Seasonal Dynamics of Chlorophyll Fluorescence in the Evergreen Peumus boldus and the Semideciduous Colliguaja odorifera Under Field Conditions
Abstract
1. Introduction
2. Results
2.1. Microclimatic Conditions at the Study Site
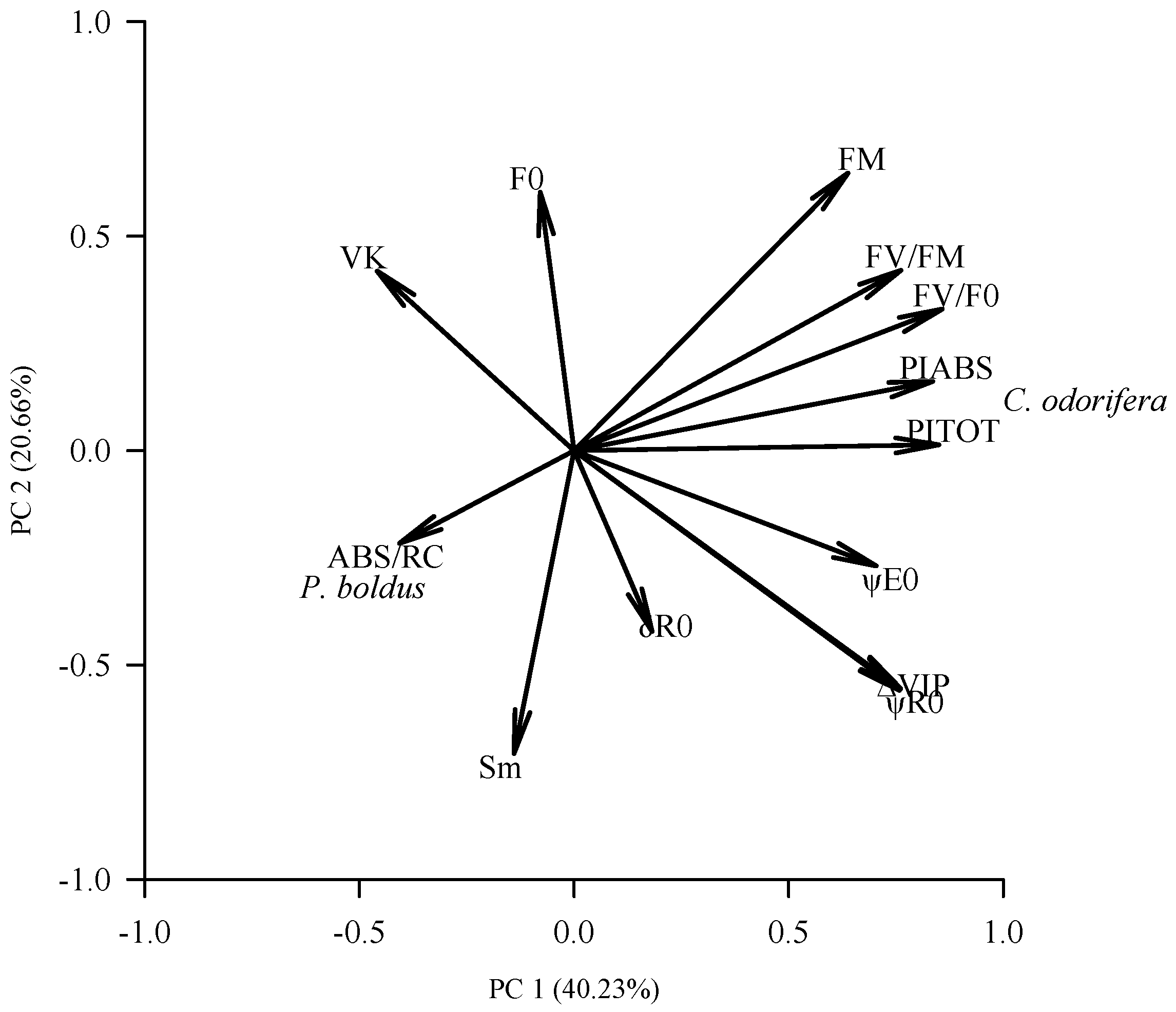
2.2. Relationships Among Variables and Species
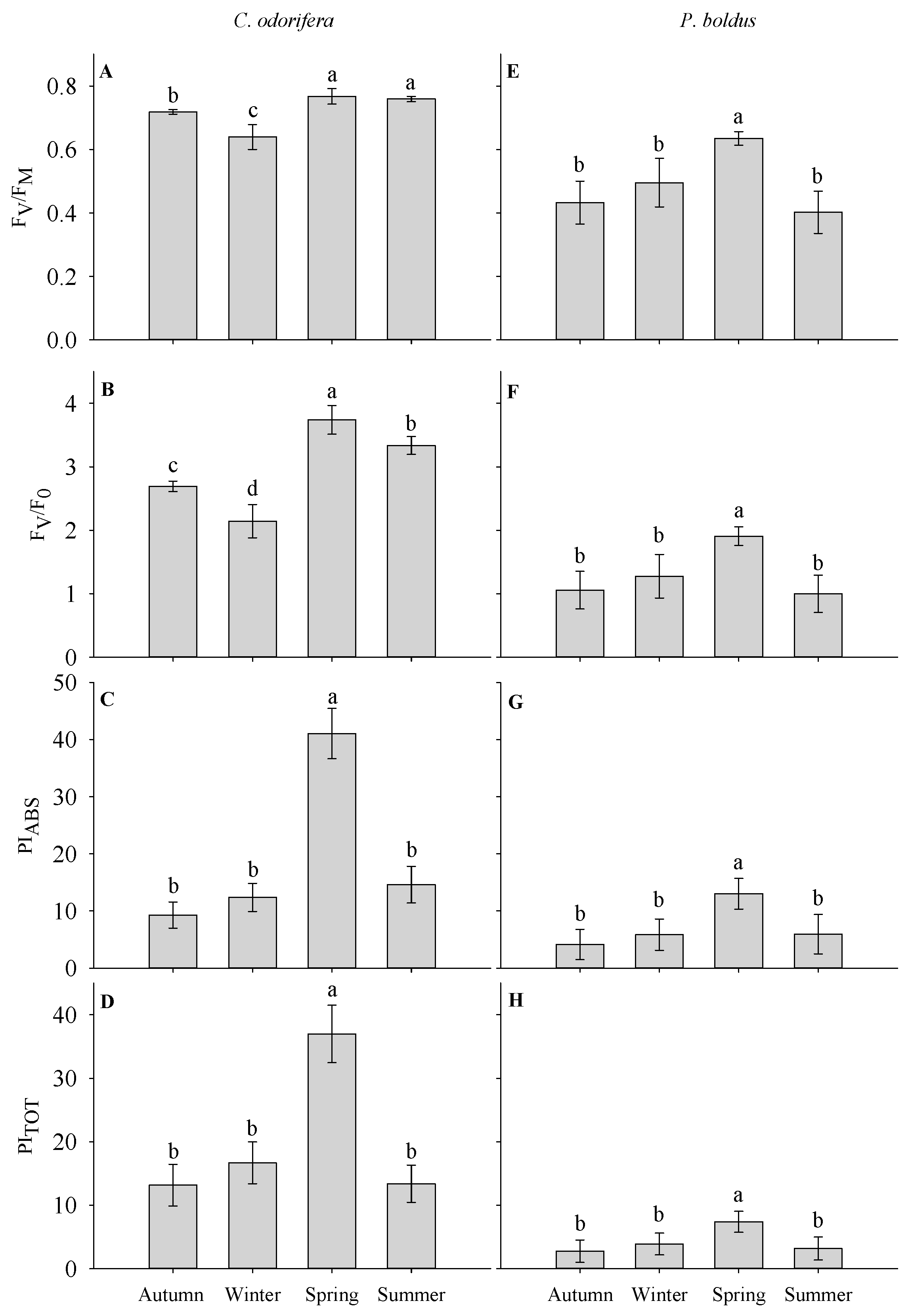
2.3. Seasonal Variations in Chlorophyll Fluorescence Associated with the Species
3. Discussion
4. Materials and Methods
4.1. Characteristics of the Study Site and Plant Material
4.2. Seasonal Variations in Chlorophyll Fluorescence
4.3. Data Analyses
5. Conclusions
Author Contributions
Funding
Data Availability Statement
Acknowledgments
Conflicts of Interest
Abbreviations
| F0 | Minimal fluorescence from a dark-adapted leaf |
| FM | Maximal fluorescence from a dark-adapted leaf |
| FV | Maximal variable fluorescence from a dark-adapted leaf |
| FV/FM | Maximum quantum yield of primary PSII photochemistry |
| FV/F0 | Ratio between variable and minimal fluorescence |
| O step | Origin fluorescence value at 20 µs |
| K step | Fluorescence value at 0.3 ms |
| J step | Fluorescence value at 2 ms |
| I step | Fluorescence value at 30 ms |
| P step | Maximum fluorescence or FM |
| Sm | Normalized area above the curve from F0 to FM |
| ABS/RC | Effective antenna size of an active reaction center (RC) |
| PIABS | Performance index for energy conservation from photons absorbed by PSII to the reduction of intersystem electron acceptors |
| PITOT | Performance index for energy conservation from photons absorbed by PSII antenna to the reduction of PSI acceptors. |
| ψE0 | Probability that the energy of a trapped excitation is used for electron transport beyond QA |
| ψR0 | Quantum yield for reduction in the end electron acceptors at the PSI acceptor side |
| δR0 | Efficiency with which an electron from the intersystem electron carriers is transferred to reduce end electron acceptors at the PSI acceptor side |
| VK | Relative fluorescence at the K-step |
| ΔVIP | Relative contribution of electron flow to the PSI end acceptors (i.e., ferredoxin and NADPH) |
References
- Sepulveda, M.; Bown, H.E.; Fernandez, L.B. Stomatal conductance responses of Acacia caven to seasonal patterns of water availability at different soil depths in a Mediterranean Savanna. Water 2018, 10, 1534. [Google Scholar] [CrossRef]
