Experimental Study on Plume Diffusion Characteristics of Particle-Driven Gravity Current Under Wall Confinement
Abstract
1. Introduction
2. Experimental Set-Up
2.1. Model Test Facilities
2.2. Jet Fluid Preparation
2.3. Parameters and Test Conditions
3. Edge Detection and Image Processing Methods
4. Results and Discussion
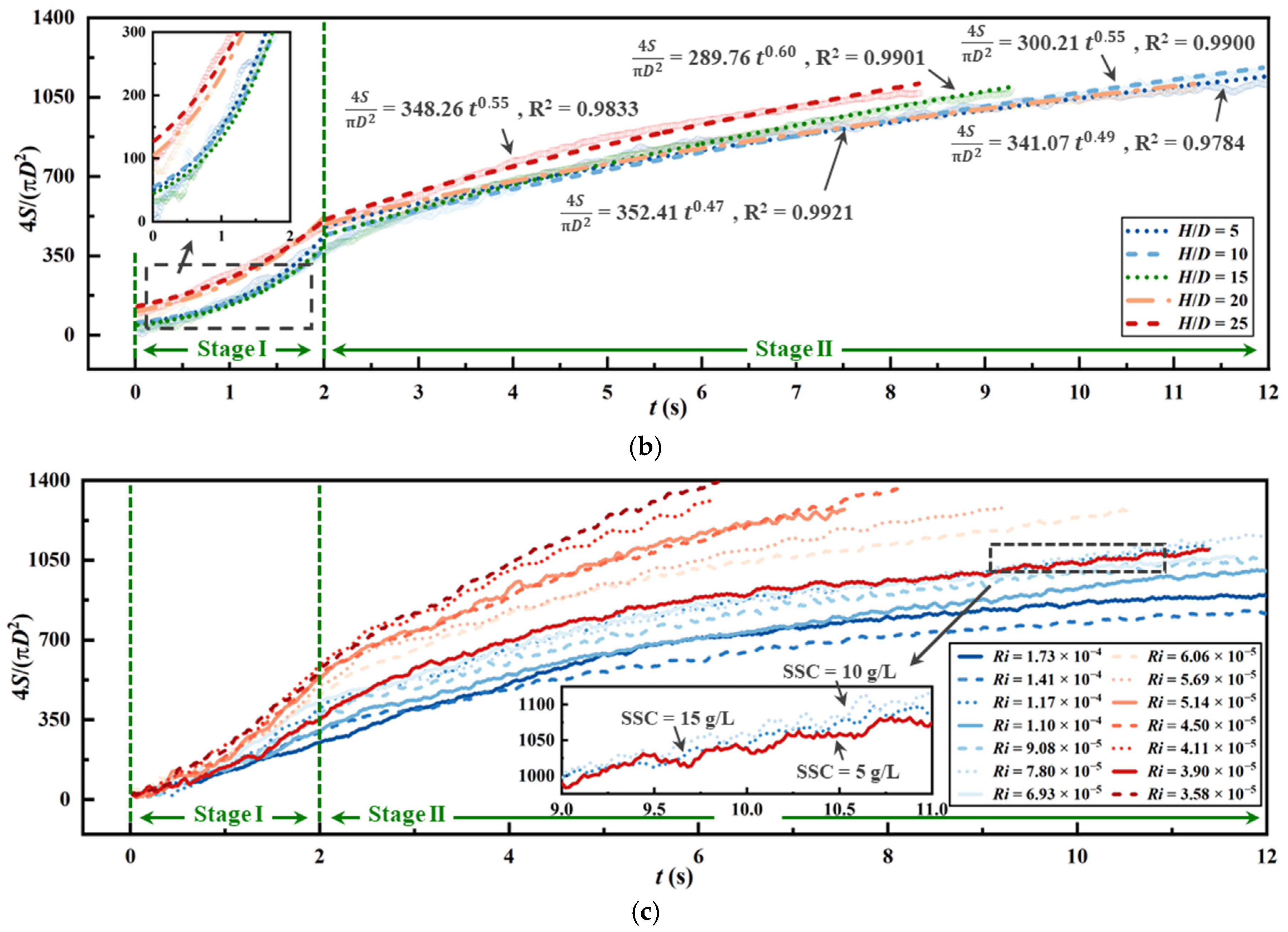
4.1. Effects of Ri and Re on Plume Diffusion Characteristics
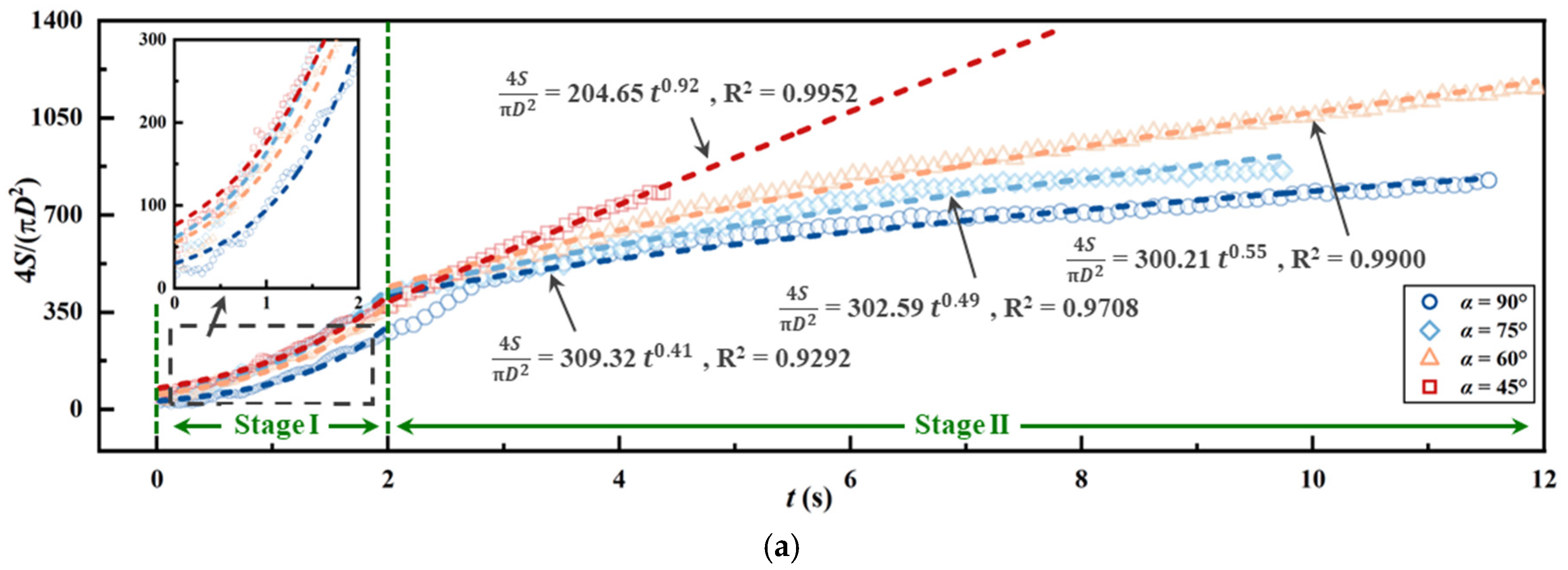
4.2. Effects of Jet Parameters on Plume Diffusion Scale
4.3. Effects of Jet Parameters on Plume Longitudinal Expansion Rate
5. Conclusions
Author Contributions
Funding
Institutional Review Board Statement
Informed Consent Statement
Data Availability Statement
Conflicts of Interest
Abbreviations
| DIP | Digital Image Processing |
| PIV | Particle Image Velocimetry |
References
- Sola, I.; Fernández-Torquemada, Y.; Forcada, A.; Valle, C.; del Pilar-Ruso, Y.; González-Correa, J.M.; Sánchez-Lizaso, J.L. Sustainable desalination: Long-term monitoring of brine discharge in the marine environment. Mar. Pollut. Bull. 2020, 161, 111813. [Google Scholar] [CrossRef] [PubMed]
- Wang, Q.; Sheng, Y.; Zhang, Y.; Zhong, X.; Liu, H.; Huang, Z.; Li, D.; Wu, H.; Ni, Y.; Zhang, J.; et al. Complete long-term monitoring of greenhouse gas emissions from a full-scale industrial wastewater treatment plant with different cover configurations. J. Environ. Manag. 2024, 360, 121206. [Google Scholar] [CrossRef] [PubMed]
- Lee, J.H.; Jirka, G.H. Vertical round buoyant jet in shallow water. J. Hydraul. Div. 1981, 107, 1651–1675. [Google Scholar] [CrossRef]
- Zhang, N.; Zhai, W.; Yin, S.; Chen, X.; Xia, J.; Luan, L.; Zhai, A. Deep-sea soft soil and deep-sea mining vehicle interaction: From soil properties to locomotion performance. Appl. Ocean Res. 2025, 154, 104372. [Google Scholar] [CrossRef]
- Purkiani, K.; Gillard, B.; Paul, A.; Haeckel, M.; Haalboom, S.; Greinert, J.; de Stigter, H.; Hollstein, M.; Baeye, M.; Vink, A.; et al. Numerical simulation of deep-sea sediment transport induced by a dredge experiment in the northeastern Pacific Ocean. Front. Mar. Sci. 2021, 8, 719463. [Google Scholar] [CrossRef]
