small fluctuations can significantly alter ionic mobility in the pore solution. Temperature-adjusted resistivity models have been widely recommended to improve accuracy in both field and laboratory applications [147,148].
Finally, combining ER with complementary durability metrics such as half-cell potential (HCP), electrochemical impedance spectroscopy (EIS), or concrete cover depth can enhance corrosion monitoring. Multi-parameter approaches have been shown to improve diagnostic reliability by capturing different aspects of reinforcement corrosion, including electrochemical activity, moisture influence, and transport properties [149,150]. Integrating these methods can therefore lead to more robust and comprehensive assessment frameworks for reinforced concrete structures.
5. Conclusions
This study presents an integrated experimental and computational framework that establishes how electrical resistivity in concrete is governed by moisture dynamics and pore-structure characteristics. By combining controlled saturation testing, machine learning prediction, SHAP-based interpretability, and multivariate nonlinear regression, the work provides a physically consistent and statistically robust approach for estimating resistivity across different concrete mixtures and moisture conditions. Based on the results and discussion, the following specific conclusions can be drawn:
- The degree of saturation was experimentally confirmed as the dominant factor influencing electrical resistivity. Across all six concrete mixtures, ER exhibited a consistent exponential decay with increasing DS, with R2 values ranging from 0.896 to 0.997. This demonstrates that the moisture state governs the continuity of ionic pathways and defines the fundamental ER response regardless of compressive strength.
- Machine learning models revealed that incorporating pore-structure parameters significantly improves ER prediction. Although DS alone provided a strong baseline accuracy, adding porosity, WCR, and compressive strength enhanced model performance. Gaussian Process Regression and Neural Networks consistently achieved the highest accuracy, especially for combinations that included all parameters.
- SHAP analysis showed that DS accounts for the majority of predictive influence, while porosity and WCR serve as key modifiers of the ER magnitude. SHAP values indicated that DS contributes approximately 72–83% of total importance. Porosity and WCR further refine ER predictions by shaping pore connectivity and microstructural density, whereas compressive strength had a minimal direct effect.
- Nonlinear multivariate regression confirmed the exponential model as the most physically meaningful and statistically robust equation. Among linear, polynomial, power, and exponential forms, the exponential model achieved the highest R2 (0.96). This aligns with the experimentally observed DS–ER relationship and the nonlinear interactions revealed by ML and SHAP.
- Electrical resistivity demonstrates strong potential as a nondestructive indicator for moisture-related durability evaluation. The results highlight the importance of considering DS and pore-structure characteristics when interpreting ER measurements. The developed regression model can support field assessments, durability monitoring, and integration into ER-based diagnostic tools.
Overall, the study emphasizes that accurate interpretation of ER requires accounting for both the moisture condition and the underlying pore structure. Future work should include larger datasets, different specimen geometries, saturation simulations, temperature correction, and integration with other NDT methods such as HCP or EIS to further enhance predictive capability.
Author Contributions
Conceptualization, Y.K. and K.P.V.R.; methodology, K.P.V.R.; software, K.P.V.R. and S.-H.K.; validation, K.P.V.R. and C.E.F.M.; formal analysis, Y.K.; investigation, Y.K.; resources, K.P.V.R. and S.-H.K.; writing—original draft preparation, Y.K.; writing—review and editing, K.P.V.R. and S.-H.K.; visualization, Y.K. and K.P.V.R.; supervision, K.P.V.R. and C.E.F.M. All authors have read and agreed to the published version of the manuscript.
Funding
This work received no external funding.
Institutional Review Board Statement
Not applicable.
Informed Consent Statement
Not applicable.
Data Availability Statement
The original contributions presented in this study are included in the article. Further inquiries can be directed to the corresponding author.
Conflicts of Interest
The authors declare no conflicts of interest.
References
