Sign in to use this feature.

Years

Between: -

Subjects

remove_circle_outline
remove_circle_outline
remove_circle_outline
remove_circle_outline
remove_circle_outline
remove_circle_outline
remove_circle_outline
remove_circle_outline
remove_circle_outline

Journals

remove_circle_outline
remove_circle_outline
remove_circle_outline
remove_circle_outline
remove_circle_outline
remove_circle_outline
remove_circle_outline
remove_circle_outline
remove_circle_outline

Article Types

Countries / Regions

remove_circle_outline
remove_circle_outline
remove_circle_outline
remove_circle_outline

Search Results (217)

Search Parameters:
Keywords = ventilation tubes

Order results
Result details
Results per page
Select all
Export citation of selected articles as:
11 pages, 882 KB  
Article
The Use of Topical Lidocaine Versus Lidocaine Injection for Myringotomy and Ventilation Tube Insertion
by Filip Bacan, Emili Dragaš, Mirta Peček, Iva Kelava, Andro Košec, Mihael Ries and Jakov Ajduk
Medicina 2026, 62(3), 595; https://doi.org/10.3390/medicina62030595 - 21 Mar 2026
Viewed by 99
Abstract
Background and Objectives: Minor otologic procedures in adults are often performed under local anesthesia, either via injection or topical application, thereby avoiding general anesthesia-associated risks. This study aims to compare pain levels with the use of a lidocaine spray versus lidocaine injections. [...] Read more.
Background and Objectives: Minor otologic procedures in adults are often performed under local anesthesia, either via injection or topical application, thereby avoiding general anesthesia-associated risks. This study aims to compare pain levels with the use of a lidocaine spray versus lidocaine injections. Materials and Methods: Fifty adult patients underwent local anesthetic myringotomy and ventilation tube placement, 30 unilaterally, and 20 bilaterally. Lidocaine injections were administered to 29 patients, and 21 received a lidocaine spray. Postoperatively, they were asked to mark their perceived pain level on a visual analogue scale (VAS, 0–100 mm), verbal rating scale (VRS, 0–3), and numeric rating scale (NRS, 0–10). Data normality was assessed using the Shapiro–Wilk test, continuous variables were analyzed using analysis of variance (ANOVA), and VRS outcomes were analyzed using binary logistic regression. A p-value ≤ 0.05 indicated statistical significance. Results: Pain levels were low in both groups, although consistently lower in the topical lidocaine group. The average VAS score was 23.14 mm (±14.69) for injection versus 9.76 mm (±11.41) for topical anesthesia (ANOVA, p = 0.002), while NRS scores averaged at 2.41 (±1.57) and 1.19 (±1.17), respectively (ANOVA, p = 0.009), indicating significantly lower pain with topical lidocaine. Logistic regression of the VRS indicated the same trend, although it did not reach statistical significance (OR = 0.153, 95% CI:0.017–1.389, p = 0.095). Conclusions: Lidocaine spray was associated with lower pain levels compared to lidocaine injections in patients undergoing myringotomy and ventilation tube placement. Our findings suggest that topical anesthesia may represent an effective alternative, offering a less invasive approach and reducing the needle-related psychological distress of patients. Full article
(This article belongs to the Special Issue Advances in Otorhinolaryngologic Diseases)
Show Figures

Figure 1

11 pages, 523 KB  
Article
Comparison of Ventilation Support During Laser Treatment of Retinopathy of Prematurity
by Jason Peng, Raghav Taneja, Barry N. Wasserman, Krystal Hunter, Vineet Bhandari and Alla Kushnir
Children 2026, 13(3), 339; https://doi.org/10.3390/children13030339 - 27 Feb 2026
Viewed by 292
Abstract
Objective: To compare respiratory outcomes between infants undergoing retinopathy of prematurity (ROP) laser treatment with or without elective intubation. Study Design: This retrospective cohort study analyzed preterm infants treated by the same pediatric ophthalmologist at two tertiary hospitals between January 2010 and March [...] Read more.
Objective: To compare respiratory outcomes between infants undergoing retinopathy of prematurity (ROP) laser treatment with or without elective intubation. Study Design: This retrospective cohort study analyzed preterm infants treated by the same pediatric ophthalmologist at two tertiary hospitals between January 2010 and March 2023, Hospital 1 (No-endotracheal tube or ETT intubation) and Hospital 2 (ETT intubation). Infants intubated for unrelated reasons or treated with only anti-vascular endothelial growth factor (VEGF) injections were excluded. Data collected included demographics, comorbidities, ROP stage, and respiratory outcomes. Results: Among 91 infants (61 No-ETT, 30 ETT), the No-ETT group had significantly lower birth weight and had more Black infants. The mean duration of mechanical ventilation post-surgery was significantly shorter in the No-ETT than in the ETT cohort (0 vs. 1 days, p = 0.005), and the total respiratory support (both invasive and non-invasive) after surgery was significantly longer in the No-ETT than in the ETT cohort (108 vs. 4.5 days, p < 0.001). No statistically significant differences were observed between groups in terms of length of hospital stay after surgery. The two cohorts demonstrated similar clinical trajectories with respect to overall length of hospital stay, day of life at which laser surgery was performed, and multiple comorbidities. Over 90% of No-ETT infants tolerated the procedure without requiring elective intubation, with emergent intubation only occurring 9.8% of the time. Conclusions: Elective intubation during ROP surgery was associated with a longer length of post-surgery mechanical ventilation without clear improvements in short-term outcomes. Similar rates of multiple comorbidities, hospital length of stay, and timing of laser surgery suggest there is no associated clinical advantage to routine elective intubation. Routine elective intubation may be unnecessary for most infants during ROP laser surgery. Full article
Show Figures

