Sign in to use this feature.

Years

Between: -

Subjects

remove_circle_outline
remove_circle_outline
remove_circle_outline
remove_circle_outline
remove_circle_outline
remove_circle_outline
remove_circle_outline
remove_circle_outline
remove_circle_outline

Journals

Article Types

Countries / Regions

Search Results (39)

Search Parameters:
Keywords = virtual machine consolidation

Order results
Result details
Results per page
Select all
Export citation of selected articles as:
44 pages, 7079 KB  
Editorial
Mobile Network Softwarization: Technological Foundations and Impact on Improving Network Energy Efficiency
by Josip Lorincz, Amar Kukuruzović and Dinko Begušić
Sensors 2026, 26(2), 503; https://doi.org/10.3390/s26020503 - 12 Jan 2026
Viewed by 259
Abstract
This paper provides a comprehensive overview of mobile network softwarization, emphasizing the technological foundations and its transformative impact on the energy efficiency of modern and future mobile networks. In the paper, a detailed analysis of communication concepts known as software-defined networking (SDN) and [...] Read more.
This paper provides a comprehensive overview of mobile network softwarization, emphasizing the technological foundations and its transformative impact on the energy efficiency of modern and future mobile networks. In the paper, a detailed analysis of communication concepts known as software-defined networking (SDN) and network function virtualization (NFV) is presented, with a description of their architectural principles, operational mechanisms, and the associated interfaces and management frameworks that enable programmability, virtualization, and centralized control in modern mobile networks. The study further explores the role of cloud computing, virtualization platforms, distributed SDN controllers, and resource orchestration systems, outlining how they collectively support mobile network scalability, automation, and service agility. To assess the maturity and evolution of mobile network softwarization, the paper reviews contemporary research directions, including SDN security, machine-learning-assisted traffic management, dynamic service function chaining, virtual network function (VNF) placement and migration, blockchain-based trust mechanisms, and artificial intelligence (AI)-enabled self-optimization. The analysis also evaluates the relationship between mobile network softwarization and energy consumption, presenting the main SDN- and NFV-based techniques that contribute to reducing mobile network power usage, such as traffic-aware control, rule placement optimization, end-host-aware strategies, VNF consolidation, and dynamic resource scaling. Findings indicate that although fifth-generation (5G) mobile network standalone deployments capable of fully exploiting softwarization remain limited, softwarized SDN/NFV-based architectures provide measurable benefits in reducing network operational costs and improving energy efficiency, especially when combined with AI-driven automation. The paper concludes that mobile network softwarization represents an essential enabler for sustainable 5G and future beyond-5G systems, while highlighting the need for continued research into scalable automation, interoperable architectures, and energy-efficient softwarized network designs. Full article
(This article belongs to the Special Issue Energy-Efficient Communication Networks and Systems: 2nd Edition)
Show Figures

Figure 1

18 pages, 1338 KB  
Article
EVMC: An Energy-Efficient Virtual Machine Consolidation Approach Based on Deep Q-Networks for Cloud Data Centers
by Peiying Zhang, Jingfei Gao, Jing Liu and Lizhuang Tan
Electronics 2025, 14(19), 3813; https://doi.org/10.3390/electronics14193813 - 26 Sep 2025
Viewed by 1000
Abstract
As the mainstream computing paradigm, cloud computing breaks the physical rigidity of traditional resource models and provides heterogeneous computing resources, better meeting the diverse needs of users. However, the frequent creation and termination of virtual machines (VMs) tends to induce resource fragmentation, resulting [...] Read more.
As the mainstream computing paradigm, cloud computing breaks the physical rigidity of traditional resource models and provides heterogeneous computing resources, better meeting the diverse needs of users. However, the frequent creation and termination of virtual machines (VMs) tends to induce resource fragmentation, resulting in resource wastage in cloud data centers. Virtual machine consolidation (VMC) technology effectively improves resource utilization by intelligently migrating virtual machines onto fewer physical hosts. However, most existing approaches lack rational host detection mechanisms and efficient migration strategies, often neglecting quality of service (QoS) guarantees while optimizing energy consumption, which can easily lead to Service Level Agreement Violations (SLAVs). To address these challenges, this paper proposes an energy-efficient virtual machine consolidation method (EVMC). First, a co-location coefficient model is constructed to detect the fewest suitable VMs on hosts. Then, leveraging the environment-aware decision-making capability of the DQN agent, dynamic VM migration strategies are implemented. Experimental results demonstrate that EVMC outperforms existing state-of-the-art approaches in terms of energy consumption and SLAV rate, showcasing its effectiveness and potential for practical application. Full article
Show Figures

