Sign in to use this feature.

Years

Between: -

Subjects

remove_circle_outline
remove_circle_outline
remove_circle_outline
remove_circle_outline
remove_circle_outline
remove_circle_outline
remove_circle_outline
remove_circle_outline
remove_circle_outline

Journals

remove_circle_outline
remove_circle_outline
remove_circle_outline
remove_circle_outline
remove_circle_outline
remove_circle_outline
remove_circle_outline
remove_circle_outline
remove_circle_outline
remove_circle_outline
remove_circle_outline
remove_circle_outline
remove_circle_outline
remove_circle_outline
remove_circle_outline
remove_circle_outline

Article Types

Countries / Regions

remove_circle_outline
remove_circle_outline
remove_circle_outline
remove_circle_outline

Search Results (1,063)

Search Parameters:
Keywords = visualization in manufacturing

Order results
Result details
Results per page
Select all
Export citation of selected articles as:
24 pages, 1790 KB  
Article
Effect of the Recycled HIPS Surface Yellowing Phenomenon on Its Properties
by Benita Malinowska, Michał Chodkowski and Konrad Terpiłowski
Appl. Sci. 2026, 16(7), 3584; https://doi.org/10.3390/app16073584 - 7 Apr 2026
Abstract
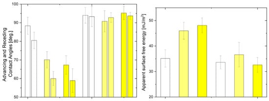
The paper investigates the effect of the degree of HIPS surface yellowness on its properties: colorimetric, surface, rheological, and mechanical. In order to prepare three naturally degraded samples, about 1 kg of white HIPS flakes, semi-yellow HIPS flakes, and yellow HIPS flakes, segregation [...] Read more.
The paper investigates the effect of the degree of HIPS surface yellowness on its properties: colorimetric, surface, rheological, and mechanical. In order to prepare three naturally degraded samples, about 1 kg of white HIPS flakes, semi-yellow HIPS flakes, and yellow HIPS flakes, segregation based on colorimetric analysis was applied. Then, these samples were subjected to ATR-FTIR analysis, sessile drop contact angle measurements, and MFI analysis. These analyses were repeated for standardized specimens made of the segregated HIPS flakes. The average absorbances were determined for 50 HIPS samples of each type in the form flakes. Finally, mechanical tests were carried out on the standardized specimens. As follows from the research, yellowing of the HIPS surface affects the final color of the standardized specimens, which is confirmed by optical colorimetry. Moreover, material degradation demonstrated by yellowing of its surface and confirmed by a decrease in ATR-FTIR spectra absorbance, is associated with changes in mechanical and rheological properties, as well as in surface characteristics. The novelty of this study lies in the investigation of naturally degraded HIPS samples under laboratory conditions (the HIPS materials were not subjected to artificial aging using laboratory equipment), obtained from waste post-consumer cooling devices used in consumers’ homes, representing natural wear and tear of the material. The tests provide insight into both the visual and mechanical properties of components manufactured from recycled HIPS originating from degraded refrigeration equipment. They also constitute a valuable source of information for processors and manufacturers. Full article
(This article belongs to the Section Surface Sciences and Technology)
Show Figures

Figure 1

22 pages, 5489 KB  
Article
Parametric Form-Finding for 3D-Printed Housing: A Computational Workflow from Generative Exploration to Architectural Development
by Rodrigo Garcia-Alvarado, Pedro Soza-Ruiz and Eduardo Valenzuela-Astudillo
Appl. Sci. 2026, 16(7), 3527; https://doi.org/10.3390/app16073527 - 3 Apr 2026
Viewed by 197
Abstract
Additive manufacturing in construction is expanding production possibilities for housing, however its integration into architectural design workflows remains limited. This research proposes a computational workflow for the early-stage form-finding of housing volumes intended for additive construction. A parametric design system was developed to [...] Read more.
Additive manufacturing in construction is expanding production possibilities for housing, however its integration into architectural design workflows remains limited. This research proposes a computational workflow for the early-stage form-finding of housing volumes intended for additive construction. A parametric design system was developed to generate a wide range of residential volumetric configurations based on geometric parameters derived from conventional housing typologies and emerging 3D-printed construction practices. The design space was explored through user-driven experimentation and automated evolutionary optimization targeting predefined surface area conditions. Besides design alternatives were visualized using AI-assisted image generation to support comparative evaluation, translated into BIM models for further architectural development, and tested through physical 3D-printed scale models to assess material expression and constructability. Five design exploration activities involving architects and graduate students produced nearly 200 volumetric alternatives, in order to review its use and possibilities. The results show that the parametric system enables efficient exploration of both conventional and novel housing forms potentially compatible with additive construction. Vertically articulated volumes with curved envelopes and spatial variation emerged as promising alternatives. The study demonstrates the potential of integrating parametric modeling, evolutionary search, AI-assisted visualization, and physical prototyping to support architectural decision-making and facilitate the incorporation of 3D printing into housing design processes. Full article
(This article belongs to the Topic Additive Manufacturing: From Promise to Practice)
Show Figures

