Sign in to use this feature.

Years

Between: -

Subjects

remove_circle_outline
remove_circle_outline
remove_circle_outline
remove_circle_outline
remove_circle_outline
remove_circle_outline
remove_circle_outline
remove_circle_outline
remove_circle_outline

Journals

Article Types

Countries / Regions

remove_circle_outline
remove_circle_outline
remove_circle_outline
remove_circle_outline
remove_circle_outline

Search Results (295)

Search Parameters:
Keywords = walkable cities

Order results
Result details
Results per page
Select all
Export citation of selected articles as:
30 pages, 802 KB  
Article
Investigating Willingness to Shift to Formal Sustainable Public Transportation in Developing Cities: A Correlated Random Parameters Bivariate Probit Model
by Ziyad Shahin, Ahmed Mahmoud Darwish and Mohamed Shaaban Alfiqi
Future Transp. 2026, 6(2), 72; https://doi.org/10.3390/futuretransp6020072 - 29 Mar 2026
Abstract
Informal public transportation remains the backbone of urban mobility in many developing cities. While these systems offer flexible and affordable services, they are often associated with safety issues, unreliability, congestion, and environmental impacts. Consequently, transitioning travelers toward formal public transportation is a key [...] Read more.
Informal public transportation remains the backbone of urban mobility in many developing cities. While these systems offer flexible and affordable services, they are often associated with safety issues, unreliability, congestion, and environmental impacts. Consequently, transitioning travelers toward formal public transportation is a key objective for sustainable transport planning. This study investigates travelers’ willingness to shift from their current travel modes to a proposed Metro system in Alexandria, Egypt. The analysis uses stated preference data collected through interviews that presented respondents with multiple service scenarios. A correlated random parameters bivariate probit model with heterogeneity in means is estimated to capture interdependence between responses. The results reveal strong and statistically significant cross-equation error correlations, confirming that decisions are not independent and supporting the use of a joint modeling approach. Empirical results indicate that willingness to shift is influenced by socio-demographic characteristics, trip attributes, and current travel conditions. Female travelers are more sensitive to waiting time, while low-income and older individuals are less likely to shift across scenarios. Physical accessibility, especially walkability to and from stations, emerges as the most influential factor in encouraging adoption. These findings provide policymakers with actionable insights for designing inclusive, accessible, and sustainable public transportation systems. Full article
(This article belongs to the Special Issue Travel Behavior in the Era of Future Public Transport Systems)
25 pages, 1126 KB  
Article
Humanizing Active Mobility Corridors: A Conceptual Framework for Walkability in the Dammam Metropolitan Area, Saudi Arabia
by Yaman Adnan Alsaeedi, Maher S. Alshammari and Ali M. Alqahtany
Sustainability 2026, 18(7), 3180; https://doi.org/10.3390/su18073180 - 24 Mar 2026
Viewed by 131
Abstract
The Dammam Metropolitan Area (DMA) has been experiencing tremendous growth driven by increasing population and the oil industry. This has culminated in the development of the DMA, where the transportation system is reliant on automobiles, wide arterials, and a disjointed pedestrian environment. With [...] Read more.
The Dammam Metropolitan Area (DMA) has been experiencing tremendous growth driven by increasing population and the oil industry. This has culminated in the development of the DMA, where the transportation system is reliant on automobiles, wide arterials, and a disjointed pedestrian environment. With the increasing progression of the Vision 2030 initiative, the Kingdom of Saudi Arabia (KSA) is focusing on livability and sustainable mobility. However, despite the massive efforts, the concepts of humanizing active mobility corridors remain insufficiently developed across Saudi cities. The paper will discuss the conceptual framework for developing the active mobility corridors of the DMA, an initiative of walkability, livability, and sustainable mobility with specific regard to the study region’s climatic and cultural environment. The methodology relies on qualitative desktop research supported by a structured and iterative literature synthesis using snowballing techniques. The resulting framework positions active mobility not merely as a transport function, but as a multidimensional system that promotes inclusion, comfort, and environmental resilience. Offering design and policy principles tailored to hot-arid Gulf contexts that contributes to national efforts to advance Quality of Life objectives under Vision 2030. Ultimately, this framework aims to contribute in human-centered mobility across the KSA and similar urban areas. Full article
(This article belongs to the Section Sustainable Urban and Rural Development)
Show Figures