- Oebius, H.U.; Becker, H.J.; Rolinski, S.; Jankowski, J.A. Parametrization and evaluation of marine environmental impacts produced by deep-sea manganese nodule mining. Deep Sea Res. Part II 2001, 48, 3453–3467. [Google Scholar] [CrossRef]
- Jones, D.O.B.; Kaiser, S.; Sweetman, A.K.; Smith, C.R.; Menot, L.; Vink, A.; Trueblood, D.; Greinert, J.; Billett, D.S.M.; Arbizu, P.M.; et al. Biological responses to disturbance from simulated deep-sea polymetallic nodule mining. PLoS ONE 2017, 12, e0171750. [Google Scholar] [CrossRef]
- Bleninger, T.; Jirka, G.H. Modelling and environmentally sound management of brine discharges from desalination plants. Desalination 2008, 221, 585–597. [Google Scholar] [CrossRef]
- Papanicolaou, P.N.; List, E.J. Investigations of round vertical turbulent buoyant jets. J. Fluid Mech. 1988, 195, 341–391. [Google Scholar] [CrossRef]
- Muñoz-Royo, C.; Peacock, T.; Alford, M.H.; Smith, J.A.; Le Boyer, A.; Kulkarni, C.S.; Lermusiaux, P.F.J.; Haley, P.J.; Mirabito, C.; Wang, D.; et al. Extent of impact of deep-sea nodule mining midwater plumes is influenced by sediment loading, turbulence and thresholds. Commun. Earth Environ. 2021, 2, 148. [Google Scholar] [CrossRef]
- Papakonstantis, I.G.; Christodoulou, G.C. Spreading of round dense jets impinging on a horizontal bottom. J. Hydro-Environ. Res. 2010, 4, 289–300. [Google Scholar] [CrossRef]
- Britter, R.E. The spread of a negatively buoyant plume in a calm environment. Atmos. Environ. 1979, 13, 1241–1247. [Google Scholar] [CrossRef]
- Chowdhury, M.R.; Testik, F.Y. Axisymmetric underflows from impinging buoyant jets of dense cohesive particle-laden fluids. J. Hydraul. Eng. 2015, 141, 04014079. [Google Scholar] [CrossRef]
- Shao, D.; Law, A.W.K. Turbulent mass and momentum transport of a circular offset dense jet. J. Turbul. 2009, 10, N40. [Google Scholar] [CrossRef]
- Christodoulou, G.C.; Nikiforakis, I.K.; Diamantis, T.D.; Stamou, A.I. Near-field dilution of a vertical dense jet impinging on a solid boundary. Desalin. Water Treat. 2016, 57, 4898–4905. [Google Scholar] [CrossRef]