Figure 1

13 pages, 1799 KB  
Proceeding Paper
Cooling Tower Decision Support Web System: A Case Study
by Hao-Yu Lien, Wen-Hao Chen and Yen-Jen Chen
Eng. Proc. 2026, 134(1), 7; https://doi.org/10.3390/engproc2026134007 - 30 Mar 2026
Viewed by 146
Abstract
Conventional cooling tower operations often rely on the operator’s experience for fan-switching control, lacking precise decision support and real-time monitoring capabilities. This makes it challenging to maintain water temperature within an optimal range, thereby affecting industrial process efficiency. Using a case study approach, [...] Read more.
Conventional cooling tower operations often rely on the operator’s experience for fan-switching control, lacking precise decision support and real-time monitoring capabilities. This makes it challenging to maintain water temperature within an optimal range, thereby affecting industrial process efficiency. Using a case study approach, we integrate a Long Short-Term Memory (LSTM) model for temperature prediction with a Reinforcement Learning (RL) model to develop a web-based decision support system for cooling tower operations. The system uses an LSTM model to predict the trend of return water temperature for the next 15 min. This prediction, along with environmental conditions and historical data, is then fed into the RL model. Through a reward mechanism, the model is designed to receive a higher score when the predicted temperature is close to the benchmark of 30.5 °C and a lower score otherwise, enabling it to learn the optimal fan control strategy. Based on the evaluation results, the system automatically determines the optimal action—turning the fan on, off, or maintaining its current state—and provides specific fan operation suggestions and a decision-making basis to the operator via a web interface. This system is designed with a layered architecture, comprising functional modules such as a real-time monitoring dashboard, historical data query, and AI model management. Through visual elements like temperature trend line charts, fan status indicators, and a decision suggestion interface, it provides operators with real-time water temperature status, predicted temperature trends, and specific operational recommendations. The system has been deployed and is running in an actual manufacturing factory, where the AI model generates predictions and decision outputs every 15 min, assisting operators in adjusting fan control. This has successfully stabilized the outlet water temperature within the target range of 30–31 °C, thereby enhancing the efficiency of cooling water temperature regulation. The model presents the practical application of AI technology in a manufacturing control scenario and establishes a web-based decision support system, providing a concrete example for smart manufacturing transformation within an Industrial IoT environment. Full article
Show Figures

Figure 1

19 pages, 30575 KB  
Article
IM-DETR: DETR with Mix-Encoder for Industrial Scenarios
by Shiyou Liu, Yong Feng, Dongzi Wang, Zijie Zhou, Haibing Wang, Jinsong Wu, Xiangdong Wang, Xuekai Wei, Jielu Yan, Weizhi Xian and Yi Qin
Appl. Sci. 2026, 16(7), 3345; https://doi.org/10.3390/app16073345 - 30 Mar 2026
Viewed by 148
Abstract
Industrial defect detection is a fundamental task in intelligent manufacturing, yet existing object detection methods often struggle with the characteristics of industrial defects, such as small size, irregular shapes, and complex visual backgrounds. Moreover, most detection models are designed primarily for natural image [...] Read more.
Industrial defect detection is a fundamental task in intelligent manufacturing, yet existing object detection methods often struggle with the characteristics of industrial defects, such as small size, irregular shapes, and complex visual backgrounds. Moreover, most detection models are designed primarily for natural image datasets, resulting in limited robustness when deployed in real-world industrial environments. To address these challenges, this research focuses on industrial defect detection and presents contributions at both the dataset and method levels. First, two real-world industrial defect datasets collected from actual production lines are introduced, namely, the Stator Housing Defect Dataset and the Cover Plate Silicone Defect Dataset, which cover representative inspection scenarios with distinct defect characteristics. Second, we propose a detection transformer with a mixed encoder for industrial scenarios (IM-DETR). By integrating heterogeneous multi-scale feature representations, the proposed framework jointly enhances local detail sensitivity and global contextual reasoning without relying on complex post-processing. Extensive experiments on the proposed industrial datasets demonstrate that IM-DETR consistently outperforms existing state-of-the-art detection methods, particularly in scenarios involving small defects, complex backgrounds, and appearance ambiguity, validating the effectiveness and robustness of the proposed approach. Full article
(This article belongs to the Special Issue Advanced Computer Vision Technologies and Applications)
Show Figures

