Effects of Discharge and Tailwater Depth on Local Scour of Multi-Grain Beds by Circular Wall Jets
Abstract
1. Introduction
2. Experimental Setup
3. Results
3.1. Visualization
3.2. Time Evolution of Scour
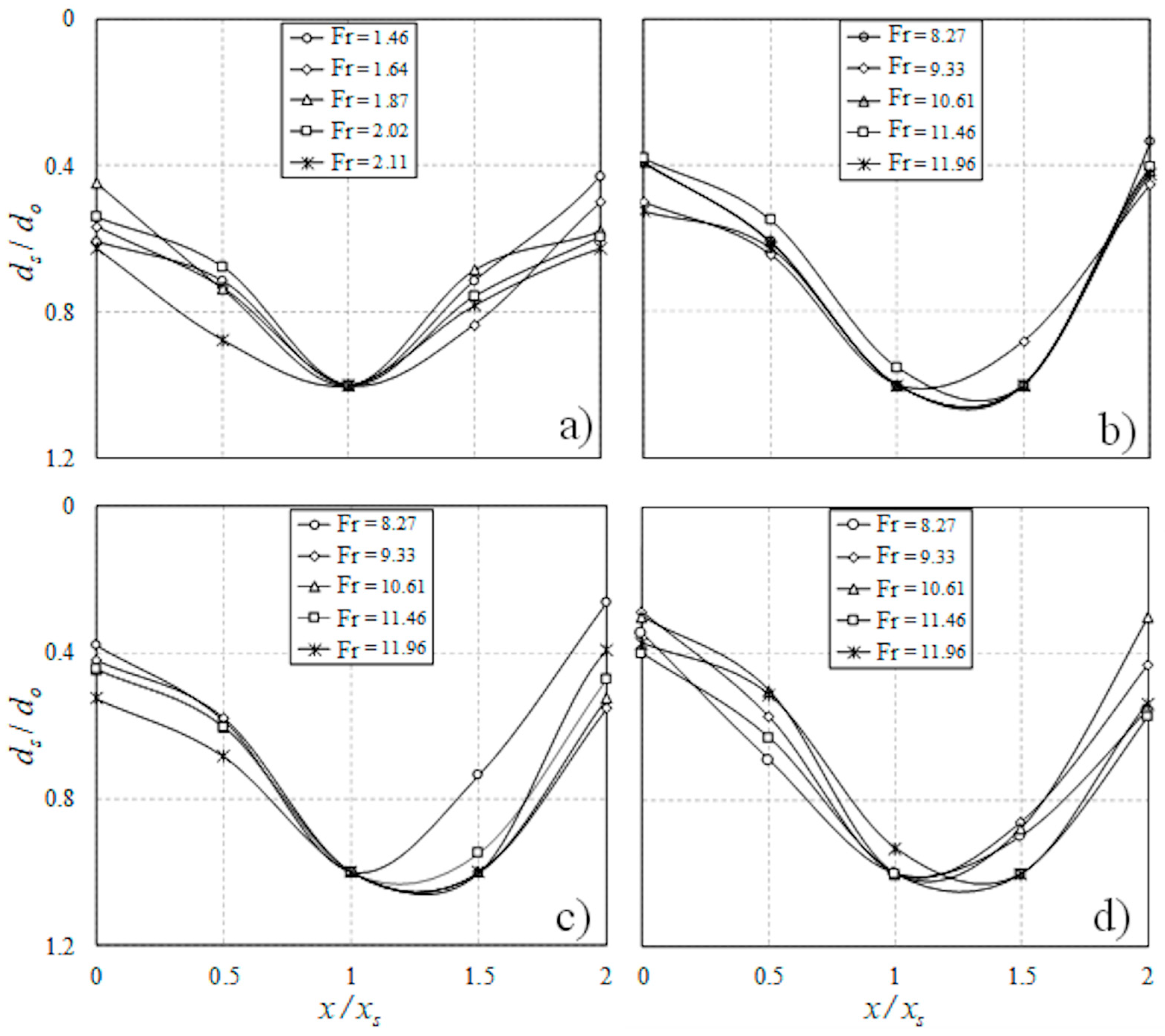
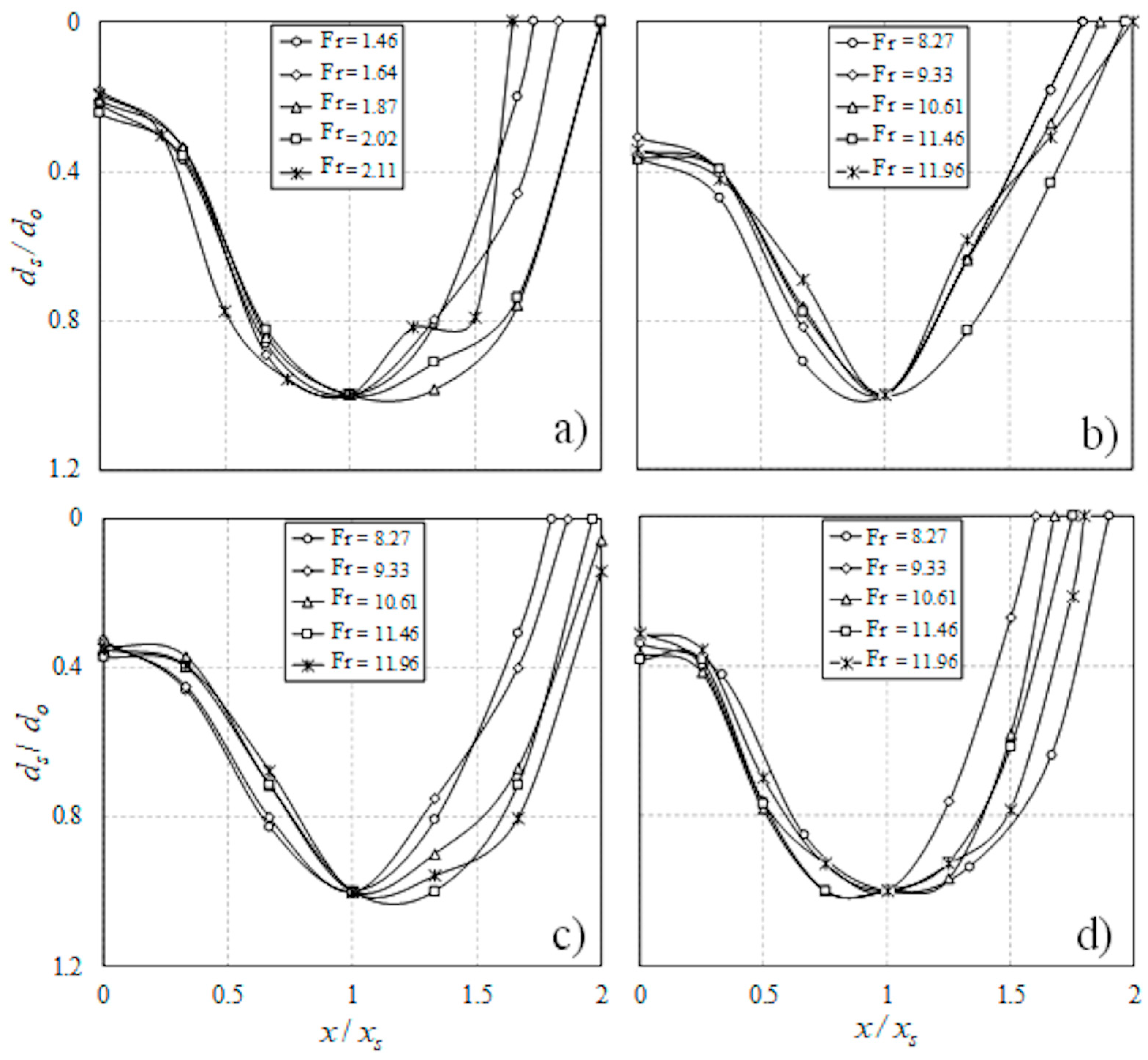
3.3. Scour Profiles
4. Discussion
4.1. Scour Dimensions
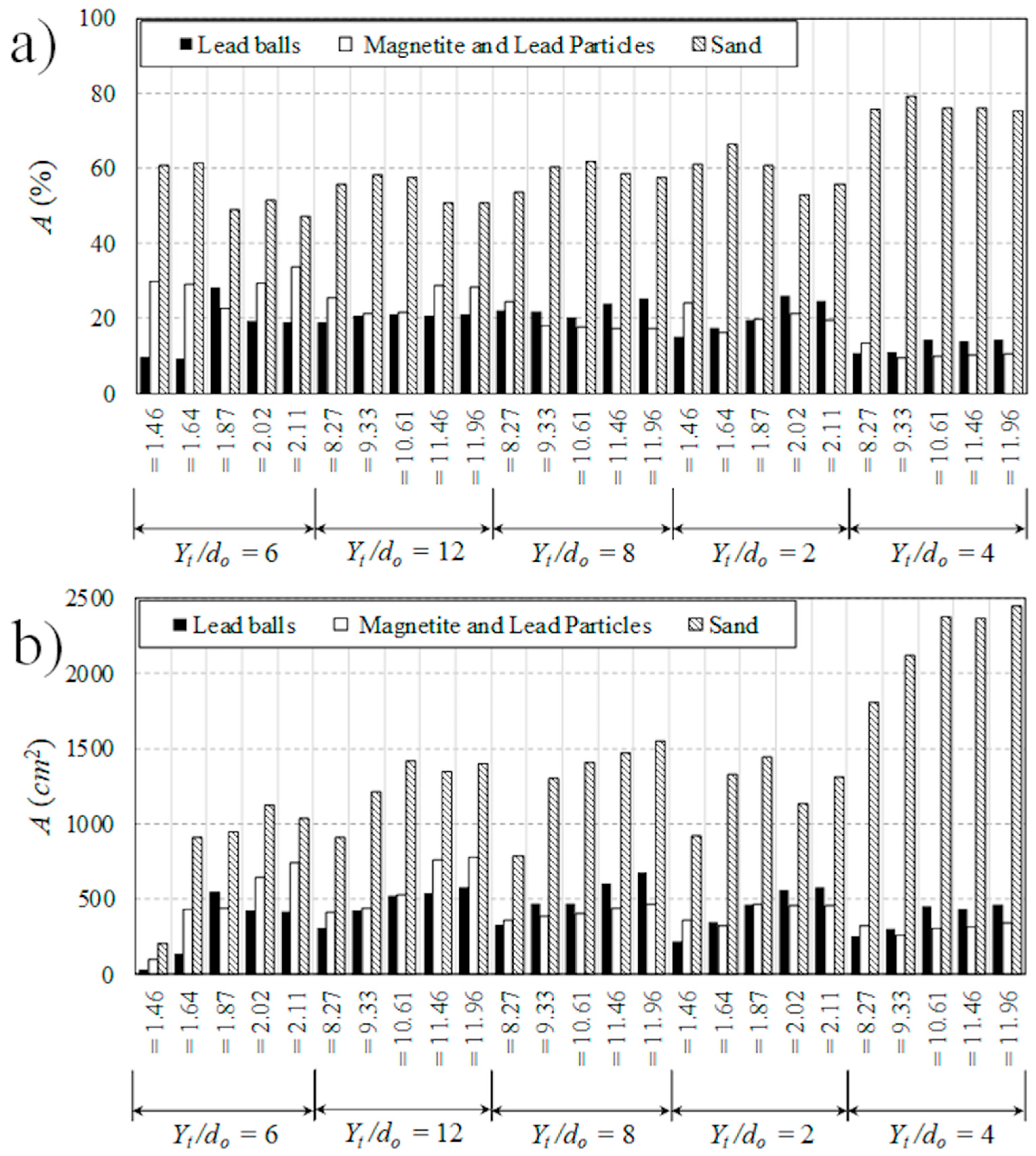
4.2. Bed Material Segregation
5. Conclusions
- The comparison revealed that the effects of particle segregation and armoring on the scour development in multi-grain size and density is significant.
- It was found that the eroded area of different particle types increased with the jet intensity, but the erosion of relatively heavier particles was limited due to jet diffusion.
- Four stages of initiation, development, stabilization, and equilibrium were identified and the corresponding times for each stage was determined from image analysis. It was observed that the development phase is achieved after an hour of jet discharge initiation and the growth rate of scouring reduced due to formation of an armor layer.
