Sign in to use this feature.

Years

Between: -

Subjects

remove_circle_outline
remove_circle_outline
remove_circle_outline
remove_circle_outline
remove_circle_outline
remove_circle_outline
remove_circle_outline
remove_circle_outline
remove_circle_outline

Journals

remove_circle_outline
remove_circle_outline
remove_circle_outline
remove_circle_outline
remove_circle_outline
remove_circle_outline
remove_circle_outline
remove_circle_outline
remove_circle_outline
remove_circle_outline
remove_circle_outline
remove_circle_outline
remove_circle_outline
remove_circle_outline
remove_circle_outline
remove_circle_outline
remove_circle_outline
remove_circle_outline
remove_circle_outline
remove_circle_outline

Article Types

Countries / Regions

remove_circle_outline
remove_circle_outline
remove_circle_outline
remove_circle_outline
remove_circle_outline
remove_circle_outline
remove_circle_outline
remove_circle_outline
remove_circle_outline

Search Results (1,709)

Search Parameters:
Keywords = viral infectious diseases

Order results
Result details
Results per page
Select all
Export citation of selected articles as:
40 pages, 1207 KB  
Review
Tools to Quantify and Characterize the Persistent Reservoir in People with HIV-1: Focus on Non-B Subtypes
by Zora Sinay, Annefien Tiggeler, Robert-Jan Palstra and Tokameh Mahmoudi
Viruses 2026, 18(1), 110; https://doi.org/10.3390/v18010110 - 14 Jan 2026
Viewed by 470
Abstract
Human immunodeficiency virus type 1 (HIV-1) continues to be a major global health burden. Combination antiretroviral therapy (cART) effectively abrogates HIV-1 replication and has transformed HIV-1 infection from a fatal to chronic disease. While ART can suppress viremia to undetectable levels in people [...] Read more.
Human immunodeficiency virus type 1 (HIV-1) continues to be a major global health burden. Combination antiretroviral therapy (cART) effectively abrogates HIV-1 replication and has transformed HIV-1 infection from a fatal to chronic disease. While ART can suppress viremia to undetectable levels in people living with HIV-1 (PWH), a small reservoir of cells infected with replication-competent HIV-1 persists and can lead to viral rebound upon ART interruption. This persistent HIV-1 reservoir can be quantified and characterized by measuring replication of infectious HIV-1 using a quantitative viral outgrowth assay (qVOA), or by measuring HIV-1 DNA, RNA, or protein levels as a proxy for the reservoir. Tools to quantify the reservoir in these distinct molecular compartments have been developed for HIV-1 subtype B, which is predominant in the Global North. However, non-B subtypes constitute the majority of HIV-1 infections worldwide. Here, we discuss the wide range of reservoir quantitation and characterization tools, explore their limitations, and, where applicable, their adaptations to non-B subtypes. We conclude that standardized tools should be used to characterize reservoir dynamics of HIV-1 B and non-B subtypes. These tests should be well-validated and accessible to all laboratories world-wide to be able to draw conclusions about subtype-specific reservoir dynamics. Full article
(This article belongs to the Special Issue Regulation of HIV-1 Transcription and Latency, 2nd Edition)
Show Figures

Figure 1

29 pages, 7737 KB  
Article
The Regulation of Oxidative Stress Is a Conserved Response to RNA Virus Infection in Fish
by Alejandro Romero, Patricia Pereiro, Antonio Figueras and Beatriz Novoa
Antioxidants 2026, 15(1), 96; https://doi.org/10.3390/antiox15010096 - 12 Jan 2026
Viewed by 221
Abstract
RNA viruses are major pathogens in fish, causing high mortality and substantial economic losses in aquaculture. To uncover conserved antiviral mechanisms, we investigated the response of turbot (Scophthalmus maximus) to viral hemorrhagic septicemia virus (VHSV), infectious pancreatic necrosis virus (IPNV), and [...] Read more.
RNA viruses are major pathogens in fish, causing high mortality and substantial economic losses in aquaculture. To uncover conserved antiviral mechanisms, we investigated the response of turbot (Scophthalmus maximus) to viral hemorrhagic septicemia virus (VHSV), infectious pancreatic necrosis virus (IPNV), and red-spotted grouper nervous necrosis virus (RGNNV) using a comparative proteomic approach complemented by in vivo and in vitro functional assays. Proteomic analyses revealed the central, conserved role of proteins involved in reactive oxygen species (ROS) production and redox homeostasis during early infection. Functional assays using head kidney-derived leukocytes identified neutrophils and macrophages as the primary ROS producers and showed that the modulation of cytoplasmic and mitochondrial ROS, as well as ROS-dependent DNA release, follows virus-specific patterns. The pharmacological inhibition of NADPH oxidase and mitochondrial ROS significantly affected viral replication, demonstrating the direct role of ROS in viral pathogenicity. Collectively, these findings highlight redox modulation as a conserved host response in teleost fish during RNA virus infection, linking oxidative stress regulation to viral progression. This knowledge provides a foundation for developing broad-spectrum therapeutic or preventive strategies to enhance disease resistance and promote sustainable aquaculture. Full article
(This article belongs to the Special Issue Reactive Oxygen Species Signalling and Oxidative Stress in Fish)
Show Figures

