Sign in to use this feature.

Years

Between: -

Subjects

remove_circle_outline
remove_circle_outline
remove_circle_outline
remove_circle_outline
remove_circle_outline
remove_circle_outline
remove_circle_outline

Journals

Article Types

Countries / Regions

Search Results (40)

Search Parameters:
Keywords = urinary bisphenol A concentrations

Order results
Result details
Results per page
Select all
Export citation of selected articles as:
14 pages, 336 KB  
Article
Testing the Development of a Diet-Based Bisphenol a Score to Facilitate Studies on Child Neurodevelopment: A Pilot Project
by Marisa A. Patti, Apollo Kivumbi, Juliette Rando, Ashley Song, Lisa A. Croen, Rebecca J. Schmidt, Heather E. Volk and Kristen Lyall
Int. J. Environ. Res. Public Health 2025, 22(8), 1174; https://doi.org/10.3390/ijerph22081174 - 25 Jul 2025
Viewed by 1225
Abstract
While gestational Bisphenol A (BPA) exposure has been associated with autism, limited work has focused on dietary sources. Here, we sought to develop a summary metric to capture dietary exposure specifically and test its associations with measured levels, as well as child traits [...] Read more.
While gestational Bisphenol A (BPA) exposure has been associated with autism, limited work has focused on dietary sources. Here, we sought to develop a summary metric to capture dietary exposure specifically and test its associations with measured levels, as well as child traits related to autism. Participants (n = 116) were from the Early Autism Risk Longitudinal Investigation (EARLI) Study, which recruited pregnant women who previously had a child diagnosed with autism. Maternal concentrations of BPA were quantified in urine, and dietary sources of BPA were ascertained via food frequency questionnaires during gestation. A novel BPA “dietary burden score” was developed based on reported intake of foods known to contribute to BPA exposure (i.e., canned foods) from a Dietary History Questionnaire modified for pregnancy. Child autism-related traits were assessed via the Social Responsiveness Scale (SRS-2). We examined associations between BPA biomarkers, dietary burden scores, and child SRS scores. Dietary burden scores were weakly correlated with urinary BPA concentrations (R = 0.19, p = 0.05) but were not associated with child SRS scores. Our work suggests that more detailed dietary assessments may be needed to fully capture diet-based BPA exposures and address diet as a modifiable source of chemical exposure to reduce associated health impacts of BPA. Full article
13 pages, 645 KB  
Article
Assessment of Occupational Exposure to Airborne Phenol and Biological Monitoring of Accumulation Trends
by Gyu-Jin Sim, Sun-Haeng Choi and Ki-Youn Kim
Healthcare 2025, 13(13), 1516; https://doi.org/10.3390/healthcare13131516 - 25 Jun 2025
Viewed by 866
Abstract
Introduction: This study investigates the relationship between occupational exposure to airborne phenol and its biological accumulation in chemical plant workers, with a particular focus on urinary phenol levels. It also explores the influence of job roles, employment duration, protective equipment use, and personal [...] Read more.
Introduction: This study investigates the relationship between occupational exposure to airborne phenol and its biological accumulation in chemical plant workers, with a particular focus on urinary phenol levels. It also explores the influence of job roles, employment duration, protective equipment use, and personal lifestyle habits on internal exposure. Methods: A cohort of bisphenol A (BPA) manufacturing workers was classified based on job tasks and exposure characteristics. Airborne phenol concentrations were measured using standard occupational hygiene methods, and urinary phenol levels were analyzed before and after work shifts. Statistical analyses examined associations between phenol exposure and occupational and behavioral variables. Results: Urinary phenol levels significantly increased after work shifts, particularly among workers involved in cleaning tasks. A strong correlation was observed between airborne phenol concentrations and urinary levels, indicating that even low-level environmental exposure can result in measurable biological accumulation. Notably, workers who did not use personal protective equipment or who reported smoking showed higher internal phenol burdens. Conclusions: This study highlights the importance of integrating biological monitoring with conventional exposure assessments in phenol-handling workplaces. Effective exposure control should include improved ventilation, strict compliance with personal protective equipment use, and health education programs that address modifiable lifestyle factors such as smoking. These findings underscore the need for comprehensive strategies to reduce occupational health risks associated with phenol exposure. Full article
Show Figures

