Due to scheduled maintenance work on our servers, there may be short service disruptions on this website between 11:00 and 12:00 CEST on March 28th.
Sign in to use this feature.

Years

Between: -

Subjects

remove_circle_outline
remove_circle_outline
remove_circle_outline
remove_circle_outline
remove_circle_outline
remove_circle_outline
remove_circle_outline
remove_circle_outline
remove_circle_outline

Journals

remove_circle_outline
remove_circle_outline
remove_circle_outline
remove_circle_outline
remove_circle_outline
remove_circle_outline

Article Types

Countries / Regions

remove_circle_outline
remove_circle_outline
remove_circle_outline
remove_circle_outline
remove_circle_outline

Search Results (445)

Search Parameters:
Keywords = wall jet

Order results
Result details
Results per page
Select all
Export citation of selected articles as:
15 pages, 6527 KB  
Article
Collapse Dynamics of Unequal-Sized Dual Cavitation Bubbles
by Wenrui Xue, Jihao Xie, Guanghua Wang, Daqing He, Xiaoyu Wang, Yuning Zhang, Jinsen Hu and Xu Qiu
Appl. Sci. 2026, 16(7), 3154; https://doi.org/10.3390/app16073154 - 25 Mar 2026
Abstract
In engineering flow systems such as hydraulic machinery and marine propulsion, interactions among cavitation bubbles can significantly influence collapse dynamics. This study investigates the collapse behavior of unequal-sized dual cavitation bubbles in a free field, focusing on jet formation modes, morphological evolution, and [...] Read more.
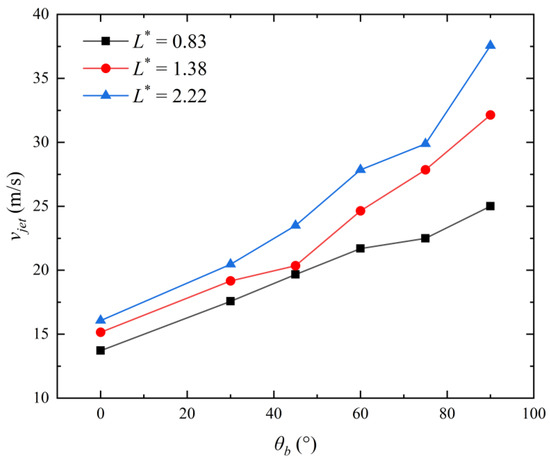
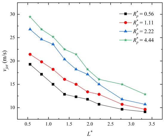
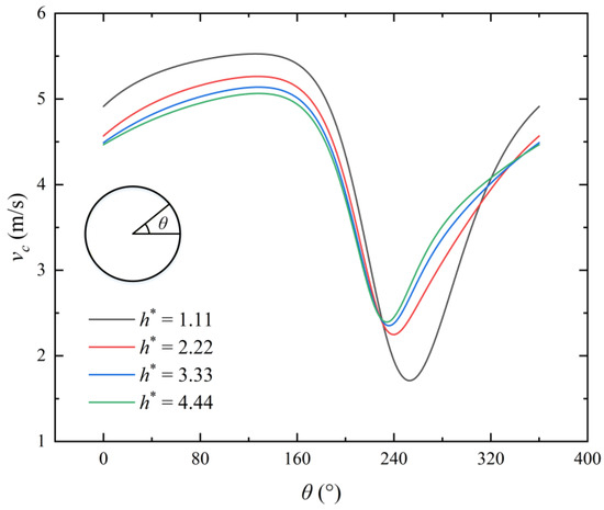
In engineering flow systems such as hydraulic machinery and marine propulsion, interactions among cavitation bubbles can significantly influence collapse dynamics. This study investigates the collapse behavior of unequal-sized dual cavitation bubbles in a free field, focusing on jet formation modes, morphological evolution, and the characteristics of the Bjerknes force and Kelvin impulse. Particular emphasis is placed on the effect of the bubble radius ratio on the collapse dynamics. The results indicate that: (1) as the radius ratio decreases, the counter-directed jets formed during the collapse of dual cavitation bubbles gradually disappear; (2) with a decreasing radius ratio, the amplitude of the bubble wall velocity first decreases and then increases; and (3) both the Bjerknes force and the Kelvin impulse decrease as the radius ratio decreases. Full article
Show Figures

