Effect of Popping and Steam Cooking on Total Ferulic Acid, Phenolic and Flavonoid Contents, and Antioxidant Properties of Sukhothai Fragrant Black Rice
Abstract
1. Introduction
2. Materials and Methods
2.1. Chemicals and Reagents
2.2. Black Rice Samples
2.2.1. Raw Rice
2.2.2. Popping/Puffing Rice
2.2.3. Cooked Rice
2.3. Preparation of Rice Extracts
2.3.1. Water Extraction
2.3.2. Ethanolic Extraction
2.4. Chemical Composition Analysis
2.4.1. Total Phenolic Content (TPC)
2.4.2. Total Flavonoid Content (TFC)
2.5. HPLC-DAD Analysis of Total Trans-Ferulic Acid
2.6. HPLC-DAD Analysis of Total γ-Oryzanol
2.7. HPLC-ESI-MS Analysis of Anthocyanins
2.8. Analysis of Antioxidant Activity
2.8.1. ABTS Method
2.8.2. DPPH Assay
2.9. Cytotoxicity Test
2.9.1. Huh7 Cell Culture and Treatment
2.9.2. MTT-Based Cell Viability Test
2.10. Statistical Analysis
3. Results
3.1. Black Rice Preparations and Extracts
3.2. Effects of Cooking and Processing on Total Phenolic and Total Flavonoid Contents
3.3. Total Trans-Ferulic Acid Content
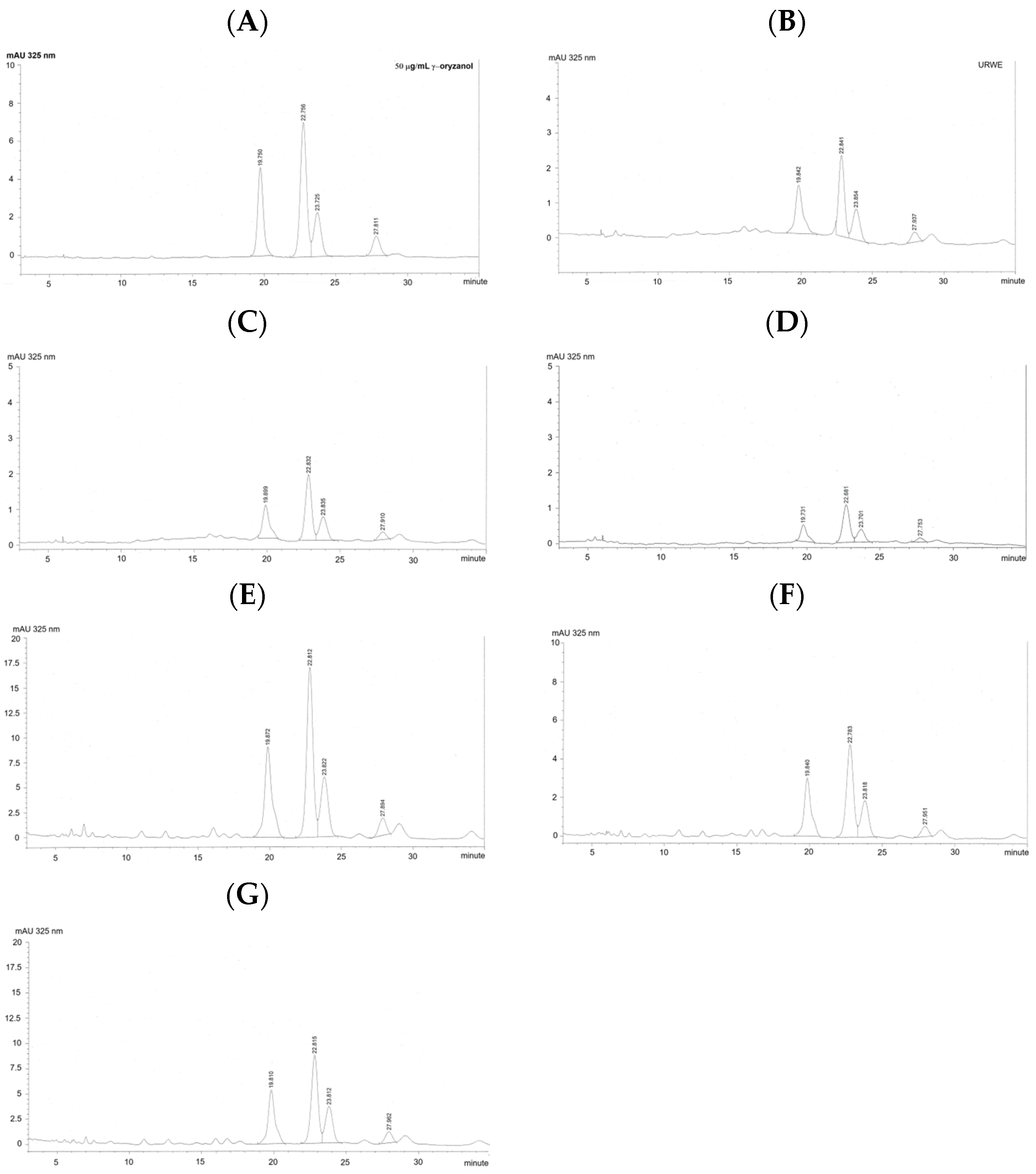
3.4. Total γ-Oryzanol Content
3.5. Total Anthocyanin Content
3.6. Antioxidant Activity
3.7. Huh7 Cell Viability
4. Discussion
5. Conclusions
Author Contributions
Funding
Institutional Review Board Statement
Informed Consent Statement
Data Availability Statement
Acknowledgments
Conflicts of Interest
Abbreviations
| ABTS | 2,2′-Azino-bis(3-ethylbenzothiazoline-6-sulfonic acid) |
| CREE | Cooked Rice Ethanolic Extract |
| CRWE | Cooked Rice Water Extract |
| DI | Deionized Water |
| DMEM | Dulbecco’s Modified Eagle Medium |
| DMSO | Dimethyl Sulfoxide |
| DPPH | 2,2-Diphenyl-1-picrylhydrazyl |
| FA | Ferulic Acid |
| GA | Gallic Acid |
| GAE | Gallic Acid Equivalent |
| HPLC | High-Performance Liquid Chromatography |
| HPLC-DAD | High-Performance Liquid Chromatography with Diode Array Detector |
| IC50 | Half-Maximal Inhibitory Concentration |
| MTT | 3-(4,5-Dimethylthiazol-2-yl)-2,5-diphenyltetrazolium Bromide |
| OD | Optical Density |
| PRWE | Popped Rice Water Extract |
| PREE | Popped Rice Ethanolic Extract |
| PTFE | Polytetrafluoroethylene |
| Q | Quercetin |
| QE | Quercetin Equivalent |
| TE | Trolox equivalent |
| TFC | Total Flavonoid Content |
| TPC | Total Phenolic Content |
| URWE | Unprocessed Rice Water Extract |
| UREE | Unprocessed Rice Ethanolic Extract |
| UV–Vis | Ultraviolet–Visible Spectrophotometer |
References
- Deng, G.F.; Xu, X.R.; Zhang, Y.; Li, D.; Gan, R.Y.; Li, H.B. Phenolic compounds and bioactivities of pigmented rice. Crit. Rev. Food Sci. Nutr. 2013, 53, 296–306. [Google Scholar] [CrossRef] [PubMed]
