error_outline You can access the new MDPI.com website here. Explore and share your feedback with us.
 
 
Sign in to use this feature.

Years

Between: -

Subjects

remove_circle_outline
remove_circle_outline
remove_circle_outline
remove_circle_outline
remove_circle_outline
remove_circle_outline
remove_circle_outline

Journals

Article Types

Countries / Regions

Search Results (20)

Search Parameters:
Keywords = vertical sloshing

Order results
Result details
Results per page
Select all
Export citation of selected articles as:
20 pages, 5170 KB  
Article
Nonlinear Control Design for a PVTOL UAV Carrying a Liquid Payload with Active Sloshing Suppression
by Manuel A. Zurita-Gil, Gerardo Ortiz-Torres, Felipe D. J. Sorcia-Vázquez, Jesse Y. Rumbo-Morales, José J. Gascon Avalos, Juan R. Reynoso-Romo, Julio C. Rosas-Caro and Jorge A. Brizuela-Mendoza
Technologies 2026, 14(1), 31; https://doi.org/10.3390/technologies14010031 - 3 Jan 2026
Viewed by 197
Abstract
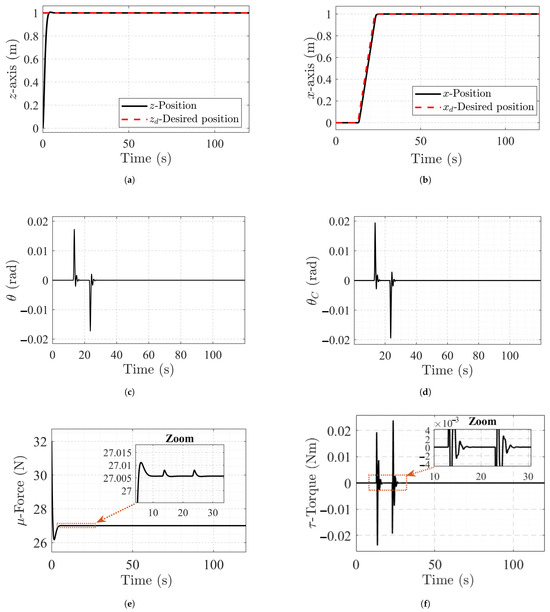
The increase in the number of Unmanned Aerial Vehicles (UAVs) for liquid transport tasks, such as agricultural spraying, results in significant stability challenges. The free movement of the liquid, known as sloshing, generates unpredictable forces that destabilize the vehicle and increase collision risks. [...] Read more.
The increase in the number of Unmanned Aerial Vehicles (UAVs) for liquid transport tasks, such as agricultural spraying, results in significant stability challenges. The free movement of the liquid, known as sloshing, generates unpredictable forces that destabilize the vehicle and increase collision risks. This study treats this problem by developing and validating a nonlinear control strategy to ensure precise trajectory tracking while actively suppressing liquid sloshing. The coupled dynamics of the system are modeled using the Euler–Lagrange formalism by representing the UAV as a planar vertical take-off and landing (PVTOL) aircraft and the liquid sloshing dynamics as an equivalent pendulum model. The stability of the entire closed-loop system is proven using Lyapunov’s direct method. The analytical results are validated through numerical simulations in MATLAB/Simulink, which demonstrate excellent tracking of desired altitude and horizontal trajectories. Crucially, the simulations confirm that the controller effectively attenuates the sloshing oscillations, offering a robust solution to enhance the safety and operational performance of UAVs in liquid transport applications. Full article
(This article belongs to the Special Issue Aviation Science and Technology Applications)
Show Figures