Figure 1

27 pages, 6869 KB  
Article
Pedestrian Routing and Walkability Inference Using Realized WiFi Connectivity
by Tun Tun Win, Thanisorn Jundee and Santi Phithakkitnukoon
ISPRS Int. J. Geo-Inf. 2026, 15(3), 139; https://doi.org/10.3390/ijgi15030139 - 23 Mar 2026
Viewed by 497
Abstract
Traditional pedestrian routing algorithms typically minimize physical distance or travel time, often overlooking contextual factors that influence route choice in digitally connected environments. As public WiFi infrastructure becomes increasingly prevalent in smart-city districts and university campuses, digital connectivity may influence pedestrian mobility decisions. [...] Read more.
Traditional pedestrian routing algorithms typically minimize physical distance or travel time, often overlooking contextual factors that influence route choice in digitally connected environments. As public WiFi infrastructure becomes increasingly prevalent in smart-city districts and university campuses, digital connectivity may influence pedestrian mobility decisions. This study introduces P-WARP, a multi-factor routing and inference framework that reconstructs latent pedestrian preferences by integrating physical effort, environmental walkability, and WiFi connectivity within a unified semantic graph. The empirical analysis is conducted on the Chiang Mai University campus, a digitally connected environment serving as a smart campus testbed. The framework integrates heterogeneous spatial datasets, including OpenStreetMap topology, Shuttle Radar Topography Mission elevation data, environmental walkability grids, and WiFi roaming logs collected via a custom mobile sensing application from 21 volunteers across 71 verified walking trips. Two routing strategies are evaluated: a Global Static Model, representing infrastructure-based connectivity assumptions, and a Trip-Centric Dynamic Model, incorporating realized connectivity histories. Model parameters are calibrated using Bayesian Optimization with five-fold cross-validation. Results show that incorporating realized connectivity reduces trajectory reconstruction error by 6.84% relative to the baseline. The learned parameters reveal a notable detour tolerance, suggesting that stable digital connectivity can influence pedestrian route choice in digitally instrumented environments. Full article
Show Figures

Figure 1

48 pages, 9235 KB  
Article
Diagnosing TOD in Gulf Heritage Cores Using the Integrated Modification Methodology (IMM): A Comparative Study of Souq Waqif (Doha) and Qasr Al Hokm (Riyadh)
by Silvia Mazzetto, Raffaello Furlan and Jalal Hoblos
Sustainability 2026, 18(6), 2774; https://doi.org/10.3390/su18062774 - 12 Mar 2026
Viewed by 224
Abstract
This paper investigates the application of Transit-Oriented Development (TOD) principles to the retrofitting of historic Gulf urban cores through a comparative analysis of Souq Waqif (Doha) and Qasr Al Hokm (Riyadh). The research employs field observation, thematic mapping, and qualitative diagnosis using the [...] Read more.
This paper investigates the application of Transit-Oriented Development (TOD) principles to the retrofitting of historic Gulf urban cores through a comparative analysis of Souq Waqif (Doha) and Qasr Al Hokm (Riyadh). The research employs field observation, thematic mapping, and qualitative diagnosis using the Integrated Modification Methodology (IMM) to assess compactness, intricacy, and connectivity within walkable station catchments. The findings indicate that Souq Waqif has a highly compact and intricate historic core with robust pedestrian activity, yet exhibits discontinuities at its periphery, such as car-dominated streets, fragmented green spaces, and weak connections between the metro station, parks, and adjacent blocks. In Qasr Al Hokm, the analysis affirms the value of its fine-grained historic fabric and civic landmarks, but also identifies deficiencies in shading, last-mile connectivity, and land-use balance surrounding the new metro station. Drawing on lessons from Souq Waqif, the paper proposes a TOD-oriented urban design framework for Qasr Al Hokm, emphasizing shaded pedestrian corridors, active ground floors, intermodal hubs, and heritage-compatible mixed-use intensification. This comparative approach demonstrates how TOD can foster more livable, accessible, and climate-responsive historic cores in Gulf cities, while maintaining respect for local identity and governance structures. Full article
Show Figures