- Ito, V.C.; Lacerda, L.G. Black rice (Oryza sativa L.): A review of its historical aspects, chemical composition, nutritional and functional properties, and applications and processing technologies. Food Chem. 2019, 301, 125304. [Google Scholar] [CrossRef]
- Goufo, P.; Trindade, H. Rice antioxidants: Phenolic acids, flavonoids, anthocyanins, proanthocyanidins, tocopherols, tocotrienols, gamma-oryzanol, and phytic acid. Food Sci. Nutr. 2014, 2, 75–104. [Google Scholar] [CrossRef] [PubMed]
- Huang, Y.P.; Lai, H.M. Bioactive compounds and antioxidative activity of colored rice bran. J. Food Drug Anal. 2016, 24, 564–574. [Google Scholar] [CrossRef]
- Limtrakul, P.; Yodkeeree, S.; Pitchakarn, P.; Punfa, W. Suppression of inflammatory responses by black rice extract in RAW 264.7 macrophage cells via downregulation of NF-kB and AP-1 signaling pathways. Asian Pac. J. Cancer Prev. 2015, 16, 4277–4283. [Google Scholar] [CrossRef]
- Bhawamai, S.; Lin, S.H.; Hou, Y.Y.; Chen, Y.H. Thermal cooking changes the profile of phenolic compounds, but does not attenuate the anti-inflammatory activities of black rice. Food Nutr. Res. 2016, 60, 32941. [Google Scholar] [CrossRef]
- Gong, E.S.; Liu, C.; Li, B.; Zhou, W.; Chen, H.; Li, T.; Wu, J.; Zeng, Z.; Wang, Y.; Si, X.; et al. Phytochemical profiles of rice and their cellular antioxidant activity against ABAP induced oxidative stress in human hepatocellular carcinoma HepG2 cells. Food Chem. 2020, 318, 126484. [Google Scholar] [CrossRef]
- Thepthanee, C.; Liu, C.C.; Yu, H.S.; Huang, H.S.; Yen, C.H.; Li, Y.H.; Lee, M.R.; Liaw, E.T. Evaluation of phytochemical contents and in vitro antioxidant, anti-inflammatory, and anticancer activities of black rice Llaf (Oryza sativa L.) extract and its fractions. Foods 2021, 10, 2987. [Google Scholar] [CrossRef]
- Mingyai, S.; Srikaeo, K.; Kettawan, A.; Singanusong, R.; Nakagawa, K.; Kimura, F.; Ito, J. Effects of extraction methods on phytochemicals of rice bran oils produced from colored rice. J. Oleo Sci. 2018, 67, 135–142. [Google Scholar] [CrossRef] [PubMed]
- Ti, H.; Zhang, R.; Zhang, M.; Li, Q.; Wei, Z.; Zhang, Y.; Tang, X.; Deng, Y.; Liu, L.; Ma, Y. Dynamic changes in the free and bound phenolic compounds and antioxidant activity of brown rice at different germination stages. Food Chem. 2014, 161, 337–344. [Google Scholar] [CrossRef]
- Kato, Y.; Yamanouchi, H.; Hinata, K.; Ohsumi, C.; Hayashi, T. Involvement of phenolic esters in cell aggregation of suspension-cultured rice cells. Plant Physiol. 1994, 104, 147–152. [Google Scholar] [CrossRef][Green Version]
- Wu, J.; Collins, S.R.A.; Elliston, A.; Wellner, N.; Dicks, J.; Roberts, I.N.; Waldron, K.W. Release of cell wall phenolic esters during hydrothermal pretreatment of rice husk and rice straw. Biotechnol. Biofuels 2018, 11, 162. [Google Scholar] [CrossRef]