Graphical abstract

17 pages, 2040 KB  
Article
Intelligent Virtual Machine Scheduling Based on CPU Temperature-Involved Server Load Model
by Huan Zhou, Jiebei Zhu, Binbin Chen, Lujie Yu and Heyu Luo
Energies 2025, 18(14), 3611; https://doi.org/10.3390/en18143611 - 8 Jul 2025
Viewed by 682
Abstract
To reduce the significant energy consumption in data centers, virtual machine scheduling optimization and server consolidation are deployed. However, existing server power load (SPL) models typically adopt linear approximations for model developments, which results in inaccuracy with actual SPL characteristics, hindering the optimal [...] Read more.
To reduce the significant energy consumption in data centers, virtual machine scheduling optimization and server consolidation are deployed. However, existing server power load (SPL) models typically adopt linear approximations for model developments, which results in inaccuracy with actual SPL characteristics, hindering the optimal solution of virtual machine scheduling. Therefore, intelligent virtual machine scheduling (IVMS) is proposed based on a CPU temperature-involved server load model for data center energy conservation. The IVMS establishes a novel server power load model considering the influence of CPU temperature to capture the actual server load characteristics. Based on the model, the Q-learning method is utilized to solve the problem with the advantage of global optimization to obtain the scheduling solution that further improves calculation accuracy. The performance of the proposed IVMS is evaluated and compared to existing methods by both simulation and experiments in data centers, proving that the IVMS can better predict SPL characteristics and further reduce server energy consumption. Full article
Show Figures

Figure 1

22 pages, 2229 KB  
Article
A Structured Data Model for Asset Health Index Integration in Digital Twins of Energy Converters
by Juan F. Gómez Fernández, Eduardo Candón Fernández and Adolfo Crespo Márquez
Energies 2025, 18(12), 3148; https://doi.org/10.3390/en18123148 - 16 Jun 2025
Cited by 1 | Viewed by 1512
Abstract
A persistent challenge in digital asset management is the lack of standardized models for integrating health assessment—such as the Asset Health Index (AHI)—into Digital Twins, limiting their extended implementation beyond individual projects. Asset managers in the energy sector face challenges of digitalization such [...] Read more.
A persistent challenge in digital asset management is the lack of standardized models for integrating health assessment—such as the Asset Health Index (AHI)—into Digital Twins, limiting their extended implementation beyond individual projects. Asset managers in the energy sector face challenges of digitalization such as digital environment selection, employed digital modules (absence of an architecture guide) and their interconnection, sources of data, and how to automate the assessment and provide the results in a friendly decision support system. Thus, for energy systems, the integration of Asset Assessment in virtual replicas by Digital Twins is a complete way of asset management by enabling real-time monitoring, predictive maintenance, and lifecycle optimization. Another challenge in this context is how to compound in a structured assessment of asset condition, where the Asset Health Index (AHI) plays a critical role by consolidating heterogeneous data into a single, actionable indicator easy to interpret as a level of risk. This paper tries to serve as a guide against these digital and structured assessments to integrate AHI methodologies into Digital Twins for energy converters. First, the proposed AHI methodology is introduced, and after a structured data model specifically designed, orientated to a basic and economic cloud implementation architecture. This model has been developed fulfilling standardized practices of asset digitalization as the Reference Architecture Model for Industry 4.0 (RAMI 4.0), organizing asset-related information into interoperable domains including physical hierarchy, operational monitoring, reliability assessment, and risk-based decision-making. A Unified Modeling Language (UML) class diagram formalizes the data model for cloud Digital Twin implementation, which is deployed on Microsoft Azure Architecture using native Internet of Things (IoT) and analytics services to enable automated and real-time AHI calculation. This design and development has been realized from a scalable point of view and for future integration of Machine-Learning improvements. The proposed approach is validated through a case study involving three high-capacity converters in distinct operating environments, showing the model’s effective assistance in anticipating failures, optimizing maintenance strategies, and improving asset resilience. In the case study, AHI-based monitoring reduced unplanned failures by 43% and improved maintenance planning accuracy by over 30%. Full article
(This article belongs to the Section A1: Smart Grids and Microgrids)
Show Figures