Figure 1

10 pages, 818 KB  
Article
Does Palatoplasty in Patients with Cleft Palate Really Improve Otitis Media with Effusion?
by Yosuke Kunitomi, Toshiki Hyodo, Yoshiaki Kitsukawa, Aya Koike, Yasuhiro Tsubura, Yuske Komiyama, Chonji Fukumoto, Takahiro Wakui, Hiroshi Kamioka and Hitoshi Kawamata
Dent. J. 2026, 14(2), 86; https://doi.org/10.3390/dj14020086 - 3 Feb 2026
Viewed by 429
Abstract
Background: The majority of cleft palate patients have been reported to suffer from otitis media with effusion (OME). The improvement of velopharyngeal function (VPF) after palatoplasty might be evidence for the improvement of the function of the Eustachian tube. The improvement of the [...] Read more.
Background: The majority of cleft palate patients have been reported to suffer from otitis media with effusion (OME). The improvement of velopharyngeal function (VPF) after palatoplasty might be evidence for the improvement of the function of the Eustachian tube. The improvement of the function of Eustachian tube by palatoplasty has been reported to be effective for the treatment of OME simultaneously with the insertion of a ventilation tube into the tympanic membrane. There are only a few reports that clearly show the association between improvement of VPF and improvement of OME after palatoplasty. In this study, we discussed whether the improvement of VPF after palatoplasty in cleft palate patients with OME improved OME. Methods: Twenty-six patients with cleft palate were included in the study. We retrospectively extracted the information of cleft type, gender, surgical technique, and presence of OME risk factors from electronic medical records. We also investigated the recurrence of OME and the improvement level of VPF at 36 months postoperatively. OME was assessed based on the otolaryngologist’s findings in electronic medical records, with a good prognosis group with no symptom of OME, or a recurrence group with prolonged or recurrent OME. Results: At 36 months after palatoplasty, 19 of 23 patients (82.6%) were in the OME good prognosis group and four (17.4%) were in the OME recurrence group. The rate of patients with recurrent OME did not differ significantly by the degree of improvement of VPF. This study indicated that clear association between other risk factors for OME and OME recurrence could not be shown. Conclusion: We observed that most patients with cleft palate who underwent palatoplasty showed a good prognosis for OME at 36 months after surgery. However, further studies are needed to investigate the impact of different surgical techniques on the improvement of OME and the degree to which VPF improves, as well as the effect of each OME risk factor. Full article
(This article belongs to the Special Issue Trends in Orofacial Cleft Research)
Show Figures

Figure 1

10 pages, 4011 KB  
Case Report
Mantle Cell Lymphoma with Persistent Massive Pleural Effusions Requiring Invasive Mechanical Ventilation and Bilateral Continuous Thoracic Drainage
by Taichiro Tokura, Youhei Imai, Satoshi Sakai, Reina Saga, Hiroko Hidai and Sayuri Motomura
Reports 2026, 9(1), 38; https://doi.org/10.3390/reports9010038 - 27 Jan 2026
Viewed by 410
Abstract
Background and Clinical Significance: Mantle cell lymphoma (MCL) frequently involves bone marrow, gastrointestinal tract, and hepatosplenomegaly, whereas pleural effusions are uncommon. Cases requiring invasive mechanical ventilation and thoracic drainage are rare. We report a case of MCL with persistent massive pleural effusions requiring [...] Read more.
Background and Clinical Significance: Mantle cell lymphoma (MCL) frequently involves bone marrow, gastrointestinal tract, and hepatosplenomegaly, whereas pleural effusions are uncommon. Cases requiring invasive mechanical ventilation and thoracic drainage are rare. We report a case of MCL with persistent massive pleural effusions requiring invasive mechanical ventilation and bilateral continuous thoracic drainage. Case Presentation: A 71-year-old woman presented with dyspnea and was found to have bilateral pleural effusions and generalized lymphadenopathy. Shortly after admission, she developed acute respiratory failure due to pleural effusions and required invasive mechanical ventilation. Right-sided continuous thoracic drainage was initiated. Thereafter, more than 1 L of pleural fluid was drained each day. Flow cytometry of the pleural fluid showed CD5-positive B cells with kappa light-chain restriction. Bone marrow examination revealed abnormal lymphocyte infiltration. Cervical lymph node biopsy demonstrated diffuse proliferation of medium-sized, abnormal B lymphocytes with an immunophenotype of CD5+, CD19+, CD20+, cyclin D1+, SOX11+, and κ+, with a Ki-67 index of 20%, confirming MCL, stage IV. Immunochemotherapy with rituximab, cyclophosphamide, doxorubicin, vincristine, and prednisone (R-CHOP) was commenced under mechanical ventilation. Shortly thereafter, left-sided continuous thoracic drainage was also initiated. However, in response to immunochemotherapy, the bilateral pleural effusions gradually subsided, enabling extubation, and there was no reaccumulation after removal of both chest tubes. Furthermore, generalized lymphadenopathy regressed, and bone marrow examination revealed resolution of lymphoma infiltration, resulting in complete remission. Conclusions: De novo MCL complicated by persistent massive pleural effusions requiring invasive mechanical ventilation and bilateral continuous thoracic drainage is rare. A thorough diagnostic workup followed by prompt initiation of immunochemotherapy can arrest pleural output, enable extubation, and be lifesaving. Clinicians should recognize that MCL rarely presents with persistent massive pleural effusions. Full article
(This article belongs to the Section Haematology)
Show Figures