Figure 1

20 pages, 2139 KB  
Review
Application of Orthoflavivirus Pseudovirus Technology in Antiviral Research
by Yalan Zhang, Yaqi Zhao, Chaojun Wang, Yuanyuan Zhou, Hao Yuan, Xiaodan Li, Yong Wang and Xiaoling Pan
Int. J. Mol. Sci. 2026, 27(2), 722; https://doi.org/10.3390/ijms27020722 - 10 Jan 2026
Viewed by 159
Abstract
Arthropod-borne orthoflaviviruses, including dengue, Zika, Japanese encephalitis, yellow fever and West Nile viruses, pose a significant global public health threat, causing hundreds of millions of infections annually with severe clinical symptoms. However, the lack of effective vaccines and antiviral drugs, coupled with the [...] Read more.
Arthropod-borne orthoflaviviruses, including dengue, Zika, Japanese encephalitis, yellow fever and West Nile viruses, pose a significant global public health threat, causing hundreds of millions of infections annually with severe clinical symptoms. However, the lack of effective vaccines and antiviral drugs, coupled with the biosafety risks associated with handling live highly pathogenic strains, hinders progress in antiviral research. Pseudovirus technology, which uses single-round infectious viral particles lacking replication competence, has thus gained prominence as a safe and versatile tool for antiviral research. This review systematically summarizes the construction, optimization, and applications of orthoflavivirus pseudoviruses in antiviral research. The primary construction strategies of orthoflavivirus pseudoviruses rely on multi-plasmid co-transfection of viral replicons and structural protein expression vectors, leveraging the host cell secretory pathway to mimic natural viral assembly and maturation. The core applications of pseudovirus technology are highlighted, including high-throughput screening and detection of neutralizing antibodies, identification of antiviral drugs targeting viral entry or replication, and evaluation of vaccine immunogenicity. Despite these strengths, the approach still faces limitations, such as incomplete simulation of native viral structures and batch-to-batch titer variability, which may affect the physiological relevance of findings. In summary, orthoflavivirus pseudovirus technology has become an essential platform in both basic virology research and translational medicine, providing critical insights and tools in the ongoing fight against arthropod-borne orthoflaviviruses diseases. Full article
(This article belongs to the Section Molecular Microbiology)
Show Figures

Figure 1

28 pages, 2805 KB  
Review
Emerging Trends in Artificial Intelligence-Assisted Colorimetric Biosensors for Pathogen Diagnostics
by Muniyandi Maruthupandi and Nae Yoon Lee
Sensors 2026, 26(2), 439; https://doi.org/10.3390/s26020439 - 9 Jan 2026
Viewed by 223
Abstract
Infectious diseases caused by bacterial and viral pathogens remain a major global threat, particularly in areas with limited diagnostic resources. Conventional optical techniques are time-consuming, prone to operator errors, and require sophisticated instruments. Colorimetric biosensors, which convert biorecognitive processes into visible color changes, [...] Read more.
Infectious diseases caused by bacterial and viral pathogens remain a major global threat, particularly in areas with limited diagnostic resources. Conventional optical techniques are time-consuming, prone to operator errors, and require sophisticated instruments. Colorimetric biosensors, which convert biorecognitive processes into visible color changes, enable simple and low-cost point-of-care testing. Artificial intelligence (AI) enhances decision-making by enabling learning, training, and pattern recognition. Machine learning (ML) and deep learning (DL) improve diagnostic accuracy, but they do not autonomously adapt and are pre-trained on complex color variation, whereas traditional computer-based methods lack analysis ability. This review summarizes major pathogens in terms of their types, toxicity, and infection-related mortality, while highlighting research gaps between conventional optical biosensors and emerging AI-assisted colorimetric approaches. Recent advances in AI models, such as ML and DL algorithms, are discussed with a focus on their applications to clinical samples over the past five years. Finally, we propose a prospective direction for developing robust, explainable, and smartphone-compatible AI-assisted assays to support rapid, accurate, and user-friendly pathogen detection for health and clinical applications. This review provides a comprehensive overview of the AI models available to assist physicians and researchers in selecting the most effective method for pathogen detection. Full article
(This article belongs to the Special Issue Colorimetric Sensors: Methods and Applications (2nd Edition))
Show Figures