- Armesto, J.J.; Arroyo, M.T.K.; Hinojosa, F.L. In The Physical Geography of South America; Veblen, T.T., Young, K.R., Orme, A.R., Eds.; The Mediterranean environment of central PM Chile. Oxford University Press: Oxford, UK, 2007; pp. 184–199. [Google Scholar]
- Cueto, D.A.; Alaniz, A.J.; Hidalgo-Corrotea, C.; Vergara, P.M.; Carvajal, M.A.; Barrios-Saravia, A. Chilean Mediterranean forest on the verge of collapse? Evidence from a comprehensive risk analysis. Sci. Total Environ. 2025, 964, 178557. [Google Scholar] [CrossRef]
- Smith-Ramirez, C.; Grez, A.; Galleguillos, M.; Cerda, C.; Ocampo-Melgar, A.; Miranda, M.D.; Muñoz, A.A.; Rendón-Funes, A.; Díaz, I.; Cifuentes, C.; et al. Ecosystem services of Chilean sclerophyllous forests and shrublands on the verge of collapse: A review. J. Arid Environ. 2023, 211, 104927. [Google Scholar] [CrossRef]
- Espinoza, S.; Magni, C.; Yáñez, M.; Toro, N.; Martínez-Herrera, E. Foliar Traits Drive Chlorophyll Fluorescence Variability in Chilean Sclerophyllous Species Under Early Outplanting Stress. Plants 2025, 14, 2682. [Google Scholar] [CrossRef]
- Montenegro, G.; Riveros De La Puente, F. Comparison of differential environmental responses of Colliguaya odorifera. Flora 1977, 166, 125–135. [Google Scholar] [CrossRef]
- Ehleringer, J.R.; Comstock, J.P. In The California chaparral: Paradigms re-examined; Keeley, S.C., Ed.; Stress tolerance and adaptive variation in leaf absorptance and leaf angle. Natural History Museum of Los Angeles County Science Series: Los Angeles, CA, USA, 1989; pp. 21–24. [Google Scholar]
- Armesto, J.J.; Martίnez, J.A. Relations between vegetation structure and slope aspect in the mediterranean region of Chile. J. Ecol. 1978, 66, 881–889. [Google Scholar] [CrossRef]
- Cabello, A.; Donoso, C. In Las Especies Arbóreas de los Bosques Templados de Chile y Argentina. Autoecología; Donoso, C., Ed.; Peumus boldus (Molina) Johnston. Boldo, Folo. Familia: Monimiaceae. Marisa Cuneo Ediciones: Valdivia, Chile, 2013; pp. 510–515. [Google Scholar]
- O’Toole, J.C.; Cruz, R.T. Leaf rolling and transpiration. Plant Sci. Lett. 1979, 16, 111–114. [Google Scholar] [CrossRef]
- Doll, U.; Aedo, D.; Lopez, P. Caracterización morfológica de tres procedencias de boldo (Peumus boldus) en una plantación joven de 6 años. Bosque 2005, 26, 45–54. [Google Scholar] [CrossRef]
- Mooney, H.A.; Dunn, E.L. Photosynthetic systems of Mediterranean-climate shrubs and trees of California and Chile. Am. Nat. 1970, 104, 447–453. [Google Scholar] [CrossRef]
- Armesto, J.J.; Gutierrez, J. El efecto del fuego en la estructura de la vegetación de Chile central. An. Mus. Hist. Nat. Valpso 1978, 11, 43–48. [Google Scholar]