Figure 1

10 pages, 1002 KB  
Article
A Novel Long-Term Tympanostomy Tube: The U-Tube
by Itay Chen, Jean-Yves Sichel, Chanan Shaul and Ronen Perez
Bioengineering 2026, 13(1), 79; https://doi.org/10.3390/bioengineering13010079 - 12 Jan 2026
Viewed by 721
Abstract
Purpose: Tympanostomy tubes are essential for middle ear ventilation, but conventional long-term tubes carry high perforation rates (12–22%). This study evaluated the Tympanostomy U-Tube (TUT), a novel silicone-based tube designed to minimize perforation risk by redistributing pressure away from the tympanic membrane rim. [...] Read more.
Purpose: Tympanostomy tubes are essential for middle ear ventilation, but conventional long-term tubes carry high perforation rates (12–22%). This study evaluated the Tympanostomy U-Tube (TUT), a novel silicone-based tube designed to minimize perforation risk by redistributing pressure away from the tympanic membrane rim. Methods: This was a retrospective cohort study of 192 ears in children aged 1–4 years who underwent TUT insertion for chronic otitis media with effusion or recurrent acute otitis media. The primary outcomes were tube insertion time and the permanent perforation rate. Mean follow-up was 38.4 months. Results: Mean tube insertion time was 21.6 months. Spontaneous extrusion occurred in 18.2% of ears (mean 24.5 months), while 81.8% underwent elective removal (mean 21.0 months). Permanent perforation developed in only 4 ears (2.08%; 95% CI: 0.6–5.2%), substantially lower than rates reported in the literature for conventional long-term tubes (12–22%), although the retrospective design and reliance on historical controls limit direct comparison. Complications were minimal, with otorrhea (36%) responding to topical therapy. Office-based removal was successful in all cases. Conclusions: The TUT provides intermediate-duration ventilation with a perforation rate comparable to that of short-term tubes, while avoiding the high perforation rates of conventional long-term tubes. Prospective randomized trials are needed to validate these findings. Full article
(This article belongs to the Section Biomedical Engineering and Biomaterials)
Show Figures

Figure 1

11 pages, 2005 KB  
Article
Comprehensive Tracheobronchial Morphometry in Korean Adults: Clinical Implications for Double-Lumen Tube Sizing and Right Upper Lobe Alignment
by Seihee Min, Youn Joung Cho and Jae-Hyon Bahk
J. Clin. Med. 2026, 15(1), 318; https://doi.org/10.3390/jcm15010318 - 1 Jan 2026
Viewed by 345
Abstract
Background/Objectives: Accurate knowledge of tracheobronchial anatomy is essential for safe airway management, particularly during one-lung ventilation using double-lumen tubes (DLTs). However, population-specific morphometric data in Asian adults remain limited. We aimed to establish a comprehensive morphometric profile of the tracheobronchial tree in Korean [...] Read more.
Background/Objectives: Accurate knowledge of tracheobronchial anatomy is essential for safe airway management, particularly during one-lung ventilation using double-lumen tubes (DLTs). However, population-specific morphometric data in Asian adults remain limited. We aimed to establish a comprehensive morphometric profile of the tracheobronchial tree in Korean adults using 2D and 3D computed tomography (CT), and evaluate the clinical implications for DLT sizing and right upper lobe (RUL) alignment. Methods: This retrospective observational study included 398 adults who underwent preoperative chest CT. Measurements included tracheal dimensions, bronchial lengths, bronchial diameters, and anteroposterior angle of the RUL orifice. Height tertiles and sex-stratified linear regression analyses were performed to evaluate height–bronchial diameter relationships. Results: Bronchial dimensions were larger in men; however, height was more closely related to bronchial diameter in women. In women, each 1 cm increase in height corresponded to a 0.071 mm increase in left and a 0.077 mm increase in right bronchial transverse diameter (p < 0.001 for both). The RUL orifice showed posterior deviation of 15.5 ± 12.2° in men and 9.9 ± 11.4° in women, with height and weight being independent but weak predictors (R2 = 0.05). Bronchial diameter measurements showed consistent differences between 2D and 3D CT, with 2D images generally overestimating transverse diameters. Conclusions: The present analysis provides population-specific reference values for Korean adults. Our findings support the use of 2D CT as a practical tool for estimating bronchial dimensions and guiding DLT selection, and may serve as foundation for future airway devices tailored to Asian populations. Full article
Show Figures