Figure 1

11 pages, 258 KB  
Review
A Paediatric Perspective: Opportunities and Challenges in Emergency Department Antimicrobial Stewardship
by Karen N. McCarthy, Kara Tedford and Eimear Kitt
Antibiotics 2026, 15(1), 71; https://doi.org/10.3390/antibiotics15010071 - 9 Jan 2026
Viewed by 200
Abstract
The Emergency Department (ED) represents an ideal location for antimicrobial stewardship (AMS) intervention, given the large volume of antibiotics seen prescribed to a wide variety of patients. This is particularly true in paediatrics, where most infectious presentations are viral in nature. A recent [...] Read more.
The Emergency Department (ED) represents an ideal location for antimicrobial stewardship (AMS) intervention, given the large volume of antibiotics seen prescribed to a wide variety of patients. This is particularly true in paediatrics, where most infectious presentations are viral in nature. A recent European Society of Clinical Microbiology and Infectious Diseases (ESCMID) position paper addressed four key areas affecting adult ED. This included: (1) the utility of biomarkers or rapid pathogen tests, (2) the impact of blood cultures on antibiotic prescribing, (3) the effect of watchful waiting on clinical outcomes, and (4) the potential for structured follow-up programmes within the ED to impact prescribing. Comparatively, the paediatric ED remains underrepresented in the literature with regard to AMS interventions. In this review article, we review the evidence surrounding the above four key areas as they relate to the paediatric population. Full article
22 pages, 4979 KB  
Article
Investigating the Potential Role of Capsaicin in Facilitating the Spread of Coxsackievirus B3 via Extracellular Vesicles
by Shruti Chatterjee, Ramina Kordbacheh, Haylee Tilley, Devin Briordy, Richard T. Waldron, William D. Cutts, Jayden Aleman, Alexis Cook, Raeesa Dhanji, Lok-Yin Roy Wong, Stephen J. Pandol, Brandon J. Kim, DeLisa Fairweather and Jon Sin
Int. J. Mol. Sci. 2026, 27(2), 661; https://doi.org/10.3390/ijms27020661 - 9 Jan 2026
Viewed by 149
Abstract
Coxsackievirus B3 (CVB3) is a picornavirus that causes systemic inflammatory diseases including myocarditis, pericarditis, pancreatitis, and meningoencephalitis. We have previously reported that CVB3 induces mitochondrial fission and mitophagy while inhibiting lysosomal degradation by blocking autophagosome-lysosome fusion. This promotes the release of virus-laden mitophagosomes [...] Read more.
Coxsackievirus B3 (CVB3) is a picornavirus that causes systemic inflammatory diseases including myocarditis, pericarditis, pancreatitis, and meningoencephalitis. We have previously reported that CVB3 induces mitochondrial fission and mitophagy while inhibiting lysosomal degradation by blocking autophagosome-lysosome fusion. This promotes the release of virus-laden mitophagosomes from host cells as infectious extracellular vesicles (EVs), enabling non-lytic viral egress. Transient receptor potential vanilloid 1 (TRPV1), a heat and capsaicin-sensitive cation channel, regulates mitochondrial dynamics by inducing mitochondrial membrane depolarization and fission. In this study, we found that TRPV1 activation by capsaicin dramatically enhances CVB3 egress from host cells via EVs. Released EVs revealed increased levels of viral capsid protein VP1, mitochondrial protein TOM70, and fission protein phospho-DRP1. Moreover, these EVs were enriched in heat shock protein HSP70, suggesting its role in facilitating infectious EV release from cells. Furthermore, TRPV1 inhibition with capsazepine and SB-366791 significantly reduced viral infection in vitro. Our in vivo studies also found that SB-366791 significantly mitigates pancreatic damage and reduces viral titers in a mouse model of CVB3 pancreatitis. Given the lack of understanding regarding factors that contribute to diverse clinical manifestations of CVB3, our study highlights capsaicin and TRPV1 as potential exacerbating factors that facilitate CVB3 dissemination via mitophagy-derived EVs. Full article
Show Figures