- Falster, D.S.; Westoby, M. Leaf size and angle vary widely across species: What consequences for light interception? New Phytol. 2003, 158, 509–525. [Google Scholar] [CrossRef]
- Larcher, W. Temperature stress and survival ability of Mediterranean sclerophyllous plants. Plant Biosys. 2000, 134, 279–295. [Google Scholar] [CrossRef]
- Karavatas, S.; Manetas, Y. Seasonal patterns of photosystem 2 photochemical efficiency in evergreen sclerophylls and drought semi-deciduous shrubs under Mediterranean field conditions. Photosynthetica 1999, 36, 41–49. [Google Scholar] [CrossRef]
- Źróbek-Sokolnik, A. In Environmental Adaptations and Stress Tolerance of Plants in the Era of Climate Change; Ahmad, P., Prasad, M., Eds.; Temperature Stress and Responses of Plants. Springer: New York, NY, USA, 2012; pp. 113–134. [Google Scholar]
- Matesanz, S.; Valladares, F. Ecological and evolutionary responses of Mediterranean plants to global change. Environ. Exp. Bot. 2014, 103, 53–67. [Google Scholar] [CrossRef]
- Bannister, J.R.; Vargas-Gaete, R.; Ovalle, J.F.; Acevedo, M.; Fuentes-Ramirez, A.; Donoso, P.J.; Promis, A.; Smith-Ramírez, C. Major bottlenecks for the restoration of natural forests in Chile. Restor. Ecol. 2018, 26, 1039–1044. [Google Scholar] [CrossRef]
- Swoczyna, T.; Kalaji, H.M.; Bussotti, F.; Mojski, J.; Pollastrini, M. Environmental stress- what can we learn from chlorophyll a fluorescence analysis in woody plants? A review. Front. Plant Sci. 2022, 13, 1048582. [Google Scholar] [CrossRef]
- Stirbet, A.; Lazár, D.; Kromdijk, J.; Govindjee. Chlorophyll a fluorescence induction: Can just a one-second measurement be used to quantify abiotic stress responses? Photosynthetica 2018, 56, 86–104. [Google Scholar] [CrossRef]
- Kalaji, H.M.; Schansker, G.; Ladle, R.J.; Goltsev, V.; Bosa, K.; Allakhverdiev, S.I.; Brestic, M.; Bussotti, F.; Calatayud, A.; Dabrowski, P.; et al. Frequently asked questions about in vivo chlorophyll fluorescence: Practical issues. Photosynth. Res. 2014, 122, 121–158. [Google Scholar] [CrossRef] [PubMed]
- Kalaji, H.M.; Carpentier, R.; Allakhverdiev, S.I.; Bosa, K. Fluorescence parameters as early indicators of light stress in barley. J. Photochem. Photobiol. 2012, 112, 1–6. [Google Scholar] [CrossRef]
- Ceacero, C.J.; Díaz-Hernández, J.L.; del Campo, A.D.; Navarro-Cerrillo, R.M. Evaluación temprana de técnicas de restauración forestal mediante fluorescencia de la clorofila y diagnóstico de vitalidad de brinzales de encina (Quercus ilex sub. ballota). Bosque 2012, 33, 191–202. [Google Scholar] [CrossRef]