- Wang, D.; Adams, E.E.; Munoz-Royo, C.; Peacock, T.; Alford, M.H. Effect of crossflow on trapping depths of particle plumes: Laboratory experiments and application to the PLUMEX field experiment. Environ. Fluid Mech. 2021, 21, 741–757. [Google Scholar] [CrossRef]
- James, C.B.; Mingotti, N.; Woods, A.W. On particle separation from turbulent particle plumes in a cross-flow. J. Fluid Mech. 2022, 932, A45. [Google Scholar] [CrossRef]
- Eames, I.; Gilbertson, M.A.; Landeryou, M. The effect of an ambient flow on the spreading of a viscous gravity current. J. Fluid Mech. 2005, 523, 261–275. [Google Scholar] [CrossRef]
- Huppert, H.E. Gravity currents: A personal perspective. J. Fluid Mech. 2006, 554, 299–322. [Google Scholar] [CrossRef]
- Noh, Y.; Fernando, H.J.S. Gravity current propagation along an incline in the presence of boundary mixing. J. Geophys. Res. Ocean. 1991, 96, 12586–12592. [Google Scholar] [CrossRef]
- Liu, S.; Yang, J.; Lyu, H.; Sun, P.; Zhang, B. A numerical investigation of the effects of deep-sea mining vehicles on the evolution of sediment plumes based on the combination of near-and far-field models. Appl. Ocean Res. 2024, 149, 104048. [Google Scholar] [CrossRef]
- Liu, S.; Yang, J.; Lyu, H.; Sun, P.; Zhang, B. Experimental and numerical investigation of the effect of deep-sea mining vehicles on the discharge plumes. Phys. Fluids 2024, 36, 033358. [Google Scholar] [CrossRef]
- Ouillon, R.; Kakoutas, C.; Meiburg, E.; Peacock, T. Gravity currents from moving sources. J. Fluid Mech. 2021, 924, A43. [Google Scholar] [CrossRef]
- Yang, Y.; Chen, J.; Wang, Y. Particle plume dispersion with various incident velocities: Particle–fluid interaction regimes from coupled discrete element-large eddy simulations. Phys. Fluids 2024, 36, 083318. [Google Scholar] [CrossRef]
- Xie, J.; Hu, P.; Pähtz, T.; He, Z.; Cheng, N. Fluid-particle interaction regimes during the evolution of turbidity currents from a coupled LES/DEM model. Adv. Water Resour. 2022, 163, 104171. [Google Scholar] [CrossRef]
- Bai, T.; Zhao, Y.; Zhou, Y.; Huang, K. Numerical simulation and analysis of initial plume discharge of deep-sea mining. Ocean Eng. 2024, 310, 118794. [Google Scholar] [CrossRef]