Figure 1

16 pages, 1064 KB  
Article
Identifying Laboratory Parameters Profiles of COVID-19 and Influenza in Children: A Decision Tree Model
by George Maniu, Ioana Octavia Matacuta-Bogdan, Ioana Boeras, Grażyna Suchacka, Ionela Maniu and Maria Totan
Appl. Sci. 2026, 16(2), 668; https://doi.org/10.3390/app16020668 - 8 Jan 2026
Viewed by 154
Abstract
Background: The COVID-19 pandemic has put other infectious diseases, especially in children, into a new perspective. Our study focuses on two important viral infections: COVID-19 and influenza, which often present with similar clinical symptoms. Taking into consideration that the pathophysiology and systemic impact [...] Read more.
Background: The COVID-19 pandemic has put other infectious diseases, especially in children, into a new perspective. Our study focuses on two important viral infections: COVID-19 and influenza, which often present with similar clinical symptoms. Taking into consideration that the pathophysiology and systemic impact of the two viruses are distinct, which can lead to measurable differences in laboratory values, this study aimed to analyze laboratory features that differentiate between COVID-19 and influenza virus infections in pediatric patients. Methods: We statistically analyzed the routinely available laboratory data of 98 patients with influenza virus and 78 patients with COVID-19. Afterwards, the classification and regression tree (CART) method was performed to identify specific clinical scenarios, based on multilevel interactions of different features that could assist clinicians in evidence-based differentiation. Results: Significant differences between the two groups were observed in ALT, eosinophils, hemoglobin, and creatinine. Influenza-infected infants presented significantly higher leukocyte, neutrophil, and basophil counts compared to infants infected with COVID-19. Regarding children (over 12 months), significantly lower levels of ALT and eosinophil counts were observed in those with influenza compared to those with COVID-19. Furthermore, the CART decision tree model identified distinct profiles based on a combination of features such as age, leukocytes, lymphocytes, platelets, and neutrophils. Conclusions: After further refinement and application, such machine learning-based, evidence-driven models, considering the large scale of clinical and laboratory variables, might help to improve, support, and sustain healthcare practices. The differential decision tree may contribute to enhanced clinical risk assessment and decision making. Full article
Show Figures

Figure 1

13 pages, 1447 KB  
Article
Longitudinal Wastewater-Based Epidemiology Reveals the Spatiotemporal Dynamics and Genotype Diversity of Diarrheal Viruses in Urban Guangdong, China
by Shuling Li, Jiadian Cao, Yuxi Yan, Wenwen Deng, Yuwei He, Siling Xiang, Chuting Zeng, Heshi Long, Shuxian Li, Qiao Yao, Biao Zeng, Baisheng Li, Song Tang and Jing Lu
Viruses 2026, 18(1), 83; https://doi.org/10.3390/v18010083 - 8 Jan 2026
Viewed by 274
Abstract
Following the normalization of the COVID-19 pandemic, the focus of wastewater-based epidemiology (WBE) must be broadened from SARS-CoV-2 to encompass surveillance of other major infectious diseases, particularly for pathogens where conventional clinical monitoring systems exhibit inherent surveillance gaps. In this study, we conducted [...] Read more.
Following the normalization of the COVID-19 pandemic, the focus of wastewater-based epidemiology (WBE) must be broadened from SARS-CoV-2 to encompass surveillance of other major infectious diseases, particularly for pathogens where conventional clinical monitoring systems exhibit inherent surveillance gaps. In this study, we conducted a continuous two-year WBE study (January 2023 to December 2024) across three high-population-density cities in Guangdong, China to establish epidemiological baselines for enteric diarrheal viruses. We analyzed monthly raw wastewater samples from major treatment plants using advanced molecular methods, including digital PCR (ddPCR) for viral load quantification and targeted high-throughput sequencing (tNGS) for genotypic analysis. Our findings revealed diverse circulation patterns among the monitored enteric viruses. Astrovirus (AstV) had the highest detection rate (100%), reflecting its broad endemic distribution, while Norovirus genogroup II (NoV GII) exhibited relatively high viral loads (median 4 × 104 copies/mL) and presented explosive seasonal peaks (significant upward trend in spring.), highlighting its epidemic potential. Furthermore, distinct spatiotemporal patterns were observed, with Sapovirus showing a significant summer peak in Foshan city, contrasting with the winter/spring peaks in the other cities. The tNGS results demonstrated similar sensitivity to RT-PCR in virus detection, and sequencing analyses uncovered the co-circulation and periodic shifts in dominant viral genotypes, such as the emergence of multiple NoV and AstV lineages. This longitudinal WBE surveillance successfully established critical baseline data and demonstrated significant regional heterogeneity in viral circulation, providing essential, complementary data to inform public health strategies for preventing diarrheal outbreaks in urban settings. Full article
Show Figures