Figure 1

30 pages, 4245 KB  
Article
Evolving High-Performance Computing Data Centers with Kubernetes, Performance Analysis, and Dynamic Workload Placement Based on Machine Learning Scheduling
by Vedran Dakić, Mario Kovač and Jurica Slovinac
Electronics 2024, 13(13), 2651; https://doi.org/10.3390/electronics13132651 - 5 Jul 2024
Cited by 20 | Viewed by 118641
Abstract
In the past twenty years, the IT industry has moved away from using physical servers for workload management to workloads consolidated via virtualization and, in the next iteration, further consolidated into containers. Later, container workloads based on Docker and Podman were orchestrated via [...] Read more.
In the past twenty years, the IT industry has moved away from using physical servers for workload management to workloads consolidated via virtualization and, in the next iteration, further consolidated into containers. Later, container workloads based on Docker and Podman were orchestrated via Kubernetes or OpenShift. On the other hand, high-performance computing (HPC) environments have been lagging in this process, as much work is still needed to figure out how to apply containerization platforms for HPC. Containers have many advantages, as they tend to have less overhead while providing flexibility, modularity, and maintenance benefits. This makes them well-suited for tasks requiring a lot of computing power that are latency- or bandwidth-sensitive. But they are complex to manage, and many daily operations are based on command-line procedures that take years to master. This paper proposes a different architecture based on seamless hardware integration and a user-friendly UI (User Interface). It also offers dynamic workload placement based on real-time performance analysis and prediction and Machine Learning-based scheduling. This solves a prevalent issue in Kubernetes: the suboptimal placement of workloads without needing individual workload schedulers, as they are challenging to write and require much time to debug and test properly. It also enables us to focus on one of the key HPC issues—energy efficiency. Furthermore, the application we developed that implements this architecture helps with the Kubernetes installation process, which is fully automated, no matter which hardware platform we use—x86, ARM, and soon, RISC-V. The results we achieved using this architecture and application are very promising in two areas—the speed of workload scheduling and workload placement on a correct node. This also enables us to focus on one of the key HPC issues—energy efficiency. Full article
(This article belongs to the Section Computer Science & Engineering)
Show Figures