Figure 1

27 pages, 1017 KB  
Article
Bisphenol A in the Urine: Association with Urinary Creatinine, Impaired Kidney Function, Use of Plastic Food and Beverage Storage Products but Not with Serum Anti-Müllerian Hormone in Ovarian Malignancies
by Mateja Sladič, Špela Smrkolj, Gorazd Kavšek, Senka Imamovic-Kumalic, Ivan Verdenik and Irma Virant-Klun
Int. J. Mol. Sci. 2025, 26(10), 4811; https://doi.org/10.3390/ijms26104811 - 17 May 2025
Cited by 1 | Viewed by 1572
Abstract
Bisphenol A (BPA) is a high-production-volume industrial chemical and component of commonly used plastic products. However, it is also an endocrine-disrupting chemical that can negatively affect human health. It is not yet known whether it is associated with the development of epithelial ovarian [...] Read more.
Bisphenol A (BPA) is a high-production-volume industrial chemical and component of commonly used plastic products. However, it is also an endocrine-disrupting chemical that can negatively affect human health. It is not yet known whether it is associated with the development of epithelial ovarian cancer (EOC), a severe and highly fatal human disease. Therefore, the purpose of this study was to determine the concentrations of BPA in the urine of women with EOC or epithelial borderline ovarian tumors (EBOTs) using gas chromatography tandem mass spectrometry (GC-MS/MS) and find their possible associations with kidney function at the molecular level, urine and blood biochemical parameters related to metabolism, anti-Müllerian hormone (AMH) (a marker of ovarian reserve/fertility), and lifestyle habits determined via a questionnaire in comparison to healthy controls. The results suggest that the unadjusted or urine-specific-gravity-adjusted BPA levels were significantly increased in women with EOC/EBOT. The unadjusted BPA was significantly positively associated with urinary creatinine (p = 0.007) in all women with EOC/EBOT after adjustment for age, body mass index, and pregnancy using multiple linear regression analysis. This may be related to kidney injury. However, no association was found between urinary BPA and serum AMH levels in women. Women with ovarian malignancies were more exposed to plastic products for storing foods and drinks. Some lifestyle habits, including refilling plastic bottles, correlate with higher urinary BPA levels across the entire cohort of women. When considering EOC or EBOT, it is necessary to consider the potential higher exposure of women to BPA, as reflected in their urine and lifestyle habits. Full article
(This article belongs to the Special Issue Novel Insights into Reproductive Toxicology)
Show Figures

Figure 1

12 pages, 2090 KB  
Article
Analysis of Thiodiphenol in Rat Urine as a Biomarker of Exposure to Temephos
by Miao-Ling Shih, Ma. de Lourdes López-González, Marisela Uribe-Ramírez, Aurora Elizabeth Rojas-García, Francisco Alberto Verdín-Betancourt and Adolfo Sierra-Santoyo
J. Xenobiot. 2024, 14(4), 1889-1900; https://doi.org/10.3390/jox14040100 - 4 Dec 2024
Viewed by 1785
Abstract
Temephos is an organophosphorus pesticide widely used as a larvicide in public health campaigns to control vector-borne diseases. Data on the urinary elimination of temephos metabolites are limited, and there is no validated biomarker of exposure for its evaluation. This study aimed to [...] Read more.
Temephos is an organophosphorus pesticide widely used as a larvicide in public health campaigns to control vector-borne diseases. Data on the urinary elimination of temephos metabolites are limited, and there is no validated biomarker of exposure for its evaluation. This study aimed to determine the urinary excretion kinetics of temephos and its metabolites in adult male rats. Hence, adult male Wistar rats were administered orally with a single dose of temephos (300 mg/kg). Urine samples were collected at different time intervals after dosing and enzymatically hydrolyzed using β-glucuronidase/sulfatase from H. pomatia. The metabolites were extracted and analyzed by HPLC-DAD. The metabolites detected were 4,4′-thiodiphenol (TDP), 4,4′-sulfinyldiphenol (SIDP), 4,4′-sulfonyldiphenol (SODP), or bisphenol S (BPS), a non-identified metabolite, and only traces of the parent compound. The mean urine concentrations of metabolites were used for kinetic analysis. Urinary levels of TDP were fitted to a two-compartmental model, and its half-lives (t1/2 Elim-U) were 27.8 and 272.1 h for the first and second phases, respectively. The t1/2 Elim-U of BPS was 17.7 h. TDP, the main metabolite of temephos, was eliminated by urine and is specific and stable. Therefore, it may be used as a biomarker of temephos exposure. Full article
Show Figures