Figure 1

16 pages, 11850 KB  
Article
The Study on Cavitation Bubbles and Jet Dynamics in a Droplet
by Guanghua Wang, Zhongyuan Chang, Wenrui Xue, Yufei Wang, Xiaoyu Wang, Shaowei Li and Yuning Zhang
Symmetry 2026, 18(3), 545; https://doi.org/10.3390/sym18030545 - 23 Mar 2026
Viewed by 75
Abstract
This study employs high-speed photography to investigate the collapse dynamics of laser-induced bubbles inside a pendant droplet, focusing on the effects of bubble-to-droplet radius ratio (λ) and eccentricity (ε). Additionally, a theoretical model describing the Kelvin impulse of the [...] Read more.
This study employs high-speed photography to investigate the collapse dynamics of laser-induced bubbles inside a pendant droplet, focusing on the effects of bubble-to-droplet radius ratio (λ) and eccentricity (ε). Additionally, a theoretical model describing the Kelvin impulse of the bubble is derived using the image method. Both the flow field and Kelvin impulse distributions are examined. The conclusions are given as follows: (1) Four jet patterns are identified with varying radius ratios: no jet, weak jet, strong jet, and complex jet. (2) The dominant role of radius ratio and eccentricity in the inhomogeneity and anisotropies of the velocity field is clarified. It manifests as a significant increase in the velocity difference between the bubble wall and the droplet surface along the bubble-droplet centerline. (3) Both the bubble migration velocity and Kelvin impulse intensity increase significantly with rising radius ratio and eccentricity. Larger bubbles closer to the droplet surface exhibit more intense interactions. Furthermore, the Kelvin impulse remains oriented toward the droplet center. As λ increases, the migration velocity of the bubble center can exceed 40 m/s, and the Kelvin impulse intensity can exceed 10−3 kg·m/s. Full article
(This article belongs to the Section Physics)
Show Figures

Figure 1

19 pages, 7031 KB  
Article
Numerical Investigation of Leakage Height and Protective Wall Effects on High-Pressure Hydrogen Dispersion and Jet Flames
by Xiaodong Wang, Kunqi Yang, Ying Wang, Xiaoyu Liang and Yibo Liu
Appl. Sci. 2026, 16(6), 2788; https://doi.org/10.3390/app16062788 - 13 Mar 2026
Viewed by 215
Abstract
High-pressure hydrogen leakage can induce severe fire hazards and destructive overpressures. While protective walls are commonly employed as standard safety measures, most existing studies focus on either the effect of leakage height or the presence of protective walls individually. Systematic investigations on their [...] Read more.
High-pressure hydrogen leakage can induce severe fire hazards and destructive overpressures. While protective walls are commonly employed as standard safety measures, most existing studies focus on either the effect of leakage height or the presence of protective walls individually. Systematic investigations on their combined influence remain limited, In contrast, the present study conducts a comprehensive analysis that explicitly considers the interaction between leakage height and the presence of protective walls, evaluating its subsequent effects on hydrogen dispersion, jet flame behavior and overpressure. A comprehensive investigation of this interaction is crucial for optimizing protective wall design and enhancing the safety of hydrogen facilities. Employing the Birch 1987 notional nozzle model, three-dimensional numerical simulations were performed to investigate the dispersion, jet flame morphology, and overpressure distribution of 35 MPa hydrogen leaks at varying heights. The results indicate that hydrogen jet flame reaches a peak temperature of approximately 2650 K within 1.1~1.2 m from the leakage orifice. Wall confinement promotes a broader accumulation of combustible gas clouds near the ground, thereby increasing the risk of delayed ignition. Low-altitude leaks generate near-ground jet flames, which bring the flame closer to the equipment and surrounding surface, potentially increasing local thermal exposure. Deterministic parametric analyses indicate that the installation of protective walls mitigates far-field overpressure by 76.5~89.5%. Crucially, as the leakage height approaches the wall height, the wall’s shielding effectiveness diminishes due to shock wave diffraction. These findings highlight that protective wall design must account for vertical leakage positioning to prevent localized safety failures. Full article
(This article belongs to the Section Energy Science and Technology)
Show Figures