- The scour area reached an equilibrium phase after approximately two hours from the initiation of the experiment and the final equilibrium stage was achieved at 420 min. At the equilibrium stage, the scour hole consists of three rings made by three bed materials.
- It was found that the erosion is higher near the nozzle at low submergence and the scour hole is larger and deeper as the jet intensity increases.
- A densimetric Froude number based on D95 can properly describe the correlation between flow intensity and maximum scour in a multi-grain size and density bed. Two linear models were proposed to describe the correlation between normalized peak scour depth and densimetric Froude number with a threshold value of FD95 = 12.
- Data analysis for prediction of scour width and length indicated that a densimetric Froude number based on D50 provides the best fit. Non-linear models were proposed for prediction of maximum scour width and length in multi-grain size and density beds.
- The effect of submergence in suppressing jet diffusion was evident in variations of lead and magnetite particles. In lower tailwater depths, the area covered by the lead and magnetite particles reduced due to jet diffusion. Therefore, the highest area of lead and magnetite particles occurred in deeply submerged flow conditions. The jet in shallow submergence was diffused predominantly at the water surface and did not penetrate efficiently towards the bed. Therefore, the area of sand particles was found to be higher in the presence of low submergence.
- It should be noted that the proposed models based on the obtained results are limited to the tested range of jet Froude number (1.46 ≤ Fr ≤ 11.96), densimetric Froude number (4.02 ≤ FD ≤ 42.83), and submergence ratio of 2 ≤ Yt/do ≤ 12.
- The result of the present study is limited to the scouring induced by a three-dimensional circular wall jet in confined channels. The effect of channel confinement in the generation of backflow was evident and such backflow affected the shape of the scour profile in multi-grain size and density beds. Therefore, future studies are needed to evaluate the effects of channel width to nozzle diameter ratio on scour characteristics.