Figure 1

16 pages, 805 KB  
Article
Distinct Impacts of Prenatal and Postnatal Phthalate Exposure on Behavioral and Emotional Development in Children Aged 1.5 to 3 Years
by Yi-Siang Huang, Pi-Lien Hung, Liang-Jen Wang, Chih-Min Tsai, Chang-Ku Tsai, Mao-Meng Tiao and Hong-Ren Yu
Toxics 2024, 12(11), 795; https://doi.org/10.3390/toxics12110795 - 31 Oct 2024
Cited by 1 | Viewed by 3099
Abstract
Development is a continuous process, but few studies have assessed the simultaneous impact of prenatal and postnatal phthalate exposure on children’s behavioral and emotional development. A total of 491 mother–child pairs from the general population in southern Taiwan were studied from 2021 to [...] Read more.
Development is a continuous process, but few studies have assessed the simultaneous impact of prenatal and postnatal phthalate exposure on children’s behavioral and emotional development. A total of 491 mother–child pairs from the general population in southern Taiwan were studied from 2021 to 2022. Urinary concentrations of bisphenol A (BPA) and phthalate metabolites—mono-ethyl phthalate (MEP), mono-n-butyl phthalate (MnBP), mono-benzyl phthalate (MBzP), and mono-2-ethylhexyl phthalate (MEHP)—were measured in pregnant mothers during the second trimester and in their corresponding children aged 1.5 to 3 years. Behavioral symptoms in children were evaluated using the Child Behavior Checklist (CBCL). Odds ratios (ORs) represent a 1-unit increase in log10-transformed creatinine-corrected maternal urine concentrations. Prenatal maternal urinary MnBP levels were associated with total problems (OR = 19.32, 95% CI: 1.80–43.13, p = 0.04), anxiety (OR = 33.58, 95% CI: 2.16–521.18, p = 0.01), and sleep problems (OR = 41.34, 95% CI: 1.04–1632.84, p = 0.04) in children. Additionally, urinary MnBP levels in children correlated with total problems (OR = 7.06, 95% CI: 1.01–49.05, p = 0.04) and internalizing problems (OR = 11.04, 95% CI: 1.27–95.72, p = 0.01). These findings suggest that prenatal and postnatal exposure to dibutyl phthalate (DBP), metabolized as MnBP, distinctly affects children’s behavioral development. Full article
Show Figures

Graphical abstract

14 pages, 2589 KB  
Article
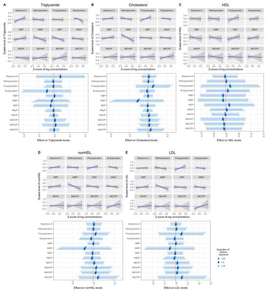
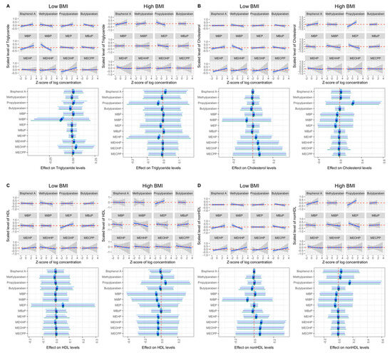
Mixtures of Urinary Phenol and Phthalate Metabolite Concentrations in Relation to Serum Lipid Levels among Pregnant Women: Results from the EARTH Study
by Xilin Shen, Maximilien Génard-Walton, Paige L. Williams, Tamarra James-Todd, Jennifer B. Ford, Kathryn M. Rexrode, Antonia M. Calafat, Dan Zhang, Jorge E. Chavarro, Russ Hauser, Lidia Mínguez-Alarcón and the EARTH Study Team
Toxics 2024, 12(8), 574; https://doi.org/10.3390/toxics12080574 - 7 Aug 2024
Viewed by 1807
Abstract
We examined whether mixtures of urinary concentrations of bisphenol A (BPA), parabens and phthalate metabolites were associated with serum lipid levels among 175 pregnant women who enrolled in the Environment and Reproductive Health (EARTH) Study (2005–2017), including triglycerides, total cholesterol, high-density lipoprotein (HDL), [...] Read more.
We examined whether mixtures of urinary concentrations of bisphenol A (BPA), parabens and phthalate metabolites were associated with serum lipid levels among 175 pregnant women who enrolled in the Environment and Reproductive Health (EARTH) Study (2005–2017), including triglycerides, total cholesterol, high-density lipoprotein (HDL), non-HDL, and low-density lipoprotein (LDL). We applied Bayesian Kernel Machine Regression (BKMR) and quantile g-computation while adjusting for confounders. In the BKMR models, we found no associations between chemical mixture and lipid levels, e.g., total cholesterol [mean difference (95% CRI, credible interval) = 0.02 (−0.31, 0.34)] and LDL [mean difference (95% CRI) = 0.10 (−0.22, 0.43)], when comparing concentrations at the 75th to the 25th percentile. When stratified by BMI, we found suggestive positive relationships between urinary propylparaben and total cholesterol and LDL among women with high BMI [mean difference (95% CRI) = 0.25 (−0.26, 0.75) and 0.35 (−0.25, 0.95)], but not with low BMI [mean difference (95% CRI) = 0.00 (−0.06, 0.07) and 0.00 (−0.07, 0.07)]. No association was found by quantile g-computation. This exploratory study suggests mixtures of phenol and phthalate metabolites were not associated with serum lipid levels during pregnancy, while there were some suggestive associations for certain BMI subgroups. Larger longitudinal studies with multiple assessments of both exposure and outcome are needed to corroborate these novel findings. Full article
(This article belongs to the Section Reproductive and Developmental Toxicity)
Show Figures