Figure 1

20 pages, 501 KB  
Article
Efficient Resource Management in Cloud Environments: A Modified Feeding Birds Algorithm for VM Consolidation
by Deafallah Alsadie and Musleh Alsulami
Mathematics 2024, 12(12), 1845; https://doi.org/10.3390/math12121845 - 13 Jun 2024
Cited by 9 | Viewed by 1503
Abstract
Cloud data centers play a vital role in modern computing infrastructure, offering scalable resources for diverse applications. However, managing costs and resources efficiently in these centers has become a crucial concern due to the exponential growth of cloud computing. User applications exhibit complex [...] Read more.
Cloud data centers play a vital role in modern computing infrastructure, offering scalable resources for diverse applications. However, managing costs and resources efficiently in these centers has become a crucial concern due to the exponential growth of cloud computing. User applications exhibit complex behavior, leading to fluctuations in system performance and increased power usage. To tackle these obstacles, we introduce the Modified Feeding Birds Algorithm (ModAFBA) as an innovative solution for virtual machine (VM) consolidation in cloud environments. The primary objective is to enhance resource management and operational efficiency in cloud data centers. ModAFBA incorporates adaptive position update rules and strategies specifically designed to minimize VM migrations, addressing the unique challenges of VM consolidation. The experimental findings demonstrated substantial improvements in key performance metrics. Specifically, the ModAFBA method exhibited significant enhancements in energy usage, SLA compliance, and the number of VM migrations compared to benchmark algorithms such as TOPSIS, SVMP, and PVMP methods. Notably, the ModAFBA method achieved reductions in energy usage of 49.16%, 55.76%, and 65.13% compared to the TOPSIS, SVMP, and PVMP methods, respectively. Moreover, the ModAFBA method resulted in decreases of around 83.80%, 22.65%, and 89.82% in the quantity of VM migrations in contrast to the aforementioned benchmark techniques. The results demonstrate that ModAFBA outperforms these benchmarks by significantly reducing energy consumption, operational costs, and SLA violations. These findings highlight the effectiveness of ModAFBA in optimizing VM placement and consolidation, offering a robust and scalable approach to improving the performance and sustainability of cloud data centers. Full article
Show Figures

Figure 1

20 pages, 3891 KB  
Article
Employing Molecular Conformations for Ligand-Based Virtual Screening with Equivariant Graph Neural Network and Deep Multiple Instance Learning
by Yaowen Gu, Jiao Li, Hongyu Kang, Bowen Zhang and Si Zheng
Molecules 2023, 28(16), 5982; https://doi.org/10.3390/molecules28165982 - 9 Aug 2023
Cited by 15 | Viewed by 3983
Abstract
Ligand-based virtual screening (LBVS) is a promising approach for rapid and low-cost screening of potentially bioactive molecules in the early stage of drug discovery. Compared with traditional similarity-based machine learning methods, deep learning frameworks for LBVS can more effectively extract high-order molecule structure [...] Read more.
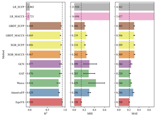
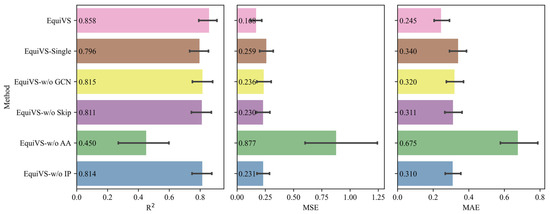
Ligand-based virtual screening (LBVS) is a promising approach for rapid and low-cost screening of potentially bioactive molecules in the early stage of drug discovery. Compared with traditional similarity-based machine learning methods, deep learning frameworks for LBVS can more effectively extract high-order molecule structure representations from molecular fingerprints or structures. However, the 3D conformation of a molecule largely influences its bioactivity and physical properties, and has rarely been considered in previous deep learning-based LBVS methods. Moreover, the relative bioactivity benchmark dataset is still lacking. To address these issues, we introduce a novel end-to-end deep learning architecture trained from molecular conformers for LBVS. We first extracted molecule conformers from multiple public molecular bioactivity data and consolidated them into a large-scale bioactivity benchmark dataset, which totally includes millions of endpoints and molecules corresponding to 954 targets. Then, we devised a deep learning-based LBVS called EquiVS to learn molecule representations from conformers for bioactivity prediction. Specifically, graph convolutional network (GCN) and equivariant graph neural network (EGNN) are sequentially stacked to learn high-order molecule-level and conformer-level representations, followed with attention-based deep multiple-instance learning (MIL) to aggregate these representations and then predict the potential bioactivity for the query molecule on a given target. We conducted various experiments to validate the data quality of our benchmark dataset, and confirmed EquiVS achieved better performance compared with 10 traditional machine learning or deep learning-based LBVS methods. Further ablation studies demonstrate the significant contribution of molecular conformation for bioactivity prediction, as well as the reasonability and non-redundancy of deep learning architecture in EquiVS. Finally, a model interpretation case study on CDK2 shows the potential of EquiVS in optimal conformer discovery. The overall study shows that our proposed benchmark dataset and EquiVS method have promising prospects in virtual screening applications. Full article
Show Figures