Figure 1

19 pages, 2802 KB  
Article
In Vitro and In Silico Evaluation of Polymyxin B Aerosol Delivery in Adult Mechanical Ventilation
by Shengnan Zhang, Guanlin Wang, Jingjing Liu, Xuejuan Zhang and Qi Pei
Pharmaceutics 2026, 18(1), 58; https://doi.org/10.3390/pharmaceutics18010058 - 31 Dec 2025
Cited by 1 | Viewed by 640
Abstract
Background: Nebulized polymyxin B (PMB) therapy is widely used in intensive care units for treating hospital-acquired and ventilator-associated pneumonia caused by multidrug-resistant Gram-negative bacteria, yet its pulmonary delivery performance during invasive mechanical ventilation remains poorly characterized. Methods: An in vitro adult mechanical ventilation [...] Read more.
Background: Nebulized polymyxin B (PMB) therapy is widely used in intensive care units for treating hospital-acquired and ventilator-associated pneumonia caused by multidrug-resistant Gram-negative bacteria, yet its pulmonary delivery performance during invasive mechanical ventilation remains poorly characterized. Methods: An in vitro adult mechanical ventilation model was used. We evaluated two nebulizers (vibrating mesh nebulizer [VMN] and jet nebulizer [JN]) at three positions (standalone nebulizer, 15 cm from the Y-piece, and the humidifier’s dry end) with two artificial airway types (endotracheal and tracheostomy tubes). Lung deposition was predicted using the multiple-path particle dosimetry model, incorporating the Yeh/Schum five-lobe adult lung model. Results: In the standalone setup, the percentage of delivered dose of VMN and JN was approximately 40% and 34%, respectively. Mechanical ventilation significantly reduced the delivered dose (all p ≤ 0.0085), with VMN at the humidifier’s dry end delivering only 2.14–2.99% of the nominal dose. In all the tested ventilation scenarios, both the use of the JN and positioning the nebulizer 15 cm from the Y-piece significantly increased aerosol delivery (all p ≤ 0.021). While the ventilator circuit reduced the total drug amount, it filtered larger aerosols. This resulted in a smaller mass median aerodynamic diameter and a higher fine particle fraction (all p < 0.0001), which doubled the predicted alveolar deposition fraction (from 13–14% in standalone to 23–28% in ventilation scenarios) and eliminated extrathoracic deposition. Conclusions: This study provides the first in vitro and in silico assessment of PMB aerosol delivery during invasive mechanical ventilation. Nebulizer type, its placement within the circuit, and the artificial airway are critical factors that significantly alter the pulmonary delivery of PMB aerosol and subsequently impact its lung deposition. Full article
(This article belongs to the Special Issue Optimizing Aerosol Therapy: Strategies for Pulmonary Drug Delivery)
Show Figures