- Mahmood, A.; Noman, M.T.; Pechočiaková, M.; Amor, N.; Petrů, M.; Abdelkader, M.; Militký, J.; Sozcu, S.; Hassan, S.Z.U. Geopolymers and Fiber-Reinforced Concrete Composites in Civil Engineering. Polymers 2021, 13, 2099. [Google Scholar] [CrossRef] [PubMed]
- Borosnyói, A. Long Term Durability Performance and Mechanical Properties of High Performance Concretes with Combined Use of Supplementary Cementing Materials. Constr. Build. Mater. 2016, 112, 307–324. [Google Scholar] [CrossRef]
- Yang, J.; He, X. Durability and Sustainability of Cement and Concrete Composites. Materials 2023, 16, 5693. [Google Scholar] [CrossRef] [PubMed]
- Robles, K.P.V.; Yee, J.J.; Kee, S.H. Simulation-Based Assessment of the Impact of Internal and Surface-Breaking Cracks on Reinforced Concrete Electrical Resistivity. Lect. Notes Civ. Eng. 2025, 641, 11–22. [Google Scholar] [CrossRef]
- Hansson, C.M. Concrete: The Advanced Industrial Material of the 21st Century. Metall. Mater. Trans. A 1995, 26, 1321–1341. [Google Scholar] [CrossRef]
- Mussey, B.K.; Damoah, L.N.W.; Akoto, R.N.A.; Bensah, Y.D. Optimization of Concrete Mix Design for Enhanced Performance and Durability: Integrating Chemical and Physical Properties of Aggregates. Cogent Eng. 2024, 11, 2347370. [Google Scholar] [CrossRef]
- Chikhi, A.; Rebai, B.; Benaddi, H.; Tidjani, M.; Lakhemissi, T.; Abdelhak, B.; Hadji, M. Impact of Aggressive Environments on the Mechanical and Physico-Chemical Properties of Concrete. Stud. Eng. Exact Sci. 2024, 5, e9846. [Google Scholar] [CrossRef]
- Xu, L. Durability Design of Concrete Structures in Severe Environments. Key Eng. Mater. 2014, 629–630, 218–222. [Google Scholar] [CrossRef]
- Xu, Q.; Liu, B.; Dai, L.; Yao, M.; Pang, X. Factors Influencing Chloride Ion Diffusion in Reinforced Concrete Structures. Materials 2024, 17, 3296. [Google Scholar] [CrossRef]
- Beglarigale, A.; Yiğiter, H.; Yazıcı, H. Corrosion Performance of Various Reinforced Concretes Subjected to a Systematic Wetting–Drying Cycle Regime in Real Marine Environment. J. Mater. Civ. Eng. 2023, 35, 04023056. [Google Scholar] [CrossRef]
- Hover, K.C. The Influence of Water on the Performance of Concrete. Constr. Build. Mater. 2011, 25, 3003–3013. [Google Scholar] [CrossRef]
- Soleilhet, F.; Benboudjema, F.; Jourdain, X.; Gatuingt, F. Effect of Transient Drying on Mechanical Properties of Concrete Specimens. Eur. J. Environ. Civ. Eng. 2022, 26, 6650–6669. [Google Scholar] [CrossRef]
- Moonen, P.; Griffa, M. Modelling the Response of Concrete to Moisture. In Understanding the Tensile Properties of Concrete: In Statics and Dynamics; Woodhead Publishing: Sawston, UK, 2024; pp. 89–114. [Google Scholar] [CrossRef]
- Robles, K.P.; Kee, S.-H. Experimental Investigation on the Influence of Degree of Saturation to the Effect of Steel Reinforcements to the Electrical Resistivity of Reinforced Concrete. J. Acad. Conf. Korean Concr. Inst. 2022, 34, 391–392. [Google Scholar]
- Robles, K.P.; Kee, S.-H. An Electrical Resistivity Measurement Approach in the Determination of the Degree of Water Saturation of Reinforced Concrete by Machine Learning Methods. J. Acad. Present. Conf. Archit. Inst. Korea 2022, 42, 595–596. [Google Scholar]
- Yoon, I.S.; Chang, C.H. Effect of Chloride on Electrical Resistivity in Carbonated and Non-Carbonated Concrete. Appl. Sci. 2020, 10, 6272. [Google Scholar] [CrossRef]
- Bu, Y.; Weiss, J. Saturation of Air Entrained Voids and Its Implication on the Transport of Ionic Species in Concrete. In Proceedings of the 4th International Conference on the Durability of Concrete Structures, ICDCS 2014, West Lafayette, IN, USA, 24–26 July 2014; pp. 182–189. [Google Scholar] [CrossRef]
- Robles, K.P.V.; Gucunski, N.; Kee, S.H. Evaluation of Steel Corrosion-Induced Concrete Damage Using Electrical Resistivity Measurements. Constr. Build. Mater. 2024, 411, 134512. [Google Scholar] [CrossRef]
- Robles, K.P.V.; Yee, J.J.; Kee, S.H. Electrical Resistivity Measurements for Nondestructive Evaluation of Chloride-Induced Deterioration of Reinforced Concrete—A Review. Materials 2022, 15, 2725. [Google Scholar] [CrossRef] [PubMed]
- Saouma, V.E.; Hariri-Ardebili, M.A. Chloride, Carbonation and Corrosion. In Aging, Shaking, and Cracking of Infrastructures; Springer International Publishing: Cham, Switzerland, 2021; pp. 191–213. [Google Scholar] [CrossRef]
- Surahyo, A. Corrosion of Embedded Metals in Concrete. In Concrete Construction; Springer International Publishing: Cham, Switzerland, 2019; pp. 239–255. [Google Scholar] [CrossRef]
- Carpio, F.; Márquez-Domínguez, S.; Carmona, A.; Salgado, R.; Vargas, A.; Barradas, J.; Barrera, D. Flexo-Compressive Strength of Reinforced Concrete Frame Elements Considering Corrosion Process. Buildings 2022, 12, 2203. [Google Scholar] [CrossRef]