Figure 1

18 pages, 10514 KB  
Article
Hierarchical Compositional Alignment for Zero-Shot Part-Level Segmentation
by Shan Yang, Shujie Ji, Zhendong Xiao, Xiongding Liu and Wu Wei
Sensors 2026, 26(7), 2130; https://doi.org/10.3390/s26072130 - 30 Mar 2026
Viewed by 372
Abstract
In robotic fine-grained tasks (e.g., grasping and assembly), precise interaction requires a detailed understanding of object components. While Visual Language Models (VLMs) excel at object-level recognition, they struggle with part-level segmentation (e.g., knife handles), limiting performance in complex scenarios. VLMs face three key [...] Read more.
In robotic fine-grained tasks (e.g., grasping and assembly), precise interaction requires a detailed understanding of object components. While Visual Language Models (VLMs) excel at object-level recognition, they struggle with part-level segmentation (e.g., knife handles), limiting performance in complex scenarios. VLMs face three key challenges: (1) Visual granularity mismatch—object-level features lack part-level details; (2) Semantic hierarchy gaps—parts and objects differ significantly in semantics; (3) Cross-modal bias—CLIP’s text–image alignment favors global over local features. To address these, we propose a one-stage VLM-based part segmentation method. First, the Hierarchy-Aware Feature Selection mechanism analyzes Transformer features in different hierarchies to enhance spatial and semantic precision for part segmentation. Second, the Multi-Hierarchy Feature Adapter bridges object-to-part feature granularity via the hierarchical adaptation. Finally, the Hierarchical Multimodal Alignment Module harmonizes classification accuracy and mask integrity via hierarchical alignment of vision–language, mitigating the bias of CLIP’s object-level priori knowledge. Experiments show the proposed method improves part segmentation performance for Zero-Shot, achieving 25.86% on Pascal-Part and 13.09% on ADE20K-Part (gains of +0.81% hIoU and +2.96% hIoU over baseline). This work advances robotic visual perception, with applications in intelligent manufacturing and intelligent service. Full article
(This article belongs to the Section Sensors and Robotics)
Show Figures

Figure 1

24 pages, 6273 KB  
Article
Manufacturing-Induced Defect Taxonomy and Visual Detection in UD Tapes with Carbon and Glass Fiber Reinforcements
by Gönenç Duran
Polymers 2026, 18(7), 807; https://doi.org/10.3390/polym18070807 - 26 Mar 2026
Viewed by 271
Abstract
Continuous unidirectional (UD) thermoplastic composite tapes are increasingly used in aerospace, automotive, and energy applications because of their high specific strength, low weight, recyclability, and compatibility with automated manufacturing. Since final component performance strongly depends on tape quality, reliable defect characterization and detection [...] Read more.
Continuous unidirectional (UD) thermoplastic composite tapes are increasingly used in aerospace, automotive, and energy applications because of their high specific strength, low weight, recyclability, and compatibility with automated manufacturing. Since final component performance strongly depends on tape quality, reliable defect characterization and detection are essential. In this study, manufacturing-induced defects in polypropylene-based UD tapes reinforced with carbon and glass fibers were investigated using real images acquired directly from laboratory-scale production without synthetic data. Defects related to interfacial integrity, matrix distribution, fiber architecture, and surface irregularities were systematically analyzed, and a practical four-class defect taxonomy was established. To enable automated inspection under limited-data conditions, lightweight YOLOv8, YOLOv11, and the new YOLO26 models were comparatively evaluated using a UD tape-specific augmentation strategy combining physically constrained Albumentations and on-the-fly augmentation. Among the tested models, YOLO26-s achieved the best overall performance, reaching a mean mAP@0.5 of 0.87 ± 0.03, outperforming YOLOv11 (0.83) and YOLOv8 (0.78), with 0.90 precision and 0.85 recall. Interfacial (0.92 mAP) and matrix-related (0.90 mAP) defects were detected most reliably, whereas fiber-related (0.89 mAP) and surface defects (0.79 mAP) remained more challenging, particularly in glass-fiber-reinforced tapes due to transparency-masking effects. The results demonstrate the potential of compact deep learning models for computationally efficient and manufacturing-relevant in-line quality monitoring of UD tape production. Full article
(This article belongs to the Special Issue Artificial Intelligence in Polymers)
Show Figures