Figure 1

21 pages, 2817 KB  
Article
Dynamic Properties of a Rectangular Cantilever Aqueduct with a Baffle Considering Soil–Structure Interaction
by Fangzheng Hao, Shuo Xu, Ying Sun, Zhenyuan Gu, Xun Meng, Zhong Zhang and Jue Wang
Buildings 2025, 15(23), 4335; https://doi.org/10.3390/buildings15234335 - 28 Nov 2025
Viewed by 303
Abstract
Rectangular aqueducts are critical building structures in large-scale water conveyance systems used worldwide. Liquid sloshing can produce hydrodynamic forces that threaten structural safety and long-term performance. This study analytically investigates the vibration characteristics of two-dimensional rectangular cantilever aqueduct systems while accounting for soil–structure [...] Read more.
Rectangular aqueducts are critical building structures in large-scale water conveyance systems used worldwide. Liquid sloshing can produce hydrodynamic forces that threaten structural safety and long-term performance. This study analytically investigates the vibration characteristics of two-dimensional rectangular cantilever aqueduct systems while accounting for soil–structure interaction (SSI). To reduce sloshing and enhance the performance of the mechanical system, a bottom-mounted vertical baffle is proposed as a hydrodynamic damping solution. Through subdomain analysis, mathematical expressions for liquid potential fields are derived. The continuous liquid is represented through discrete mass–spring elements for dynamic analysis. Horizontal soil impedance is characterized by using Chebyshev orthogonal polynomial approximations with optimized least squares fitting techniques. A dynamic mechanical model for the soil–aqueduct–liquid–baffle coupling system is developed by using the substructure method. Convergence and comparative studies are conducted to validate the reliability of the proposed method. Between the current results and those reported previously, the variation in the first-order sloshing frequency is less than 1.10%. Parametric analyses evaluate how baffle size, baffle position, and soil properties influence sloshing behavior. The presentation of an equivalent analytical model is the novelty of this research. The results can provide the theoretical basis for optimizing anti-sloshing designs in hydraulic building structures, thereby supporting safer and more sustainable engineering practices. Full article
(This article belongs to the Special Issue Low Carbon and Green Materials in Construction—3rd Edition)
Show Figures

Figure 1

18 pages, 8196 KB  
Article
Identification of Natural Sloshing Frequency in a Rectangular Tank Under Surge Excitation Using Coupled Eulerian–Lagrangian Method and Impulse Excitation Method
by Su-Hyun Park, Young Il Park, Taehyun Yoon and Jeong-Hwan Kim
Appl. Sci. 2025, 15(9), 5175; https://doi.org/10.3390/app15095175 - 6 May 2025
Cited by 3 | Viewed by 2053
Abstract
Sloshing in liquid storage tanks is a critical phenomenon that affects the stability, performance, and safety of various engineering systems, including fuel tanks, offshore structures, and industrial storage units. The presence of internal structures, such as vertical baffles, significantly influences the natural sloshing [...] Read more.
Sloshing in liquid storage tanks is a critical phenomenon that affects the stability, performance, and safety of various engineering systems, including fuel tanks, offshore structures, and industrial storage units. The presence of internal structures, such as vertical baffles, significantly influences the natural sloshing frequencies and fluid motion. However, existing theoretical models often rely on simplified assumptions that restrict their capacity to capture the complexities of fluid–structure interactions in baffled tanks. This study integrates the coupled Eulerian–Lagrangian method with the impulse excitation technique to predict natural sloshing frequencies in a rectangular tank with vertical baffles. By analyzing the system’s response to an impulse excitation, we extracted the dominant sloshing frequencies while considering the impact of baffles on fluid dynamics. This computational approach provides a more realistic representation of sloshing phenomena and enables a parametric analysis of how various tank dimensions, fluid properties, and baffle configurations influence sloshing behavior. The findings of this study contribute to the improved design and optimization of liquid storage tanks, ensuring enhanced stability and performance in practical engineering applications. The integration of impulse excitation with the coupled Eulerian–Lagrangian method marks a significant advancement in sloshing analysis, offering a robust framework for understanding and mitigating the effects of sloshing in baffled tanks. Full article
(This article belongs to the Special Issue New Insights into Fluid Mechanics: Modeling and Computing)
Show Figures