Author Contributions
Funding
Institutional Review Board Statement
Informed Consent Statement
Data Availability Statement
Conflicts of Interest
Notations
| A | magnitude of area occupied by specific particles, m2 |
| Ao | nozzle area, m2 |
| B | flume wide, m |
| do | jet pipe size, m |
| ds | scour depth, m |
| dsmax | maximum scour depth, m |
| D | bed particle size, mm |
| D16 | grain size for which 16% of material is finer, mm |
| D50 | median grain size, mm |
| D85 | grain size for which 85% of material is finer, mm |
| D95 | grain size for which 95% of material is finer, mm |
| FD | densimetric Froude number |
| FDi | densimetric Froude number defined with the bed material for i % of which is fine by weight |
| Fr | jet Froude number |
| g | acceleration due to gravity, m/s2 |
| Kd; KD; Kf; KL; Ks; Kσ | constants |
| lc | critical shear stress length, m |
| ls | maximum scour length, m |
| L | total length of the bed, m |
| m | mass of particles, kg |
| Q | discharge, L/min |
| Re | jet Reynolds number |
| RH | hydraulic radius, m |
| Re* | boundary Reynolds number |
| t | time, s |
| T | time scale, s |
| uo | initial jet velocity, m/s |
| u* | shear velocity, m/s |
| ws | scour width, m |
| wsmax | maximum scour width, m |
| x | longitudinal axis, m |
| xs | location of the maximum scour depth from nozzle, m |
| y | transversal axis, m |
| Yt | tailwater depth, m |
| z | vertical axis, m |
| V | volume occupied by the mass, m3 |
| ν | kinematic viscosity, m2/s |
| Δρp | density difference between the bed particles and the fluid, kg/m3 |
| ρp | density of particle, kg/m3 |
| ρw | density of water, kg/m3 |
| σg | geometric standard deviation of bed material size |
| τb | bed shear stress, Pa |
| τc | critical shear stress, Pa |
References
- Azimi, A.; Zhu, D.; Rajaratnam, N. Experimental study of subaqueous sand deposition from slurry wall jets. J. Eng. Mech. 2014, 140, 296–314. [Google Scholar] [CrossRef]
- Manzouri, M.; Azimi, A.H. Laboratory experiments evaluating sedimentation and mound formation of obliquely discharged sand particles in stagnant water. Int. J. Sediment Res. 2019, 34, 564–576. [Google Scholar] [CrossRef]
- Manzouri, M.; Azimi, A.H. Effects on oily sand jet evolution from impact momentum and channelization of particles through an immiscible interface. Int. J. Multiph. Flow 2019, 121, 103124. [Google Scholar] [CrossRef]
- Pandey, M.; Valyrakis, M.; Qi, M.; Sharma ALodhi, A.S. Experimental assessment and prediction of temporal scour depth around a spur dike. Int. J. Sediment Res. 2021, 36, 17–28. [Google Scholar] [CrossRef]
- Baranwal, A.; Das, B.S. Live-bed scour depth modelling around the bridge pier using ANN-PSO, ANFIS, MARS, and M5Tree. Water Resour. Manag. 2024, 38, 4555–4587. [Google Scholar] [CrossRef]
- Bombardelli, F.A.; Palermo, M.; Pagliara, S. A general theoretical framework for equilibrium scour due to inclined jets based on the Phenomenological Theory of Turbulence. Phys. Fluids 2025, 37, 083425. [Google Scholar] [CrossRef]
- Buffon, P.; Uijttewaal, W.S.J.; Valero, D.; Franca, M.J. Evolution of Erosion and Deposition Induced by an Impinging Jet to Manage Sediment. Water Resour. Res. 2025, 61, WR038657. [Google Scholar] [CrossRef]