Figure 1

15 pages, 627 KB  
Article
Evaluation of Exposure to Bisphenol Analogs through Canned and Ready-to-Eat Meal Consumption and Their Possible Effects on Blood Pressure and Heart Rate
by Merve Ekici, Nihan Çakır Biçer, Anıl Yirün, Göksun Demirel and Pınar Erkekoğlu
Nutrients 2024, 16(14), 2275; https://doi.org/10.3390/nu16142275 - 15 Jul 2024
Cited by 5 | Viewed by 5292
Abstract
Bisphenols are endocrine-disrupting chemicals used in plastics and resins for food packaging. This study aimed to evaluate the exposure to bisphenol A (BPA), bisphenol S (BPS), and bisphenol F (BPF) associated with the consumption of fresh, canned, and ready-to-eat meals and determine the [...] Read more.
Bisphenols are endocrine-disrupting chemicals used in plastics and resins for food packaging. This study aimed to evaluate the exposure to bisphenol A (BPA), bisphenol S (BPS), and bisphenol F (BPF) associated with the consumption of fresh, canned, and ready-to-eat meals and determine the effects of bisphenols on blood pressure and heart rate. Forty-eight healthy young adults were recruited for this study, and they were divided into the following three groups: fresh, canned, and ready-to-eat meal groups. Urine samples were collected 2, 4, and 6 h after meal consumption, and blood pressure and heart rate were measured. The consumption of ready-to-eat meals significantly increased urine BPA concentrations compared with canned and fresh meal consumption. No significant difference in BPS and BPF concentrations was observed between the groups. The consumption of ready-to-eat meals was associated with a significant increase in systolic blood pressure and pulse pressure and a marked decrease in diastolic blood pressure and heart rate. No significant differences were noted in blood pressure and heart rate with canned and fresh meal consumption. It can be concluded that total BPA concentration in consumed ready-to-eat meals is high. High BPA intake causes increase in urinary BPA concentrations, which may, in turn, lead to changes in some cardiovascular parameters. Full article
(This article belongs to the Special Issue Does Diet Still Have an Important Role in Treating Hypertension?)
Show Figures

Graphical abstract

17 pages, 1820 KB  
Review
Bisphenol A Exposure Interferes with Reproductive Hormones and Decreases Sperm Counts: A Systematic Review and Meta-Analysis of Epidemiological Studies
by Lei Lü, Yuan Liu, Yuhong Yang, Jinxing He, Lulu Luo, Shanbin Chen and Hanzhu Xing
Toxics 2024, 12(4), 294; https://doi.org/10.3390/toxics12040294 - 17 Apr 2024
Cited by 12 | Viewed by 9162
Abstract
Bisphenol A (BPA), an acknowledged endocrine disrupter, is easily exposed to humans via food packaging and container. However, a consensus has not been reached on the extent to which BPA exposure affects the reproductive system. We therefore conducted this systematic review and meta-analysis [...] Read more.
Bisphenol A (BPA), an acknowledged endocrine disrupter, is easily exposed to humans via food packaging and container. However, a consensus has not been reached on the extent to which BPA exposure affects the reproductive system. We therefore conducted this systematic review and meta-analysis to elucidate the relationship between BPA exposure and male reproduction-related indicators. Up to October 2023, a comprehensive search was carried out in the PubMed, Embase, Cochrane and Web of Science, and 18 studies were ultimately included. β coefficients from multivariate linear regression analyses were pooled using a random effects model. The results showed that the urinary BPA concentration was negatively correlated with the sperm concentration (β coefficient = −0.03; 95% CI: −0.06 to −0.01; I2 = 0.0%, p = 0.003) and total sperm count (β coefficient = −0.05; 95% CI: −0.08 to −0.02; I2 = 0.0%, p < 0.001). In addition, BPA concentrations were associated with increased sex hormone-binding globulin (SHBG) levels, increased estradiol (E2) levels, and reduced biologically active androgen levels. However, the relationship between an increased risk of below-reference sperm quality and BPA exposure was not robust. This systematic review revealed that BPA exposure disrupts reproductive hormones, reduces sperm counts and may ultimately adversely affect male reproduction. Full article
(This article belongs to the Section Human Toxicology and Epidemiology)
Show Figures