- Björkman, O.; Demmig, B. Photon yield of O2 evolution and chlorophyll fluorescence characteristics at 77K among vascular plants of diverse origins. Planta 1987, 170, 89–504. [Google Scholar] [CrossRef]
- Adams, W.W., III; Demmig-Adams, B.; Verhoeven, A.S.; Barker, D.H. ‘Photoinhibition’ during winter stress: Involvement of sustained xanthophyll cycle-dependent energy dissipation. Aust. J. Plant. Physiol. 1994, 22, 261–276. [Google Scholar] [CrossRef]
- Tsimilli-Michael, M. Revisiting JIP-test: An educative review on concepts, assumptions, approximations, definitions and terminology. Photosynthetica 2020, 58, 275–292. [Google Scholar] [CrossRef]
- Park, Y.-I.; Chow, W.S.; Anderson, J.M. Light inactivation of functional photosystem II in leaves of peas grown in moderate light depends on photon exposure. Planta 1995, 196, 401–411. [Google Scholar] [CrossRef]
- Baroli, I.; Melis, A. Photoinhibition and repair in Dunaliella salina acclimated to different growth irradiances. Planta 1996, 198, 640–646. [Google Scholar] [CrossRef]
- Strasser, R.J.; Tsimilli-Michael, M.; Srivastava, A. In Chlorophyll a Fluorescence: A Signature of Photosynthesis. Advances in Photosynthesis and Respiration; Papageorgiou, G.C., Govindjee, Eds.; Analysis of the chlorophyll a fluorescence transient. Springer: Dordrecht, The Netherlands, 2004; pp. 321–362. [Google Scholar]
- Strasser, R.J.; Srivastava, A.; Tsimilli-Michael, M. In Probing Photosynthesis: Mechanisms, Regulation and Adaptation; Yunus, M., Pathre, U., Mohanty, P., Eds.; The fluorescence transient as a tool to characterize and screen photosynthetic samples. Taylor & Francis: London, UK, 2000; pp. 445–483. [Google Scholar]
- Strasser, R.J.; Tsimilli-Michael, M.; Qiang, S. Simultaneous in vivo recording of prompt and delayed fluorescence and 820-nm reflection changes during drying and after rehydration of the resurrection plant Haberlea rhodopensis. Biochim. Biophys. Acta 2010, 1797, 1313–1326. [Google Scholar] [CrossRef] [PubMed]
- Mitrakos, K. A theory for Mediterranean plant life. Acta Oecol. 1980, 1, 245–252. [Google Scholar]
- Larcher, W. In Components of Productivity of Mediterranean-Climate Regions. Basic and Applied Aspects; Margaris, N.S., Mooney, H.A., Eds.; Low temperature effects on Mediterranean sclerophylls: An unconventional viewpoint. Dr W Junk Publ.: The Hague, The Netherlands; Boston, MA, USA; London, UK, 1981; pp. 259–265. [Google Scholar]