Graphical abstract

23 pages, 1189 KB  
Article
An Efficient Virtual Machine Consolidation Algorithm for Cloud Computing
by Ling Yuan, Zhenjiang Wang, Ping Sun and Yinzhen Wei
Entropy 2023, 25(2), 351; https://doi.org/10.3390/e25020351 - 14 Feb 2023
Cited by 6 | Viewed by 3188
Abstract
With the rapid development of integration in blockchain and IoT, virtual machine consolidation (VMC) has become a heated topic because it can effectively improve the energy efficiency and service quality of cloud computing in the blockchain. The current VMC algorithm is not effective [...] Read more.
With the rapid development of integration in blockchain and IoT, virtual machine consolidation (VMC) has become a heated topic because it can effectively improve the energy efficiency and service quality of cloud computing in the blockchain. The current VMC algorithm is not effective enough because it does not regard the load of the virtual machine (VM) as an analyzed time series. Therefore, we proposed a VMC algorithm based on load forecast to improve efficiency. First, we proposed a migration VM selection strategy based on load increment prediction called LIP. Combined with the current load and load increment, this strategy can effectively improve the accuracy of selecting VM from the overloaded physical machines (PMs). Then, we proposed a VM migration point selection strategy based on the load sequence prediction called SIR. We merged VMs with complementary load series into the same PM, effectively improving the stability of the PM load, thereby reducing the service level agreement violation (SLAV) and the number of VM migrations due to the resource competition of the PM. Finally, we proposed a better virtual machine consolidation (VMC) algorithm based on the load prediction of LIP and SIR. The experimental results show that our VMC algorithm can effectively improve energy efficiency. Full article
(This article belongs to the Special Issue Information Security and Privacy: From IoT to IoV)
Show Figures

Figure 1

20 pages, 2596 KB  
Article
A Virtual Machine Consolidation Algorithm Based on Dynamic Load Mean and Multi-Objective Optimization in Cloud Computing
by Pingping Li and Jiuxin Cao
Sensors 2022, 22(23), 9154; https://doi.org/10.3390/s22239154 - 25 Nov 2022
Cited by 15 | Viewed by 3403
Abstract
High energy consumption and low resource utilization have become increasingly prominent problems in cloud data centers. Virtual machine (VM) consolidation is the key technology to solve the problems. However, excessive VM consolidation may lead to service level agreement violations (SLAv). Most studies have [...] Read more.
High energy consumption and low resource utilization have become increasingly prominent problems in cloud data centers. Virtual machine (VM) consolidation is the key technology to solve the problems. However, excessive VM consolidation may lead to service level agreement violations (SLAv). Most studies have focused on optimizing energy consumption and ignored other factors. An effective VM consolidation should comprehensively consider multiple factors, including the quality of service (QoS), energy consumption, resource utilization, migration overhead and network communication overhead, which is a multi-objective optimization problem. To solve the problems above, we propose a VM consolidation approach based on dynamic load mean and multi-objective optimization (DLMM-VMC), which aims to minimize power consumption, resources waste, migration overhead and network communication overhead while ensuring QoS. Fist, based on multi-dimensional resources consideration, the host load status is objectively evaluated by using the proposed host load detection algorithm based on the dynamic load mean to avoid an excessive VM consolidation. Then, the best solution is obtained based on the proposed multi-objective optimization model and optimized ant colony algorithm, so as to ensure the common interests of cloud service providers and users. Finally, the experimental results show that compared with the existing VM consolidation methods, our proposed algorithm has a significant improvement in the energy consumption, QoS, resources waste, SLAv, migration and network overhead. Full article
Show Figures