Graphical abstract

12 pages, 2092 KB  
Article
Development and In Vivo Evaluation of a Novel Bioabsorbable Polylactic Acid Middle Ear Ventilation Tube
by Ying-Chang Lu, Chi-Chieh Chang, Ping-Tun Teng, Chien-Hsing Wu, Hsuan-Hsuan Wu, Chiung-Ju Lin, Tien-Chen Liu, Yen-Hui Chan and Chen-Chi Wu
J. Funct. Biomater. 2026, 17(1), 25; https://doi.org/10.3390/jfb17010025 - 30 Dec 2025
Cited by 1 | Viewed by 702
Abstract
Background: Otitis media with effusion (OME) is a widespread condition that causes hearing impairment, particularly in pediatric populations. Existing non-absorbable tubes often require elective or unplanned removal surgery. Bioabsorbable polylactic acid (PLA) offers a promising alternative due to its inherent biocompatibility and tunable [...] Read more.
Background: Otitis media with effusion (OME) is a widespread condition that causes hearing impairment, particularly in pediatric populations. Existing non-absorbable tubes often require elective or unplanned removal surgery. Bioabsorbable polylactic acid (PLA) offers a promising alternative due to its inherent biocompatibility and tunable degradation characteristics. In this study, we designed, fabricated, and comprehensively evaluated a novel PLA middle-ear ventilation tube. Methods: Bioabsorbable PLA tubes were designed and fabricated based on commercial models. In vitro biocompatibility was assessed according to ISO 10993 guidelines. A guinea pig model was used to perform in vivo evaluations, including otoscopic examinations, auditory brainstem response (ABR) measurements, micro-computed tomography (micro-CT) imaging, and histological analyses. Results: The PLA tubes were successfully designed and fabricated, exhibiting dimensions comparable to those of commercially available products. In vitro testing confirmed their biocompatibility. In vivo observations revealed that the PLA segments remained stable, with no significant inflammation detected. ABR measurements revealed no adverse impacts on hearing function. Micro-CT imaging confirmed tube integrity and indicated initial signs of degradation over a 9-month period, as evidenced by radiographic morphology. Histological analyses indicated a favorable tissue response with minimal foreign body reaction. Conclusions: The developed PLA middle-ear ventilation tube represents a highly promising alternative to conventional non-absorbable tubes. It demonstrates excellent biocompatibility, preserves auditory function, and exhibits a controlled degradation profile. This preclinical study provides strong support for further investigation and subsequent clinical trials to validate its safety and efficacy in human patients. Full article
(This article belongs to the Special Issue Biomaterials for Wound Healing and Tissue Repair)
Show Figures

Graphical abstract

11 pages, 664 KB  
Article
Randomized Prospective Comparison of the SingularityTM Air Laryngeal Mask and Two Second-Generation Laryngeal Masks in Adult Patients
by Danijel Novina, Nadja Ettlin, Norbert Nickel, Norbert Aeppli, JoEllen Welter and Alexander Dullenkopf
J. Clin. Med. 2025, 14(23), 8513; https://doi.org/10.3390/jcm14238513 - 30 Nov 2025
Viewed by 461
Abstract
Background/Objectives: Supraglottic airway devices are commonly used airway management tools, with various second-generation laryngeal masks available for patients undergoing general anesthesia. These devices offer improved sealing, gastric suction capabilities, and the potential for tracheal intubation. This study compared the recently introduced SingularityTM [...] Read more.
Background/Objectives: Supraglottic airway devices are commonly used airway management tools, with various second-generation laryngeal masks available for patients undergoing general anesthesia. These devices offer improved sealing, gastric suction capabilities, and the potential for tracheal intubation. This study compared the recently introduced SingularityTM Air laryngeal mask with two well-established devices, Ambu® AuraGainTM and i-GEL®, under clinical conditions. Methods: We prospectively included 98 adult patients scheduled for elective surgery requiring general anesthesia. Patients were randomized to one of three laryngeal mask groups, and data on insertion success, ventilation efficiency, and postoperative complications, such as sore throat and dysesthesia, were collected. The primary endpoint was oropharyngeal sealing pressure, with additional assessments of insertion ease and bronchoscopic glottic visibility. Results: Median initial oropharyngeal leak pressure was lowest with i-GEL® (22 cm H2O) as opposed to Ambu® AuraGainTM (25 cm H2O) and SingularityTM Air (25 cm H2O) [p = 0.0138], but this difference equalized after 15–30 min. I-GEL® showed higher insertion success (88%, p = 0.001) and shorter time-to-first ventilation (29 s, p = 0.0106). Conversely, the gastric tube insertion rate was lower (70% versus >90% in the other masks). The Ambu® AuraGainTM and SingularityTM Air performed similarly for most parameters. No significant differences were observed in tracheal intubation potential or postoperative adverse events among the three groups. Conclusions: The SingularityTM Air performed comparably to Ambu® AuraGainTM and i-Gel laryngeal masks in oropharyngeal sealing pressure. I-Gel® had the highest successful insertion rate. Most of the differences detected were not statistically significant, with all three masks providing effective airway management. Full article
(This article belongs to the Section Anesthesiology)
Show Figures