- Vu, K.; Stewart, M.G.; Mullard, J. Corrosion-Induced Cracking: Experimental Data and Predictive Models. ACI Struct. J. 2005, 102, 719–726. [Google Scholar] [CrossRef]
- Zhou, Y.; Gencturk, B.; Willam, K.; Attar, A. Carbonation-Induced and Chloride-Induced Corrosion in Reinforced Concrete Structures. J. Mater. Civ. Eng. 2015, 27, 04014245. [Google Scholar] [CrossRef]
- Hwang, W.; Yong Ann, K. Determination of Rust Formation to Cracking at the Steel–Concrete Interface by Corrosion of Steel in Concrete. Constr. Build. Mater. 2023, 367, 130215. [Google Scholar] [CrossRef]
- Nguyen, A.Q.; Klysz, G.; Deby, F.; Balayssac, J.P. Assessment of the Electrochemical State of Steel Reinforcement in Water Saturated Concrete by Resistivity Measurement. Constr. Build. Mater. 2018, 171, 455–466. [Google Scholar] [CrossRef]
- Dong, B.; Shi, G.; Dong, P.; Ding, W.; Teng, X.; Qin, S.; Liu, Y.; Xing, F.; Hong, S. Visualized Tracing of Rebar Corrosion Evolution in Concrete with X-Ray Micro-Computed Tomography Method. Cem. Concr. Compos. 2018, 92, 102–109. [Google Scholar] [CrossRef]
- Alsharqawi, M.; Zayed, T.; Shami, A. Ground Penetrating Radar-Based Deterioration Assessment of RC Bridge Decks. Constr. Innov. 2020, 20, 1–17. [Google Scholar] [CrossRef]
- Lawrence, M.; Li, L.; Kee, S.-H.; Monjardin, C.E.F.; Paolo, K.; Robles, V. Numerical and Experimental Correlation Between Half-Cell Potential and Steel Mass Loss in Corroded Reinforced Concrete. Materials 2025, 18, 5238. [Google Scholar] [CrossRef] [PubMed]
- Morris, I.M.; Hutt, N. Cold Water Saturation and Vacuum Saturation Porosity Comparison for in Situ Ground Penetrating Radar Measurement in Mature Concrete. In Sensors and Smart Structures Technologies for Civil, Mechanical, and Aerospace Systems 2024; SPIE: Bellingham, WA, USA, 2024; p. 30. [Google Scholar] [CrossRef]
- Tesic, K.; Baricevic, A.; Serdar, M.; Gucunski, N. Quantifying the Impact of Parameters of Chloride-Induced Reinforcement Corrosion on the GPR Signal. Constr. Build. Mater. 2023, 399, 132594. [Google Scholar] [CrossRef]
- Villain, G.; Ihamouten, A.; Du Plooy, R.; Palma Lopes, S.; Dérobert, X. Use of Electromagnetic Non-Destructive Techniques for Monitoring Water and Chloride Ingress into Concrete. Near Surf. Geophys. 2015, 13, 299–309. [Google Scholar] [CrossRef]
- Wutke, M.K. Use of Ground Penetrating Radar Measurement Combined to Resistivity Measurement for Characterization of the Concrete Moisture. In Proceedings of the 2018 17th International Conference on Ground Penetrating Radar, GPR 2018, Rapperswil, Switzerland, 18–21 June 2018. [Google Scholar] [CrossRef]
- Rupnow, T.; Icenogle, P. Surface Resistivity Measurements Evaluated as Alternative to Rapid Chloride Permeability Test for Quality Assurance and Acceptance. Transp. Res. Rec. 2012, 2290, 30–37. [Google Scholar] [CrossRef]
- Paredes, M.; Jackson, N.M.; El Safty, A.; Dryden, J.; Joson, J.; Lerma, H.; Hersey, J. Precision Statements for the Surface Resistivity of Water Cured Concrete Cylinders in the Laboratory. Adv. Civ. Eng. Mater. 2012, 1, 104268. [Google Scholar] [CrossRef]
- Spragg, R.P.; Castro, J.; Nantung, T.; Paredes, M.; Weiss, J. Variability Analysis of the Bulk Resistivity Measured Using Concrete Cylinders. Adv. Civ. Eng. Mater. 2012, 1, 104596. [Google Scholar] [CrossRef]
- Chen, C.T.; Chang, J.J.; Yeih, W.C. The Effects of Specimen Parameters on the Resistivity of Concrete. Constr. Build. Mater. 2014, 71, 35–43. [Google Scholar] [CrossRef]
- FM 5-578; Florida Method of Test for Concrete Resistivity as an Electrical Indicator of Its Permeability. Florida Department of Transportation: Tallahassee, FL, USA, 2004; pp. 4–7.
- Ministry of Transportation Ontario. Method of Test for Determination of Electrical Resistivity of Concrete; Ontario Laboratory Testing Manual (Issue 28); Ministry of Transportation Ontario: Toronto, ON, Canada, 2013.
- Otieno, M.; Beushausen, H.; Alexander, M. Resistivity-Based Chloride-Induced Corrosion Rate Prediction Models and Hypothetical Framework for Interpretation of Resistivity Measurements in Cracked RC Structures. Mater. Struct. 2016, 49, 2349–2366. [Google Scholar] [CrossRef]
- Yu, B.; Liu, J.; Chen, Z. Probabilistic Evaluation Method for Corrosion Risk of Steel Reinforcement Based on Concrete Resistivity. Constr. Build. Mater. 2017, 138, 101–113. [Google Scholar] [CrossRef]
- Morris, W.; Vico, A.; Vázquez, M. Chloride Induced Corrosion of Reinforcing Steel Evaluated by Concrete Resistivity Measurements. Electrochim. Acta 2004, 49, 4447–4453. [Google Scholar] [CrossRef]
- González, J.A.; Miranda, J.M.; Feliu, S. Considerations on Reproducibility of Potential and Corrosion Rate Measurements in Reinforced Concrete. Corros. Sci. 2004, 46, 2467–2485. [Google Scholar] [CrossRef]