Figure 1

20 pages, 3516 KB  
Article
Unbiasing the Estimation of Chlorophyll from Hyperspectral Images: A Benchmark Dataset, Validation Procedure and Baseline Results
by Bogdan Ruszczak, Agata M. Wijata and Jakub Nalepa
Remote Sens. 2022, 14(21), 5526; https://doi.org/10.3390/rs14215526 - 2 Nov 2022
Cited by 14 | Viewed by 4997
Abstract
Recent advancements in hyperspectral remote sensing bring exciting opportunities for various domains. Precision agriculture is one of the most widely-researched examples here, as it can benefit from the non-invasiveness and enormous scalability of the Earth observation solutions. In this paper, we focus on [...] Read more.
Recent advancements in hyperspectral remote sensing bring exciting opportunities for various domains. Precision agriculture is one of the most widely-researched examples here, as it can benefit from the non-invasiveness and enormous scalability of the Earth observation solutions. In this paper, we focus on estimating the chlorophyll level in leaves using hyperspectral images—capturing this information may help farmers optimize their agricultural practices and is pivotal in planning the plants’ treatment procedures. Although there are machine learning algorithms for this task, they are often validated over private datasets; therefore, their performance and generalization capabilities are virtually impossible to compare. We tackle this issue and introduce an open dataset including the hyperspectral and in situ ground-truth data, together with a validation procedure which is suggested to follow while investigating the emerging approaches for chlorophyll analysis with the use of our dataset. The experiments not only provided the solid baseline results obtained using 15 machine learning models over the introduced training-test dataset splits but also showed that it is possible to substantially improve the capabilities of the basic data-driven models. We believe that our work can become an important step toward standardizing the way the community validates algorithms for estimating chlorophyll-related parameters, and may be pivotal in consolidating the state of the art in the field by providing a clear and fair way of comparing new techniques over real data. Full article
(This article belongs to the Special Issue Remote Sensing for Estimating Leaf Chlorophyll Content in Plants)
Show Figures

Figure 1

13 pages, 6290 KB  
Article
Cloud Servers: Resource Optimization Using Different Energy Saving Techniques
by Mohammad Hijji, Bilal Ahmad, Gulzar Alam, Ahmed Alwakeel, Mohammed Alwakeel, Lubna Abdulaziz Alharbi, Ahd Aljarf and Muhammad Umair Khan
Sensors 2022, 22(21), 8384; https://doi.org/10.3390/s22218384 - 1 Nov 2022
Cited by 12 | Viewed by 4220
Abstract
Currently, researchers are working to contribute to the emerging fields of cloud computing, edge computing, and distributed systems. The major area of interest is to examine and understand their performance. The major globally leading companies, such as Google, Amazon, ONLIVE, Giaki, and eBay, [...] Read more.
Currently, researchers are working to contribute to the emerging fields of cloud computing, edge computing, and distributed systems. The major area of interest is to examine and understand their performance. The major globally leading companies, such as Google, Amazon, ONLIVE, Giaki, and eBay, are truly concerned about the impact of energy consumption. These cloud computing companies use huge data centers, consisting of virtual computers that are positioned worldwide and necessitate exceptionally high-power costs to preserve. The increased requirement for energy consumption in IT firms has posed many challenges for cloud computing companies pertinent to power expenses. Energy utilization is reliant upon numerous aspects, for example, the service level agreement, techniques for choosing the virtual machine, the applied optimization strategies and policies, and kinds of workload. The present paper tries to provide an answer to challenges related to energy-saving through the assistance of both dynamic voltage and frequency scaling techniques for gaming data centers. Also, to evaluate both the dynamic voltage and frequency scaling techniques compared to non-power-aware and static threshold detection techniques. The findings will facilitate service suppliers in how to encounter the quality of service and experience limitations by fulfilling the service level agreements. For this purpose, the CloudSim platform is applied for the application of a situation in which game traces are employed as a workload for analyzing the procedure. The findings evidenced that an assortment of good quality techniques can benefit gaming servers to conserve energy expenditures and sustain the best quality of service for consumers located universally. The originality of this research presents a prospect to examine which procedure performs good (for example, dynamic, static, or non-power aware). The findings validate that less energy is utilized by applying a dynamic voltage and frequency method along with fewer service level agreement violations, and better quality of service and experience, in contrast with static threshold consolidation or non-power aware technique. Full article
Show Figures