- Tavanandi, H.A.; Das, A.K.; Venkateshmurthy, K.; Raghavarao, K. Design and development of a machine for continuous popping and puffing of grains. J. Food Sci. Technol. 2021, 58, 1703–1714. [Google Scholar] [CrossRef] [PubMed]
- Phimphilai, K. Innovative Approaches to Enhance the Value of Locally Distinctive Rice and Grains; Building Commodity Enterprise Platform (BCE); Ministry of Higher Education, Science, Research and Innovation: Bangkok, Thailand, 2020; pp. 1–62. [Google Scholar]
- Hutachok, N.; Koonyosying, P.; Pankasemsuk, T.; Angkasith, P.; Chumpun, C.; Fucharoen, S.; Srichairatanakool, S. Chemical analysis, toxicity study, and free-radical scavenging and iron-binding assays involving coffee (Coffea arabica) extracts. Molecules 2021, 26, 4169. [Google Scholar] [CrossRef]
- Ainsworth, E.A.; Gillespie, K.M. Estimation of total phenolic content and other oxidation substrates in plant tissues using Folin–Ciocalteu reagent. Nat. Protoc. 2007, 2, 875–877. [Google Scholar] [CrossRef] [PubMed]
- Petry, R.D.; Ortega, G.G.; Silva, W.B. Flavonoid content assay: Influence of the reagent concentration and reaction time on the spectrophotometric behavior of the aluminium chloride--flavonoid complex. Pharmazie 2001, 56, 465–470. [Google Scholar]
- Banchuen, J.; Thammarutwasik, P.; Ooraikul, B.; Wuttijumnong, P.; Sivongpaisal, P. Increasing the bioactive compounds contents by optimizing the germination conditions of southern Thai brown rice. Songklanakarin J. Sci. Technol. 2010, 32, 219–230. [Google Scholar]
- Watanabe, M.; Yoshida, E.; Fukada, H.; Inoue, H.; Tokura, M.; Ishikawa, K. Characterization of a feruloyl esterase B from Talaromyces cellulolyticus. Biosci. Biotechnol. Biochem. 2015, 79, 1845–1851. [Google Scholar] [CrossRef]
- Yoshie, A.; Kanda, A.; Nakamura, T.; Igusa, H.; Hara, S. Comparison of gamma-oryzanol contents in crude rice bran oils from different sources by various determination methods. J. Oleo Sci. 2009, 58, 511–518. [Google Scholar] [CrossRef] [PubMed]
- Singh, S.; Kothari, C.; Patel, M.; Panchal, S. Novel bio-analytical technique for estimation of gamma oryzanol in rat plasma and brain homogenate using HPLC. Ann. Pharm. Fr. 2020, 78, 515–524. [Google Scholar] [CrossRef] [PubMed]
- Hutachok, N.; Angkasith, P.; Chumpun, C.; Fucharoen, S.; Mackie, I.J.; Porter, J.B.; Srichairatanakool, S. Anti-platelet aggregation and anti-cyclooxygenase activities for a range of coffee extracts (Coffea arabica). Molecules 2020, 26, 10. [Google Scholar] [CrossRef]