Figure 1

15 pages, 1549 KB  
Article
Maternal Exposure to Endocrine-Disrupting Chemicals: Analysis of Their Impact on Infant Gut Microbiota Composition
by Mirco Vacca, Francesco Maria Calabrese, Federica Loperfido, Beatrice Maccarini, Rosa Maria Cerbo, Eduardo Sommella, Emanuela Salviati, Luana Voto, Maria De Angelis, Gabriele Ceccarelli, Ilaria Di Napoli, Benedetta Raspini, Debora Porri, Elisa Civardi, Francesca Garofoli, Pietro Campiglia, Hellas Cena and Rachele De Giuseppe
Biomedicines 2024, 12(1), 234; https://doi.org/10.3390/biomedicines12010234 - 19 Jan 2024
Cited by 9 | Viewed by 4619
Abstract
Endocrine disruptors (EDCs) are chemicals that interfere with the endocrine system. EDC exposure may contribute to the development of obesity, type 2 diabetes, and cardiovascular diseases by impacting the composition of an infant’s gut microbiota during the first 1000 days of life. To [...] Read more.
Endocrine disruptors (EDCs) are chemicals that interfere with the endocrine system. EDC exposure may contribute to the development of obesity, type 2 diabetes, and cardiovascular diseases by impacting the composition of an infant’s gut microbiota during the first 1000 days of life. To explore the relationship between maternal urinary levels of Bisphenol-A and phthalates (UHPLC-MS/MS), and the composition of the infant gut microbiota (16S rDNA) at age 12 months (T3) and, retrospectively, at birth (T0), 1 month (T1), and 6 months (T2), stool samples from 20 infants breastfed at least once a day were analyzed. Metataxonomic bacteria relative abundances were correlated with EDC values. Based on median Bisphenol-A levels, infants were assigned to the over-exposed group (O, n = 8) and the low-exposed group (B, n = 12). The B-group exhibited higher gut colonization of the Ruminococcus torques group genus and the O-group showed higher abundances of Erysipelatoclostridium and Bifidobacterium breve. Additionally, infants were stratified as high-risk (HR, n = 12) or low-risk (LR, n = 8) exposure to phthalates, based on the presence of at least three phthalates with concentrations exceeding the cohort median values; no differences were observed in gut microbiota composition. A retrospective analysis of gut microbiota (T0–T2) revealed a disparity in β-diversity between the O-group and the B-group. Considering T0–T3, the Linear Discriminant Effect Size indicated differences in certain microbes between the O-group vs. the B-group and the HR-group vs. the LR-group. Our findings support the potential role of microbial communities as biomarkers for high EDC exposure levels. Nevertheless, further investigations are required to deeply investigate this issue. Full article
Show Figures