- Ahmad, S. An Experimental Study on Correlation between Concrete Resistivity and Reinforcement Corrosion Rate. Anti-Corros. Methods Mater. 2014, 61, 158–165. [Google Scholar] [CrossRef]
- Sengul, O. Use of Electrical Resistivity as an Indicator for Durability. Constr. Build. Mater. 2014, 73, 434–441. [Google Scholar] [CrossRef]
- Van Noort, R.; Hunger, M.; Spiesz, P. Long-Term Chloride Migration Coefficient in Slag Cement-Based Concrete and Resistivity as an Alternative Test Method. Constr. Build. Mater. 2016, 115, 746–759. [Google Scholar] [CrossRef]
- Isfahani, F.T.; Redaelli, E.; Lollini, F.; Li, W.; Bertolini, L. Effects of Nanosilica on Compressive Strength and Durability Properties of Concrete with Different Water to Binder Ratios. Adv. Mater. Sci. Eng. 2016, 2016, 8453567. [Google Scholar] [CrossRef]
- Pilvar, A.; Ramezanianpour, A.A.; Rajaie, H. Comparison of Four Electrical Measurement Methods with Bulk Diffusion for Assessing the Chloride Resistance of Concretes. Iran. J. Sci. Technol.-Trans. Civ. Eng. 2016, 40, 327–336. [Google Scholar] [CrossRef]
- Presuel-Moreno, F.J. Effect of w/Cm and Composition on Correlations of Concrete Electrical Resistivity and Chloride Migration Coefficients. Key Eng. Mater. 2016, 711, 21–28. [Google Scholar] [CrossRef]
- Azarsa, P.; Gupta, R. Electrical Resistivity of Concrete for Durability Evaluation: A Review. Adv. Mater. Sci. Eng. 2017, 2017, 8453095. [Google Scholar] [CrossRef]
- Nguyen, A.Q.; Klysz, G.; Deby, F.; Balayssac, J.P. Evaluation of Water Content Gradient Using a New Configuration of Linear Array Four-Point Probe for Electrical Resistivity Measurement. Cem. Concr. Compos. 2017, 83, 308–322. [Google Scholar] [CrossRef]
- Robles, K.P.; Kee, S.-H. Effects of the Presence of Reinforcing Steel on Electrical Resistivity Measurements in Concrete by Numerical Simulation. J. Acad. Conf. Korean Concr. Inst. 2021, 33, 425–426. [Google Scholar]
- Liu, Y.; Paredes, M.; Deuble, A. Review and Evaluation of Techniques for Measurement s of Concrete Resistivity. In Proceedings of the Transportation Research Board 94th Annual Meeting, Washington, DC, USA, 11–15 January 2015; p. 3750. [Google Scholar]
- Salehi, M. Numerical Investigation of the Effects of Cracking and Embedded Reinforcement on Surface Concrete Resistivity Measurements Using Wenner Probe. Ph.D. Thesis, Carleton University, Ottawa, ON, Canada, 2013. [Google Scholar] [CrossRef]
- Sengul, O.; Gjørv, O.E. Electrical Resistivity Measurements for Quality Control during Concrete Construction. ACI Mater. J. 2008, 105, 541–547. [Google Scholar] [CrossRef] [PubMed]
- Yilmaz, S. The Geometric Resistivity Correction Factor for Several Geometrical Samples. J. Semicond. 2015, 36, 082001. [Google Scholar] [CrossRef]
- Yamashita, M. Resistivity Correction Factor for Four-Probe Method on Circular Semiconductors i. Jpn. J. Appl. Phys. 1987, 26, 1550–1554. [Google Scholar] [CrossRef]
- Yoon, I.-S.; Nam, J.-W. Effect of Water and Chloride Content on Electrical Resistivity in Concrete. Comput. Concr. 2016, 18, 565–575. [Google Scholar] [CrossRef]
- Hnin, S.W.; Sancharoen, P.; Tangtermsirikul, S. Effects of Concrete Mix Proportion on Electrical Resistivity of Concrete. Mater. Sci. Forum 2016, 866, 68–72. [Google Scholar] [CrossRef]
- Cai, J.; Pan, J.; Li, X.; Tan, J.; Li, J. Electrical Resistivity of Fly Ash and Metakaolin Based Geopolymers. Constr. Build. Mater. 2020, 234, 117868. [Google Scholar] [CrossRef]
- Lim, T.Y.D.; Teng, S.; Bahador, S.D.; Gjørv, O.E. Durability of Very-High-Strength Concrete with Supplementary Cementitious Materials for Marine Environments. ACI Mater. J. 2016, 113, 95–103. [Google Scholar] [CrossRef]
- AASHTO TP 95-11; Standard Test Method for Surface Resistivity Indication of Concrete’s Ability to Resist Chloride Ion Penetration. AASHTO: Washington, DC, USA, 2011.
- Taillet, E.; Lataste, J.F.; Rivard, P.; Denis, A. Non-Destructive Evaluation of Cracks in Massive Concrete Using Normal Dc Resistivity Logging. NDT E Int. 2014, 63, 11–20. [Google Scholar] [CrossRef]
- Robles, K.P.V.; Yee, J.J.; Kee, S.H. Effect of the Geometrical Constraints to the Wenner Four-Point Electrical Resistivity Test of Reinforced Concrete Slabs. Sensors 2021, 21, 4622. [Google Scholar] [CrossRef] [PubMed]
- Liu, Y.; Presuel-Moreno, F.J. Normalization of Temperature Effect on Concrete Resistivity by Method Using Arrhenius Law. ACI Mater. J. 2014, 111, 433–442. [Google Scholar] [CrossRef]
- Silva, J.; Jalali, S.; Ferreira, R.M. Estimating Long-Term Durability Parameters Based on Electrical Resistivity Measurements. 2016, 9. Available online: https://hdl.handle.net/1822/5895 (accessed on 9 September 2025).