- García-Plazaola, J.I.; Faria, T.; Abadía, A.; Chaves, M.M.; Pereira, J.S. Seasonal changes in xanthophyll composition and photosynthesis of cork oak (Quercus suber L.) leaves under Mediterranean climate. J. Exp. Bot. 1997, 48, 1667–1674. [Google Scholar] [CrossRef]
- Guissé, B.; Srivastava, A.; Strasser, R.J. The polyphasic rise of the chlorophyll a fluorescence (OKJIP) in heat-stressed leaves. Archs. Sci. Genève 1995, 48, 147–160. [Google Scholar]
- Yáñez, M.A.; Espinoza, S.E.; Magni, C.R.; Martinez-Herrera, E. Early Growth and Physiological Acclimation to Shade and Water Restriction of Seven Sclerophyllous Species of the Mediterranean Forests of Central Chile. Plants 2024, 13, 2410. [Google Scholar] [CrossRef]
- Santibáñez, F. Atlas agroclimático de Chile. Estado actual y tendencias del clima. Tomo III: Regiones de Valparaíso, Metropolitana, O’Higgins y Maule; Universidad de Chile, Facultad de Ciencias Agronómicas: Santiago, Chile, 2017. [Google Scholar]
- CIREN. Estudio agrológico Región del Maule: Descripción de Suelos Materiales y Símbolos, Sobre ortoimágenes a Escala de Salida 1: 10.000. 2012, (Pub. CIREN N° 178/2012); Centro de Información de Recursos Naturales: Providencia, Santiago, 2012. [Google Scholar]




| Parameter | Effect | ||
|---|---|---|---|
| Species | Season | Species × Season | |
| VK | 0.4 ns | 0.9 ns | 1.4 ns |
| ABS/RC | 7.5 ** | 1.1 ns | 0.4 ns |
| F0 | 22.3 ** | 3.1 * | 0.2 ns |
| FM | 2.8 ns | 8.7 ** | 0.3 ns |
| FV/FM | 55.1 ** | 4.3 ** | 3.2 * |
| FV/F0 | 97.7 ** | 8.5 ** | 3.1 * |
| ΔVIP | 54.6 ** | 1.6 ns | 0.6 ns |
| δR0 | 42.3 ** | 7.7 ** | 1.9 ns |
| Sm | 0.6 ns | 6.2 ** | 0.3 ns |
| ψE0 | 5.0 * | 3.3 * | 1.8 ns |
| ψR0 | 52.0 ** | 1.7 ns | 0.5 ns |
| PIABS | 29.9 ** | 18.1 ** | 6.0 ** |
| PITOT | 53.7 ** | 10.2 ** | 4.8 ** |
| Technical fluorescence parameters | |
| F0 | Minimal fluorescence from a dark-adapted leaf |
| FM | Maximal fluorescence from a dark-adapted leaf |
| FV | Maximal variable fluorescence from a dark-adapted leaf |
| FV/FM | Maximum quantum yield of primary PSII photochemistry |
| FV/F0 | Ratio between variable and minimal fluorescence |
| O step | Origin fluorescence value at 20 µs |
| K step | Fluorescence value at 0.3 ms |
| J step | Fluorescence value at 2 ms |
| I step | Fluorescence value at 30 ms |
| P step | Maximum fluorescence or FM |
| JIP-test derived parameters | |
| Sm | Normalized area above the curve from F0 to FM |