Figure 1

14 pages, 4914 KB  
Article
Investigation of the Bubble Dynamics near a Flat Wall with a Protrusion Within Slits
by Guanghua Wang, Zhongyuan Chang, Hongchen Su, Haojie Bian, Wenrui Xue, Xiaoyu Wang, Yuning Zhang, Xu Qiu and Jinsen Hu
Appl. Sci. 2026, 16(5), 2517; https://doi.org/10.3390/app16052517 - 5 Mar 2026
Viewed by 265
Abstract
The present study employs high-speed photography and the Kelvin impulse theory to examine the bubble dynamic behaviors near a flat wall with a protrusion within slits. The theoretical model for the bubble collapse is established, and typical experimental phenomena are demonstrated. Qualitative and [...] Read more.
The present study employs high-speed photography and the Kelvin impulse theory to examine the bubble dynamic behaviors near a flat wall with a protrusion within slits. The theoretical model for the bubble collapse is established, and typical experimental phenomena are demonstrated. Qualitative and quantitative analyses are conducted on the bubble dynamic behaviors at both symmetric and asymmetric positions. The correlation between the Kelvin impulse and the bubble centroid movement is examined. The primary findings of this study are summarized as follows: (1) At the symmetrical positions, the direction of the bubble jet is vertically downward. The jet velocity diminishes as the bubble–wall distance increases. It also decreases when the protrusion radius becomes smaller. (2) At the asymmetric positions, as the height of the protrusion increases, the jet direction gradually shifts towards the protrusion. The jet velocity increases with the increasing bubble position angle and bubble–wall distance. (3) The Kelvin impulse direction aligns closely with the bubble centroid movement direction. They both decrease as the bubble–wall distance and the bubble’s position angle increase. Full article
Show Figures

Figure 1

16 pages, 6255 KB  
Article
Effect of Reinforcement Parameters on Interface Shear Performance of Thin-Walled NC Structures Strengthened with UHPC
by Chunlin Du, Dandan Chen, Jianpeng Shi, Zaiai Hu, Kun Yu, Yayi Feng and Jun Yang
Buildings 2026, 16(5), 925; https://doi.org/10.3390/buildings16050925 - 26 Feb 2026
Viewed by 259
Abstract
Thin-walled structures are widely used in long-span bridges such as truss composite arch bridges due to their excellent mechanical properties and cost-effectiveness. However, long-term service can lead to defects including interface delamination and concrete carbonation. This study aims to clarify the regulatory mechanism [...] Read more.
Thin-walled structures are widely used in long-span bridges such as truss composite arch bridges due to their excellent mechanical properties and cost-effectiveness. However, long-term service can lead to defects including interface delamination and concrete carbonation. This study aims to clarify the regulatory mechanism of bonded rebar diameter on the static direct shear performance at the interface of existing normal concrete (NC) thin-walled structures strengthened with ultra-high performance concrete (UHPC). Using mechanical cutting combined with high-pressure water jetting as the interface treatment method, three sets of shear specimens with rebar diameters of 6 mm, 8 mm, and 12 mm were designed. Through static shear tests and nonlinear finite element analysis, the influence of rebar diameter on the shear performance at the interface was systematically examined. Research findings indicated that as the diameter of embedded rebars increases, the primary failure mode at the interface transitions from interface bond failure to NC matrix failure. Furthermore, as the diameter increased from 6 mm to 12 mm, the ultimate shear strength rose from 5.75 MPa to 9.19 MPa, representing a 59.8% increase. The residual strength increased from 1.5 MPa to 3.45 MPa, representing a significant 130% improvement. The failure slip distance increased from 0.35 mm to 0.44 mm, indicating enhanced ductility. Additionally, the established finite element model can accurately predict the mechanical behavior at the interface under different planting rebar diameters, with an error margin of less than 10% compared to experimental results. The research findings provided a theoretical basis for the design of planting rebar parameters in UHPC-strengthened thin-walled concrete structures. Full article
(This article belongs to the Special Issue Engineering Disaster Prevention and Performance Improvement)
Show Figures

Figure 1

15 pages, 1849 KB  
Article
Numerical Evaluation of a Negative Pressure Ventilation System for Ammonia Emission from a Solid-Covered Manure Storage Tank
by Wenqi Zhang and Xiaoshuai Wang
Agriculture 2026, 16(4), 436; https://doi.org/10.3390/agriculture16040436 - 13 Feb 2026
Viewed by 1887
Abstract
Ammonia (NH3) emissions from temporary manure storage tanks represent a significant environmental concern in livestock production systems. While combining solid covers with negative pressure ventilation is a promising strategy to mitigate these emissions, there is currently a lack of systematic research [...] Read more.
Ammonia (NH3) emissions from temporary manure storage tanks represent a significant environmental concern in livestock production systems. While combining solid covers with negative pressure ventilation is a promising strategy to mitigate these emissions, there is currently a lack of systematic research on its design optimization and performance. This study employs Computational Fluid Dynamics (CFD) to evaluate the effectiveness of a solid-covered manure storage tank combined with negative pressure ventilation for controlling NH3 emissions. A validated CFD model was developed to simulate airflow and ammonia transport under open-field and covered conditions. The influences of tank headspace depth, slot type (top and side), and slot location on outlet ammonia concentration were investigated. Results show that headspace depth is one of the important parameters affecting ammonia transport, with deeper headspaces consistently reducing outlet NH3 concentrations. Compared with no-slot scenarios, top slots could increase ammonia emissions by inducing impinging-jet effects, whereas side slots exhibited depth-dependent impacts, reducing emissions at 1.0 and 1.6 m depths but increasing them at 0.4 m depth. All the differences in ammonia emission across the simulations can be attributed to the difference in the near-wall velocity. The findings provide useful guidance for the design and optimization of ammonia mitigation strategies in manure storage systems. Full article
Show Figures