Graphical abstract

11 pages, 1481 KB  
Article
Ensuring Gluten-Free Safety: A Descriptive Analysis of Laboratory Results and Quality Control
by Roberta Giugliano, Laura Migone, Bianca Saccheggiani, Simona Mella and Elisabetta Razzuoli
Foods 2026, 15(7), 1144; https://doi.org/10.3390/foods15071144 - 26 Mar 2026
Viewed by 306
Abstract
Ensuring the safety of gluten-free foods is essential for individuals with coeliac disease and other gluten-related disorders, for whom even minimal gluten exposure can cause adverse effects; this study aimed to evaluate the long-term compliance of gluten-free labeled foods marketed in Italy. A [...] Read more.
Ensuring the safety of gluten-free foods is essential for individuals with coeliac disease and other gluten-related disorders, for whom even minimal gluten exposure can cause adverse effects; this study aimed to evaluate the long-term compliance of gluten-free labeled foods marketed in Italy. A total of 4139 pre-packaged gluten-free products were collected between 2015 and 2024 and analyzed using validated analytical methods. Products were categorized into macro-categories: cereal-based foods, processed non-cereal-based foods, confectionery, flours, baby foods, and dietary supplements. A descriptive analysis and risk modeling were generated to visualize relative risks. Overall non-compliance remained consistently very low (<1%) throughout the 10-year period, with an average rate of 0.27% and minor peaks in 2016 and 2018. The highest frequencies of gluten contamination were observed in cereal-based products and flours-particularly corn flour-while occasional non-compliance occurred in some processed non-cereal-based foods and confectionery; no non-compliance was detected in baby foods or dietary supplements. These findings are reassuring and consistent with, or better than, available EU data, confirming the effectiveness of current control systems and highlighting the importance of continuous monitoring, validated analytical methods and effective allergen management strategies. Strengthened collaboration among regulators and manufacturers remains essential to prevent cross-contamination and protect consumer health. Full article
(This article belongs to the Special Issue Assessment and Control of Food Safety Risks)
Show Figures

Figure 1

20 pages, 6234 KB  
Article
Wafer Defect Recognition for Industrial Inspection: FCS-VMamba Model and Experimental Validation
by Yijia Zhang, Ziyi Ma, Tongji Cui, Tiejun Zhao, Qi Wang and Jianhua Wang
J. Imaging 2026, 12(4), 142; https://doi.org/10.3390/jimaging12040142 - 24 Mar 2026
Viewed by 260
Abstract
In industrial imaging scenarios, semiconductor wafer defect classification is crucial for chip manufacturing yield and reliability. However, numerous challenges persist, including weak imaging responses and detail loss during downsampling, complex backgrounds that interfere with feature extraction, and the trade-off between performance and efficiency [...] Read more.
In industrial imaging scenarios, semiconductor wafer defect classification is crucial for chip manufacturing yield and reliability. However, numerous challenges persist, including weak imaging responses and detail loss during downsampling, complex backgrounds that interfere with feature extraction, and the trade-off between performance and efficiency on edge devices. Traditional CNNs and ViTs exhibit limitations in modeling long-range dependencies and managing edge deployment costs. To address these issues, we leverage the VMamba architecture, a Visual State Space Model (SSM) that achieves global contextual modeling with linear computational complexity. Based on the VMamba architecture, we propose FCS-VMamba, a domain-adapted model that integrates three core modules, namely Frequency Attention (FA), Cross-Layer Cross-Attention (CLCA), and Saliency Feature Suppression (SFS). The experimental results show that FCS-VMamba achieved 86.06% macro-precision and 87.91% Top-1 accuracy with only 1.2 M parameters. These results demonstrate that FCS-VMamba provides a practical and parameter-efficient baseline for industrial wafer defect recognition. Full article
(This article belongs to the Section AI in Imaging)
Show Figures