Figure 1

32 pages, 6394 KB  
Article
A Machine-Learning Approach for Evaluating Perceived Walking Comfort in Macau’s High-Density Urban Environment
by Zhimu Gong, Junling Zhou, Xuefang Zhang, Lingfeng Xie, Guanxu Luo, Xiping Luo, Jiayi Fu, Yitong Guo and Xiaoyan Zhi
Buildings 2026, 16(6), 1103; https://doi.org/10.3390/buildings16061103 - 10 Mar 2026
Viewed by 243
Abstract
Evaluating pedestrian comfort in high-density cities requires methods integrating subjective experience with urban morphology. This study develops an integrated framework combining pairwise comparison scoring, semantic segmentation (DeepLabv3+), ensemble learning (Random Forest), and SHAP-based interpretability. EfficientNet-B7 is used to expand pairwise datasets and derive [...] Read more.
Evaluating pedestrian comfort in high-density cities requires methods integrating subjective experience with urban morphology. This study develops an integrated framework combining pairwise comparison scoring, semantic segmentation (DeepLabv3+), ensemble learning (Random Forest), and SHAP-based interpretability. EfficientNet-B7 is used to expand pairwise datasets and derive continuous comfort scores across Macau’s street network. Four experiential street types are identified: historical–cultural districts, urban lifestyle areas, natural corridors, and leisure zones. SHAP analysis illustrates stable associations between predicted comfort scores and multi-layered spatial configurations, including cultural legibility and sequencing in historic cores, moderate greenery with functional anchoring in residential areas, and scene coherence in tourism zones. Semantic features serve as effective morphological proxies within the modeling framework. Methodologically, the framework demonstrates how explainable machine learning can be applied to dense Asian cities under observational conditions. Design implications emphasize interface continuity, microclimate adaptation, and functional enrichment, suggesting that pedestrian comfort is closely related to coherent spatial–experiential structures rather than isolated environmental upgrades. Full article
Show Figures

Figure 1

18 pages, 637 KB  
Review
Climate Resilience in Cities: Improving Health and Well-Being Through “Greener” Commuting and Working Environments
by Meital Peleg Mizrachi and David Pearlmutter
Sustainability 2026, 18(5), 2554; https://doi.org/10.3390/su18052554 - 5 Mar 2026
Viewed by 299
Abstract
Cities play a central role in shaping societal responses to the climate crisis, concentrating both on climate risks and institutional capacity to address them. While climate impacts are widely distributed, they are experienced unevenly, with marginalized populations facing disproportionate exposure to economic disruption [...] Read more.
Cities play a central role in shaping societal responses to the climate crisis, concentrating both on climate risks and institutional capacity to address them. While climate impacts are widely distributed, they are experienced unevenly, with marginalized populations facing disproportionate exposure to economic disruption and environmental stress, particularly in urban environments. This article examines how cities can enhance climate resilience while supporting a just transition to a post-carbon economy. It addresses three interrelated questions: how vulnerable urban populations can be better prepared for green employment; how transformations in work and commuting can promote compact, mixed-use, and transit-friendly urban districts; and how such districts can be designed to protect residents from urban heat and improve walkability through shade and nature-based solutions. The analysis synthesizes findings from recent empirical studies and applied policy initiatives, including a municipal green-employment pilot in Tel Aviv-Yafo, the “Reinventing Paris” office-to-housing program, and urban heat and pedestrian-behavior research. Together, these cases illustrate how physical adaptation strategies interact with labor-market dynamics and social policy. The article concludes that effective urban climate resilience requires integrating infrastructural and spatial interventions with labor-market transformation, social protection, and inclusive governance, positioning cities as key operational units for advancing equitable climate action. Full article
Show Figures