Figure 1

20 pages, 2544 KB  
Article
Individual Pollutant Exposure and Particulate Removal Effect of an Organized Make-Up Air System with Ceiling-Mounted Openings in Residential Kitchens
by Wenzhi Cui, Zhichao Wang, Xiang Wu, Yuxiang Wang, Zhen Yu, Yingxia Yang and Huijun Zhang
Buildings 2026, 16(4), 724; https://doi.org/10.3390/buildings16040724 - 11 Feb 2026
Viewed by 232
Abstract
Mechanical ventilation achieved by range hoods and make-up air systems has been proven effective in enhancing pollutant capture efficiency, suppressing the diffusion of indoor pollutants, and thereby improving indoor air quality in residential kitchens. However, the impacts of specific make-up air strategies, particularly [...] Read more.
Mechanical ventilation achieved by range hoods and make-up air systems has been proven effective in enhancing pollutant capture efficiency, suppressing the diffusion of indoor pollutants, and thereby improving indoor air quality in residential kitchens. However, the impacts of specific make-up air strategies, particularly the air-supply distance and air-jet angle, on airflow organization and pollutant control performance remains insufficiently explored. In this study, an organized make-up air system with ceiling-mounted supply openings was investigated using computational fluid dynamics to evaluate both overall and local pollutant control effectiveness under varying air-supply distances and air-jet angles. The results indicate that, compared with the conventional window-based natural make-up air mode (i.e., relying solely on opening windows for air supplementation), the proposed system reduces indoor PM2.5 concentrations by more than 44%. Using the Technique for Order Preference by Similarity to Ideal Solution (TOPSIS) method, the optimal air-supply distance and air-jet angle were identified as 1.6 m and 60.9°, respectively, based on the layout of the studied kitchen. Under this optimal configuration, the individual intake fraction decreased by 62%, and the capture efficiency of the range hood exceeded 90%. In addition, the pollutant control performance of the make-up air system was found to be significantly influenced by kitchen layout and obstruction from furniture walls. Full article
(This article belongs to the Section Building Energy, Physics, Environment, and Systems)
Show Figures

Figure 1

41 pages, 7256 KB  
Article
GEM3k: Architecture and Design of a Novel 3rd Generation High Channel Density Soft X-Ray Diagnostic System Towards Commercial Fusion Power Plants
by Andrzej Wojeński, Grzegorz Kasprowicz and Maryna Chernyshova
Energies 2026, 19(4), 918; https://doi.org/10.3390/en19040918 - 10 Feb 2026
Viewed by 506
Abstract
Achieving reliable, grid-scale electricity generation from nuclear fusion, as envisioned by the DEMOnstration Fusion Power Plant (DEMO) and future commercial reactors, requires unprecedented plasma stability and long-term control. This operational goal is fundamentally challenged by, among others, the dynamic nature of the high [...] Read more.
Achieving reliable, grid-scale electricity generation from nuclear fusion, as envisioned by the DEMOnstration Fusion Power Plant (DEMO) and future commercial reactors, requires unprecedented plasma stability and long-term control. This operational goal is fundamentally challenged by, among others, the dynamic nature of the high temperature plasma and the need to monitor high-Z impurities, such as tungsten, which can severely compromise energy confinement, resulting in discharge disruption and damage to internal reactor walls. Real-time Soft X-ray (SXR) diagnostic systems are therefore an integral and critical component of fusion power plant infrastructure, providing essential temporal and spatial resolution data on these fast-evolving phenomena. To address the severe demands imposed by the extreme operating environment of future fusion reactors, such as DEMO (including intense neutron and gamma fluxes), this work details a current stage in the long-term development of an advanced and robust diagnostic system engineered specifically for technological preparation and future application in these high-fluence environments. This paper presents the third generation of the SXR measurement system, GEM3k, based on Gas Electron Multiplier (GEM) technology. This novel diagnostic utilizes a Field Programmable Gate Array (FPGA)-based architecture, specifically designed for the high-rate acquisition of energy- and spatially resolved plasma radiation distributions. The GEM3k design exploits the inherent radiation hardness of GEM detectors, positioning them as robust sensor units for monitoring plasma dynamics and impurity emissions in future fusion environments. The system readout comprises approximately 34,000 individual pixels mapped to nearly 3000 measurement channels in an XYUV coordinate configuration. This layout enables submillimeter spatial resolution simultaneously with a time resolution better than 10 ms. Addressing the engineering challenges of such a complex high-density readout, this work details the comprehensive design of the GEM3k system, focusing on its architecture, electronics, performance estimations, and data distribution strategies. By enabling precise tracking of impurities and fast plasma behavior, the GEM3k system contributes to the stable, high-gain operation required for future fusion reactors. This directly supports the development of sustainable fusion energy and its eventual integration into modern electricity grids. Furthermore, the planned enhancement to a real-time operating mode could pave a way for a next-generation system for direct integration into reactor control loops. Currently in the prototype phase with initial hardware tests completed, the GEM3k design leverages our extensive experience with diagnostics developed for the JET and WEST tokamaks. Full article
Show Figures