- Sengul, O.; Gjørv, O.E. Effect of Embedded Steel on Electrical Resistivity Measurements on Concrete Structures. ACI Mater. J. 2009, 106, 11–18. [Google Scholar] [CrossRef]
- Robles, K.P.V.; Kim, D.-W.; Kee, S.-H.; Yee, J.-J.; Paolo, K.; Robles, V.; Kim, D.-W.; Yee, J.-J.; Lee, J.-W.; Kee, S.-H.; et al. Electrical Resistivity Measurements of Reinforced Concrete Slabs with Delamination Defects. Sensors 2020, 20, 7113. [Google Scholar] [CrossRef]
- Robles, K.P.V.; Yee, J.J.; Gucunski, N.; Kee, S.H. Calibrating Electrical Resistivity Measurements in Reinforced Concrete with Rebar Effects and Practical Guidelines. Measurement 2025, 244, 116542. [Google Scholar] [CrossRef]
- Robles, K.P.; Kee, S.-H. Numerical Simulation of the Interference between a Surface Breaking Crack and Electrical Potential Field in Concrete. J. Acad. Present. Conf. Archit. Insititute Korea 2021, 41, 455–456. [Google Scholar]
- Alhajj, M.A.; Palma-Lopes, S.; Villain, G. Accounting for Steel Rebar Effect on Resistivity Profiles in View of Reinforced Concrete Structure Survey. Constr. Build. Mater. 2019, 223, 898–909. [Google Scholar] [CrossRef]
- Layssi, H.; Ghods, P.; Alizadeh, A.R.; Saleh, M. Electrical Resistivity of Concrete. ACI Concr. Int. 2015, 37, 293–302. [Google Scholar] [CrossRef]
- Charmchi, G. The Role of Concrete Maturity in Resistivity-Based Performance Specifications. Master’s Thesis, University of Toronto, Toronto, ON, Canada, 2015. [Google Scholar]
- López, W.; González, J.A. Influence of the Degree of Pore Saturation on the Resistivity of Concrete and the Corrosion Rate of Steel Reinforcement. Cem. Concr. Res. 1993, 23, 368–376. [Google Scholar] [CrossRef]
- Garzon, A.J.; Sanchez, J.; Andrade, C.; Rebolledo, N.; Menéndez, E.; Fullea, J. Modification of Four Point Method to Measure the Concrete Electrical Resistivity in Presence of Reinforcing Bars. Cem. Concr. Compos. 2014, 53, 249–257. [Google Scholar] [CrossRef]
- Spragg, R.; Villani, C.; Snyder, K.; Bentz, D.; Bullard, J.; Weiss, J. Factors That Influence Electrical Resistivity Measurements in Cementitious Systems. Transp. Res. Rec. 2013, 2342, 90–98. [Google Scholar] [CrossRef]
- Rajabipour, F.; Weiss, J. Electrical Conductivity of Drying Cement Paste. Mater. Struct. 2007, 40, 1143–1160. [Google Scholar] [CrossRef]
- Villagrán Zaccardi, Y.A.; Di Maio, Á.A. Electrical Resistivity Measurement of Unsaturated Concrete Samples. Mag. Concr. Res. 2014, 66, 484–491. [Google Scholar] [CrossRef]
- Babor, D.; Plian, D.; Judele, L. Environmental Impact of Concrete. Bull. Polytech. Inst. Jassy Constr. Archit. Sect. 2009, LV (LIX), 27–36. [Google Scholar]
- Li, Q.; Xu, S.; Zeng, Q. The Effect of Water Saturation Degree on the Electrical Properties of Cement-Based Porous Material. Cem. Concr. Compos. 2016, 70, 35–47. [Google Scholar] [CrossRef]
- Hussain, R.R.; Ishida, T. Enhanced Electro-Chemical Corrosion Model for Reinforced Concrete under Severe Coupled Action of Chloride and Temperature. Constr. Build. Mater. 2011, 25, 1305–1315. [Google Scholar] [CrossRef]
- Ben Chaabene, W.; Flah, M.; Nehdi, M.L. Machine Learning Prediction of Mechanical Properties of Concrete: Critical Review. Constr. Build. Mater. 2020, 260, 119889. [Google Scholar] [CrossRef]
- Koya, B.P.; Aneja, S.; Gupta, R.; Valeo, C. Comparative Analysis of Different Machine Learning Algorithms to Predict Mechanical Properties of Concrete. Mech. Adv. Mater. Struct. 2022, 29, 4032–4043. [Google Scholar] [CrossRef]
- Li, K.; Long, Y.; Wang, H.; Wang, Y.-F. Modeling and Sensitivity Analysis of Concrete Creep with Machine Learning Methods. J. Mater. Civ. Eng. 2021, 33, 04021206. [Google Scholar] [CrossRef]
- Robles, K.P.; Yee, J.J.; Gucunski, N.; Kee, S.H. Hybrid Data-Driven Machine Learning Approach for Evaluating Steel Corrosion in Concrete Using Electrical Resistivity and Documented Concrete Performance Indicators. Constr. Build. Mater. 2025, 489, 142154. [Google Scholar] [CrossRef]
- Folliard, K.J.; Juenger, M.; Schindler, A.; Riding, K.; Poole, J.; Kallivokas, L.F.; Slatnick, S.; Whigham, J.; Meadows, J.L. 6. Prediction Model for Concrete Behavior—Final Report; FHWA/TX-08/0-4563-1; Center for Transportation Research, The University of Texas at Austin: Austin, TX, USA, 2007; 78p. [Google Scholar]