Graphical abstract

17 pages, 922 KB  
Article
Demographics and Prevalence of HBV, HCV, and Syphilis Among the Female Sex Workers of Daulatdia, Bangladesh: A Cross-Sectional Study
by Md. Ahsanul Haque, Rahima Begum, Md. Zulfekar Ali, Dewan Zubaer Islam, Ashikur Rahman, Ismail Khalil and Shahad Saif Khandker
Venereology 2026, 5(1), 3; https://doi.org/10.3390/venereology5010003 - 7 Jan 2026
Viewed by 446
Abstract
Background: In Bangladesh, a number of sex workers are involved in commercial sex work in different brothels in both legal and illegal settlements due to reasons such as lack of social support, depression, forced sex, abuse, violence, polyamory, being kidnapped, and unemployment. [...] Read more.
Background: In Bangladesh, a number of sex workers are involved in commercial sex work in different brothels in both legal and illegal settlements due to reasons such as lack of social support, depression, forced sex, abuse, violence, polyamory, being kidnapped, and unemployment. In this study, we tried to evaluate the demographic characteristics and prevalence of viral and sexually transmitted diseases (STDs) among the study population. Methods: A total of 250 female sex workers were interviewed and tested from the Daulatdia brothel of Rajbari district, Bangladesh, who had been working there for at least 1 month. Through questionnaires, demographic data were collected. Primarily, lateral flow immunoassay (LFIA) tests were used to investigate HCV (Hepatitis C Virus), HBV (Hepatitis B Virus), and Syphilis, which were reconfirmed using enzyme-linked immunosorbent assay (ELISA) in cases of positive results. Results: The mean age was 27.51 ± 6.69 years with a range of 18–50 years. Most of them (n = 243, 97.98%) had elementary knowledge of STDs. We determined that overall, 96 (38.40%) were positive for either of these diseases. Individually, 10 (4.00%), 18 (7.20%), and 68 (27.20%) were positive for HCV, HBV, and syphilis, respectively. Conclusions: Our observation indicates that females of all ages should be strictly protected from forced sex work. Current sex workers should be educated regarding the dangers and protective mechanisms of STDs. In addition, as a public health concern, regular clinical check-ups and STD associated diagnoses are necessary to ensure the safety of FSW from these highly infectious and concerning diseases. Due to their socio-economic condition, proper treatment and rehabilitation are highly recommended. Full article
Show Figures

Figure 1

18 pages, 465 KB  
Review
Cerebrospinal Fluid Biomarkers in Creutzfeldt–Jakob Disease: Diagnostic Value, Limitations, and Future Multi-Omics Strategies
by Rui Xu, Cao Chen, Qi Shi and Xiao-Ping Dong
Int. J. Mol. Sci. 2026, 27(1), 553; https://doi.org/10.3390/ijms27010553 - 5 Jan 2026
Viewed by 438
Abstract
Creutzfeldt–Jakob disease (CJD) is a rare but devastating neurodegenerative disorder characterized by the pathological misfolding of the cellular prion protein (PrPC) into the pathogenic isoform-scrapie prion protein (PrPSc), ultimately leading to fatal outcomes. Cerebrospinal fluid (CSF) biomarkers play a [...] Read more.
Creutzfeldt–Jakob disease (CJD) is a rare but devastating neurodegenerative disorder characterized by the pathological misfolding of the cellular prion protein (PrPC) into the pathogenic isoform-scrapie prion protein (PrPSc), ultimately leading to fatal outcomes. Cerebrospinal fluid (CSF) biomarkers play a pivotal role in early diagnosis, longitudinal monitoring, and prognostic assessment, thereby enhancing the clinical management of this challenging disease. This review summarizes the established CSF biomarkers, 14-3-3 protein, tau protein (total tau), phosphorylated tau isoforms, α-synuclein, neurofilament light chain (Nfl), S100B, neuron-specific enolase (NSE), and phosphorylated neurofilament heavy chain (pNFH), highlighting typical sensitivity ranges (14-3-3 ~70–85%; RT-QuIC > 90%) and subtype-dependent performance variation. We further dissect limitations related to assay variability, inter-laboratory cut-off inconsistencies, and reduced specificity in non-prion dementias. Looking ahead, we discuss emerging multi-omics discovery, integration of CSF with blood-based biomarkers and imaging signatures, and AI-enabled diagnostic modeling. We propose a three-tier biomarker framework combining Real-Time Quaking-Induced Conversion (RT-QuIC) as a confirmatory assay, tau/NfL/pNFH as injury-severity indicators, and multi-omics-derived signatures for early detection and prognosis stratification. Full article
(This article belongs to the Section Molecular Biology)
Show Figures