Figure 1

27 pages, 1906 KB  
Article
Physical Modeling and Simulation of Reusable Rockets for GNC Verification and Validation
by Stefano Farì, Marco Sagliano, José Alfredo Macés Hernández, Anton Schneider, Ansgar Heidecker, Markus Schlotterer and Svenja Woicke
Aerospace 2024, 11(5), 337; https://doi.org/10.3390/aerospace11050337 - 24 Apr 2024
Cited by 5 | Viewed by 4614
Abstract
Reusable rockets must rely on well-designed Guidance, Navigation and Control (GNC) algorithms. Because they are tested and verified in closed-loop, high-fidelity simulators, emphasizing the strategy to achieve such advanced models is of paramount importance. A wide spectrum of complex dynamic behaviors and their [...] Read more.
Reusable rockets must rely on well-designed Guidance, Navigation and Control (GNC) algorithms. Because they are tested and verified in closed-loop, high-fidelity simulators, emphasizing the strategy to achieve such advanced models is of paramount importance. A wide spectrum of complex dynamic behaviors and their cross-couplings must be captured to achieve sufficiently representative simulations, hence a better assessment of the GNC performance and robustness. This paper focuses on of the main aspects related to the physical (acausal) modeling of reusable rockets, and the integration of these models into a suitable simulation framework oriented towards GNC Validation and Verification (V&V). Firstly, the modeling challenges and the need for physical multibody models are explained. Then, the Vertical Landing Vehicles Library (VLVLib), a Modelica-based library for the physical modeling and simulation of reusable rocket dynamics, is introduced. The VLVLib is built on specific principles that enable quick adaptations to vehicle changes and the introduction of new features during the design process, thereby enhancing project efficiency and reducing costs. Throughout the paper, we explain how these features allow for the rapid development of complex vehicle simulation models by adjusting the selected dynamic effects or changing their fidelity levels. Since the GNC algorithms are normally tested in Simulink®, we show how simulation models with a desired fidelity level can be developed, embedded and simulated within the Simulink® environment. Secondly, this work details the modeling aspects of four relevant vehicle dynamics: propellant sloshing, Thrust Vector Control (TVC), landing legs deployment and touchdown. The CALLISTO reusable rocket is taken as study case: representative simulation results are shown and analyzed to highlight the impact of the higher-fidelity models in comparison with a rigid-body model assumption. Full article
(This article belongs to the Special Issue GNC for the Moon, Mars, and Beyond)
Show Figures

Figure 1

13 pages, 4546 KB  
Article
The Static and Dynamic Behavior of Steel Storage Tanks over Different Types of Clay Soil
by Tarek N. Salem, Ayman El-Zohairy and Ahmed M. Abdelbaset
CivilEng 2023, 4(4), 1169-1181; https://doi.org/10.3390/civileng4040064 - 22 Nov 2023
Cited by 1 | Viewed by 1993
Abstract
Steel storage tanks are widely used in different fields. Most of these tanks contain hazardous materials, which may lead to disasters and environmental damage for any design errors. There are many reasons which cause the failure of these tanks such as excessive base [...] Read more.
Steel storage tanks are widely used in different fields. Most of these tanks contain hazardous materials, which may lead to disasters and environmental damage for any design errors. There are many reasons which cause the failure of these tanks such as excessive base plate settlement, shear failure of soil, liquid sloshing, and buckling of the tank shell. In this study, five models of above-ground steel storage tanks resting over different types of clay soils (medium-stiff clay, stiff clay, and very stiff clay soils) are analyzed using the finite element program ADINA under the effect of static and dynamic loading. The soil underneath the tank is truly simulated using a 3D solid (porous media) element and the used material model is the Cam-clay soil model. The fluid in the tank is modeled depending on the Navier–Stokes fluid equation. Moreover, the earthquake record used in this analysis is the horizontal component of the Loma Prieta Earthquake. The analyzed tanks are circular steel tanks with the same height (10 m) and different diameters (ranging from 15 m to 40 m). The soil under the tanks has a noticeable effect on the dynamic behavior of the studied tanks. The tanks resting over the medium-stiff clay (the weakest soil) give a lower permanent settlement after the earthquake because of its low elastic modulus which leads to the absorption of the earthquake waves in comparison to the other types of soil. There are 29.6% and 35.6% increases in the peak dynamic stresses under the tanks in the cases of stiff clay and very stiff clay soils, respectively. The maximum values of the dynamic vertical stresses occur at a time around 13.02 s, which is close to the peak ground acceleration of the earthquake. Full article
(This article belongs to the Special Issue Feature Papers in CivilEng)
Show Figures