- Younis, K.H.; Pilakoutas, K. Strength Prediction Model and Methods for Improving Recycled Aggregate Concrete. Constr. Build. Mater. 2013, 49, 688–701. [Google Scholar] [CrossRef]
- Yoon, J.Y.; Kim, H.; Lee, Y.J.; Sim, S.H. Prediction Model for Mechanical Properties of Lightweight Aggregate Concrete Using Artificial Neural Network. Materials 2019, 12, 2678. [Google Scholar] [CrossRef] [PubMed]
- Candelaria, M.D.E.; Kee, S.-H.; Lee, K.-S. Prediction of Compressive Strength of Partially Saturated Concrete Using Machine Learning Methods. Materials 2022, 15, 1662. [Google Scholar] [CrossRef]
- Williams, B.; Cremaschi, S. Selection of Surrogate Modeling Techniques for Surface Approximation and Surrogate-Based Optimization. Chem. Eng. Res. Des. 2021, 170, 76–89. [Google Scholar] [CrossRef]
- Fuhg, J.N.; Marino, M.; Bouklas, N. Local Approximate Gaussian Process Regression for Data-Driven Constitutive Models: Development and Comparison with Neural Networks. Comput. Methods Appl. Mech. Eng. 2022, 388, 114217. [Google Scholar] [CrossRef]
- Manzhos, S.; Ihara, M. Advanced Machine Learning Methods for Learning from Sparse Data in High-Dimensional Spaces: A Perspective on Uses in the Upstream of Development of Novel Energy Technologies. Physchem 2022, 2, 72–95. [Google Scholar] [CrossRef]
- Kewalramani, M.A.; Gupta, R. Concrete Compressive Strength Prediction Using Ultrasonic Pulse Velocity through Artificial Neural Networks. Autom. Constr. 2006, 15, 374–379. [Google Scholar] [CrossRef]
- Trtnik, G.; Kavčič, F.; Turk, G. Prediction of Concrete Strength Using Ultrasonic Pulse Velocity and Artificial Neural Networks. Ultrasonics 2009, 49, 53–60. [Google Scholar] [CrossRef]
- Sbartaï, Z.M.; Laurens, S.; Elachachi, S.M.; Payan, C. Concrete Properties Evaluation by Statistical Fusion of NDT Techniques. Constr. Build. Mater. 2012, 37, 943–950. [Google Scholar] [CrossRef]
- Roshani, M.; Phan, G.T.T.; Jammal Muhammad Ali, P.; Hossein Roshani, G.; Hanus, R.; Duong, T.; Corniani, E.; Nazemi, E.; Mostafa Kalmoun, E. Evaluation of Flow Pattern Recognition and Void Fraction Measurement in Two Phase Flow Independent of Oil Pipeline’s Scale Layer Thickness. Alex. Eng. J. 2021, 60, 1955–1966. [Google Scholar] [CrossRef]
- Roshani, M.; Sattari, M.A.; Muhammad Ali, P.J.; Roshani, G.H.; Nazemi, B.; Corniani, E.; Nazemi, E. Application of GMDH Neural Network Technique to Improve Measuring Precision of a Simplified Photon Attenuation Based Two-Phase Flowmeter. Flow Meas. Instrum. 2020, 75, 101804. [Google Scholar] [CrossRef]
- Nunez, I.; Marani, A.; Nehdi, M.L. Mixture Optimization of Recycled Aggregate Concrete Using Hybrid Machine Learning Model. Materials 2020, 13, 4331. [Google Scholar] [CrossRef] [PubMed]
- Mishra, M.; Bhatia, A.S.; Maity, D. A Comparative Study of Regression, Neural Network and Neuro-Fuzzy Inference System for Determining the Compressive Strength of Brick–Mortar Masonry by Fusing Nondestructive Testing Data. Eng. Comput. 2019, 37, 77–91. [Google Scholar] [CrossRef]
- Liu, Y.; Song, Y.; Keller, J.; Bond, P.; Jiang, G. Prediction of Concrete Corrosion in Sewers with Hybrid Gaussian Processes Regression Model. RSC Adv. 2017, 7, 30894–30903. [Google Scholar] [CrossRef]
- Lizarazo-Marriaga, J.; Ramírez, S.; Fonseca, L. Influence of the Aggregate–Cement Ratio on the Electrical and Transport Properties of Cement Mortars. Arab. J. Sci. Eng. 2016, 41, 4901–4909. [Google Scholar] [CrossRef]
- Nguyen, Q.H.; Lorente, S.; Duhard-Barone, A. Effect of the Pore Size of Cement Based Materials on Ionic Transport. Constr. Build. Mater. 2017, 147, 160–167. [Google Scholar] [CrossRef]
- Zhang, Y.; Zhang, M.; Ye, G. Influence of Moisture Condition on Chloride Diffusion in Partially Saturated Ordinary Portland Cement Mortar. Mater. Struct. 2018, 51, 36. [Google Scholar] [CrossRef]
- AASHTO T 358-21; Standvity Indication of Concrete’s Ability to Resist Chloride Ion Penetration. AASHTO: Washington DC, USA, 2015.