Figure 1

17 pages, 6095 KB  
Article
Molecular Characteristics and Pathogenicity Analysis of Bovine Viral Diarrhea Virus Strain Isolated from Persistently Infected Cattle
by Jiaxing Zhong, Fen Sun, Ming Zhou, Kaiqiang Fu and Hongjun Yang
Animals 2026, 16(1), 153; https://doi.org/10.3390/ani16010153 - 5 Jan 2026
Viewed by 239
Abstract
Bovine viral diarrhea virus (BVDV) primarily causes bovine viral diarrhea/mucosal disease, an infectious disease having a significant economic impact on the cattle-farming industry globally. Comprehensive monitoring and in-depth studies of the pathological characteristics of viruses are crucial in formulating effective prevention and control [...] Read more.
Bovine viral diarrhea virus (BVDV) primarily causes bovine viral diarrhea/mucosal disease, an infectious disease having a significant economic impact on the cattle-farming industry globally. Comprehensive monitoring and in-depth studies of the pathological characteristics of viruses are crucial in formulating effective prevention and control strategies. The isolation, identification, molecular characterization, and pathogenicity analysis of a BVDV strain isolated from persistently infected cattle ear tissue samples are reported in this study. This newly isolated strain is a noncytopathogenic BVDV, which we named HB2411. Homology between the HB2411 and U63479 strains was determined to be 96.7%, and the phylogenetic tree indicated that HB2411 belongs to the BVDV-1b subtype. Genetic variation analysis of the E2 protein of the HB2411 strain revealed multiple amino-acid mutation sites. Recombination analysis of the newly isolated HB2411 strain suggested a potential cross-geographical transmission event. BALB/c mice were intraperitoneally inoculated with the BVDV strain to evaluate the pathogenicity and virulence of BVDV-1b HB2411. BVDV was detected in multiple organs of BALB/c mice, with the highest viral load in the liver. BVDV infection promoted the expression of inflammatory cytokines in mice livers, necessitating further studies on the virulence and pathogenic mechanisms of this new strain to reduce economic losses caused to the animal husbandry industry. Full article
(This article belongs to the Collection Cattle Diseases)
Show Figures

Figure 1

17 pages, 5992 KB  
Article
Development and Evaluation of Quadruplex Droplet Digital PCR Method to Multiplex Detection of Different Respiratory Pathogens of Chickens
by Yingli Mu, Xuejing Wang, Tongchao Dong, Xinran Bao, Qianqian Xu, Tianxiang Lan, Juxiang Liu and Ligong Chen
Animals 2026, 16(1), 139; https://doi.org/10.3390/ani16010139 - 3 Jan 2026
Viewed by 365
Abstract
Chicken respiratory diseases represent multifactorial conditions resulting from viral, bacterial, mycoplasmal pathogens, and environmental factors, causing significant economic losses within the poultry industry. A specific respiratory disease characterized by breathing difficulties and bronchial occlusion due to caseous exudates is termed chicken bronchial obstruction. [...] Read more.
Chicken respiratory diseases represent multifactorial conditions resulting from viral, bacterial, mycoplasmal pathogens, and environmental factors, causing significant economic losses within the poultry industry. A specific respiratory disease characterized by breathing difficulties and bronchial occlusion due to caseous exudates is termed chicken bronchial obstruction. However, the absence of rapid, precise, and highly sensitive diagnostic methods for differentiation of primary respiratory disease pathogens or opportunistic pathogens, including avian influenza virus (AIV), infectious bronchitis virus (IBV), Pseudomonas aeruginosa (P. aeruginosa), and Escherichia coli (E. coli), constitutes a substantial challenge. This study developed a quadruplex droplet digital polymerase chain reaction (ddPCR) method that targeted the HA gene of H9 subtype AIV, the M gene of IBV, the Pal gene of P. aeruginosa, and the UidA gene of E. coli. Following the optimization of annealing temperature, sensitivity, and repeatability, the minimum detectable concentrations were determined as 3.02 copies/μL for the HA gene of H9 subtype AIV, 3.08 copies/μL for the M gene of IBV, 3.19 copies/μL for the Pal gene of P. aeruginosa, 3.39 copies/μL for the UidA gene of E. coli. No cross-reactivity was observed with Newcastle disease virus (NDV), H5 subtype AIV, H7 subtype AIV, fowl adenovirus serotype 4 (FAdV-4), infectious laryngotracheitis virus (ILTV), Avibacterium paragallinarum, Streptococcus, Salmonella, Pasteurella multocida, and Staphylococcus aureus. The method demonstrated excellent repeatability, with a coefficient of variation (CV) below 9%. The 185 clinical samples collected in Hebei Province China are tested by both quadruplex ddPCR and quadruplex qPCR method and the results compared. The sensitivity of the quadruplex ddPCR method (57.30%; 106/185) slightly exceeded that of the quadruplex qPCR method (49.73%; 92/185). Pathogens or opportunistic pathogens positive rates obtained via the quadruplex ddPCR were 40.00% for H9 subtype AIV, 33.51% for IBV, 24.32% for P. aeruginosa, and 27.57% for E. coli. In comparison, the positive rates of H9 subtypes AIV, IBV, P. aeruginosa, and E. coli from the quadruplex qPCR were 36.22%, 30.81%, 21.62%, and 24.32%, respectively. The coincidence rates between the two methods were 96.22% for H9 AIV, 97.30% for IBV, 97.30% for P. aeruginosa, and 96.76% for E. coli. These results demonstrated that the quadruplex ddPCR method represented a highly sensitive, specific, and rapid technique for identifying H9 subtype AIV, IBV, P. aeruginosa, and E. coli. Full article
(This article belongs to the Special Issue Advances in Molecular Diagnostics in Veterinary Sciences)
Show Figures