Figure 1

26 pages, 8565 KB  
Article
Computational and Experimental Characterization of Flow in an Intubated Human Trachea
by Aarthi Sekaran and Ahmed Abdelaal
Fluids 2025, 10(12), 312; https://doi.org/10.3390/fluids10120312 - 28 Nov 2025
Viewed by 731
Abstract
The increased incidence of respiratory diseases in the recent past has resulted in a growing number of respiratory failures and dependence on mechanical ventilation. The death rates in patients under long-term ventilator therapy are seen to be as high as 62%, with mortality [...] Read more.
The increased incidence of respiratory diseases in the recent past has resulted in a growing number of respiratory failures and dependence on mechanical ventilation. The death rates in patients under long-term ventilator therapy are seen to be as high as 62%, with mortality often attributed to secondary bacterial infections originating in endotracheal tube (ETT) assemblies. The ETT connects the ventilator to the trachea, and the parameters selected by the clinician play important roles in determining the airflow dynamics and mucus transport. This study considers the influence of ETT cuff geometry and ventilator cycling on tracheal airflow behavior, comparing Taperguard- and Microcuff-type designs with respect to Pressure-Controlled Ventilation (PCV) and Assisted Volume-Controlled Ventilation (VCV) modes. Three-dimensional Unsteady Reynolds Averaged Navier–Stokes (URANS) simulations in an idealized intubated trachea were performed and complemented by flow visualization and flow rate measurements for model validation. The simulation results show that both the cuff geometry and ventilation mode affect flow asymmetry of air flow in the trachea and consequently the wall shear stresses and secondary flow development. Specifically, the Taperguard-style cuff under PCV conditions generated substantially elevated wall shear stress values—nearly twice those observed for the same cuff operating in VCV mode. In contrast, the Microcuff configuration paired with VCV produced lower gas flow velocities and reduced shear stress levels, reaching only about 80% of the peak values associated with the Taperguard case. These differences highlight the combined influence of cuff geometry and ventilation strategy on local airway loading. These findings highlight the coupled impact of cuff design and ventilatory mode, and provide a pathway for understanding flow physics in intubated trachea towards improved respiratory care and mechanical ventilation practices. Full article
(This article belongs to the Special Issue Respiratory Flows)
Show Figures

Figure 1

8 pages, 405 KB  
Case Report
Time-Based Capnography to Diagnose Airway Obstruction During Lung Lobectomy in a Dog
by Toshitsugu Ishihara and Li-Jen Chang
Animals 2025, 15(23), 3368; https://doi.org/10.3390/ani15233368 - 21 Nov 2025
Viewed by 651
Abstract
A 10-year-old, 7.0 kg, female spayed mixed-breed dog presented for a second opinion regarding lobectomy for a lung mass. Mechanical ventilation was initiated due to hypercapnia (ETCO2 of 61 mmHg) with PIP of 8 cmH2O. The PIP was gradually increased [...] Read more.
A 10-year-old, 7.0 kg, female spayed mixed-breed dog presented for a second opinion regarding lobectomy for a lung mass. Mechanical ventilation was initiated due to hypercapnia (ETCO2 of 61 mmHg) with PIP of 8 cmH2O. The PIP was gradually increased to 16 cmH2O. Six minutes after increasing PIP to 16 cmH2O, ETCO2 suddenly dropped to 0 mmHg and the capnography waveform was lost. The endotracheal (ET) tube connection to the ventilator circuit was intact, and no visible abnormalities were noted on the ET tube. Although the ETCO2 sampling line and water trap, and the monitor were replaced, the ETCO2 remained at 0 mmHg. Meanwhile, suspecting obstruction within the ET tube or the airway, extubation was performed. A large blood clot in the ET tube was noticed. Reintubation was performed using a new ET tube and mechanical ventilation was restarted with PIP set to 10 cmH2O. The ETCO2 showed a reading of 55 mmHg. Five minutes after reintubation, the ETCO2 waveform disappeared again. The inside of ET tube was suctioned, and a blood clot was again identified. Clinicians should be aware of these risks when performing lung lobectomy without one lung ventilation. Full article
(This article belongs to the Section Companion Animals)
Show Figures