- Cuyckens, F.; Claeys, M. Optimization of a liquid chromatography method based on simultaneous electrospray ionization mass spectrometric and ultraviolet photodiode array detection for analysis of flavonoid glycosides. Rapid Commun. Mass. Spectrom. 2002, 16, 2341–2348. [Google Scholar] [CrossRef]
- Benkhaira, N.; Saad, I.; Fikri Benbrahim, K. In vitro methods to study antioxidant and some biological activities of essential oils: A Review. Biointerface Res. Appl. Chem. 2021, 12, 3332–3347. [Google Scholar] [CrossRef]
- Chuljerm, H.; Paradee, N.; Katekaew, D.; Nantachai, P.; Settakorn, K.; Srichairatanakool, S.; Koonyosying, P. Iron chelation property, antioxidant activity, and hepatoprotective effect of 6-gingerol-rich ginger (Zingiber officinale) extract in iron-loaded Huh7 cells. Plants 2023, 12, 2936. [Google Scholar] [CrossRef]
- Paradee, N.; Yimcharoen, T.; Utama-Ang, N.; Settakorn, K.; Chuljerm, H.; Srichairatanakool, S.; Koonyosying, P. Phytochemical analysis and anti-lipid accumulation effects of pulsed electric field (PEF)-processed black rice and green tea extracts in oleic acid-induced hepatocytes. Food Sci. Nutr. 2025, 13, e70329. [Google Scholar] [CrossRef]
- Abdel-Aal, E.M.; Hucl, P.; Rabalski, I. Compositional and antioxidant properties of anthocyanin-rich products prepared from purple wheat. Food Chem. 2018, 254, 13–19. [Google Scholar] [CrossRef]
- Xu, X.; Hu, W.; Zhou, S.; Tu, C.; Xia, X.; Zhang, J.; Dong, M. Increased phenolic content and enhanced antioxidant activity in fermented glutinous rice supplemented with Fu Brick Tea. Molecules 2019, 24, 671. [Google Scholar] [CrossRef]
- Coco, M.G., Jr.; Vinson, J.A. Analysis of popcorn (Zea mays L. var. everta) for antioxidant capacity and total phenolic content. Antioxidants 2019, 8, 22. [Google Scholar] [CrossRef]
- Chandrasekara, A.; Shahidi, F. Content of insoluble bound phenolics in millets and their contribution to antioxidant capacity. J. Agric. Food Chem. 2010, 58, 6706–6714. [Google Scholar] [CrossRef] [PubMed]
- Wu, H.; Nakamura, T.; Guo, Y.; Hirooka, M.; Zhang, G.; Munemasa, S.; Murata, Y.; Fujita, A.; Nakamura, Y. White rice ethanol extract is qualitatively, but not quantitatively, equivalent to that of brown rice as an antioxidant source. Biosci. Biotechnol. Biochem. 2021, 85, 2161–2168. [Google Scholar] [CrossRef]
- Sablani, S.S.; Andrews, P.K.; Davies, N.M.; Walters, T.; Saez, H.; Syamaladevi, R.M.; Mohekar, P.R. Effect of thermal treatments on phytochemicals in conventionally and organically grown berries. J. Sci. Food Agric. 2010, 90, 769–778. [Google Scholar] [CrossRef] [PubMed]
- Palermo, M.; Pellegrini, N.; Fogliano, V. The effect of cooking on the phytochemical content of vegetables. J. Sci. Food Agric. 2014, 94, 1057–1070. [Google Scholar] [CrossRef]