- Liu, J.; Bai, X. The Prediction of Steel Bar Corrosion Based on BP Neural Networks or Multivariable Gray Models. Comput. Intell. Neurosci. 2023, 2023, 2695142. [Google Scholar] [CrossRef]
- Liu, T.; Xu, H.; Ragulskis, M.; Cao, M.; Ostachowicz, W. A Data-Driven Damage Identification Framework Based on Transmissibility Function Datasets and One-Dimensional Convolutional Neural Networks: Verification on a Structural Health Monitoring Benchmark Structure. Sensors 2020, 20, 1059. [Google Scholar] [CrossRef]
- Lyngdoh, G.A.; Zaki, M.; Krishnan, N.M.A.; Das, S. Prediction of Concrete Strengths Enabled by Missing Data Imputation and Interpretable Machine Learning. Cem. Concr. Compos. 2022, 128, 104414. [Google Scholar] [CrossRef]
- Goodfellow, I.; Bengio, Y.; Courville, A. Deep Learning; MIT Press: Cambridge, MA, USA, 2016; pp. 1–23. [Google Scholar]
- Hastie, T.; Tibshirani, R.; Friedman, J. The Elements of Statistical Learning; Springer Science & Business Media: New York, NY, USA, 2009. [Google Scholar] [CrossRef]
- Owaid, H.M.; Hamid, R.; Taha, M.R. Strength—Ultrasonic Pulse Velocity Relationship of Thermally Activated Alum Sludge Multiple Blended High Performance Concretes. Key Eng. Mater. 2014, 594–595, 521–526. [Google Scholar] [CrossRef]
- Shih, Y.F.; Wang, Y.R.; Lin, K.L.; Chen, C.W. Improving Non-Destructive Concrete Strength Tests Using Support Vector Machines. Materials 2015, 8, 7169–7178. [Google Scholar] [CrossRef] [PubMed]
- Mozumder, R.A.; Roy, B.; Laskar, A.I. Support Vector Regression Approach to Predict the Strength of FRP Confined Concrete. Arab. J. Sci. Eng. 2016, 42, 1129–1146. [Google Scholar] [CrossRef]
- Bonifácio, A.L.; Mendes, J.C.; Farage, M.C.R.; Barbosa, F.S.; Barbosa, C.B.; Beaucour, A.L. Application of Support Vector Machine and Finite Element Method to Predict the Mechanical Properties of Concrete. Lat. Am. J. Solids Struct. 2019, 16, 205. [Google Scholar] [CrossRef]
- Tibbetts, C.M.; Watts, B.E.; Ferraro, C.C.; Huber, E.D. Improving the Utility of MIP Analysis for Cementitious Systems through Gaussian Process Regression Modeling to Predict Electrical Resistivity. Cem. Concr. Compos. 2021, 116, 103870. [Google Scholar] [CrossRef]
- Wang, W.; Lu, C.; Yuan, G.; Zhang, Y. Effects of Pore Water Saturation on the Mechanical Properties of Fly Ash Concrete. Constr. Build. Mater. 2017, 130, 54–63. [Google Scholar] [CrossRef]
- Lampropoulou, P.; Petrounias, P.; Giannakopoulou, P.P.; Rogkala, A.; Koukouzas, N.; Tsikouras, B.; Hatzipanagiotou, K. The Effect of Chemical Composition of Ultramafic and Mafic Aggregates on Their Physicomechanical Properties as Well as on the Produced Concrete Strength. Minerals 2020, 10, 406. [Google Scholar] [CrossRef]
- Shokry, A.; Espuña, A. The Ordinary Kriging in Multivariate Dynamic Modelling and Multistep-Ahead Prediction. Comput. Aided Chem. Eng. 2018, 43, 265–270. [Google Scholar] [CrossRef]
- Patel, M.B.; Patel, J.N.; Bhilota, U.M. Comprehensive Modelling of ANN. In Research Anthology on Artificial Neural Network Applications; IGI Global: Palmdale, PA, USA, 2022; pp. 31–40. [Google Scholar]
- Kumari, A.; Madhaw, M.; Majumder, C.B.; Arora, A. Artificial Neural Network. In Applications of Nature-Inspired Computing in Renewable Energy Systems; IGI Global: Palmdale, PA, USA, 2022; pp. 95–115. [Google Scholar]
- Thorat, M.; Pandit, S.; Balote, S. Artificial Neural Network: A Brief Study. Asian J. Converg. Technol. 2022, 8, 12–16. [Google Scholar] [CrossRef]
- Vanneschi, L.; Silva, S. Artificial Neural Networks. In Lectures on Intelligent Systems; Springer International Publishing: Cham, Switzerland, 2023; pp. 161–204. [Google Scholar]
- Rokach, L. Decision Forest: Twenty Years of Research. Inf. Fusion 2016, 27, 111–125. [Google Scholar] [CrossRef]
- Thomas, T.; Vijayaraghavan, A.P.; Emmanuel, S. Applications of Decision Trees. In Machine Learning Approaches in Cyber Security Analytics; Springer: Singapore, 2020; pp. 157–184. [Google Scholar]
- Robnik-Šikonja, M. Improving Random Forests. In European Conference on Machine Learning; Springer: Berlin/Heidelberg, Germany, 2004; pp. 359–370. [Google Scholar]
- Xu, R.; Nettleton, D.; Nordman, D.J. Predictor Augmentation in Random Forests. Stat. Interface 2014, 7, 177–186. [Google Scholar] [CrossRef]
- Shephard, R.J. Regression to the Mean. Sports Med. 2003, 33, 575–584. [Google Scholar] [CrossRef]
- Zimmermann, A. Ensemble-Trees: Leveraging Ensemble Power Inside Decision Trees. In International Conference on Discovery Science; Springer: Berlin/Heidelberg, Germany, 2008; pp. 76–87. [Google Scholar]
- Kocev, D.; Vens, C.; Struyf, J.; Džeroski, S. Ensembles of Multi-Objective Decision Trees. In Machine Learning: ECML; Springer: Berlin/Heidelberg, Germany, 2007; pp. 624–631. [Google Scholar]
- Ning, Y.; Li, S.; Ng, Y.Y.; Chia, M.Y.C.; Gan, H.N.; Tiah, L.; Mao, D.R.; Ng, W.M.; Leong, B.S.H.; Doctor, N.; et al. Variable Importance Analysis with Interpretable Machine Learning for Fair Risk Prediction. PLoS Digit. Health 2024, 3, e0000542. [Google Scholar] [CrossRef]