Figure 1

16 pages, 1137 KB  
Article
To Breathe or Not to Breathe: Spontaneous Ventilation During Thoracic Surgery in High-Risk COPD Patients—A Feasibility Study
by Matyas Szarvas, Csongor Fabo, Gabor Demeter, Adam Oszlanyi, Stefan Vaida, Jozsef Furak and Zsolt Szabo
J. Clin. Med. 2025, 14(22), 8244; https://doi.org/10.3390/jcm14228244 - 20 Nov 2025
Viewed by 1027
Abstract
Background: Spontaneous ventilation with intubation (SVI) during video-assisted thoracoscopic surgery (VATS) has been introduced as a hybrid technique that combines the physiological benefits of spontaneous breathing with the safety of a secured airway. However, its application in patients with chronic obstructive pulmonary [...] Read more.
Background: Spontaneous ventilation with intubation (SVI) during video-assisted thoracoscopic surgery (VATS) has been introduced as a hybrid technique that combines the physiological benefits of spontaneous breathing with the safety of a secured airway. However, its application in patients with chronic obstructive pulmonary disease (COPD) remains controversial due to concerns about hypercapnia, hypoxemia, and dynamic hyperinflation. To date, no study has directly compared COPD and non-COPD patients undergoing VATS lobectomy under SVI using identical anesthetic and surgical protocols. Methods: A prospective observational study was conducted between January 2022 and December 2024 at a single tertiary thoracic surgery center. A total of 36 patients undergoing elective VATS lobectomy with SVI were included and divided into two groups: COPD (n = 17) and non-COPD (n = 19), based on GOLD criteria. All patients were intubated with a double-lumen tube and allowed to maintain spontaneous ventilation during one-lung ventilation (OLV) after recovery from neuromuscular blockade. Arterial blood gas (ABG) samples were collected at four predefined time points (T1–T4), and intraoperative respiratory parameters, hemodynamics, spontaneous ventilation time, and spontaneous ventilation fraction (SpVent%) were recorded. Postoperative outcomes, including ICU stay, complications, and conversion to controlled ventilation, were analyzed. Statistical comparisons were performed using t-test, Mann–Whitney U test, chi-square test, and ANCOVA with adjustment for age, sex, BMI, and FEV1%. Results: All 36 procedures were successfully completed under SVI without conversion to controlled mechanical ventilation or thoracotomy. Baseline demographics were comparable between COPD and non-COPD patients regarding age (68.4 ± 6.9 vs. 67.8 ± 7.1 years; p = 0.78) and BMI (27.1 ± 4.6 vs. 26.3 ± 4.2 kg/m2; p = 0.56), while pulmonary function was significantly lower in COPD patients (FEV1/FVC 53.8% (IQR 47.5–59.9) vs. 82.4% (78.5–85.2); p < 0.001). The duration of spontaneous ventilation was significantly longer in the COPD group (82 ± 14 min vs. 58 ± 16 min; p < 0.001), and remained significant after ANCOVA adjustment (β = +23.7 min; p = 0.001). The SpontVent% was higher in COPD patients (80% [70–90] vs. 60% [45–80]), showing a trend toward significance (p = 0.11). Intraoperative permissive hypercapnia was well tolerated: peak PaCO2 levels at T3 were higher in COPD (52 ± 6 mmHg) than in non-COPD patients (47 ± 5 mmHg; p = 0.06), without pH dropping below 7.25 in either group. No significant differences were observed in mean arterial pressure, oxygen saturation, ICU stay (1.1 ± 0.4 vs. 1.0 ± 0.5 days; p = 0.48), or postoperative complication rates (p = 0.67). All patients were extubated in the operating room. Conclusions: Intubated spontaneous ventilation during VATS lobectomy is feasible and safe in both COPD and non-COPD patients when performed by experienced teams. COPD patients, despite impaired baseline lung function, were able to maintain spontaneous breathing for significantly longer periods without developing severe hypercapnia, acidosis, or hemodynamic instability. These findings suggest that SVI may represent a lung-protective alternative to fully controlled one-lung ventilation, particularly in hypercapnia-adapted COPD patients. Further multicenter studies are warranted to validate these results and define standardized thresholds for CO2 tolerance, patient selection, and intraoperative monitoring during SVI. Full article
(This article belongs to the Special Issue Recent Advances and Challenges in Cardiothoracic Surgery)
Show Figures

Figure 1

22 pages, 9194 KB  
Article
Experimental Study on Three-Degree-of-Freedom Ventilated Cavities for Underwater Vehicles Considering the Air Mass near the Tube
by Jiazhao Wang, Dongyan Shi, Guihui Ma, Jiaxing Lu and Runtian Wang
J. Mar. Sci. Eng. 2025, 13(11), 2111; https://doi.org/10.3390/jmse13112111 - 6 Nov 2025
Viewed by 397
Abstract
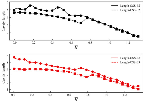
A small-scale three-degree-of-freedom decompression launch experiment method is used to study the flow characteristics in a ventilated cavity at different transverse velocities. The study subjects are three typical head-shaped underwater vehicles: hemispherical, ellipsoidal, and conical. The evolution mechanism of the ventilated shoulder cavity [...] Read more.
A small-scale three-degree-of-freedom decompression launch experiment method is used to study the flow characteristics in a ventilated cavity at different transverse velocities. The study subjects are three typical head-shaped underwater vehicles: hemispherical, ellipsoidal, and conical. The evolution mechanism of the ventilated shoulder cavity in a vehicle under transverse velocity is investigated, and the effects of transverse velocity and vehicle head shape changes on the cavity are summarized. Research results show that the hemispherical-headed vehicle’s ventilated cavity is prone to cavity pre-positioning, thereby affecting the distribution of the confronted stream surface (CSS) cavity. As the transverse velocity increases, the cavity pre-positioning point disappears, and the degree of deflection in the vehicle’s trajectory increases. The difference between the opposing stream surface (OSS) and the CSS cavities decreases as the cavities shed. The drag effect of the shedding air mass causes a change in the cavity closure angle. At high transverse velocity (vt = 0.6 m/s), the cavity difference between the OSS and CSS of the ellipsoidal vehicle is the largest, and the amount of gas shed at the cavity’s end is the smallest. The initial angle of the closure angle at the cavity end is related to the ability of the air mass near the tube (AMNT) to be drawn in by the head shape of the vehicle. Under the influence of transverse velocity, the shedding cavity deflects toward the OSS. The interaction patterns between the shoulder and tail cavities on vehicles with different head shapes primarily include three modes. Full article
(This article belongs to the Section Ocean Engineering)
Show Figures