Figure 1

14 pages, 4124 KB  
Article
Research on Stability Control Technology of Hazardous Chemical Tank Vehicles Based on Electromagnetic Semi-Active Suspension
by Jianguo Dai, Youning Qin, Cheng Wang, Jianhui Zhu and Jingxuan Zhu
Actuators 2023, 12(8), 333; https://doi.org/10.3390/act12080333 - 17 Aug 2023
Cited by 2 | Viewed by 2107
Abstract
Liquid sloshing in the tank can seriously affect the stability of hazardous chemical tanker trucks during operation. To this end, this paper proposes a solution based on an electromagnetic semi-active suspension system to prevent chemical spills and ensure safe driving of hazardous chemical [...] Read more.
Liquid sloshing in the tank can seriously affect the stability of hazardous chemical tanker trucks during operation. To this end, this paper proposes a solution based on an electromagnetic semi-active suspension system to prevent chemical spills and ensure safe driving of hazardous chemical tank vehicles. A comprehensive investigation was conducted across four domains: theoretical research, simulation model establishment, co-simulation platform construction, and simulation data analysis. Three fuzzy controllers were used to suppress the vibration of the tank vehicles, and a simulation study of the stability control of the tank vehicles under electromagnetic semi-active suspension was carried out. The results show that the electromagnetic semi-active suspension can significantly reduce the vertical, pitch, and roll vibrations of the tank vehicles by 17.60%, 25.78%, and 27.86%, respectively. The research results of this paper are of great significance for improving the safety and stability of hazardous chemical tanker trucks. Full article
(This article belongs to the Special Issue Linear Motors and Direct-Drive Technology)
Show Figures

Figure 1

16 pages, 5767 KB  
Article
Study on the Damping Effect and Mechanism of Vertical Slotted Screens Based on the BM-MPS Method
by Changle Zhang, Lizhu Wang and Min Xu
J. Mar. Sci. Eng. 2023, 11(7), 1270; https://doi.org/10.3390/jmse11071270 - 22 Jun 2023
Cited by 6 | Viewed by 1939
Abstract
Liquid sloshing is a common phenomenon in ocean engineering, and one which not only affects the stability of ship navigation, but also poses a threat to both the marine environment and human life. Ascertaining how best to reduce the amplitude of liquid sloshing [...] Read more.
Liquid sloshing is a common phenomenon in ocean engineering, and one which not only affects the stability of ship navigation, but also poses a threat to both the marine environment and human life. Ascertaining how best to reduce the amplitude of liquid sloshing has always been a key problem in ocean engineering. In this study, based on an improved moving-particle semi-implicit method, the BM-MPS method, the damping effect of a vertical slotted screen under rotation excitation was simulated and studied, and the influence of baffle porosity and the rotation amplitude on the resonance period and impact pressure was discussed. The results showed that the porosity had an obvious effect on the resonance period. A significant resonance period transformation happened when the porosity was 0.1, but a porosity of 0.15 was the point at which the maximum impact pressure in the resonance was at its minimum. Meanwhile, the impact duration curve was related to porosity. With the increasing of porosity, the impact duration curve changed from having no peak to a single peak, and then to double peak. In addition, the amplitude of rotation excitation was also one of the factors that affected the resonance period. Full article
(This article belongs to the Section Ocean Engineering)
Show Figures

Figure 1

31 pages, 31657 KB  
Article
Numerical Calculation of Slosh Dissipation
by Leon Cillie Malan, Chiara Pilloton, Andrea Colagrossi and Arnaud George Malan
Appl. Sci. 2022, 12(23), 12390; https://doi.org/10.3390/app122312390 - 3 Dec 2022
Cited by 9 | Viewed by 2943
Abstract
As part of the Sloshing Wing Dynamics H2020 EU project, an experimental campaign was conducted to study slosh-induced damping in a vertically excited tank filled with liquid water or oil and air. In this work, we simulate these experiments using two numerical approaches. [...] Read more.
As part of the Sloshing Wing Dynamics H2020 EU project, an experimental campaign was conducted to study slosh-induced damping in a vertically excited tank filled with liquid water or oil and air. In this work, we simulate these experiments using two numerical approaches. First, a single-phase, weakly compressible liquid model is used, and the gas flow (air) is not modeled. For this approach, a proven Smoothed Particle Hydrodynamics (SPH) model is used. In the second approach, both phases are simulated with an incompressible liquid and weakly compressible gas model via a Finite Volume Method (FVM) using Volume-of-Fluid (VOF) to track the liquid phase. In both approaches, the energy distribution of the flow is calculated over time in two- and three-dimensional simulations. It is found that there is reasonable agreement on the energy dissipation evolution between the methods. Both approaches show converging results in 2D simulations, although the SPH simulations seem to have a faster convergence rate. In general, the SPH results tend to overpredict the total dissipation compared to the experiment, while the finite volume 2D results underpredict it. Time histories of the center of mass positions are also compared. The SPH results show a much larger vertical center of mass motion compared to the FVM results, which is more pronounced for the high Reynolds number (water) case, probably linked to the absence of the air phase. On the other hand, the limited center of mass motion of the FVM could be linked to the need for higher spatial resolutions in order to resolve the complex gas–liquid interactions, particularly in 3D. Full article
(This article belongs to the Special Issue Liquid Slosh Damping: Experimental and Numerical Developments)
Show Figures