- Alhaddad, S.; Elerian, M. Mitigating suspended-sediment environmental pressure in subsea engineering through colliding turbidity currents. Results Eng. 2024, 21, 101916. [Google Scholar] [CrossRef]
- Reagle, C.J.; Delimont, J.M.; Ng, W.F.; Ekkad, S.V.; Rajendran, V.P. Measuring the coefficient of restitution of high speed microparticle impacts using a PTV and CFD hybrid technique. Meas. Sci. Technol. 2013, 24, 105303. [Google Scholar] [CrossRef]
- Jiang, J.; Law, A.W.K.; Cheng, N.S. Two-phase analysis of vertical sediment-laden jets. J. Eng. Mech. 2005, 131, 308–318. [Google Scholar] [CrossRef]
- Burridge, H.C.; Partridge, J.L.; Linden, P.F. The fluxes and behaviour of plumes inferred from measurements of coherent structures within images of the bulk flow. Atmos. Ocean 2016, 54, 403–417. [Google Scholar] [CrossRef]
- Kalita, B.; Florez, L.P.; Landau, E.; Ward, R.; Holyoke, J.; Johnson, B.A. Characterizing visual structures in a buoyant plume. Exp. Fluids 2024, 65, 136. [Google Scholar] [CrossRef]
- Wang, L.; Lei, H.; Bo, Y.; Jiang, M.; Wang, P.; Liu, M. Geotechnical behavior of soft dredger fill and deep sea soft clay. In IOP Conference Series: Earth and Environmental Science; IOP Publishing: Beijing, China, 2020. [Google Scholar]
- Ellison, T.H.; Turner, J.S. Turbulent entrainment in stratified flows. J. Fluid Mech. 1959, 6, 423–448. [Google Scholar] [CrossRef]
- Chowdhury, M.R.; Testik, F.Y. A review of gravity currents formed by submerged single-port discharges in inland and coastal waters. Environ. Fluid Mech. 2014, 14, 265–293. [Google Scholar] [CrossRef]
- Guan, L.; Zhang, D.; Xia, Y.; Xia, J. Comparison and analysis of deep-sea polymetallic nodule collection methods and structural parameters. J. Ocean Technol. 2021, 40, 62–70. [Google Scholar]
- Zhang, X.; Wu, Z.; Ma, N.; Chen, X.; Lu, Q.; Jin, S.; Wang, L. Experimental analysis of abyssal sediment erosion by a traveling double-row jet. Ocean Eng. 2024, 313, 119474. [Google Scholar] [CrossRef]
- Pratt, W.K. Digital Image Processing: PIKS Scientific Inside; Wiley-Interscience: Hoboken, NJ, USA, 2007; pp. 3–21. [Google Scholar]