Figure 1

13 pages, 2395 KB  
Article
Engineering the Future of Heart Failure Therapeutics: Integrating 3D Printing, Silicone Molding, and Translational Development for Implantable Cardiac Devices
by Carleigh Eagle, Aarti Desai, Michael Franklin, Robert Pooley, Elizabeth Johnson, Shawn Robinson, Mark Lopez and Rohan Goswami
Bioengineering 2026, 13(2), 192; https://doi.org/10.3390/bioengineering13020192 - 8 Feb 2026
Viewed by 546
Abstract
Three-dimensional (3D) anatomic modeling derived from high-resolution medical imaging, such as computed tomography (CT) and magnetic resonance imaging (MRI), has been increasingly adopted in preclinical testing and device development. This white paper describes a cardiac-specific workflow that integrates 3D printing and silicone molding [...] Read more.
Three-dimensional (3D) anatomic modeling derived from high-resolution medical imaging, such as computed tomography (CT) and magnetic resonance imaging (MRI), has been increasingly adopted in preclinical testing and device development. This white paper describes a cardiac-specific workflow that integrates 3D printing and silicone molding for support device development and procedural simulation. Patient-derived computed tomography angiography data were segmented using FDA-cleared medical modeling software to isolate the left ventricular anatomy and were further processed in computer-aided design (CAD) to ensure accurate physiological wall thickness and structural fidelity. Material jetting 3D printing was performed on a Stratasys J750 using material distributions designed to mimic the mechanical properties of myocardium, thereby approximating myocardial compliance. In parallel, stereolithography apparatus molds were designed from the left ventricle CAD model to cast transparent, pliable left ventricular models in Sorta-Clear™ 18 silicone. The 3D-printed models preserved intricate morphological detail and were suitable for mechanical manipulation and device deployment studies, whereas silicone models offered tunable mechanical properties, transparency for visualization, and durability for repeated use. Together, these complementary modalities provided rapid manufacturing capability and application-relevant physical representation. Case-specific parameters, strengths, and limitations of both models in enhancing patient care and device testing are highlighted, with relevance to heart failure applications. Current knowledge gaps, workflow and integration challenges, and future opportunities are identified, positioning this work as a reference framework for continued innovation in anatomic modeling. Within the collaborative framework of Mayo Clinic’s Anatomic Modeling Unit and Simulation Center, this integrated modeling workflow demonstrates the value of multidisciplinary collaboration between engineers and clinicians. Clinically, these patient-specific left ventricular models may enable pre-procedural device sizing and positioning and may support simulation of mechanical circulatory support (MCS) deployment while identifying possible anatomic constraints prior to intervention. This workflow has direct applicability in advanced heart failure patients undergoing MCS support, such as the Impella axillary MCS device or the durable LVAD, with potential to reduce procedural uncertainty while reducing complications and improving peri-procedural outcomes. Additionally, these models also serve as high-accuracy educational tools, enabling trainees and multidisciplinary care teams to visualize and possibly rehearse procedural steps while gaining hands-on experience in a risk-free environment. Full article
Show Figures