Figure 1

19 pages, 3712 KB  
Article
An Effective Secured Dynamic Network-Aware Multi-Objective Cuckoo Search Optimization for Live VM Migration in Sustainable Data Centers
by N. Venkata Subramanian and V. S. Shankar Sriram
Sustainability 2022, 14(20), 13670; https://doi.org/10.3390/su142013670 - 21 Oct 2022
Cited by 13 | Viewed by 2498
Abstract
With the increasing use of cloud computing by organizations, cloud data centers are proliferating to meet customers’ demands and host various applications using virtual machines installed in physical servers. Through Live Virtual Machine Migration (LVMM) methods, cloud service providers can provide improved computing [...] Read more.
With the increasing use of cloud computing by organizations, cloud data centers are proliferating to meet customers’ demands and host various applications using virtual machines installed in physical servers. Through Live Virtual Machine Migration (LVMM) methods, cloud service providers can provide improved computing capabilities for server consolidation maintenance of systems and potential power savings through a reduction in the distribution process to customers. However, Live Virtual Machine Migration has its challenges when choosing the best network path for maximizing the efficiency of resources, reducing consumption, and providing security. Most research has focused on the load balancing of resources and the reduction in energy consumption; however, they could not provide secure and optimal resource utilization. A framework has been created for sustainable data centers that pick the most secure and optimal dynamic network path using an intelligent metaheuristic algorithm, namely, the Network-aware Dynamic multi-objective Cuckoo Search algorithm (NDCS). The developed hybrid movement strategy enhances the search capability by expanding the search space and adopting a combined risk score estimation of each physical machine (PM) as a fitness criterion for ensuring security with rapid convergence compared to the existing strategies. The proposed method was assessed using the Google cluster dataset to ascertain its worthiness. The experimental results show the supremacy of the proposed method over existing methods by ensuring services with a lower total migration time, lower energy consumption, less makespan time, and secure optimum resource utilization. Full article
Show Figures

Figure 1

11 pages, 514 KB  
Article
Machine-Learning-Based Approach for Virtual Machine Allocation and Migration
by Suruchi Talwani, Jimmy Singla, Gauri Mathur, Navneet Malik, N. Z Jhanjhi, Mehedi Masud and Sultan Aljahdali
Electronics 2022, 11(19), 3249; https://doi.org/10.3390/electronics11193249 - 9 Oct 2022
Cited by 36 | Viewed by 4029
Abstract
Due to its ability to supply reliable, robust and scalable computational power, cloud computing is becoming increasingly popular in industry, government, and academia. High-speed networks connect both virtual and real machines in cloud computing data centres. The system’s dynamic provisioning environment depends on [...] Read more.
Due to its ability to supply reliable, robust and scalable computational power, cloud computing is becoming increasingly popular in industry, government, and academia. High-speed networks connect both virtual and real machines in cloud computing data centres. The system’s dynamic provisioning environment depends on the requirements of end-user computer resources. Hence, the operational costs of a particular data center are relatively high. To meet service level agreements (SLAs), it is essential to assign an appropriate maximum number of resources. Virtualization is a fundamental technology used in cloud computing. It assists cloud providers to manage data centre resources effectively, and, hence, improves resource usage by creating several virtualmachine (VM) instances. Furthermore, VMs can be dynamically integrated into a few physical nodes based on current resource requirements using live migration, while meeting SLAs. As a result, unoptimised and inefficient VM consolidation can reduce performance when an application is exposed to varying workloads. This paper introduces a new machine-learning-based approach for dynamically integrating VMs based on adaptive predictions of usage thresholds to achieve acceptable service level agreement (SLAs) standards. Dynamic data was generated during runtime to validate the efficiency of the proposed technique compared with other machine learning algorithms. Full article
Show Figures