Graphical abstract

30 pages, 21334 KB  
Article
Measuring Retail Resilience Using a Geospatial Multi-Criteria Model: A Case Study of Saida, Lebanon
by Nour Ahmad El Baba, Ibtihal Y. El Bastawissi, Ayman Afify and Hiba Mohsen
Urban Sci. 2026, 10(2), 120; https://doi.org/10.3390/urbansci10020120 - 18 Feb 2026
Viewed by 699
Abstract
Urban retail environments are social and economic manifestations of a city, enhancing economic growth and social cohesion. However, they increasingly face challenges from economic downturns, changing consumer preferences, and spatial dynamics, making their ability to adapt and remain viable a critical concern. In [...] Read more.
Urban retail environments are social and economic manifestations of a city, enhancing economic growth and social cohesion. However, they increasingly face challenges from economic downturns, changing consumer preferences, and spatial dynamics, making their ability to adapt and remain viable a critical concern. In this context, retail resilience refers to the capacity of urban retail environments to absorb disturbances, adapt to change, and sustain their economic and social functions over time. Despite growing interest in urban resilience, the operationalization of retail resilience through spatially explicit and measurable indicators remains limited, as many assessments focus on city or regional scales and overlook variations at the neighborhood level. Thus, this paper aims to develop a geospatial multi-criteria model yielding a composite Urban Retail Resilience Index (URRI) to analyze and interpret retail resilience in Saida’s urban retail environment through an adaptive cycle lens. The URRI combines indicators related to diversity, spatial proximity, and socioeconomic conditions, and is applied using two weighting scenarios—baseline and stakeholder-based weights—to test the model’s robustness and reflect local priorities. The results reveal distinct spatial variations in retail resilience across the study area, enabling the identification of hotspots for interventions and highlighting the role of accessibility and diversity in shaping the adaptive capacity. These findings confirm that Saida’s retail resilience is closely linked to walkability and socio-cultural characteristics. The proposed geospatial multi-criteria model provides a robust and replicable framework for assessing retail resilience, offering practical insights for urban planners and policymakers. Full article
(This article belongs to the Section Urban Planning and Design)
Show Figures

Figure 1

27 pages, 11049 KB  
Article
Assessing Walkability and Safety: A Spatial Multi-Criteria Method for Evaluating Unsignalized Pedestrian Crossings for Sustainable Urban Mobility
by Marcin Jacek Kłos and Stanisław Krawiec
Sustainability 2026, 18(4), 1768; https://doi.org/10.3390/su18041768 - 9 Feb 2026
Viewed by 312
Abstract
Accurate inventories of pedestrian infrastructure are pivotal for effective sustainable spatial planning and form the foundation for developing walkable, equitable cities. This paper proposes a spatial multi-criteria framework for conducting detailed inventories and safety evaluations of unsignalized pedestrian crossings by integrating field data [...] Read more.
Accurate inventories of pedestrian infrastructure are pivotal for effective sustainable spatial planning and form the foundation for developing walkable, equitable cities. This paper proposes a spatial multi-criteria framework for conducting detailed inventories and safety evaluations of unsignalized pedestrian crossings by integrating field data collection with Geographic Information Systems (GIS). The approach involves a structured survey protocol to capture over 19 infrastructure attributes, which are subsequently aggregated into a weighted scoring system to calculate an Unsignalized Pedestrian Crossing Quality Index (UPCQI). Field data acquisition is supported by mobile applications and photographic documentation. A core component of this framework is the integration of infrastructure quality scores with spatial analysis of critical Points of Interest (POIs), where there is high pedestrian demand. The methodology’s feasibility is validated through a pilot study in a selected city, which detects “weak links” in the network specifically crossings with low quality scores located in zones of high pedestrian potential. Finally, the paper discusses the role of this decision-support tool in supporting sustainable urban mobility goals, enabling targeted safety analyses, assessing accessibility, and informing evidence-based spatial planning decisions. It provides methodological recommendations for road managers aiming to create safer, more sustainable urban environments. Full article
(This article belongs to the Special Issue Sustainable and Smart Transportation Systems)
Show Figures

Figure 1

29 pages, 10840 KB  
Article
Who Truly Benefits from Community Walkability? Social Differentiation of the Walking Environment in Kunming, China
by Siyu Cheng, Zhenhai Xiang and Pengfei Ban
Land 2026, 15(2), 283; https://doi.org/10.3390/land15020283 - 9 Feb 2026
Viewed by 431
Abstract
Inequity in urban walking resources has been garnering increasing scholarly attention. However, there is still no widely accepted tool for assessing walkability, making results difficult to compare across studies. In addition, the ways in which walkability equity is typically defined and measured often [...] Read more.
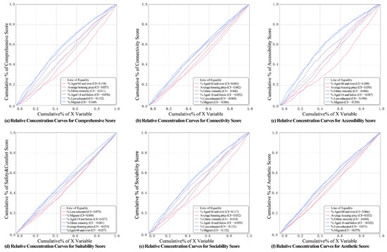
Inequity in urban walking resources has been garnering increasing scholarly attention. However, there is still no widely accepted tool for assessing walkability, making results difficult to compare across studies. In addition, the ways in which walkability equity is typically defined and measured often overlook China’s local context. Therefore, this study develops a comprehensive walkability evaluation framework for Kunming’s main urban area using open-source data and census information, synthesizing 15 indicators across five dimensions (connectivity, accessibility, suitability, sociability, and aesthetics) analyzed through the Catastrophe Theory models (CT models). Furthermore, spatial autocorrelation, the Concentration Index (CI), and an interpretable machine learning framework (Random Forest-SHAP) are employed to examine the relationships between community walkability disparities and socio-economic factors for a spatial justice assessment. The results show the following: (1) Community walkability in the main urban area of Kunming exhibits a “core–periphery” spatial distribution pattern, where connectivity, accessibility, and sociability follow the general pattern, while suitability and aesthetics display heterogeneous spatial distributions. (2) The social differentiation characteristics of community walkability in Kunming’s main urban area correlate significantly with age structure, hukou registration, and social status, but show limited association with ethnicity and economic status. These findings challenge Western-centric social differentiation paradigms and underscore the context-specific nature of walkability equity in China, thus providing new perspectives for the understanding of built environment justice in the context of Chinese cities. Full article
Show Figures