- Engelhardt, L.; Pohnl, T.; Alhussein, M.; John, M.; Neugart, S. Changes in bioactive compounds and antioxidant activity of three Amaranthus L. genotypes from a model to household processing. Food Chem. 2023, 429, 136891. [Google Scholar] [CrossRef] [PubMed]
- Yamuangmorn, S.; Dell, B.; Rerkasem, B.; Prom, U.T.C. Applying nitrogen fertilizer increased anthocyanin in vegetative shoots but not in grain of purple rice genotypes. J. Sci. Food Agric. 2018, 98, 4527–4532. [Google Scholar] [CrossRef] [PubMed]
- Choudhury, P.; Dutta, K.N.; Singh, A.; Malakar, D.; Pillai, M.; Talukdar, N.C.; Samanta, S.K.; Devi, R. Assessment of nutritional value and quantitative analysis of bioactive phytochemicals through targeted LC-MS/MS method in selected scented and pigmented rice varietals. J. Food Sci. 2020, 85, 1781–1792. [Google Scholar] [CrossRef]
- Xu, Z.; Godber, J.S. Purification and identification of components of gamma-oryzanol in rice bran Oil. J. Agric. Food Chem. 1999, 47, 2724–2728. [Google Scholar] [CrossRef]
- Bergman, C.; Pandhi, M. Organic rice production practices: Effects on grain end-use quality, healthfulness, and safety. Foods 2022, 12, 73. [Google Scholar] [CrossRef]
- Minatel, I.O.; Francisqueti, F.V.; Correa, C.R.; Lima, G.P. Antioxidant activity of gamma-oryzanol: A complex network of interactions. Int. J. Mol. Sci. 2016, 17, 1107. [Google Scholar] [CrossRef]
- Wanyo, P.; Meeso, N.; Siriamornpun, S. Effects of different treatments on the antioxidant properties and phenolic compounds of rice bran and rice husk. Food Chem. 2014, 157, 457–463. [Google Scholar] [CrossRef]
- Hu, C.; Zawistowski, J.; Ling, W.; Kitts, D.D. Black rice (Oryza sativa L. indica) pigmented fraction suppresses both reactive oxygen species and nitric oxide in chemical and biological model systems. J. Agric. Food Chem. 2003, 51, 5271–5277. [Google Scholar] [CrossRef]
- Canizares, L.; Meza, S.; Peres, B.; Rodrigues, L.; Jappe, S.N.; Coradi, P.C.; Oliveira, M. Functional foods from black rice (Oryza sativa L.): An overview of the influence of drying, storage, and processing on bioactive molecules and health-promoting effects. Foods 2024, 13, 1088. [Google Scholar] [CrossRef]
- Bae, I.Y.; An, J.S.; Oh, I.K.; Lee, H.G. Optimized preparation of anthocyanin-rich extract from black rice and its effects on in vitro digestibility. Food Sci. Biotechnol. 2017, 26, 1415–1422. [Google Scholar] [CrossRef]
- Hiemori, M.; Koh, E.; Mitchell, A.E. Influence of cooking on anthocyanins in black rice (Oryza sativa L. japonica var. SBR). J. Agric. Food Chem. 2009, 57, 1908–1914. [Google Scholar] [CrossRef] [PubMed]