Figure 1

17 pages, 7587 KB  
Article
On the Efficacy of Turbulence Modelling for Sloshing
by Omar Ahmed Mahfoze, Wendi Liu, Stephen M. Longshaw, Alex Skillen and David R. Emerson
Appl. Sci. 2022, 12(17), 8851; https://doi.org/10.3390/app12178851 - 2 Sep 2022
Cited by 4 | Viewed by 3075
Abstract
As part of a wider project to understand the applicability of utilising slosh-based damping for wing-like structures, simulations of partially filled tanks subjected to harmonically oscillating and vertical motion are presented. The Volume of Fluid modelling approach is used to capture the air–water [...] Read more.
As part of a wider project to understand the applicability of utilising slosh-based damping for wing-like structures, simulations of partially filled tanks subjected to harmonically oscillating and vertical motion are presented. The Volume of Fluid modelling approach is used to capture the air–water interface and different turbulence models based on the Reynolds Averaged Navier–Stokes equations employed. No-model simulations are also conducted to demonstrate the efficacy of using turbulence models in the simulation of sloshing flows. Accuracy of the models is assessed by comparing with recent well-validated experimental data in terms of the damping effect of the sloshing. A wide range of excitation amplitudes are considered in the study to demonstrate the effectiveness of different turbulence models in representing the flow feature of weak and very violent sloshing. The results show that standard turbulence models can produce an excessive dissipation, especially at the interface, leading to inaccuracies in the estimation of sloshing dynamics of the violent sloshing. This issue is absent in the no-model simulations, and better results are obtained for all tested sloshing conditions, suggesting approaches to mitigate this interfacial dissipation within RANS-based modelling is an important consideration for future direction. Full article
(This article belongs to the Special Issue Liquid Slosh Damping: Experimental and Numerical Developments)
Show Figures

Figure 1

18 pages, 5908 KB  
Article
Linear and Nonlinear Reduced Order Models for Sloshing for Aeroelastic Stability and Response Predictions
by Marco Pizzoli, Francesco Saltari and Franco Mastroddi
Appl. Sci. 2022, 12(17), 8762; https://doi.org/10.3390/app12178762 - 31 Aug 2022
Cited by 3 | Viewed by 2483
Abstract
This paper makes use of sloshing reduced-order models to investigate the effects of sloshing dynamics on aeroelastic stability and response of flying wing structure. More specifically, a linear frequency-domain operator derived by an equivalent mechanical model is used to model lateral (linear) sloshing [...] Read more.
This paper makes use of sloshing reduced-order models to investigate the effects of sloshing dynamics on aeroelastic stability and response of flying wing structure. More specifically, a linear frequency-domain operator derived by an equivalent mechanical model is used to model lateral (linear) sloshing dynamics whereas data-driven neural-networks are used to model the vertical (nonlinear) sloshing dynamics. These models are integrated into a formulation that accounts for both the rigid and flexible behavior of aircraft. A time domain representation of the unsteady aerodynamics is achieved by rational function approximation of the fully unsteady aerodynamics obtained via the doublet lattice method. The case study consists of the so called Body Freedom Flutter research model in two different configurations with one or two tanks partially filled with liquid with a mass comprising 25% of the aircraft structure. The results show that linear sloshing dynamics are able to change the stability margin of the aircraft in addition to having non-negligible effects on rigid body dynamics. On the other hand, vertical sloshing acts as a nonlinear damper and eventually provides limit cycle oscillations after flutter onset. Full article
(This article belongs to the Special Issue Liquid Slosh Damping: Experimental and Numerical Developments)
Show Figures