- Rajaratnam, N.; Pani, B.S. Three-dimensional turbulent wall jets. J. Hydraul. Div. 1974, 100, 69–83. [Google Scholar] [CrossRef]
- Rajaratnam, N.; Berry, B. Erosion by circular turbulent wall jets. J. Hydraul. Res. 1977, 15, 277–289. [Google Scholar] [CrossRef]
- Rajaratnam, N. Erosion by plane turbulent jets. J. Hydraul. Res. 1981, 19, 339–358. [Google Scholar] [CrossRef]
- Chatterjee, S.S.; Ghosh, S.N.; Chatterjee, M. Local scour due to submerged horizontal jet. J. Hydraul. Eng. 1994, 120, 973–992. [Google Scholar] [CrossRef]
- Lim, S.Y. Scour below unsubmerged full-flowing culvert outlets. Proc. Inst. Civ. Eng.-Water Marit. Energy 1995, 112, 136–149. [Google Scholar]
- Aderibigbe, O.; Rajaratnam, N. Effect of sediment gradation on erosion by plane turbulent wall jets. J. Hydraul. Eng. 1998, 124, 1034–1042. [Google Scholar] [CrossRef]
- Balachandar, R.; Kells, J.A.; Thiessen, R.J. The effect of tailwater depth on the dynamics of local scour. Can. J. Civ. Eng. 2000, 27, 138–150. [Google Scholar] [CrossRef]
- Dey, S.; Sarkar, A. Effect of upward seepage on scour and flow downstream of an apron due to submerged jets. J. Hydraul. Eng. 2007, 133, 59–69. [Google Scholar] [CrossRef]
- Melville, B.W.; Lim, S.Y. Scour caused by 2D horizontal jets. J. Hydraul. Eng. 2014, 140, 149–155. [Google Scholar] [CrossRef]
- Aamir, M.; Ahmad, Z. Review of literature on local scour under plane turbulent wall jets. Phys. Fluids 2016, 28, 105102. [Google Scholar] [CrossRef]
- Zhao, P.; Yu, G.; Zhang, M. Local Scour on Noncohesive Beds by a Submerged Horizontal Circular Wall Jet. J. Hydraul. Eng. 2019, 145, 06019012. [Google Scholar] [CrossRef]
- Hernandez, H.; Mostaani, A.; Azimi, A.H. Segregation of particles in multi size and density beds by circular wall jets. In Canadian Society of Civil Engineering Annual Conference; Springer: Singapore, 2021; pp. 211–221. [Google Scholar]
- Li, G.; Wang, B. Simulation of the flow field and scour evolution by turbulent wall jets under a sluice gate. J. Hydro-Environ. Res. 2022, 43, 22–32. [Google Scholar] [CrossRef]
- Hernandez, H.; Azimi, A.H. Effect of armor layer on the local scour formation induced by a deeply submerged circular wall jet in confined channels. Can. J. Civ. Eng. 2023, 50, 510–522. [Google Scholar] [CrossRef]
- Khuntia, J.R.; Devi, K.; Mumtaz, M.A. Modeling of scour hole characteristics under turbulent wall jets using machine learning. Sci. Rep. 2024, 14, 15567. [Google Scholar] [CrossRef]
- Samma, H.; Khosrojerdi, A.; Rostam-Abadi, M.; Mehraein, M.; Cataño-Lopera, Y. Numerical simulation of scour and flow field over movable bed induced by a submerged wall jet. J. Hydroinform. 2020, 22, 385–401. [Google Scholar] [CrossRef]
- Si, J.; Lim, S.; Wang, X. Evolution of Flow Fields in a Developing Local Scour Hole Formed by a Submerged Wall Jet. J. Hydraul. Eng. 2020, 146, 04020040. [Google Scholar] [CrossRef]
- Yan, X.; Mohammadian, A.; Rennie, C. Numerical modeling of local scour due to submerged wall jets using a strict vertex-based, terrain conformal, moving-mesh technique in OpenFOAM. J. Sediment Res. 2020, 35, 237–248. [Google Scholar] [CrossRef]
- Nazarimehr, F.; Ghodsian, M. Experimental study of scour characteristics by circular turbulent impinging jets in cohesive soils. ISH J. Hydraul. Eng. 2025, 31, 443–460. [Google Scholar] [CrossRef]