- Norkaew, O.; Thitisut, P.; Mahatheeranont, S.; Pawin, B.; Sookwong, P.; Yodpitak, S.; Lungkaphin, A. Effect of wall materials on some physicochemical properties and release characteristics of encapsulated black rice anthocyanin microcapsules. Food Chem. 2019, 294, 493–502. [Google Scholar] [CrossRef] [PubMed]
- Xue, H.; Sang, Y.; Gao, Y.; Zeng, Y.; Liao, J.; Tan, J. Research progress on absorption, metabolism, and biological activities of anthocyanins in berries: A Review. Antioxidants 2022, 12, 3. [Google Scholar] [CrossRef] [PubMed]
- Zhang, M.; Bao, X.; Huang, X.; Li, H.; Li, Y.; Bao, M. Optimization of the extraction strategy for polyphenols from Pieris Japonica and evaluation of its antioxidant activity. Stud. Health Technol. Inform. 2023, 308, 11–19. [Google Scholar] [CrossRef]
- Butsat, S.; Siriamornpun, S. Phenolic acids and antioxidant activities in husk of different Thai rice varieties. Food Sci. Technol. Int. 2010, 16, 329–336. [Google Scholar] [CrossRef]
- Abdel-Aal, E.-S.M.; Hucl, P. Composition and stability of anthocyanins in blue-grained wheat. J. Agric. Food Chem. 2003, 51, 2174–2180. [Google Scholar] [CrossRef]
- Yao, F.; Gao, H.; Yin, C.M.; Shi, D.F.; Fan, X.Z. Effect of different cooking methods on the bioactive components, color, texture, microstructure, and volatiles of Shiitake mushrooms. Foods 2023, 12, 2573. [Google Scholar] [CrossRef]








| Sample | Trans-Ferulic Acid | ||
|---|---|---|---|
| PA (320 nm) | (μg/g) | (μg/g of Rice) | |
| Trans-ferulic acid (0.1 μg/mL) | 2.69 | - | - |
| URWE | 1.56 | 174.64 | 11.23 |
| PRWE | 6.45 | 69.98 | 2.24 |
| CRWE | 17.02 | 19.68 | 0.26 |
| UREE | 2.83 | 46.72 | 0.47 |
| PREE | 5.25 | 63.86 | 0.49 |
| CREE | 3.68 | 37.53 | 0.10 |
| Sample | Total γ-Oryzanol | |
|---|---|---|
| (mg/g Extract) | (μg/g Rice) | |
| Total γ-oryzanol (50 μg/mL) | - | - |
| URWE | 0.86 | 55.32 |
| PRWE | 1.16 | 37.18 |
| CRWE | 0.39 | 5.07 |
| UREE | 0.91 | 9.08 |
| PREE | 3.63 | 27.59 |
| CREE | 8.85 | 22.48 |
| Time | Anthocyanins | Sample | |||||
|---|---|---|---|---|---|---|---|
| (min) | URWE | PRWE | CRWE | UREE | PREE | CREE | |
| 28.843 | Cyanindin-3-glucoside | ||||||
| (μg/g extract) | 248.00 | 1629.05 | <0.20 | <0.20 | 226.52 | 389.31 | |
| (μg/g rice) | 15.87 | 52.13 | NA | NA | 1.72 | 0.99 | |
| 30.949 | Keracyanin-3-rutinoside | ||||||
| (μg/g extract) | 90.01 | 584.37 | <0.20 | <0.20 | 78.97 | 133.23 | |
| (μg/g rice) | 5.76 | 187.00 | NA | NA | 0.60 | 0.34 | |
| 31.999 | Callistephin glucoside | ||||||
| (μg/g extract) | 15.58 | 62.98 | <0.20 | <0.20 | 12.83 | 16.18 | |
| (μg/g rice) | 1.00 | 2.02 | NA | NA | 0.10 | 0.04 | |
| 36.768 | Peonidin glucoside | ||||||
| (μg/g extract) | 98.76 | 508.22 | <0.20 | <0.20 | 89.13 | 138.30 | |
| (μg/g rice) | 6.32 | 16.26 | NA | NA | 0.68 | 0.35 | |
| 38.090 | Malvidine-3-galactoside | ||||||