| ABS/RC | Effective antenna size of an active reaction center (RC) |
| PIABS | Performance index for energy conservation from photons absorbed by PSII to the reduction of intersystem electron acceptors |
| PITOT | Performance index for energy conservation from photons absorbed by PSII antenna to the reduction of PSI acceptors. |
| ψE0 | Probability that the energy of a trapped excitation is used for electron transport beyond QA |
| ψR0 | Quantum yield for reduction in the end electron acceptors at the PSI acceptor side |
| δR0 | Efficiency with which an electron from the intersystem electron carriers is transferred to reduce end electron acceptors at the PSI acceptor side |
| VK | Relative fluorescence at the K-step |
| ΔVIP | Relative contribution of electron flow to the PSI end acceptors (i.e., ferredoxin and NADPH) |
Disclaimer/Publisher’s Note: The statements, opinions and data contained in all publications are solely those of the individual author(s) and contributor(s) and not of MDPI and/or the editor(s). MDPI and/or the editor(s) disclaim responsibility for any injury to people or property resulting from any ideas, methods, instructions or products referred to in the content. |
© 2026 by the authors. Licensee MDPI, Basel, Switzerland. This article is an open access article distributed under the terms and conditions of the Creative Commons Attribution (CC BY) license.
Share and Cite
Espinoza, S.; Yáñez, M.; Martínez-Herrera, E.; Magni, C. Seasonal Dynamics of Chlorophyll Fluorescence in the Evergreen Peumus boldus and the Semideciduous Colliguaja odorifera Under Field Conditions. Plants 2026, 15, 276. https://doi.org/10.3390/plants15020276
Espinoza S, Yáñez M, Martínez-Herrera E, Magni C. Seasonal Dynamics of Chlorophyll Fluorescence in the Evergreen Peumus boldus and the Semideciduous Colliguaja odorifera Under Field Conditions. Plants. 2026; 15(2):276. https://doi.org/10.3390/plants15020276
Chicago/Turabian StyleEspinoza, Sergio, Marco Yáñez, Eduardo Martínez-Herrera, and Carlos Magni. 2026. "Seasonal Dynamics of Chlorophyll Fluorescence in the Evergreen Peumus boldus and the Semideciduous Colliguaja odorifera Under Field Conditions" Plants 15, no. 2: 276. https://doi.org/10.3390/plants15020276
APA StyleEspinoza, S., Yáñez, M., Martínez-Herrera, E., & Magni, C. (2026). Seasonal Dynamics of Chlorophyll Fluorescence in the Evergreen Peumus boldus and the Semideciduous Colliguaja odorifera Under Field Conditions. Plants, 15(2), 276. https://doi.org/10.3390/plants15020276