Figure 1

17 pages, 3309 KB  
Article
Semantic Segmentation for Walkability Assessment in Southeast Asian Streetscapes
by Yunkyung Choi, Darren Ho Di Xiang and Samuel Chng
Sustainability 2026, 18(3), 1355; https://doi.org/10.3390/su18031355 - 29 Jan 2026
Viewed by 414
Abstract
Walkable urban environments are increasingly recognized as essential for sustainable mobility, public health, and social well-being. While macro-scale indicators of walkability are widely used, growing evidence highlights the importance of street-level physical conditions experienced at eye level. Advances in computer vision and street [...] Read more.
Walkable urban environments are increasingly recognized as essential for sustainable mobility, public health, and social well-being. While macro-scale indicators of walkability are widely used, growing evidence highlights the importance of street-level physical conditions experienced at eye level. Advances in computer vision and street view imagery (SVI) offer new opportunities to quantify such streetscape characteristics, yet the applicability of existing semantic segmentation models in developing urban contexts remains underexplored. This study evaluates the suitability of five state-of-the-art semantic segmentation models for streetscape analysis using crowdsourced SVI from Phnom Penh, Cambodia. Through a comparative analysis, Oneformer was identified as the most suitable semantic segmentation model, uniquely successful in identifying street vendors through surrogate semantic class (base) and street furniture. A rigorous quantitative validation using manually annotated images confirmed the model’s reliability, achieving an mIoU of 65.7% within the complex urban fabric of Phnom Penh. This performance stems from OneFormer’s unified task-conditioned framework, which integrates semantic, instance, and panoptic information within a single query. Such an architecture ensures enhanced boundary stability and semantic coherence by consolidating visual noise into meaningful units, making it particularly robust for processing the irregular street elements typical of Southeast Asian cities. Applying the selected model revealed pronounced spatial variation in streetscape composition across three neighborhoods, reflecting distinct development stages and levels of informality. These findings suggest that carefully selected pretrained models can yield analytically useful representations of streetscape conditions in data-constrained settings, supporting more context-sensitive and inclusive urban analysis in rapidly developing cities. Full article
Show Figures

Figure 1

29 pages, 17493 KB  
Article
Towards Sustainable Historic Waterfront Streets: Integrating Semantic Segmentation and sDNA for Visual Perception Evaluation and Optimization in Liaocheng City, China
by Zhe Liu, Yining Zhang, Xianyu He, Di Zhang and Shanghong Ai
Sustainability 2026, 18(2), 1099; https://doi.org/10.3390/su18021099 - 21 Jan 2026
Viewed by 269
Abstract
Historic waterfront streets are not only an important component of urban public spaces but also highlight the distinctive features and historical contexts of the city. High-quality streetscape visual perception plays a crucial role in advancing the cultural, social, environmental, and economic sustainability of [...] Read more.
Historic waterfront streets are not only an important component of urban public spaces but also highlight the distinctive features and historical contexts of the city. High-quality streetscape visual perception plays a crucial role in advancing the cultural, social, environmental, and economic sustainability of the urban street space. This study was initiated to construct a multi-dimension and multi-scale comprehensive evaluation framework to assess the visual quality of waterfront streets, taking “Water City” Liaocheng as a typical case. Technical methods of semantic segmentation, sDNA (Spatial Design Network Analysis), GIS (Geographic Information System), and statistical analysis were utilized. Following the extraction and classification of street space elements, a multi-dimensional evaluation index system of natural coordination, artificial comfort, and historical culture for the visual assessment was established. Space syntax was performed on waterfront streets by sDNA to quantify macro-level scale spatial structure and meso-level scale pedestrian accessibility. The results of micro-scale visual perception, meso-scale behavioral walkability, and macro-scale spatial structure, were integrated to construct a multi-scale diagnostic framework for eight classifications. This framework provides a scientific basis to put forwards the refined and sustainable optimization strategies for historic waterfront streets. Full article
(This article belongs to the Special Issue Socially Sustainable Urban and Architectural Design)
Show Figures