- Salehi, S.; Mostaani, A.; Azimi, A.H. Experimental and numerical investigations of flow over and under weir-culverts with a downstream ramp. J. Irrig. Drain. Eng. 2021, 147, 04021029. [Google Scholar] [CrossRef]
- Salehi, S.; Azimi, A.H.; Heidarpour, M. Hydraulic properties and local scour downstream of permeable grade-control structures. J. Irrig. Drain. Eng. 2024, 150, 0402402. [Google Scholar] [CrossRef]
- Salehi, S.; Azimi, A.H. Effects of spoiler and piggyback on local scour under single and twin submerged pipes. Ocean Eng. 2022, 261, 112137. [Google Scholar] [CrossRef]
- Ali, K.H.M.; Lim, S.Y. Local scour caused by submerged wall jets. Proc. Inst. Civ. Eng. 1986, 81, 607–645. [Google Scholar] [CrossRef]
- Dey, S.; Sarkar, A. Scour downstream of an apron due to submerged horizontal jets. J. Hydraul. Eng. 2006, 132, 246–257. [Google Scholar] [CrossRef]
- Sarathi, P.; Faruque, M.A.A.; Balachandar, R. Influence of tailwater depth, sediment size and densimetric Froude number on scour by submerged square wall jets. J. Hydraul. Res. 2008, 46, 158–175. [Google Scholar] [CrossRef]
- Rajaratnam, N.; Macdougall, R.K. Erosion by plane wall jets with minimum tailwater. J. Hydraul. Eng. 1983, 109, 1061–1064. [Google Scholar] [CrossRef]
- Blaisdell, F.W.; Anderson, C.L. A comprehensive generalized study of scour at cantilevered pipe outlets. J. Hydraul. Res. 1988, 26, 509–524. [Google Scholar]
- Lavaei, H.; Esmaeili, M.; Mehraein, M. Enhanced prediction of scour dimensions: Temporal variations induced by turbulent plane wall jets using FFNN, CatBoost, and XGBoost models. Ocean. Eng. 2025, 333, 121539. [Google Scholar] [CrossRef]
- MathWorks. Matlab User Manual; Math Works: Natick, MA, USA, 2018. [Google Scholar]
- Ade, F.; Rajaratnam, N. Generalized study of erosion by circular horizontal turbulent jets. J. Hydraul. Res. 1998, 36, 613–636. [Google Scholar] [CrossRef]
- Hoffmans, G.J.C.M.; Verheij, H.J. Scour Manual; A.A. Balkema: Rotterdam, The Netherlands, 1997. [Google Scholar]
- Kells, J.A.; Balachandar, R.; Hagel, K.P. Effect of grain size on local channel scour below a sluice gate. Can. J. Civ. Eng. 2001, 28, 440–451. [Google Scholar] [CrossRef]
- Rajaratnam, N.; Diebel, M. Erosion Below Culvert-like Structures. In Fifth Canadian Hydrotechnical Conference; CSCE: Fredericton, NB, Canada, 1981; pp. 469–484. [Google Scholar]
- Faruque, M.; Sarathi, P.; Balachandar, R. Clear Water Local Scour by Submerged Three-Dimensional Wall Jets: Effect of Tailwater Depth. J. Hydraul. Eng. 2006, 132, 575–580. [Google Scholar] [CrossRef]















| No. | Soil Type | D16 (mm) | D50 (mm) | D85 (mm) | D95 (mm) | σg | Δρ (kg/m3) |
|---|---|---|---|---|---|---|---|
| 1 | Uniform sand bed | 0.25 | 0.38 | 0.47 | 0.6 | 1.378 | 1650 |
| 2 | Mixed bed | 0.19 | 0.29 | 0.35 | 1.5 | 1.362 | 2230 |
| 3 | Magnetite particles | 0.18 | 0.22 | 0.32 | 0.53 | 1.322 | 2580 |
| 4 | Lead particles | 0.2 | 0.27 | 0.35 | 0.6 | 1.303 | 2470 |
| 5 | Lead balls | - | 1.78 | - | - | - | 10,200 |
| 6 | Sand | 0.19 | 0.23 | 0.37 | 0.65 | 1.386 | 2080 |
| No | Tests | Q | do | Yt | Reynolds Number | Jet Froude Number Fr | Densimetric Froude Number | dsmax | wsmax | lsmax |
|---|---|---|---|---|---|---|---|---|---|---|
| [L/min] | (mm) | (mm) | FD95 | (m) | (m) | (m) | ||||