Figure 1

26 pages, 6056 KB  
Article
Experimental Investigation of Wall Confluent Jets on Transparent Large-Space Building Envelopes: Part 2—Application in Cooling Greenhouses
by Gasper Choonya, Alan Kabanshi and Bahram Moshfegh
Energies 2026, 19(4), 875; https://doi.org/10.3390/en19040875 - 7 Feb 2026
Viewed by 311
Abstract
This study experimentally evaluated the performance of a wall confluent jet (WCJ) cooling system in a greenhouse under real summer and autumn weather conditions. It examined the effects of indoor air temperature setpoint (Tspt), number of nozzle rows (n [...] Read more.
This study experimentally evaluated the performance of a wall confluent jet (WCJ) cooling system in a greenhouse under real summer and autumn weather conditions. It examined the effects of indoor air temperature setpoint (Tspt), number of nozzle rows (n) on the WCJ diffuser, and external wall shading on WCJ’s cooling performance. Thermocouples and constant-current anemometers measured air and surface temperatures and air velocity, while pyranometers measured solar radiation. The WCJ system dynamically regulated inlet air temperature between 14 °C and 25 °C to counter solar and conductive heat gains, maintaining indoor air temperature within ±1.5 °C of the setpoint. Increasing Tspt by 4 °C reduced inlet cooling demand by 25% but increased indoor air temperature by 20–25% and raised ceiling, wall, and floor surface temperatures by 17%, 20%, and 16%, respectively. Increasing n reduced surface temperatures by up to 8% and indoor air temperature by 6%. External wall shading reduced solar heat gain, lowering interior surface temperatures by 10–30%, peak and mean indoor air temperatures by up to 35% and 15%, and net power peaks by 40%. Autumn conditions reduced cooling loads by 50% relative to summer. Overall, WCJ cooling demonstrates strong potential as an alternative or complementary system for greenhouse thermal regulation without increasing primary energy demand. Full article
(This article belongs to the Section G: Energy and Buildings)
Show Figures

Figure 1

21 pages, 5818 KB  
Article
Effect of Impinging Jet Ventilation System Geometry and Location on Thermal Comfort Achievements and Flow Characteristics
by Naif Albelwi, Abdullah M.A. Alsharif, Abdulrhman Farran, H. A. Refaey and Mohamed A. Karali
Buildings 2026, 16(3), 639; https://doi.org/10.3390/buildings16030639 - 3 Feb 2026
Viewed by 356
Abstract
Impinging jet ventilation (IJV) systems have attracted significant attention due to their potential to augment indoor thermal comfort and airflow distribution. Previous studies have primarily investigated corner and mid-wall IJV installations; however, comparative analyses focusing on different diffuser geometries remain limited. [...] Read more.
Impinging jet ventilation (IJV) systems have attracted significant attention due to their potential to augment indoor thermal comfort and airflow distribution. Previous studies have primarily investigated corner and mid-wall IJV installations; however, comparative analyses focusing on different diffuser geometries remain limited. Accordingly, this study examines the combined effects of IJV diffuser geometry and installation location on thermal comfort indices and airflow characteristics. A full three-dimensional computational fluid dynamics (CFD) model, without the use of symmetry, is developed to simulate a realistic office environment (3 × 3 × 2.9 m3), operating in cooling mode under hot summer climatic conditions. Three IJV diffuser cross-section geometries—triangular, square, and circular—are evaluated at four installation locations (two corners and two mid-wall positions), assuming a fixed occupant location. A combined return and exhaust outlet configuration is adopted. The results indicate that the IJV location influences airflow and temperature distributions more strongly than the diffuser geometry. Nevertheless, the circular diffuser exhibits superior performance compared to the triangular and square geometries. The mid-wall location placed behind the occupant and away from the hot exterior wall demonstrates reduced thermal stratification, improved airflow characteristics, and weaker vortex formation, making it the most favorable configuration. From an architectural perspective, these findings highlight the importance of early coordination between ventilation design and office spatial planning, as diffuser placement directly influences occupant comfort zones and furniture layout. Moreover, the preference for mid-wall installations supports a more flexible façade design and allows for greater freedom in organizing workspaces without compromising thermal performance. Full article
(This article belongs to the Topic Indoor Air Quality and Built Environment)
Show Figures