Figure 1

21 pages, 4603 KB  
Article
From Casting to Printing: Rheological Modification of General-Purpose RTV-2 Silicones for Material Extrusion
by Francesco Buonamici, Lapo Governi, Yary Volpe, Monica Carfagni and Rocco Furferi
Appl. Sci. 2026, 16(6), 2764; https://doi.org/10.3390/app16062764 - 13 Mar 2026
Viewed by 335
Abstract
This study investigates the relationship between viscosity and manufacturability of two-component silicones in extrusion-based additive manufacturing. A methodology is proposed to adapt commercially available, low-viscosity general-purpose silicones for direct 3D printing using the material extrusion system provided by Lynxter S300X. EcoFlex™ 00-50 silicone [...] Read more.
This study investigates the relationship between viscosity and manufacturability of two-component silicones in extrusion-based additive manufacturing. A methodology is proposed to adapt commercially available, low-viscosity general-purpose silicones for direct 3D printing using the material extrusion system provided by Lynxter S300X. EcoFlex™ 00-50 silicone was modified through controlled additions of a thixotropic agent (THI-VEX), producing formulations with progressively increased viscosity. After a preliminary qualitative viscosity assessment, formulations were printed using identical process parameters and evaluated through a set of dedicated geometric benchmark specimens targeting critical failure modes, including unsupported thin walls, overhangs, gaps, and slender structures. Print outcomes were assessed via multi-rater visual inspection with inter-rater reliability analysis to ensure consistency. Results reveal a strong correlation between thixotropy and geometric fidelity, identifying the formulation containing 4.0 wt% THI-VEX as optimal under the tested conditions. The study provides practical design and process guidelines for silicone additive manufacturing and highlights the importance of integrated material–process optimization for reliable fabrication of soft, highly deformable materials. Full article
(This article belongs to the Section Additive Manufacturing Technologies)
Show Figures

Figure 1

15 pages, 3575 KB  
Article
Production System Monitoring Based on Petri Nets Enhanced with Multi-Source Information
by Peng Liu, Xinze Li, Chenlong Zhang, Yanru Kang, Jun Qian and Weizheng Chen
Sensors 2026, 26(6), 1785; https://doi.org/10.3390/s26061785 - 12 Mar 2026
Viewed by 228
Abstract
As the manufacturing industry continues to advance its digital transformation, intelligent sensing technology has become a key support for achieving precise, efficient and automated quality control. However, current production line monitoring systems predominantly rely on fixed and costly monitoring equipment and sensors, lacking [...] Read more.
As the manufacturing industry continues to advance its digital transformation, intelligent sensing technology has become a key support for achieving precise, efficient and automated quality control. However, current production line monitoring systems predominantly rely on fixed and costly monitoring equipment and sensors, lacking flexible and interactive first-person perspective perception approaches centered on on-site operators. Meanwhile, factory process monitoring often depends solely on visual expression rather than balancing the capabilities of the simulation model and visual state detection, leading to delayed responses to abnormal systems and hindering the adjustment strategy feedback. To address these limitations, this study provides wearable sensing for key workers, enriching the state perception capabilities in industrial scenarios. Furthermore, to achieve dynamic model and real-time visual representation of production line operations, a multi-source information-enhanced Petri nets model is proposed in terms of engineering and user-friendliness. With the solid mathematical basics of the Petri nets and the enriched human–machine data from the product line, this method provides an intuitive, dynamic and accurate reflection of the production system’s real-time operational status, offering a scientific and reliable basis for operational decision-making. The proposed approach has been implemented in a real-world production system for reinforced concrete civil defense doors, and this engineering application can also be extended to many other scenarios. Full article
(This article belongs to the Special Issue Sensing Technologies in Industrial Defect Detection)
Show Figures