Figure 1

17 pages, 5078 KB  
Article
Dynamic Dual-Threshold Virtual Machine Merging Method Based on Three-Way Decision
by Jin Yang and Guoming Zhang
Symmetry 2022, 14(9), 1865; https://doi.org/10.3390/sym14091865 - 7 Sep 2022
Cited by 9 | Viewed by 2389
Abstract
Cloud computing, an emerging computing paradigm, has been widely considered due to its high scalability and availability. An essential stage of cloud computing is the cloud virtual machine migration technology. Nevertheless, the current trigger timing of virtual machine migration in cloud data centers [...] Read more.
Cloud computing, an emerging computing paradigm, has been widely considered due to its high scalability and availability. An essential stage of cloud computing is the cloud virtual machine migration technology. Nevertheless, the current trigger timing of virtual machine migration in cloud data centers is inaccurate, resulting in insufficient virtual machine consolidation. Furthermore, the high and low workload fluctuations are also a potential symmetrical problem worthy of attention. This paper proposes a virtual machine energy-saving merging method based on a three-way decision (ESMM-3WD). Firstly, we need to calculate the load fluctuation of the physical machine and divide the load fluctuation into three parts. Furthermore, the corresponding mathematical model predicts the load according to the different classification categories. Then, the predicted load value is used to dynamically adjust the threshold to improve the virtual machine merge probability. Finally, the simulation experiment is carried out on the cloud computing simulation platform cloudsim plus. The experimental results show that the virtual machine energy-saving merging method based on the three-way decision proposed in this paper can better reduce the number of migrations, increase the number of physical machines shut down, better improve the probability of virtual machine merger, and achieve the purpose of reducing the energy consumption of the data center. Full article
(This article belongs to the Special Issue Recent Advances in Granular Computing for Intelligent Data Analysis)
Show Figures

Figure 1

23 pages, 15951 KB  
Article
Global and Local Deformation Effects of Dry Vacuum-Consolidated Triaxial Compression Tests on Sand Specimens: Making a Database Available for the Calibration and Development of Forward Models
by Zenon Medina-Cetina, Ahran Song, Yichuan Zhu, Alma Rosa Pineda-Contreras and Amy Rechenmacher
Materials 2022, 15(4), 1528; https://doi.org/10.3390/ma15041528 - 18 Feb 2022
Cited by 5 | Viewed by 2965
Abstract
A comprehensive experimental database containing results of a series of dry vacuum-consolidated triaxial compression tests was populated. The tests were performed on sand specimens and conducted under similar experimental conditions, in which specimens’ boundary deformation was captured using a three-dimensional digital image correlation [...] Read more.
A comprehensive experimental database containing results of a series of dry vacuum-consolidated triaxial compression tests was populated. The tests were performed on sand specimens and conducted under similar experimental conditions, in which specimens’ boundary deformation was captured using a three-dimensional digital image correlation analysis (3D-DIC). The use of a standard triaxial device along with the 3D-DIC technology allowed the specimens’ global and local boundary displacement fields to be computed from start to end of the compression phase. By repeating each test under the same experimental conditions and building the specimens using the same type of sand, the boundary deformation patterns could be identified, and the statistics associated with both global and local displacement fields could be assessed. Making this experimental database available to others should serve to calibrate as well as develop new forward models to account for effects associated with the specimens’ local displacements and material heterogeneity and include statistics to represent a specimen’s random response. Moreover, this work will serve as a basis for the statistical characterization of spatio-temporal boundary localization effects used to develop stochastic models and machine-learning models, and simulate virtual triaxial tests. Full article
Show Figures

Figure 1

Back to TopTop