- Jirka, G.H.; Domeker, R.L. Hydrodynamic classification of submerged single-port discharges. J. Hydraul. Eng. 1991, 117, 1095–1112. [Google Scholar] [CrossRef]
- Wang, H.; Law, A.W.K. Second-order integral model for a round turbulent buoyant jet. J. Fluid Mech. 2002, 459, 397–428. [Google Scholar] [CrossRef]
- Turner, J.S. Turbulent entrainment: The development of the entrainment assumption, and its application to geophysical flows. J. Fluid Mech. 1986, 173, 431–471. [Google Scholar] [CrossRef]
- Huppert, H.E. The propagation of two-dimensional and axisymmetric viscous gravity currents over a rigid horizontal surface. J. Fluid Mech. 1982, 121, 43–58. [Google Scholar] [CrossRef]
- Ungarish, M.; Zemach, T. On the slumping of high Reynolds number gravity currents in two-dimensional and axisymmetric configurations. Eur. J. Mech. B Fluids 2005, 24, 71–90. [Google Scholar] [CrossRef]
- Winterwerp, J.C. On the flocculation and settling velocity of estuarine mud. Cont. Shelf Res. 2002, 22, 1339–1360. [Google Scholar] [CrossRef]
- Wygnanski, I.; Fiedler, H. Some measurements in the self-preserving jet. J. Fluid Mech. 1969, 38, 577–612. [Google Scholar] [CrossRef]
- Panchapakesan, N.R.; Lumley, J.L. Turbulence measurements in axisymmetric jets of air and helium. Part 1. Air jet. J. Fluid Mech. 1993, 246, 197–223. [Google Scholar] [CrossRef]
- Elghobashi, S. On predicting particle-laden turbulent flows. Appl. Sci. Res. 1994, 52, 309–329. [Google Scholar] [CrossRef]
- Balachandar, S.; Eaton, J.K. Turbulent dispersed multiphase flow. Annu. Rev. Fluid Mech. 2010, 42, 111–133. [Google Scholar] [CrossRef]












| Case No. | α (°) | H (cm) | SSC0 (g/L) | v (m/s) | Ri | Re |
|---|---|---|---|---|---|---|
| A1–A4 | 90, 75, 60, 45 | 10 | 10 | 3.51 | 7.80 × 10−5 | 3.47 × 104 |
| B1–B5 | 60 | 5, 10, 15, 20, 25 | 10 | 3.51 | 7.80 × 10−5 | 3.47 × 104 |
| C1 | 60 | 10 | 5 | 3.51 | 3.90 × 10−5 | 3.49 × 104 |
| C2 | 60 | 10 | 10 | 3.51 | 7.80 × 10−5 | 3.47 × 104 |
| C3 | 60 | 10 | 15 | 3.51 | 1.17 × 10−4 | 3.44 × 104 |
| D1 | 60 | 10 | 10 | 2.35 | 1.73 × 10−4 | 2.33 × 104 |
| D2 | 60 | 10 | 10 | 2.61 | 1.41 × 10−4 | 2.58 × 104 |