Figure 1

30 pages, 7961 KB  
Article
Simulating Slosh Induced Damping, with Application to Aircraft Wing-like Structures
by Wendi Liu, Omar Ahmed Mahfoze, Stephen M. Longshaw, Alex Skillen and David R. Emerson
Appl. Sci. 2022, 12(17), 8481; https://doi.org/10.3390/app12178481 - 25 Aug 2022
Cited by 2 | Viewed by 2809
Abstract
The added damping generated by liquid sloshing in a tank has been utilized in a number of civil applications, including aviation, to reduce the vibration of the system. As part of a wider EU H2020 project called SLOWD (Sloshing Wing [...] Read more.
The added damping generated by liquid sloshing in a tank has been utilized in a number of civil applications, including aviation, to reduce the vibration of the system. As part of a wider EU H2020 project called SLOWD (Sloshing Wing Dynamics), the presented study performed numerical simulations on the slosh-induced damping of liquid in tanks that were under free decay oscillations and embedded in an aircraft wing-like structure. A new open-source partitioned fluid–structure interaction software framework is presented and employed for the numerical simulations. Periodic sloshing waves and violent vertical fluid motions are observed in the study. These demonstrate the effects of slosh-induced damping under different excitation amplitudes of the structure and a varying number of baffled regions within the tank. Various sloshing patterns caused by different combinations of the excitation amplitude and compartment numbers lead to different induced dampings of the free decay motion. We observed a distinctly non-monotonic function on the slosh damping when the initial excitation amplitude is small (i.e., 0.25), with a 59% reduction when we increase the number of baffled compartments from one to four, and a 153% increase when moving from one to eight compartments. This is due to the change in the sloshing wave frequency, resulting in a significant change in the impact of the fluid between the tank ceiling and the wave crests. When the initial excitation amplitude is large (i.e., 1.0), there is no significant change in the slosh-induced damping when changing the number of compartments in the tank, for the range of parameters considered, due to the highly turbulent fluid motion. This work is expected to form the basis of further, more detailed studies within the context of the SLOWD project and its ever-expanding experimental data output. Full article
(This article belongs to the Special Issue Liquid Slosh Damping: Experimental and Numerical Developments)
Show Figures

Figure 1

29 pages, 11430 KB  
Article
Experimental and Numerical Characterization of Violent Sloshing Flows Using a Single Degree of Freedom Approach
by Jon Martinez-Carrascal, L. M. González-Gutiérrez and Javier Calderon-Sanchez
Appl. Sci. 2022, 12(15), 7897; https://doi.org/10.3390/app12157897 - 6 Aug 2022
Cited by 4 | Viewed by 3386
Abstract
In this work, the most fundamental aspects of an aeronautical sloshing problem have been studied using an alternative and simplified model. This model consists of a single degree of freedom version of the original problem which keeps the essence of the fluid structure [...] Read more.
In this work, the most fundamental aspects of an aeronautical sloshing problem have been studied using an alternative and simplified model. This model consists of a single degree of freedom version of the original problem which keeps the essence of the fluid structure interaction and also the most relevant physical aspects of the industrial case. Two independent methodologies have been used: first an experimental rig has been designed to measure and visualize different magnitudes of the problem and also a smoothed particle hydrodynamics formulation has been adapted to obtain a local representation of the flow interaction. Two very different fluids in terms of viscosity have been tested, and the differences in terms of the characteristics of the sloshing regimes, free surface fragmentation and relative kinetic energy have been described and compared. Apart from the comparison of the results obtained by both methodologies in terms of tank acceleration, sloshing forces and free surface evolution, a deep study of the sloshing force has been performed. This study focuses on a deeper understanding of the different aspects that constitute the sloshing force, such as its synchronization with the tank movement, the relation to the movement of the liquid’s center of mass and the physical projection of the force on the pressure and viscous parts. Additionally, a reconstruction of the sloshing force as a sum of the pressure signal recorded by a finite number of pressure sensors has been also performed. Full article
(This article belongs to the Special Issue Liquid Slosh Damping: Experimental and Numerical Developments)
Show Figures

Figure 1

24 pages, 7604 KB  
Article
Effect of Fuel Sloshing on the Damping of a Scaled Wing Model—Experimental Testing and Numerical Simulations
by Lucian Constantin, Joe J. De Courcy, Branislav Titurus, Thomas C. S. Rendall, Jonathan E. Cooper and Francesco Gambioli
Appl. Sci. 2022, 12(15), 7860; https://doi.org/10.3390/app12157860 - 4 Aug 2022
Cited by 7 | Viewed by 3463
Abstract
Vertical sloshing of liquid-filled tanks has been shown to induce substantial dissipative effects. Building upon these previous results obtained on simpler sloshing systems, a scaled wing prototype is presented here, equipped with a fuel tank that allows the observation of liquid sloshing and [...] Read more.
Vertical sloshing of liquid-filled tanks has been shown to induce substantial dissipative effects. Building upon these previous results obtained on simpler sloshing systems, a scaled wing prototype is presented here, equipped with a fuel tank that allows the observation of liquid sloshing and quantification of induced dynamic effects. Based on experiments conducted at a 50% filling level for a baffled wing fuel tank model, substantial additional damping effects were demonstrated with liquid inside the tank regardless of the vertical acceleration amplitude. A numerical model based on a finite element wing structural model and a surrogate 1DOF fluid model was explored, with numerical simulations showing good agreement compared to experiments throughout the decaying motion of the system. Full article
(This article belongs to the Special Issue Liquid Slosh Damping: Experimental and Numerical Developments)
Show Figures