| (μg/g extract) | 87.40 | 443.09 | <0.20 | <0.20 | 74.12 | 100.98 | |
| (μg/g rice) | 5.59 | 14.18 | NA | NA | 0.56 | 0.26 | |
| Total anthocyanin glucoside | |||||||
| (μg/g extract) | 672.22 | 3377.49 | 2.59 | 2.59 | 576.85 | 758.12 | |
| (μg/g rice) | 43.22 | 108.08 | 0.03 | 0.03 | 4.38 | 1.92 | |
| Sample | IC50 Values (mg/mL) | |
|---|---|---|
| ABTS Method | DPPH Method | |
| Trolox | 0.06 ± 0.00 a | 0.07 ± 0.00 a |
| URWE | 2.81 ± 0.15 b | 2.53 ± 0.13 b |
| PRWE | 3.81 ± 0.18 b,c | 6.04 ± 0.25 c |
| CRWE | 3.66 ± 0.20 b,c | 9.16 ± 0.32 d |
| UREE | 6.56 ± 0.29 c,d | 17.35 ± 0.71 e |
| PREE | 4.22 ± 0.24 c,d | 20.47 ± 0.80 e |
| CREE | 2.97 ± 0.12 b | 45.42 ± 1.21 f |
Disclaimer/Publisher’s Note: The statements, opinions and data contained in all publications are solely those of the individual author(s) and contributor(s) and not of MDPI and/or the editor(s). MDPI and/or the editor(s) disclaim responsibility for any injury to people or property resulting from any ideas, methods, instructions or products referred to in the content. |
© 2026 by the authors. Licensee MDPI, Basel, Switzerland. This article is an open access article distributed under the terms and conditions of the Creative Commons Attribution (CC BY) license.
Share and Cite
Phimphilai, T.; Kerdto, O.; Phimphilai, K.; Srichomphoo, P.; Tipsuwan, W.; Suwanpitak, P.; Zhong, Y.; Srichairatanakool, S. Effect of Popping and Steam Cooking on Total Ferulic Acid, Phenolic and Flavonoid Contents, and Antioxidant Properties of Sukhothai Fragrant Black Rice. Foods 2026, 15, 320. https://doi.org/10.3390/foods15020320
Phimphilai T, Kerdto O, Phimphilai K, Srichomphoo P, Tipsuwan W, Suwanpitak P, Zhong Y, Srichairatanakool S. Effect of Popping and Steam Cooking on Total Ferulic Acid, Phenolic and Flavonoid Contents, and Antioxidant Properties of Sukhothai Fragrant Black Rice. Foods. 2026; 15(2):320. https://doi.org/10.3390/foods15020320
Chicago/Turabian StylePhimphilai, Thayada, Onsaya Kerdto, Kajorndaj Phimphilai, Phronpawee Srichomphoo, Wachiraporn Tipsuwan, Pornpailin Suwanpitak, Yanping Zhong, and Somdet Srichairatanakool. 2026. "Effect of Popping and Steam Cooking on Total Ferulic Acid, Phenolic and Flavonoid Contents, and Antioxidant Properties of Sukhothai Fragrant Black Rice" Foods 15, no. 2: 320. https://doi.org/10.3390/foods15020320
APA StylePhimphilai, T., Kerdto, O., Phimphilai, K., Srichomphoo, P., Tipsuwan, W., Suwanpitak, P., Zhong, Y., & Srichairatanakool, S. (2026). Effect of Popping and Steam Cooking on Total Ferulic Acid, Phenolic and Flavonoid Contents, and Antioxidant Properties of Sukhothai Fragrant Black Rice. Foods, 15(2), 320. https://doi.org/10.3390/foods15020320