Graphical abstract

11 pages, 302 KB  
Article
Exposure to Bisphenol A and Its Analogs among Thai School-Age Children
by Nattakarn Numsriskulrat, Thanawan Teeranathada, Chansuda Bongsebandhu-Phubhakdi, Suphab Aroonparkmongkol, Kyungho Choi and Vichit Supornsilchai
Toxics 2023, 11(9), 761; https://doi.org/10.3390/toxics11090761 - 8 Sep 2023
Cited by 6 | Viewed by 2146
Abstract
Bisphenol F (BPF) and bisphenol S (BPS) have become popular substitutes for bisphenol A (BPA) in the plastic industry due to concerns over BPA’s adverse effects. However, there is limited information on children’s exposure to these chemicals. This study aims to assess the [...] Read more.
Bisphenol F (BPF) and bisphenol S (BPS) have become popular substitutes for bisphenol A (BPA) in the plastic industry due to concerns over BPA’s adverse effects. However, there is limited information on children’s exposure to these chemicals. This study aims to assess the extent of BPA, BPF, and BPS exposure and determine factors that influence such exposure. A group of Thai children (age 6–13 years, N = 358) were recruited between October 2019 and 2020. Two first-morning voids were collected one week apart. Demographic and exposure-related information was gathered. Urinary concentrations of bisphenols were analyzed by liquid chromatography and tandem mass spectrometry. Correlation between bisphenol concentrations with age, body weight, and sources of bisphenol exposure, was determined using generalized estimating equations with linear model. BPA, BPF, and BPS were detected at 79.6%, 31.0%, and 16.8%, with geometric mean (GM) concentrations of 1.41, 0.013, and 0.014 ng/mL, respectively. Younger children aged <10 years exhibited 1.3–1.6 times higher GM levels of all bisphenols compared to older children. Exposure to food stored in plastic containers was associated with higher levels of BPF and BPS. In conclusion, BPA was the most frequently detected bisphenol in urine samples from Thai children, followed by BPF and BPS. Full article
(This article belongs to the Section Exposome Analysis and Risk Assessment)
11 pages, 932 KB  
Article
The Joint Effects of Bisphenols and Iodine Exposure on Thyroid during Pregnancy
by Wei Lu, Zhuo Sun, Zhengyuan Wang, Mengying Qu, Zehuan Shi, Qi Song, Liping Shen, Shupeng Mai, Yuan Wang, Xinyu Hong and Jiajie Zang
Nutrients 2023, 15(15), 3422; https://doi.org/10.3390/nu15153422 - 2 Aug 2023
Cited by 8 | Viewed by 2305
Abstract
The aim of this research was to study the combined effects of bisphenols and iodine exposure on the thyroid gland during pregnancy. We included 162 pregnant women from a cohort established in Shanghai. Urinary concentrations of bisphenol A, bisphenol B(BPB), bisphenol C(BPC), bisphenol [...] Read more.
The aim of this research was to study the combined effects of bisphenols and iodine exposure on the thyroid gland during pregnancy. We included 162 pregnant women from a cohort established in Shanghai. Urinary concentrations of bisphenol A, bisphenol B(BPB), bisphenol C(BPC), bisphenol F, bisphenol S, and bisphenol AF(BPAF) were examined. Bayesian kernel machine regression (BKMR) and quantile g-computation models were used. The geometric means of BPA, BPB, BPC, BPF, BPS, BPAF, and ΣBPs levels in urine were 3.03, 0.24, 2.66, 0.36, 0.26, 0.72, and 7.55 μg/g creatinine, respectively. We observed a positive trend in the cumulative effects of BPs and iodine on serum triiodothyronine (FT3) and free thyroxine (FT4), as well as a U-shaped dose–response relationship between BPs and the probability of occurrence of thyroperoxidase autoantibody positivity in women with low urinary iodine concentration. In addition, a synergistic effect on the probability of occurrence of thyroid autoantibody positivity was observed between BPF and BPB, as well as between BPC and BPAF in this study. There were adverse health effects on the thyroid after co-exposure to BPs and iodine. Even if pregnant women were exposed to lower levels of BPs, women with iodine deficiency remained vulnerable to thyroid autoimmune disease. Full article
(This article belongs to the Special Issue Micronutrient Intake during Pregnancy)
Show Figures

Figure 1

13 pages, 831 KB  
Article
Associations of Maternal Urinary Concentrations of Phenols, Individually and as a Mixture, with Serum Biomarkers of Thyroid Function and Autoimmunity: Results from the EARTH Study
by Glen McGee, Maximilien Génard-Walton, Paige L. Williams, T. I. M. Korevaar, Jorge E. Chavarro, John D. Meeker, Joseph M. Braun, Maarten A. Broeren, Jennifer B. Ford, Antonia M. Calafat, Irene Souter, Russ Hauser and Lidia Mínguez-Alarcón
Toxics 2023, 11(6), 521; https://doi.org/10.3390/toxics11060521 - 9 Jun 2023
Cited by 6 | Viewed by 3619
Abstract
The associations between urinary phenol concentrations and markers of thyroid function and autoimmunity among potentially susceptible subgroups, such as subfertile women, have been understudied, especially when considering chemical mixtures. We evaluated cross-sectional associations of urinary phenol concentrations, individually and as a mixture, with [...] Read more.
The associations between urinary phenol concentrations and markers of thyroid function and autoimmunity among potentially susceptible subgroups, such as subfertile women, have been understudied, especially when considering chemical mixtures. We evaluated cross-sectional associations of urinary phenol concentrations, individually and as a mixture, with serum markers of thyroid function and autoimmunity. We included 339 women attending a fertility center who provided one spot urine and one blood sample at enrollment (2009–2015). We quantified four phenols in urine using isotope dilution high-performance liquid chromatography–tandem mass spectrometry, and biomarkers of thyroid function (thyroid-stimulating hormone (TSH), free and total thyroxine (fT4, TT4), and triiodothyronine (fT3, TT3)), and autoimmunity (thyroid peroxidase (TPO) and thyroglobulin (Tg) antibodies (Ab)) in serum using electrochemoluminescence assays. We fit linear and additive models to investigate the association between urinary phenols—both individually and as a mixture—and serum thyroid function and autoimmunity, adjusted for confounders. As a sensitivity analysis, we also applied Bayesian Kernel Machine Regression (BKMR) to investigate non-linear and non-additive interactions. Urinary bisphenol A was associated with thyroid function, in particular, fT3 (mean difference for a 1 log unit increase in concentration: −0.088; 95% CI [−0.151, −0.025]) and TT3 (−0.066; 95% CI [−0.112, −0.020]). Urinary methylparaben and triclosan were also associated with several thyroid hormones. The overall mixture was negatively associated with serum fT3 concentrations (mean difference comparing all four mixture components at their 75th vs. 25th percentiles: −0.19, 95% CI [−0.35, −0.03]). We found no evidence of non-linearity or interactions. These results add to the current literature on phenol exposures and thyroid function in women, suggesting that some phenols may alter the thyroid system. Full article
Show Figures