Figure 1

14 pages, 3565 KB  
Article
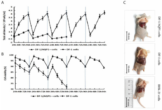
Engineering AQP1-Deficient DF-1 Suspension Cells for High-Yield IBDV Production and Vaccine Scale-Up
by Bingmei Dong, Ruonan Wang, Yu Guan, Xiubao Zhao, Ronghua Li, Qingqing Xu, Hui Li, Qingfang Gao, Shengjie Yao, Shuyu Song, Ashenafi Kiros Wubshet and Na Tang
Vaccines 2026, 14(1), 52; https://doi.org/10.3390/vaccines14010052 - 31 Dec 2025
Viewed by 359
Abstract
Background: Large-scale production of poultry viral vaccines increasingly requires robust suspension cell platforms. However, most avian cell lines, including DF-1, are strictly anchorage-dependent, limiting scalability. Aquaporin-1 (AQP1) regulates cell–cell adhesion and membrane dynamics, making it a potential target for engineering suspension growth. [...] Read more.
Background: Large-scale production of poultry viral vaccines increasingly requires robust suspension cell platforms. However, most avian cell lines, including DF-1, are strictly anchorage-dependent, limiting scalability. Aquaporin-1 (AQP1) regulates cell–cell adhesion and membrane dynamics, making it a potential target for engineering suspension growth. This study aimed to generate a stable DF-1 suspension cell line via AQP1 disruption and evaluate its potential for enhanced infectious bursal disease virus (IBDV) production. Methodology: DF-1 cells were engineered using a CRISPR/Cas9 ribonucleoprotein system to create a truncated AQP1 gene. DF-1/AQP1 cells were assessed for morphology, tumorigenicity in nude mice, and genetic stability across 20 passages. Suspension growth, cell density, and viability were measured. Cells were infected with IBDV strain BJQ902, and viral titers were compared with wild-type DF-1 and monolayer DF-1/AQP1 cells. Results: DF-1/AQP1 cells maintained normal morphology, were non-tumorigenic, and retained stable AQP1 mutations. They grew as true suspension cultures without adaptation, reaching 4.0 × 106 cells/mL with >95% viability. Suspension DF-1/AQP1 cells cells produced significantly higher viral titers (9.0 log TCID50/mL; 8.63 log EID50/mL) than both monolayer DF-1/AQP1 and wild-type DF-1 cells. Virus production time was shortened in suspension cultures. Conclusions: Targeted AQP1 disruption converts DF-1 cells into a stable, non-tumorigenic suspension cell line with markedly enhanced IBDV production, providing a scalable platform for next-generation avian vaccine manufacturing. Full article
(This article belongs to the Special Issue Vaccines Against Poultry Viruses)
Show Figures