Figure 1

22 pages, 18777 KB  
Article
LSOD-YOLO: A Visual Object Detection Method for AGV Perception Systems Based on a Lightweight Backbone and Detection Head
by Sijing Cai, Zhanzheng Wu, Kang Liu, Tianbai Zhang, Wei Weng and Xiaoyi Zheng
Technologies 2026, 14(3), 173; https://doi.org/10.3390/technologies14030173 - 12 Mar 2026
Viewed by 465
Abstract
In smart logistics and intelligent manufacturing scenarios, the deployment of Autonomous Guided Vehicles (AGVs) necessitates vision systems that balance stringent real-time constraints with high detection accuracy. However, contemporary lightweight models often struggle with multi-scale feature representation and precision degradation. To address these challenges, [...] Read more.
In smart logistics and intelligent manufacturing scenarios, the deployment of Autonomous Guided Vehicles (AGVs) necessitates vision systems that balance stringent real-time constraints with high detection accuracy. However, contemporary lightweight models often struggle with multi-scale feature representation and precision degradation. To address these challenges, this study presents LSOD-YOLO, a tailored evolution of YOLO11n designed for embedded AGV systems. Our methodology focuses on three architectural innovations: (1) we propose a Lightweight Shared Convolution Detection (LSCD) head integrated with Group Normalization (GN) and a scale-adaptive mechanism to harmonize multi-scale feature responses; (2) we re-engineer the backbone using a Star-Net architecture enhanced by Gated MLPs and Depthwise Attention to refine local spatial modeling; and (3) we integrate multi-branch residuals and Channel Attention (CAA) into the C3k2-Star-CAA module to enhance robustness against occlusions and complex backgrounds. The experimental validation on a self-built AGV industrial dataset and COCO128 reveals a compelling performance leap: a 30 FPS increase in throughput and a 1.5% gain in precision, all achieved with 32.8% fewer parameters. These findings confirm that LSOD-YOLO achieves a superior trade-off between computational efficiency and reliability, showing great potential for seamless deployment in resource-constrained AGV visual tasks. Full article
Show Figures

Figure 1

12 pages, 2276 KB  
Article
Electrical Potential and Cell Immobilisation Capacity of a Laser-Treated Titanium Alloy Surface
by Arturs Abolins, Alberta Aversa, Yuri Dekhtyar, Maris Dortins, Marks Gorohovs, Galina Khroustalyova, Lyubomir Lazov, Arturs Mamajevs, Mohammed Awad Hassan Olaish, Aleksander Rapoport, Elizabete Skrebele, Hermanis Sorokins and Edmunds Sprudzs
Materials 2026, 19(6), 1051; https://doi.org/10.3390/ma19061051 - 10 Mar 2026
Viewed by 228
Abstract
Titanium and its alloys are widely used in endoprostheses. The naturally formed titanium dioxide film on titanium surfaces improves chemical stability and enhances implant biocompatibility. However, oxidised titanium surfaces may also promote bacterial adhesion and biofilm formation, contributing to implant-associated infections. Therefore, surface [...] Read more.
Titanium and its alloys are widely used in endoprostheses. The naturally formed titanium dioxide film on titanium surfaces improves chemical stability and enhances implant biocompatibility. However, oxidised titanium surfaces may also promote bacterial adhesion and biofilm formation, contributing to implant-associated infections. Therefore, surface modification represents a key strategy for controlling microbial–implant interactions. This article focuses widely used titanium alloy Ti-6Al-4V treated with a laser beam, which induces surface colour changes as a result of oxide formation. Laser processing enables controlled formation of micro- and nanoscale features, structural reconstructions, and defects that may influence the surface electrical charge and, consequently, cell immobilisation. Thus, the surface colour, electrical potential, and cell immobilisation capacity are likely interrelated. From a manufacturing perspective, titanium oxide colouring facilitates quality control and process reproducibility, as surface colour provides a rapid, non-destructive visual indicator of oxide thickness and treatment consistency. This study aims to identify correlations among surface colour, electrical potential, and cell immobilisation capacity on laser-treated titanium alloys. A relationship between the optical properties, electronic structure, and biological response of laser-processed titanium oxide films is established. Specifically, the blue colour saturation of the oxide film is inversely correlated with the electron work function. A more saturated blue corresponds to a lower work function, indicating a higher positive surface charge density. This shift is attributed to changes in electron affinity, likely resulting from laser-induced structural reconstruction and defect formation within the oxide layer. The proposed changes in electronic structure are supported by modifications in the electronic density of states, analysed using near-threshold photoelectron spectroscopy. The biological response is directly linked to these physical changes: enhanced immobilisation of yeast (Saccharomyces cerevisiae) cells on the treated alloy surface correlates with the electron work function. These results may assist in the development of controlled titanium oxide surfaces with enhanced biocompatibility. Full article
(This article belongs to the Special Issue Advances in Plasma and Laser Engineering (Third Edition))
Show Figures