Figure 1

14 pages, 700 KB  
Article
A Case–Control Study on the Effects of Plasticizers Exposure on Male Fertility
by Lidia Caporossi, Paola Viganò, Enrico Paci, Silvia Capanna, Alessandra Alteri, Daniela Pigini, Giovanna Tranfo and Bruno Papaleo
Int. J. Environ. Res. Public Health 2023, 20(1), 235; https://doi.org/10.3390/ijerph20010235 - 23 Dec 2022
Cited by 8 | Viewed by 4467
Abstract
Male infertility is a serious concern for public health, and the possible role of exposure to plasticizers such as phthalates and bisphenol A in contributing to the condition is widely debated. We have herein enrolled 155 infertility cases attending an infertility center and [...] Read more.
Male infertility is a serious concern for public health, and the possible role of exposure to plasticizers such as phthalates and bisphenol A in contributing to the condition is widely debated. We have herein enrolled 155 infertility cases attending an infertility center and 211 controls (fathers of a spontaneously conceived newborn) to investigate this issue. The urinary levels of seven phthalates and BPA were analyzed through HPLC/MS/MS. All data were statistically elaborated considering information about clinical situation, life habits, occupational activity, and, for cases, semen parameters (volume, sperm concentration, total count of spermatozoa, and sperm motility). Results showed significantly higher urinary concentrations for all the phthalates in cases compared to controls, except for monoethylphthalate and BPA. In total, 90.07% of cases had sperm motility lower than the WHO reference value (2010), while 53.69%, 46.31%, and 16.56% had sperm total number, concentration, and volume, respectively, out of the reference range. Regarding the possible source of exposure, the use of scents seems to be a significant source of DEP (diethylphthalate). When considering occupational settings, industrial workers, dental technicians, artisans, and farmers using chemicals showed higher risk (OR = 2.766, 95% CI 1.236–6.185), particularly in relation to DnBP (di-n-butyl phthalate) and DEHP (di-ethyl-hexyl phthalate) exposure. No clear quantitative correlation between specific plasticizers and sperm parameters could be demonstrated but these findings call for future studies about the risks associated with exposure to their mixture. Full article
(This article belongs to the Special Issue Feature Papers in Environmental Exposure and Toxicology)
Show Figures