Figure 1

19 pages, 1291 KB  
Article
Upregulation of a MicroRNA Signature Involving miR-17-5p, miR-26b-5p, miR-106a-5p, and miR-146a-5p During Cervical Epithelial Transformation
by Andrea Hornakova, Zuzana Kolkova, Lucia Kotulova, Tomas Rokos, Ivana Kasubova, Terezia Pribulova, Erik Kozubik, Kamil Biringer, Erik Kudela and Veronika Holubekova
Epigenomes 2026, 10(1), 1; https://doi.org/10.3390/epigenomes10010001 - 26 Dec 2025
Viewed by 248
Abstract
Background: Cervical cancer remains the fourth most common malignancy among women worldwide. Despite vaccination and regular screening, new molecular biomarkers are needed for improved early detection and risk assessment. MicroRNAs (miRNAs) play crucial roles in post-transcriptional regulation, and their dysregulation may contribute [...] Read more.
Background: Cervical cancer remains the fourth most common malignancy among women worldwide. Despite vaccination and regular screening, new molecular biomarkers are needed for improved early detection and risk assessment. MicroRNAs (miRNAs) play crucial roles in post-transcriptional regulation, and their dysregulation may contribute to cervical carcinogenesis. This study evaluated the expression of selected miRNAs in cervical swab samples and corresponding biopsies from women with various grades of cervical lesions and assessed their relationship with human papillomavirus (HPV) infection. Methods: A total of 72 cervical swab samples were included in this study, divided according to cytological severity: negative for intraepithelial lesion or malignancy (NILM, n = 15), atypical squamous cells of undetermined significance (ASC-US, n = 12), low-grade squamous intraepithelial lesion (LSIL, n = 19), and high-grade squamous intraepithelial lesion (HSIL, n = 26). In a subset of patients, corresponding biopsy specimens were analysed for comparison. The association of miRNA expression with HPV infection status was also examined. miRNA expression was quantified by real-time PCR using commercially available assays. Results: To assess the relationship between miRNA expression, lesion severity, and HPV infection, fold change values were compared to the control group (NILM). No significant differences were observed in the ASC-US group (p > 0.05). In contrast, several miRNAs were significantly upregulated in the LSIL and/or HSIL groups, as well as in HPV-positive samples, indicating their association with both lesion progression and viral infection. Specifically, miR-17-5p, miR-26b-5p, miR-29a-3p, miR-103a-3p, miR-106a-5p, miR-146a-5p, miR-155-5p, and miR-191-5p showed increased expression (p < 0.05) compared with controls. The observed upregulation of miR-26b-5p, miR-106a-5p, and miR-146a-5p highlights their potential role in HPV-associated cervical carcinogenesis. Dysregulated miRNAs were enriched in pathways related to infectious diseases, various types of cancer, and cell adhesion processes. Conclusions: The gradual increase in specific miRNAs with lesion severity and HPV infection suggests their role in cervical carcinogenesis. The identified miRNAs may serve as promising non-invasive biomarkers for early detection and monitoring of HPV-associated cervical lesions. Full article
(This article belongs to the Special Issue Epigenetic Signatures in Metabolic Health and Cancer)
Show Figures

Figure 1

13 pages, 819 KB  
Review
Key Challenges in Screening Blood Donors for Hepatitis B Virus
by Maha A. Badawi, Sahar Eldakhakhny, Mohamed Ali, Mazen Badawi, Jaffar Khiariy, Yagoub Bin-Taleb and Salwa I. Hindawi
Viruses 2026, 18(1), 23; https://doi.org/10.3390/v18010023 - 23 Dec 2025
Viewed by 634
Abstract
Technological advancements in blood donor screening have significantly improved blood safety. However, certain testing challenges and limitations continue to face blood banks in donor screening for the hepatitis B virus, resulting in occasional cases of transfusion transmission. These cases are mostly related to [...] Read more.
Technological advancements in blood donor screening have significantly improved blood safety. However, certain testing challenges and limitations continue to face blood banks in donor screening for the hepatitis B virus, resulting in occasional cases of transfusion transmission. These cases are mostly related to donors presenting within the window period and donors with occult hepatitis B infection. There are several other challenges that professionals in transfusion medicine, infectious diseases, gastroenterology, and public health must be aware of. Maintaining the highest test sensitivity is a key parameter for enhancing blood safety, and the review describes current recommendations in this regard, along with relevant advancements. The diversity of viral genotypes and the potential for mutations affecting the surface antigen may negatively affect the performance of both serologic and nucleic acid tests. Serologic tests may also be affected by several interferences, endogenous or exogenous to the sample. A clear understanding of these challenges is necessary to create effective policies and procedures and to properly manage atypical cases. Full article
(This article belongs to the Section General Virology)
Show Figures

Figure 1

Back to TopTop