Graphical abstract

16 pages, 3169 KB  
Article
Digitally Guided Frontal Sinus Fracture Fixation: A Point-of-Care “In-House” Biomodel Protocol with Cyanoacrylate-Assisted Fragment Stabilization
by Manuel Tousidonis, Saad Khayat, Cristina Maza-Muela, Rocio Franco-Herrera, Ruben Pérez-Mañanes, Jose-Antonio Calvo-Haro, Maria J. Troulis, Carlos Navarro-Cuellar, Jose-Ignacio Salmeron and Santiago Ochandiano
J. Clin. Med. 2026, 15(5), 2057; https://doi.org/10.3390/jcm15052057 - 8 Mar 2026
Viewed by 287
Abstract
Background/Objectives: Frontal sinus fractures are uncommon injuries that may cause persistent aesthetic deformity when the anterior wall is comminuted, as small irregular fragments are difficult to stabilize with conventional osteosynthesis alone. Methods: We describe a point-of-care digital workflow combining 3D planning/printing and cyanoacrylate-assisted [...] Read more.
Background/Objectives: Frontal sinus fractures are uncommon injuries that may cause persistent aesthetic deformity when the anterior wall is comminuted, as small irregular fragments are difficult to stabilize with conventional osteosynthesis alone. Methods: We describe a point-of-care digital workflow combining 3D planning/printing and cyanoacrylate-assisted fixation for an isolated comminuted anterior frontal sinus wall fracture. A young adult presented with a depressed forehead contour after assault; computed tomography confirmed at least four displaced fragments. Results: A two-part 3D-printed biomodel was manufactured in-house to visualize the defect and guide extracorporeal reconstruction. Through a coronal approach, fragments were mobilized and anatomically reassembled using the biomodel as a reference; sinonasal drainage was preserved and sinus obliteration was not required. Because fragment size and geometry limited screw purchase, a modified N-butyl-2-cyanoacrylate adhesive (Glubran 2) was applied as an adjunct to maintain reduction, followed by reinforcement with titanium microplates. Postoperative recovery was uneventful, with immediate restoration of forehead contour and no early complications; postoperative imaging confirmed satisfactory alignment. Conclusions: This case supports the feasibility of integrating point-of-care 3D biomodeling with cyanoacrylate as a coadjuvant to microplate fixation in selected comminuted frontal sinus fractures to enhance fragment handling and contour restoration. Full article
(This article belongs to the Section Dentistry, Oral Surgery and Oral Medicine)
Show Figures