Figure 1

27 pages, 7277 KB  
Article
Designing Safer Pedestrian Interactions with Autonomous Vehicles: A Virtual Reality Study of External Human-Machine Interfaces in Road-Crossing Scenarios
by Raul Almeida, Frederico Pereira, Dário Machado, Emanuel Sousa, Susana Faria and Elisabete Freitas
Appl. Sci. 2026, 16(2), 1080; https://doi.org/10.3390/app16021080 - 21 Jan 2026
Viewed by 353
Abstract
As autonomous vehicles (AVs) become part of urban environments, pedestrian safety and interactions with these vehicles are critical to creating sustainable, walkable cities. Intuitive pedestrian-vehicle communication is essential not only for reducing crash risk but also for supporting policies that promote active mobility [...] Read more.
As autonomous vehicles (AVs) become part of urban environments, pedestrian safety and interactions with these vehicles are critical to creating sustainable, walkable cities. Intuitive pedestrian-vehicle communication is essential not only for reducing crash risk but also for supporting policies that promote active mobility and efficient traffic flow. This study investigates pedestrian crossing behavior in a fully immersive virtual reality environment, building on previous work by the authors conducted in a CAVE-type simulator. Participants crossed between a conventional vehicle and an AV when they perceived it was safe. The analysis examines how external human–machine interfaces (eHMIs) influence crossing decisions, collisions, safety margins, and crossing initiation time (CIT) across different vehicle speeds and traffic gaps. Three hypotheses were tested regarding the effects of eHMIs on CIT, risk-taking behavior, and perceived safety. Results show that eHMIs significantly affect pedestrian decisions: participants delayed crossings when the eHMI indicated non-yielding behavior and initiated crossings earlier when yielding was signaled. Risk-taking behavior increased at higher vehicle speeds and shorter time gaps. Although perceived safety did not increase, behavioral results indicate reliance on visual cues. These findings underscore the importance of standardizing eHMIs to support pedestrian safety and sustainable urban mobility. Full article
(This article belongs to the Section Computing and Artificial Intelligence)
Show Figures

Figure 1

22 pages, 2612 KB  
Article
Dynamic Walkability Index (DWI)—Enhancing Walking Equity for the City of Čačak, Serbia
by Ana Trpković, Sreten Jevremović, Nevena Marinković, Ranka Gajić and Svetlana Batarilo
Urban Sci. 2026, 10(1), 59; https://doi.org/10.3390/urbansci10010059 - 18 Jan 2026
Viewed by 861
Abstract
Walkability for non-motorized users is crucial for fostering inclusive, healthy, and sustainable communities. By prioritizing modern human-centered design principles, social equality is promoted for all categories of users, regardless of physical abilities or socio-economic status. Despite the importance of this indicator, a series [...] Read more.
Walkability for non-motorized users is crucial for fostering inclusive, healthy, and sustainable communities. By prioritizing modern human-centered design principles, social equality is promoted for all categories of users, regardless of physical abilities or socio-economic status. Despite the importance of this indicator, a series of inconsistencies that produce inadequate and inaccessible urban space can still be observed in cities. The aim of this paper is to present the methodology for the calculation of the walkability index at the local level. This new methodological procedure considers walkability for pedestrians, with a special focus on people with reduced mobility. Based on specifically defined criteria, initial calculations were performed and integrated into the dynamic walkability index (DWI). One of the main advantages of this index is that it includes the dynamic component of the share of different categories of users in the total sample, which enables simple time modification without repeating the entire procedure. The developed methodology can be used as a tool for ranking existing street segments according to the urgency of reconstruction, while on the other hand promoting equality and inclusion of all categories of users in decision-making processes, thus creating more comfortable and safer environments. Full article
(This article belongs to the Special Issue Sustainable Transportation and Urban Environments-Public Health)
Show Figures