Figure 1

39 pages, 5498 KB  
Article
Energy Performance Upgrade of Municipal and Public Buildings and Facilities
by Dimitris Al. Katsaprakakis, George M. Stavrakakis, Nikos Savvakis, Eirini Dakanali, Yiannis Yiannakoudakis, George Zidianakis, Aristotelis Tsekouras, Efi Giannopoulou and Sofia Yfanti
Energies 2025, 18(21), 5798; https://doi.org/10.3390/en18215798 - 3 Nov 2025
Viewed by 893
Abstract
This article presents the accumulated technical and scientific knowledge from energy performance upgrade work in emblematic and essential municipal and public buildings in Crete and the Greek islands, such as the Venetian historical building Loggia, which is used as the Heraklion City Hall, [...] Read more.
This article presents the accumulated technical and scientific knowledge from energy performance upgrade work in emblematic and essential municipal and public buildings in Crete and the Greek islands, such as the Venetian historical building Loggia, which is used as the Heraklion City Hall, the Natural History Museum of Crete, Pancretan Stadium, the municipal swimming pool of the municipality of Minoa Pediadas, the indoor sports hall in Leros, primary schools, high schools and a cultural center. Each one of the aforementioned buildings has a distinct use, thus covering almost all different categories of municipal or public buildings and facilities. The applied energy performance upgrade process in general terms is: (1) Mapping of the current situation, regarding the existing infrastructure and final energy consumption. (2) Formulation and sizing of the proposed passive measures and calculation of the new indoor heating and cooling loads. (3) Selection, sizing and siting of the proposed active measures and calculation of the new expecting energy sources consumption. (4) Sizing and siting of power and heat production systems from renewable energy sources (RES). Through the work accomplished and presented in this article, practically all the most technically and economically feasible passive and active measures were studied: insulation of opaque surfaces, opening overhangs, natural ventilation, replacement of openings, daylighting solar tubes, open-loop geo-exchange plants, refrigerant or water distribution networks, air-to-water heat pumps, solar thermal collectors, lighting systems, automation systems, photovoltaics etc. The main results of the research showed energy savings through passive and active systems that can exceed 70%, depending mainly on the existing energy performance of the facility. By introducing photovoltaic plants operating under the net-metering mode, energy performance upgrades up to zero-energy facilities can be achieved. The payback periods range from 12 to 45 years. The setup budgets of the presented projects range from a few hundred thousand euros to 7 million euros. Full article
(This article belongs to the Special Issue Thermal Comfort and Energy Performance in Building)
Show Figures

Figure 1

25 pages, 1473 KB  
Review
Eustachian Tube Dysfunction in Hearing Loss: Mechanistic Pathways to Targeted Interventions
by Hee-Young Kim
Biomedicines 2025, 13(11), 2686; https://doi.org/10.3390/biomedicines13112686 - 31 Oct 2025
Cited by 2 | Viewed by 3863
Abstract
Hearing loss (HL) affects more than 1.5 billion people worldwide and remains a leading cause of disability across the lifespan. While genetic predispositions, otitis media (OM), and cholesteatoma are well-recognized contributors, Eustachian tube dysfunction (ETD) is an underappreciated but pivotal determinant of auditory [...] Read more.
Hearing loss (HL) affects more than 1.5 billion people worldwide and remains a leading cause of disability across the lifespan. While genetic predispositions, otitis media (OM), and cholesteatoma are well-recognized contributors, Eustachian tube dysfunction (ETD) is an underappreciated but pivotal determinant of auditory morbidity. By impairing middle ear pressure (MEP) regulation, ETD drives conductive hearing loss (CHL) through stiffness and mass-loading effects, contributes to sensorineural hearing loss (SNHL) via altered window mechanics and vascular stress, and produces mixed hearing loss (MHL) when these pathways converge. A characteristic clinical trajectory emerges in which conductive deficits often resolve quickly with restored ventilation, whereas sensorineural impairment requires prolonged, physiology-restoring intervention, resulting in transient or persistent MHL. This review integrates mechanistic insights with clinical manifestations, diagnostic approaches, and therapeutic options. Diagnostic frameworks that combine patient-reported outcomes with objective biomarkers such as wideband absorbance, tympanometry, and advanced imaging enable reproducible identification of ETD-related morbidity. Conventional treatments, including tympanostomy tubes and balloon dilation, offer short-term benefit but rarely normalize tubal physiology. In contrast, Eustachian tube catheterization (ETC) has emerged as a promising, mechanism-based intervention capable of reestablishing dynamic tubal opening and MEP regulation. Looking forward, integration of physiology-based frameworks with personalized diagnostics and advanced tools such as artificial intelligence (AI) may help prevent progression from reversible conductive deficits to irreversible SNHL or MHL. Full article
(This article belongs to the Special Issue Hearing Loss: Mechanisms and Targeted Interventions)
Show Figures

Figure 1

Back to TopTop