| 1 | M-22-6 | 22.20 | 25.4 | 152.4 | 14,160.71 | 1.46 | 4.02 | 0.02 | 0.21 | 0.52 |
| 2 | M-25-6 | 25.02 | 25.4 | 152.4 | 15,955.99 | 1.65 | 4.53 | 0.03 | 0.21 | 0.82 |
| 3 | M-28-6 | 28.48 | 25.4 | 152.4 | 18,161.35 | 1.88 | 5.16 | 0.02 | 0.25 | 0.81 |
| 4 | M-30-6 | 30.74 | 25.4 | 152.4 | 19,603.95 | 2.03 | 5.57 | 0.03 | 0.25 | 0.96 |
| 5 | M-32-6 | 32.08 | 25.4 | 152.4 | 20,458.54 | 2.11 | 5.81 | 0.03 | 0.26 | 0.94 |
| 6 | M-22-12 | 22.20 | 12.7 | 152.4 | 28,321.42 | 8.27 | 16.10 | 0.03 | 0.25 | 0.79 |
| 7 | M-25-12 | 25.02 | 12.7 | 152.4 | 31,911.98 | 9.33 | 18.14 | 0.04 | 0.28 | 0.86 |
| 8 | M-28-12 | 28.48 | 12.7 | 152.4 | 36,322.70 | 10.61 | 20.64 | 0.04 | 0.30 | 0.86 |
| 9 | M-30-12 | 30.74 | 12.7 | 152.4 | 39,207.90 | 11.46 | 22.28 | 0.04 | 0.32 | 0.88 |
| 10 | M-32-12 | 32.08 | 12.7 | 152.4 | 40,917.08 | 11.96 | 23.25 | 0.04 | 0.33 | 0.89 |
| 11 | U-22-6 | 22.20 | 25.4 | 152.4 | 14,160.71 | 1.46 | 7.41 | 0.06 | 0.28 | 0.68 |
| 12 | U-25-6 | 25.02 | 25.4 | 152.4 | 15,955.99 | 1.65 | 8.35 | 0.07 | 0.32 | 0.75 |
| 13 | U-28-6 | 28.48 | 25.4 | 152.4 | 18,161.35 | 1.88 | 9.50 | 0.08 | 0.35 | 0.80 |
| 14 | U-30-6 | 30.74 | 25.4 | 152.4 | 19,603.95 | 2.03 | 10.26 | 0.08 | 0.36 | 0.76 |
| 15 | U-32-6 | 32.08 | 25.4 | 152.4 | 20,458.54 | 2.11 | 10.71 | 0.08 | 0.37 | 0.79 |
| 16 | U-22-12 | 22.20 | 12.7 | 152.4 | 28,321.42 | 8.27 | 29.64 | 0.05 | 0.25 | 0.8 |
| 17 | U-25-12 | 25.02 | 12.7 | 152.4 | 31,911.98 | 9.33 | 33.40 | 0.06 | 0.28 | 0.84 |
| 18 | U-28-12 | 28.48 | 12.7 | 152.4 | 36,322.70 | 10.61 | 38.02 | 0.06 | 0.32 | 0.89 |
| 19 | U-30-12 | 30.74 | 12.7 | 152.4 | 39,207.90 | 11.46 | 41.04 | 0.07 | 0.33 | 0.91 |
| 20 | U-32-12 | 32.08 | 12.7 | 152.4 | 40,917.08 | 11.96 | 42.83 | 0.07 | 0.36 | 0.92 |
| 21 | M-22-4 | 22.20 | 25.4 | 101.6 | 14,160.71 | 1.46 | 4.02 | 0.03 | 0.20 | 0.65 |
| 22 | M-25-4 | 25.02 | 25.4 | 101.6 | 15,955.99 | 1.65 | 4.53 | 0.03 | 0.22 | 0.65 |
| 23 | M-28-4 | 28.48 | 25.4 | 101.6 | 18,161.35 | 1.88 | 5.16 | 0.02 | 0.23 | 0.70 |
| 24 | M-30-4 | 30.74 | 25.4 | 101.6 | 19,603.95 | 2.03 | 5.57 | 0.03 | 0.25 | 0.66 |
| 25 | M-32-4 | 32.08 | 25.4 | 101.6 | 20,458.54 | 2.11 | 5.81 | 0.03 | 0.25 | 0.72 |
| 26 | M-22-8 | 22.20 | 12.7 | 101.6 | 28,321.42 | 8.27 | 16.10 | 0.03 | 0.23 | 0.72 |
| 27 | M-25-8 | 25.02 | 12.7 | 101.6 | 31,911.98 | 9.33 | 18.14 | 0.04 | 0.26 | 0.73 |
| 28 | M-28-8 | 28.48 | 12.7 | 101.6 | 36,322.70 | 10.61 | 20.64 | 0.04 | 0.28 | 0.79 |
| 29 | M-30-8 | 30.74 | 12.7 | 101.6 | 39,207.90 | 11.46 | 22.28 | 0.04 | 0.30 | 0.81 |
| 30 | M-32-8 | 32.08 | 12.7 | 101.6 | 40,917.08 | 11.96 | 23.25 | 0.04 | 0.31 | 0.85 |
| 31 | U-22-4 | 22.20 | 25.4 | 101.6 | 14,160.71 | 1.46 | 7.41 | 0.06 | 0.25 | 0.59 |
| 32 | U-25-4 | 25.02 | 25.4 | 101.6 | 15,955.99 | 1.65 | 8.35 | 0.07 | 0.29 | 0.64 |
| 33 | U-28-4 | 28.48 | 25.4 | 101.6 | 18,161.35 | 1.88 | 9.50 | 0.08 | 0.30 | 0.67 |
| 34 | U-30-4 | 30.74 | 25.4 | 101.6 | 19,603.95 | 2.03 | 10.26 | 0.08 | 0.34 | 0.72 |
| 35 | U-32-4 | 32.08 | 25.4 | 101.6 | 20,458.54 | 2.11 | 10.71 | 0.08 | 0.34 | 0.70 |
| 36 | U-22-8 | 22.20 | 12.7 | 101.6 | 28,321.42 | 8.27 | 29.64 | 0.05 | 0.25 | 0.75 |
| 37 | U-25-8 | 25.02 | 12.7 | 101.6 | 31,911.98 | 9.33 | 33.40 | 0.06 | 0.27 | 0.79 |
| 38 | U-28-8 | 28.48 | 12.7 | 101.6 | 36,322.70 | 10.61 | 38.02 | 0.07 | 0.30 | 0.88 |