Figure 1

22 pages, 5149 KB  
Article
Integrating Heritage, Mobility, and Sustainability: A TOD-Based Framework for Msheireb Downtown Doha
by Sarah Al-Thani, Jasim Azhar, Raffaello Furlan, Abdulla AlNuaimi, Hameda Janahi and Reem Awwaad
Heritage 2026, 9(1), 34; https://doi.org/10.3390/heritage9010034 - 16 Jan 2026
Viewed by 1281
Abstract
Transit-Oriented Development (TOD), formalized by Calthorpe and Poticha in 1993, emerged to counter urban sprawl, reduce car dependency, and revitalize historical community centers. Rooted in “new urbanism”, TOD emphasizes integrated regional land-use planning and high-capacity public transportation. In the Middle East, TOD implementation [...] Read more.
Transit-Oriented Development (TOD), formalized by Calthorpe and Poticha in 1993, emerged to counter urban sprawl, reduce car dependency, and revitalize historical community centers. Rooted in “new urbanism”, TOD emphasizes integrated regional land-use planning and high-capacity public transportation. In the Middle East, TOD implementation remains understudied, particularly regarding heritage integration and social equity in arid climates. Doha’s rapid social and economic transformation presents both opportunities and risks: growth offers urban revitalization yet threatens to displace communities and dilute cultural identity. Shifts in urban planning have aimed to address sustainability, connectivity, and heritage preservation. This study examines Msheireb Downtown Doha (MDD) to assess how TOD can restore historic districts while managing gentrification, enhancing accessibility and promoting inclusiveness. A mixed-methods approach was applied, including 12 semi-structured interviews with stakeholders (Qatar Rail, Msheireb Properties, Ministry of Municipality and Environment), purposive surveys of 80 urban users, site observations, and spatial mapping. Using the Node-Place-People (NPP) model, the study evaluates TOD effectiveness across transportation connectivity (node), built environment quality (place), and equity metrics (people). The findings show that MDD successfully implements fundamental TOD principles through its design, which enhances connectivity, walkability, social inclusiveness, and heritage preservation. However, multiple obstacles remain: the “peripheral island effect” limits benefits to the core, pedestrian–vehicular balance is unresolved, and commercial gentrification is on the rise. This research provides evidence-based knowledge for GCC cities pursuing sustainable urban regeneration by demonstrating both the advantages of TOD and the necessity for critical, context-sensitive implementation that focuses on social equity together with physical transformation. Full article
Show Figures

Figure 1

19 pages, 2740 KB  
Article
Towards a Fair and Comprehensive Evaluation of Walkable Accessibility and Attractivity in the 15 Min City Scenario Based on Demographic Data
by Fabrizio Boninsegna, Alessandro Nalin, Andrea Simone, Bruno Zamengo, Denis Cappellari and Francesco Silvestri
Infrastructures 2026, 11(1), 4; https://doi.org/10.3390/infrastructures11010004 - 19 Dec 2025
Viewed by 549
Abstract
Accessibility and the so-called ‘15 min city’ paradigm are critical dimensions in agendas involving urban policies. However, when interested in accounting for accessibility from a formal perspective, researchers and practitioners should use pertinent indicators. Additionally, most of the indicators focus on the number [...] Read more.
Accessibility and the so-called ‘15 min city’ paradigm are critical dimensions in agendas involving urban policies. However, when interested in accounting for accessibility from a formal perspective, researchers and practitioners should use pertinent indicators. Additionally, most of the indicators focus on the number of facilities reachable within a given time window, while the counterpart of the latter, i.e., as a measure of attractiveness, such as the number of users that can reach that given area, is not evaluated explicitly. In this paper, a comprehensive method able to capture accessibility and attractivity simultaneously will be presented. The formulation is based on a refinement of the gravity model. As the main input, the actual number of residents was used and included in the computation. Therefore, the resulting values of accessibility and attractivity are intended to represent the real status of different degrees of walkable accessibility in urban areas. As a test field, three Italian cities were explored. The method proposed and discussed throughout the paper is aimed at providing an operative tool for planners, as well as for private stakeholders, when they are in charge of evaluating the degree of ‘walkable’ accessibility. Furthermore, the use of open and standardized data is intended to be a main strength of the proposed methodology, as it can be easily replicated in other contexts. Full article
(This article belongs to the Special Issue Sustainable Infrastructures for Urban Mobility, 2nd Edition)
Show Figures

Figure 1

Back to TopTop