| D3 | 60 | 10 | 10 | 2.95 | 1.10 × 10−4 | 2.92 × 104 |
| D4 | 60 | 10 | 10 | 3.25 | 9.08 × 10−5 | 3.22 × 104 |
| D5 | 60 | 10 | 10 | 3.51 | 7.80 × 10−5 | 3.47 × 104 |
| D6 | 60 | 10 | 10 | 3.72 | 6.93 × 10−5 | 3.69 × 104 |
| D7 | 60 | 10 | 10 | 3.98 | 6.06 × 10−5 | 3.94 × 104 |
| D8 | 60 | 10 | 10 | 4.11 | 5.69 × 10−5 | 4.07 × 104 |
| D9 | 60 | 10 | 10 | 4.32 | 5.14 × 10−5 | 4.28 × 104 |
| D10 | 60 | 10 | 10 | 4.62 | 4.50 × 10−5 | 4.58 × 104 |
| D11 | 60 | 10 | 10 | 4.83 | 4.11 × 10−5 | 4.79 × 104 |
| D12 | 60 | 10 | 10 | 5.18 | 3.58 × 10−5 | 5.13 × 104 |
Disclaimer/Publisher’s Note: The statements, opinions and data contained in all publications are solely those of the individual author(s) and contributor(s) and not of MDPI and/or the editor(s). MDPI and/or the editor(s) disclaim responsibility for any injury to people or property resulting from any ideas, methods, instructions or products referred to in the content. |
© 2026 by the authors. Licensee MDPI, Basel, Switzerland. This article is an open access article distributed under the terms and conditions of the Creative Commons Attribution (CC BY) license.
Share and Cite
Li, Y.; Zhao, G.; Xiao, L.; Xu, L. Experimental Study on Plume Diffusion Characteristics of Particle-Driven Gravity Current Under Wall Confinement. J. Mar. Sci. Eng. 2026, 14, 295. https://doi.org/10.3390/jmse14030295
Li Y, Zhao G, Xiao L, Xu L. Experimental Study on Plume Diffusion Characteristics of Particle-Driven Gravity Current Under Wall Confinement. Journal of Marine Science and Engineering. 2026; 14(3):295. https://doi.org/10.3390/jmse14030295
Chicago/Turabian StyleLi, Yuyao, Guocheng Zhao, Longfei Xiao, and Lixin Xu. 2026. "Experimental Study on Plume Diffusion Characteristics of Particle-Driven Gravity Current Under Wall Confinement" Journal of Marine Science and Engineering 14, no. 3: 295. https://doi.org/10.3390/jmse14030295
APA StyleLi, Y., Zhao, G., Xiao, L., & Xu, L. (2026). Experimental Study on Plume Diffusion Characteristics of Particle-Driven Gravity Current Under Wall Confinement. Journal of Marine Science and Engineering, 14(3), 295. https://doi.org/10.3390/jmse14030295