Figure 1

19 pages, 4560 KB  
Article
Experimental Study on Plume Diffusion Characteristics of Particle-Driven Gravity Current Under Wall Confinement
by Yuyao Li, Guocheng Zhao, Longfei Xiao and Lixin Xu
J. Mar. Sci. Eng. 2026, 14(3), 295; https://doi.org/10.3390/jmse14030295 - 2 Feb 2026
Viewed by 328
Abstract
Gravity currents constrained by bottom walls are prevalent in engineering applications such as industrial discharges and deep-sea mining, and will pose significant environmental risks. In this study, the influence of jet source parameters on the dynamics and diffusion characteristics of particle-driven bottom currents [...] Read more.
Gravity currents constrained by bottom walls are prevalent in engineering applications such as industrial discharges and deep-sea mining, and will pose significant environmental risks. In this study, the influence of jet source parameters on the dynamics and diffusion characteristics of particle-driven bottom currents was investigated through physical experiments using Digital Image Processing (DIP). This non-invasive technology is cost-effective and exhibits broad applicability. The results demonstrated that the downstream plume front dLmax, the maximum lift height hLmax and the average lift height have all exhibit a decreasing trend with increasing Richardson number (Ri) after impingement, and show a linear increase with rising Reynolds number (Re). The plume diffusion scale S follows a two-stage evolution: during the inertia-dominated stage, S evolves exponentially over time t as S=aebt, while in the equilibrium stage of negative buoyancy and turbulent dissipation, S follows a power-law relationship S=atb (b < 1). The rate of change of S increases with smaller jet angles α, and the variations with dimensionless bottom clearance H/D remain within 10%. The dimensionless average longitudinal expansion rate E¯g/D reaches minimum values at α = 75°, peaks at H/D = 10, and exhibits a linear decreasing trend with Ri. As Re increases, E¯g/D displays a three-stage fluctuating behavior. This study provides valuable experimental data that improve the understanding of gravity current behavior under wall confinement and support the predictive modelling of gravity current. Full article
(This article belongs to the Section Ocean Engineering)
Show Figures

Figure 1

34 pages, 10588 KB  
Article
Effects of Momentum-FluxRatio on POD and SPOD Modes in High-Speed Crossflow Jets
by Subhajit Roy and Guillermo Araya
Appl. Sci. 2026, 16(3), 1424; https://doi.org/10.3390/app16031424 - 30 Jan 2026
Viewed by 196
Abstract
High-speed jet-in-crossflow (JICF) configurations are central to several aerospace applications, including turbine-blade film cooling, thrust vectoring, and fuel or hydrogen injection in combusting or reacting flows. This study employs high-fidelity direct numerical simulations (DNS) to investigate the dynamics of a supersonic jet (Mach [...] Read more.
High-speed jet-in-crossflow (JICF) configurations are central to several aerospace applications, including turbine-blade film cooling, thrust vectoring, and fuel or hydrogen injection in combusting or reacting flows. This study employs high-fidelity direct numerical simulations (DNS) to investigate the dynamics of a supersonic jet (Mach 3.73) interacting with a subsonic crossflow (Mach 0.8) at low Reynolds numbers. Three momentum-flux ratios (J = 2.8, 5.6, and 10.2) are considered, capturing a broad range of jet–crossflow interaction regimes. Turbulent inflow conditions are generated using the Dynamic Multiscale Approach (DMA), ensuring physically consistent boundary-layer turbulence and accurate representation of jet–crossflow interactions. Modal decomposition via proper orthogonal decomposition (POD) and spectral POD (SPOD) is used to identify the dominant spatial and spectral features of the flow. Across the three configurations, near-wall mean shear enhances small-scale turbulence, while increasing J intensifies jet penetration and vortex dynamics, producing broadband spectral gains. Downstream of the jet injection, the spectra broadly preserve the expected standard pressure and velocity scaling across the frequency range, except at high frequencies. POD reveals coherent vortical structures associated with shear-layer roll-up, jet flapping, and counter-rotating vortex pair (CVP) formation, with increasing spatial organization at higher momentum ratios. Further, POD reveals a shift in dominant structures: shear-layer roll-up governs the leading mode at high J, whereas CVP and jet–wall interactions dominate at lower J. Spectral POD identifies global plume oscillations whose Strouhal number rises with J, reflecting a transition from slow, wall-controlled flapping to faster, jet-dominated dynamics. Overall, the results demonstrate that the momentum-flux ratio (J) regulates not only jet penetration and mixing but also the hierarchy and characteristic frequencies of coherent vortical, thermal, and pressure and acoustic structures. The predominance of shear-layer roll-up over counter-rotating vortex pair (CVP) dynamics at high J, the systematic upward shift of plume-oscillation frequencies, and the strong analogy with low-frequency shock–boundary-layer interaction (SBLI) dynamics collectively provide new mechanistic insight into the unsteady behavior of supersonic jet-in-crossflow flows. Full article
Show Figures