| 39 | U-30-8 | 30.74 | 12.7 | 101.6 | 39,207.90 | 11.46 | 41.04 | 0.07 | 0.32 | 0.90 |
| 40 | U-32-8 | 32.08 | 12.7 | 101.6 | 40,917.08 | 11.96 | 42.83 | 0.07 | 0.33 | 0.92 |
| 41 | M-22-2 | 22.20 | 25.4 | 50.8 | 14,160.71 | 1.46 | 4.02 | 0.03 | 0.22 | 0.51 |
| 42 | M-25-2 | 25.02 | 25.4 | 50.8 | 15,955.99 | 1.65 | 4.53 | 0.03 | 0.26 | 0.58 |
| 43 | M-28-2 | 28.48 | 25.4 | 50.8 | 18,161.35 | 1.88 | 5.16 | 0.04 | 0.26 | 0.60 |
| 44 | M-30-2 | 30.74 | 25.4 | 50.8 | 19,603.95 | 2.03 | 5.57 | 0.04 | 0.26 | 0.60 |
| 45 | M-32-2 | 32.08 | 25.4 | 50.8 | 20,458.54 | 2.11 | 5.81 | 0.03 | 0.26 | 0.63 |
| 46 | M-22-4 | 22.20 | 12.7 | 50.8 | 28,321.42 | 8.27 | 16.10 | 0.03 | 0.24 | 0.58 |
| 47 | M-25-4 | 25.02 | 12.7 | 50.8 | 31,911.98 | 9.33 | 18.14 | 0.04 | 0.25 | 0.64 |
| 48 | M-28-4 | 28.48 | 12.7 | 50.8 | 36,322.70 | 10.61 | 20.64 | 0.04 | 0.26 | 0.72 |
| 49 | M-30-4 | 30.74 | 12.7 | 50.8 | 39,207.90 | 11.46 | 22.28 | 0.04 | 0.27 | 0.75 |
| 50 | M-32-4 | 32.08 | 12.7 | 50.8 | 40,917.08 | 11.96 | 23.25 | 0.04 | 0.28 | 0.78 |
| 51 | U-22-2 | 22.20 | 25.4 | 50.8 | 14,160.71 | 1.46 | 7.41 | 0.06 | 0.24 | 0.63 |
| 52 | U-25-2 | 25.02 | 25.4 | 50.8 | 15,955.99 | 1.65 | 8.35 | 0.07 | 0.27 | 0.65 |
| 53 | U-28-2 | 28.48 | 25.4 | 50.8 | 18,161.35 | 1.88 | 9.50 | 0.07 | 0.33 | 0.71 |
| 54 | U-30-2 | 30.74 | 25.4 | 50.8 | 19,603.95 | 2.03 | 10.26 | 0.07 | 0.32 | 0.72 |
| 55 | U-32-2 | 32.08 | 25.4 | 50.8 | 20,458.54 | 2.11 | 10.71 | 0.07 | 0.31 | 0.73 |
| 56 | U-22-4 | 22.20 | 12.7 | 50.8 | 28,321.42 | 8.27 | 29.64 | 0.06 | 0.25 | 0.63 |
| 57 | U-25-4 | 25.02 | 12.7 | 50.8 | 31,911.98 | 9.33 | 33.40 | 0.06 | 0.27 | 0.70 |
| 58 | U-28-4 | 28.48 | 12.7 | 50.8 | 36,322.70 | 10.61 | 38.02 | 0.06 | 0.28 | 0.84 |
| 59 | U-30-4 | 30.74 | 12.7 | 50.8 | 39,207.90 | 11.46 | 41.04 | 0.06 | 0.29 | 0.91 |
| 60 | U-32-4 | 32.08 | 12.7 | 50.8 | 40,917.08 | 11.96 | 42.83 | 0.07 | 0.29 | 0.93 |
Disclaimer/Publisher’s Note: The statements, opinions and data contained in all publications are solely those of the individual author(s) and contributor(s) and not of MDPI and/or the editor(s). MDPI and/or the editor(s) disclaim responsibility for any injury to people or property resulting from any ideas, methods, instructions or products referred to in the content. |
© 2026 by the authors. Licensee MDPI, Basel, Switzerland. This article is an open access article distributed under the terms and conditions of the Creative Commons Attribution (CC BY) license.
Share and Cite
Azimi, A.H.; Hernandez, H. Effects of Discharge and Tailwater Depth on Local Scour of Multi-Grain Beds by Circular Wall Jets. Fluids 2026, 11, 42. https://doi.org/10.3390/fluids11020042
Azimi AH, Hernandez H. Effects of Discharge and Tailwater Depth on Local Scour of Multi-Grain Beds by Circular Wall Jets. Fluids. 2026; 11(2):42. https://doi.org/10.3390/fluids11020042
Chicago/Turabian StyleAzimi, Amir H., and Homero Hernandez. 2026. "Effects of Discharge and Tailwater Depth on Local Scour of Multi-Grain Beds by Circular Wall Jets" Fluids 11, no. 2: 42. https://doi.org/10.3390/fluids11020042
APA StyleAzimi, A. H., & Hernandez, H. (2026). Effects of Discharge and Tailwater Depth on Local Scour of Multi-Grain Beds by Circular Wall Jets. Fluids, 11(2), 42. https://doi.org/10.3390/fluids11020042