Figure 1

15 pages, 496 KB  
Article
Exposure to Endocrine Disruptors (Di(2-Ethylhexyl)phthalate (DEHP) and Bisphenol A (BPA)) in Women from Different Residing Areas in Italy: Data from the LIFE PERSUADED Project
by Fabrizia Carli, Sabrina Tait, Luca Busani, Demetrio Ciociaro, Veronica Della Latta, Anna Paola Pala, Annalisa Deodati, Andrea Raffaelli, Filippo Pratesi, Raffaele Conte, Francesca Maranghi, Roberta Tassinari, Enrica Fabbrizi, Giacomo Toffol, Stefano Cianfarani, Cinzia La Rocca, Amalia Gastaldelli and LIFE PERSUADED Project Group
Int. J. Mol. Sci. 2022, 23(24), 16012; https://doi.org/10.3390/ijms232416012 - 16 Dec 2022
Cited by 14 | Viewed by 2955
Abstract
Phthalates and bisphenol A (BPA) are plasticizers used in many industrial products that can act as endocrine disruptors and lead to metabolic diseases. During the LIFE PERSUADED project, we measured the urinary concentrations of BPA and Di(2-ethylhexyl)phthalate (DEHP) metabolites in 900 Italian women [...] Read more.
Phthalates and bisphenol A (BPA) are plasticizers used in many industrial products that can act as endocrine disruptors and lead to metabolic diseases. During the LIFE PERSUADED project, we measured the urinary concentrations of BPA and Di(2-ethylhexyl)phthalate (DEHP) metabolites in 900 Italian women representative of the Italian female adult population (living in the north, centre, and south of Italy in both rural and urban areas). The whole cohort was exposed to DEHP and BPA with measurable levels above limit of detection in more than 99% and 95% of the samples, respectively. The exposure patterns differed for the two chemicals in the three macro-areas with the highest urinary levels for DEHP in south compared to central and northern Italy and for BPA in northern compared to central and southern Italy. BPA levels were higher in women living in urban areas, whereas no difference between areas was observed for DEHP. The estimated daily intake of BPA was 0.11 μg/kg per day, about 36-fold below the current temporary tolerable daily intake of 4 μg/kg per day established by the EFSA in 2015. The analysis of cumulative exposure showed a positive correlation between DEHP and BPA. Further, the reduction of exposure to DEHP and BPA, through specific legislative measures, is necessary to limit the harmfulness of these substances. Full article
(This article belongs to the Special Issue Environmental Toxicant Exposures and Metabolic Disease)
Show Figures

Graphical abstract

15 pages, 713 KB  
Review
Exposure to Bisphenol A Substitutes, Bisphenol S and Bisphenol F, and Its Association with Developing Obesity and Diabetes Mellitus: A Narrative Review
by Hend F. Alharbi, Raya Algonaiman, Rana Alduwayghiri, Thamer Aljutaily, Reham M. Algheshairy, Abdulkarim S. Almutairi, Razan M. Alharbi, Leena A. Alfurayh, Amjad A. Alshahwan, Amjad F. Alsadun and Hassan Barakat
Int. J. Environ. Res. Public Health 2022, 19(23), 15918; https://doi.org/10.3390/ijerph192315918 - 29 Nov 2022
Cited by 48 | Viewed by 5719
Abstract
Bisphenol A, a well-known endocrine-disrupting chemical, has been replaced with its analogs bisphenol S (BPS) and bisphenol F (BPF) over the last decade due to health concerns. BPS and BPF are present in relatively high concentrations in different products, such as food products, [...] Read more.
Bisphenol A, a well-known endocrine-disrupting chemical, has been replaced with its analogs bisphenol S (BPS) and bisphenol F (BPF) over the last decade due to health concerns. BPS and BPF are present in relatively high concentrations in different products, such as food products, personal care products, and sales receipts. Both BPS and BPF have similar structural and chemical properties to BPA; therefore, considerable scientific efforts have investigated the safety of their exposure. In this review, we summarize the findings of relevant epidemiological studies investigating the association between urinary concentrations of BPS and/or BPF with the incidence of obesity or diabetes. The results showed that BPS and BPF were detected in many urinary samples at median concentrations ranging from 0.03 to 0.4 µg·L−1. At this exposure level, BPS median urinary concentrations (0.4 µg·L−1) were associated with the development of obesity. At a lower exposure level (0.1–0.03 µg·L−1), two studies showed an association with developing diabetes. For BPF exposure, only one study showed an association with obesity. However, most of the reported studies only assessed BPS exposure levels. Furthermore, we also summarize the findings of experimental studies in vivo and in vitro regarding our aim; results support the possible obesogenic effects/metabolic disorders mediated by BPS and/or BPF exposure. Unexpectedly, BPS may promote worse obesogenic effects than BPA. In addition, the possible mode of action underlying the obesogenic effects of BPS might be attributed to various pathophysiological mechanisms, including estrogenic or androgenic activities, alterations in the gene expression of critical adipogenesis-related markers, and induction of oxidative stress and an inflammatory state. Furthermore, susceptibility to the adverse effects of BPS may be altered by sex differences according to the results of both epidemiological and experimental studies. However, the possible mode of action underlying these sex differences is still unclear. In conclusion, exposure to BPS or BPF may promote the development of obesity and diabetes. Future approaches are highly needed to assess the safety of BPS and BPF regarding their potential effects in promoting metabolic disturbances. Other studies in different populations and settings are highly suggested. Full article
(This article belongs to the Special Issue Biological and Psychological Aspects of Diabetes and Obesity)
Show Figures

Figure 1

Back to TopTop