- Contreras, J.; Bocklitz, T. Spectral Zones Based SHAP: Enhancing Interpretability in Spectral Deep Learning Models. In Data Science for Photonics and Biophotonics; SPIE: Bellingham, WA, USA, 2024; p. 20. [Google Scholar] [CrossRef]
- Dubrovin, V.; Deineha, L.; Yatsenko, A. Statistical Analysis Software. Electr. Eng. Power Eng. 2023, 21, 25–32. [Google Scholar] [CrossRef]
- Das, P.; Datta, S. Exploring the Non-Linearity in Empirical Modelling of a Steel System Using Statistical and Neural Network Models. Int. J. Prod. Res. 2007, 45, 699–717. [Google Scholar] [CrossRef]
- Castillo, E.; Hadi, A.S.; Mínguez, R. Diagnostics for Non-Linear Regression. J. Stat. Comput. Simul. 2009, 79, 1109–1128. [Google Scholar] [CrossRef]
- Evans, M.; Kennedy, J.; Thomas, P. Non-Linear Partial Least Squares and Its Application to Minimising Scale Formation at a Steel Hot Mill. Mater. Sci. Technol. 2012, 28, 1513–1522. [Google Scholar] [CrossRef]
- Ash, A.; Shwartz, M. R2: A Useful Measure of Model Performance When Predicting a Dichotomous Outcome. Stat. Med. 1999, 18, 375–384. [Google Scholar] [CrossRef]
- Tellinghuisen, J.; Bolster, C.H. Using R2 to Compare Least-Squares Fit Models: When It Must Fail. Chemom. Intell. Lab. Syst. 2011, 105, 220–222. [Google Scholar] [CrossRef]
- Casnedi, L.; Cappai, M.; Cincotti, A.; Delogu, F.; Pia, G. Porosity Effects on Water Vapour Permeability in Earthen Materials: Experimental Evidence and Modelling Description. J. Build. Eng. 2020, 27, 100987. [Google Scholar] [CrossRef]
- Gaonkar, S. Madhu Impact of Different Water-Cement Ratios on Concrete Strength: A Review. World J. Adv. Res. Rev. 2021, 9, 319–328. [Google Scholar] [CrossRef]
- Yousuf, F.; Xiaosheng, W. Water to Cement Ratio Effect on Cement Paste Microstructural Development by Electrical Resistivity Measurements and Computer Illustration. Am. J. Civ. Eng. Archit. 2021, 9, 73–87. [Google Scholar] [CrossRef]
- Surana, S.; Beushausen, H.; Alexander, M. The Effect of Curing, Specimen Thickness, and Saturation on Surface Resistivity of Concrete. MATEC Web Conf. 2022, 364, 03010. [Google Scholar] [CrossRef]
- Helsel, M.A.; Montanari, L.; Spragg, R.; de la Varga, I.; Saladi, N. Correlating Durability Indicators to Resistivity and Formation Factor of Concrete Materials. Transp. Res. Rec. 2023, 2677, 488–499. [Google Scholar] [CrossRef]
- Susanto, A.; Koleva, D.A.; van Breugel, K. The Influence of Stray Current on the Maturity Level of Cement-Based Materials. In Concrete Durability: Cementitious Materials and Reinforced Concrete Properties, Behavior and Corrosion Resistance; Springer International Publishing: Cham, Switzerland, 2017; pp. 57–82. [Google Scholar] [CrossRef]
- Hosseinzadeh, M.; Mousavi, S.S.; Hosseinzadeh, A.; Dehestani, M. An Efficient Machine Learning Approach for Predicting Concrete Chloride Resistance Using a Comprehensive Dataset. Sci. Rep. 2023, 13, 15024. [Google Scholar] [CrossRef]
- Ouyang, B.; Song, Y.; Li, Y.; Wu, F.; Yu, H.; Wang, Y.; Yin, Z.; Luo, X.; Sant, G.; Bauchy, M. Using Machine Learning to Predict Concrete’s Strength: Learning from Small Datasets. Eng. Res. Express 2021, 3, 015022. [Google Scholar] [CrossRef]
- Chen, X.; Sanchez, T.; Conciatori, D.; Chaouki, H.; Sorelli, L.; Selma, B.; Chekired, M. Numerical Modeling of 2D Hygro-Thermal Transport in Unsaturated Concrete with Capillary Suction. J. Build. Eng. 2022, 45, 103640. [Google Scholar] [CrossRef]
- Fredriksson, M.; Claesson, J.; Wadsö, L. The Influence of Specimen Size and Distance to a Surface on Resistive Moisture Content Measurements in Wood. Math. Probl. Eng. 2015, 2015, 215758. [Google Scholar] [CrossRef]
- Watlet, A.; Kaufmann, O.; Gourdol, L. Temperature Correction of Electrical Resistivity Models in Time-Laspe ERT Experiments: Towards the Integration of Model Resolution. In Proceedings of the European Geosciences Union General Assembly 2025 (EGU25), Vienna, Austria, 27 April–2 May 2025. [Google Scholar] [CrossRef]
- Han, T.; He, H.; Fu, L.Y. New Insights into How Temperature Affects the Electrical Conductivity of Clay-Free Porous Rocks. Geophys. J. Int. 2024, 238, 313–320. [Google Scholar] [CrossRef]
- He, D. Review of Corrosion Evaluation Methods for Steel Reinforcement in Concrete. Preprints 2025, 202506.2113.v1. [Google Scholar] [CrossRef]
- Dixit, M.; Gupta, A.K. A Review of Different Assessment Methods of Corrosion of Steel Reinforcement in Concrete. Iran. J. Sci. Technol.-Trans. Civ. Eng. 2022, 46, 735–752. [Google Scholar] [CrossRef]
Disclaimer/Publisher’s Note: The statements, opinions and data contained in all publications are solely those of the individual author(s) and contributor(s) and not of MDPI and/or the editor(s). MDPI and/or the editor(s) disclaim responsibility for any injury to people or property resulting from any ideas, methods, instructions or products referred to in the content. |
© 2026 by the authors. Licensee MDPI, Basel, Switzerland. This article is an open access article distributed under the terms and conditions of the Creative Commons Attribution (CC BY) license.