Figure 1

25 pages, 8004 KB  
Article
Effects of Discharge and Tailwater Depth on Local Scour of Multi-Grain Beds by Circular Wall Jets
by Amir H. Azimi and Homero Hernandez
Fluids 2026, 11(2), 42; https://doi.org/10.3390/fluids11020042 - 30 Jan 2026
Viewed by 333
Abstract
The scour process of sand particles and multi-grain size and density particles were studied to investigate the segregation process of different particles in a confined channel. The effects of jet intensity and submergence as two controlling parameters were studied, and scour characteristics and [...] Read more.
The scour process of sand particles and multi-grain size and density particles were studied to investigate the segregation process of different particles in a confined channel. The effects of jet intensity and submergence as two controlling parameters were studied, and scour characteristics and profiles were measured. The time history of the scouring process was measured and the results were compared with the scour process in a uniform sand bed as benchmark tests. Experimental data revealed that the eroded area of different particle types increased with the jet intensity, but the erosion of relatively heavier particles was limited due to jet diffusion. The local erosion was affected by the level of submergence and more erosion occurred near the nozzle at low submergence. Increasing the jet Froude number increased the area of deposition, while submergence reduced the overall area of deposition. As submergence increased from 4 to 12, the area of sand particles reduced by more than 50% while the jet intensity was constant. In shallow submergence, increasing jet intensity from 1.46 to 2.11 increased the area of lead balls by 120%, whereas in relatively deep submergence, incrementing jet intensity increased the area of lead balls by more than five times. The effect of flow intensity on variations of scour dimensions was quantified by the densimetric Froude number. While a densimetric Froude number based on mean particle size, D50, was found to be suitable to estimate maximum scour bed in uniform sand beds, experimental data indicated that the best fit is achievable to predict maximum scour depth in multi-grain size and density once D95 is used. Semi-empirical models were proposed to predict scour dimensions as a function of the densimetric Froude number. Full article
(This article belongs to the Topic Advances in Environmental Hydraulics, 2nd Edition)
Show Figures

Figure 1

41 pages, 24095 KB  
Article
Three-Dimensional CFD Simulations for Characterization of a Rectangular Bubble Column with a Unique Gas Distributor Operating at Extremely Low Superficial Gas Velocities
by Arijit Ganguli, Vishal Rasaniya and Anamika Maurya
Micromachines 2026, 17(2), 191; https://doi.org/10.3390/mi17020191 - 30 Jan 2026
Viewed by 294
Abstract
In the present work, three-dimensional (3D) simulations have been performed for the characterization of a rectangular column for a uniform gas distributor with µm-sized holes at a ratio of 5. The model is first validated with experimental data from the literature. Simulations are [...] Read more.
In the present work, three-dimensional (3D) simulations have been performed for the characterization of a rectangular column for a uniform gas distributor with µm-sized holes at a ratio of 5. The model is first validated with experimental data from the literature. Simulations are then performed for a gas distributor with identical pitch but two different hole sizes, namely 600 µm and 200 µm. Three superficial gas velocities, namely 0.002 m/s, 0.004 m/s, and 0.006 m/s, were used for each distributor type. The gas movement in the fluid is found to be a strong function of hole size. For a 600 µm hole size, the operating condition has minimal impact on gas plume movement and moves centrally in a fully aerated regime. However, for a hole size of 200 µm, for all superficial velocities, the gas plume movement is dynamic and partially aerated. The plume moves along the right wall initially and then follows vertically. These characteristics are different from the meandering plume in centrally located spargers. The liquid mixing in the bulk is a function of time. During the plume development flow, different shapes are observed. Based on the analogy with the shapes found in nature, these shapes have been termed as balloon, cap, jet or candle flame, bull horn, mushroom, tree shape, and disintegrated mushroom shapes. Quantitative insights have been obtained in the form of time-averaged radial profiles of both volume fractions and liquid axial velocities. A symmetric parabolic shape for a hole size of 600 µm and skewed asymmetric shapes for a 200 µm hole size for three different axial positions, namely 0.1, 0.25, and 0.4 m, are observed. Correlations for gas holdup and liquid velocity have been proposed for low superficial velocities, which are in good agreement with the CFD simulation data, with a deviation of 15–20%. The deviations are partly due to the use of the k-ε turbulent model. The correlations perform better than the correlations available in the reported literature for similar superficial gas velocities. Full article
(This article belongs to the Special Issue Flows in Micro- and Nano-Systems)
Show Figures

Figure 1

Back to TopTop