Figure 1

21 pages, 1912 KB  
Article
CFD Based Non-Dimensional Characterization of Energy Dissipation Due to Verticle Slosh
by Michael Dennis Wright, Francesco Gambioli and Arnaud George Malan
Appl. Sci. 2021, 11(21), 10401; https://doi.org/10.3390/app112110401 - 5 Nov 2021
Cited by 17 | Viewed by 2770
Abstract
We present the CFD based non-dimensional characterization of violent slosh induced energy dissipation due a tank under vertical excitation. Experimentally validated CFD is used for this purpose as an ideally suited and versatile tool. It is thus first demonstrated that a weakly compressible [...] Read more.
We present the CFD based non-dimensional characterization of violent slosh induced energy dissipation due a tank under vertical excitation. Experimentally validated CFD is used for this purpose as an ideally suited and versatile tool. It is thus first demonstrated that a weakly compressible VoF based CFD scheme is capable of computing violent slosh induced energy dissipation with high accuracy. The resulting CFD based energy analysis further informs that the main source of energy dissipation during violent slosh is due liquid impact. Next, a functional relationship characterising slosh induced energy dissipation is formulated in terms of fluid physics based non-dimensional numbers. These comprised contact angle and liquid–gas density ratio as well as Reynolds, Weber and Froude numbers. The Froude number is found the most significant in characterising verticle violent slosh induced energy dissipation (in the absence of significant phase change). The validated CFD is consequently employed to develop scaling laws (curve fits) which quantify energy dissipation as a function of the most important fluid physics non-dimensional numbers. These newly developed scaling laws show for the first time that slosh induced energy dissipation may be expressed as a quadratic function of Froude number and as a linear function of liquid–gas density ratio. Based on the aforementioned it is postulated that violent slosh induced energy dissipation may be expressed as a linear function of tank kinetic energy. The article is concluded by demonstrating the practical use of the novel CFD derived non-dimensional scaling laws to infer slosh induced energy dissipation for ideal experiments (with exact fluid physics similarity to the full scale Aircraft) from (non-ideal) slosh experiments. Full article
Show Figures

Figure 1

18 pages, 6539 KB  
Article
Numerical Investigation of Shallow Liquid Sloshing in a Baffled Tank and the Associated Damping Effect by BM-MPS Method
by Lizhu Wang, Min Xu and Qian Zhang
J. Mar. Sci. Eng. 2021, 9(10), 1110; https://doi.org/10.3390/jmse9101110 - 12 Oct 2021
Cited by 9 | Viewed by 2893
Abstract
Understanding the damping mechanism of baffles is helpful to make more reasonable use of them in suppressing liquid sloshing. In this study, the damping effect and mechanism of vertical baffles in shallow liquid sloshing under a rotational excitation are investigated by an improved [...] Read more.
Understanding the damping mechanism of baffles is helpful to make more reasonable use of them in suppressing liquid sloshing. In this study, the damping effect and mechanism of vertical baffles in shallow liquid sloshing under a rotational excitation are investigated by an improved particle method. By incorporation of a background mesh scheme and a modified pressure gradient model, the accuracy of impact pressure during sloshing is significantly enhanced. Combined with the advantages of the particle method, the present numerical method is a wonderful tool for the investigation of liquid sloshing issues. Through the analysis of impact pressure, the influences of baffle height and baffle position on the damping mechanism are discussed. The results show that the damping effect of vertical baffles increases with the increase of the elevation of baffle top and decreases with the increase of the elevation of the baffle bottom. Moreover, the resonance characteristics of sloshing are altered when static water is divided into two parts by the vertical baffle. The dominant damping mechanism of vertical baffles depends on the configurations. Full article
(This article belongs to the Section Ocean Engineering)
Show Figures

Figure 1

Back to TopTop