Figure 1

29 pages, 6030 KB  
Article
Ballistic Impact Tests on Fiber Metal Laminates: Experiments and Modeling
by Nicola Cefis, Riccardo Rosso, Paolo Astori, Alessandro Airoldi and Roberto Fedele
J. Compos. Sci. 2026, 10(3), 147; https://doi.org/10.3390/jcs10030147 - 7 Mar 2026
Viewed by 428
Abstract
In the aviation industry the so-called ballistic impact of small accidental or human-made sources on aircraft elements during their service life encompasses several scenarios of practical interest. The experimental assessment of ballistic impact requires dedicated infrastructures (such as the light-gas gun system utilized [...] Read more.
In the aviation industry the so-called ballistic impact of small accidental or human-made sources on aircraft elements during their service life encompasses several scenarios of practical interest. The experimental assessment of ballistic impact requires dedicated infrastructures (such as the light-gas gun system utilized in this study) and exhibits intrinsic difficulties, mainly concerning the proper acceleration of a projectile and the accurate measurement by a high-speed camera of its (inlet and outlet) velocity. As a first objective, this study aimed at characterizing the dynamic response of fiber metal laminates, manufactured ad hoc by the authors with two different stacking sequences currently not available in commerce. The layups included aluminum 2024 T3 and aramid fiber-reinforced prepregs, leading through specific treatments to excellent specific properties. The collision of the laminate with a 25 g, 9 mm radius steel sphere, traveling at speeds ranging from 90 to 145 m/s, caused a variety of scenarios: partial or complete penetration, with the projectile passing through and continuing its trajectory, remaining stuck in the sample (embedment) or even being bounced back (ricochet). The experimental information led to the estimation, for each typology of sample, of a conventional ballistic limit according to the Lambert-Jonas approximation, as a second objective, these data were utilized to validate an accurate heterogeneous model of the samples developed in the ABAQUS® platform, discretized by finite elements in explicit dynamics and including geometric nonlinearity and contact. We describe plasticity and damage of the metal layers by the Johnson–Cook phenomenological model, progressive failure in the fiber-reinforced plies through a 2D Hashin criterion with damage evolution, and interlaminar debonding at multiple cohesive interfaces governed by the Benzeggagh–Kenane criterion. The outlet speed of the bullet measured during the experiments was retrieved correctly by this model, and a satisfactory agreement of the finite element predictions was found with the deformation patterns and the damage mechanisms identified by post mortem visual inspection. Finally, several discussion points are raised, concerning the robustness of the numerical analyses, the reliability of the constitutive modeling and the identification of the governing parameters. Full article
Show Figures

Figure 1

20 pages, 5699 KB  
Article
An Improved YOLOv8 Detection Algorithm Based on Screen Printing Defect Images
by Shuqin Wu, Xinru Dong, Qiang Da, Meiou Wang, Yuxuan Sun, Ge Ge, Jinge Ma, Jiajie Kang, Yu Yao and Shubo Shi
Sensors 2026, 26(5), 1604; https://doi.org/10.3390/s26051604 - 4 Mar 2026
Viewed by 308
Abstract
Micro-defects, such as ink spots, scratches, and sintering formed during the screen printing process of photovoltaic cells, significantly impair module performance. Traditional machine vision methods exhibit limited detection efficiency and high false-positive and missed-detection rates, while existing deep learning algorithms struggle to achieve [...] Read more.
Micro-defects, such as ink spots, scratches, and sintering formed during the screen printing process of photovoltaic cells, significantly impair module performance. Traditional machine vision methods exhibit limited detection efficiency and high false-positive and missed-detection rates, while existing deep learning algorithms struggle to achieve accurate and adaptive detection of small-target defects and background similar defects in complex industrial environments. This study proposes an enhanced defect detection methodology based on an improved YOLOv8 algorithm. A multi-focus image acquisition platform using primary and auxiliary CCDs was independently developed, integrating a high-frame-rate industrial camera and a high-resolution electron microscope, with an LED ring light employed to suppress reflections, thereby establishing a high-quality dataset covering three defect categories. The algorithm was optimized through multiple dimensions: the RepNCSPELAN4 module was incorporated into the backbone network to improve multi-scale feature fusion, and a novel wavelet transform-based WaveConv module was designed to replace traditional downsampling, thereby better preserving defect edges and texture details. The neck network integrates a lightweight shuffle attention mechanism and a new detail enhancement module to strengthen critical features while controlling model complexity. Additionally, a dedicated auxiliary detection head was added for spotting tiny ink dots. Experimental results demonstrate a marked improvement in performance: on the custom dataset, the improved model achieves a stable mean average precision of approximately 92%. Specifically, ink spot detection reached a precision of 84.9% and recall of 77.7%, effectively reducing missed small-target defects; sintering defect detection attained 98.9% precision and 100% recall, addressing previous misclassifications due to background similarity; and scratch detection precision improved to 92.2%. Visual comparisons confirm that the enhanced model effectively overcomes the limitations of the original approach. By constructing a specialized dataset and implementing targeted, coordinated optimizations to the YOLOv8 architecture, this study significantly enhances the accuracy and robustness of screen-printing defect detection in photovoltaic cells, providing an effective solution for real-time online quality inspection in smart manufacturing lines. Full article
(This article belongs to the Special Issue Defect Detection Based on Vision Sensors)
Show Figures

Figure 1

Back to TopTop