Mixtures of Urinary Phenol and Phthalate Metabolite Concentrations in Relation to Serum Lipid Levels among Pregnant Women: Results from the EARTH Study
Abstract
1. Introduction
2. Materials and Methods
2.1. Study Population
2.2. Exposure Assessment
2.3. Outcome Assessment
2.4. Statistical Analysis
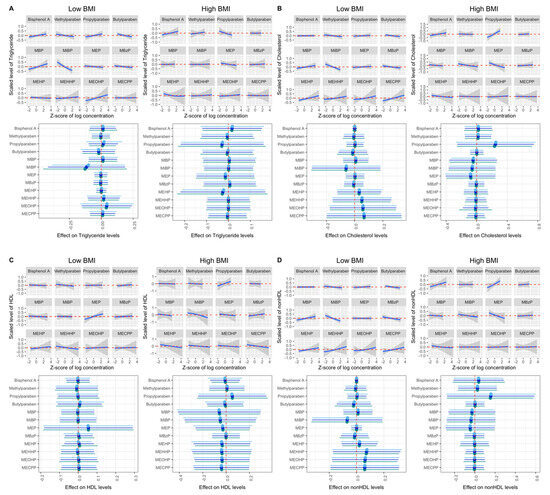
3. Results
4. Discussion
5. Conclusions
Supplementary Materials
Author Contributions
Funding
Institutional Review Board Statement
Informed Consent Statement
Data Availability Statement
Acknowledgments
Conflicts of Interest
References
- Gore, A.C.; Chappell, V.A.; Fenton, S.E.; Flaws, J.A.; Nadal, A.; Prins, G.S.; Toppari, J.; Zoeller, R.T. EDC-2: The Endocrine Society’s Second Scientific Statement on Endocrine-Disrupting Chemicals. Endocr. Rev. 2015, 36, E1–E150. [Google Scholar] [CrossRef] [PubMed]
- Braun, J.M.; Just, A.C.; Williams, P.L.; Smith, K.W.; Calafat, A.M.; Hauser, R. Personal Care Product Use and Urinary Phthalate Metabolite and Paraben Concentrations during Pregnancy among Women from a Fertility Clinic. J. Expo. Sci. Environ. Epidemiol. 2014, 24, 459–466. [Google Scholar] [CrossRef]
- Hauser, R.; Calafat, A. Phthalates and Human Health. Occup. Environ. Med. 2005, 62, 806–818. [Google Scholar] [CrossRef] [PubMed]
- Mínguez-Alarcón, L.; Hauser, R.; Gaskins, A.J. Effects of Bisphenol A on Male and Couple Reproductive Health: A Review. Fertil. Steril. 2016, 106, 864–870. [Google Scholar] [CrossRef]
- Andersen, F.A. Final Amended Report on the Safety Assessment of Methylparaben, Ethylparaben, Propylparaben, Isopropylparaben, Butylparaben, Isobutylparaben, and Benzylparaben as Used in Cosmetic Products. Int. J. Toxicol. 2008, 27, 1–82. [Google Scholar] [CrossRef]
- CDC Centers for Disease Control and Prevention. National Report on Human Exposure to Environmental Chemicals, Updated Tables; CDC Centers for Disease Control and Prevention: Atlanta, GA, USA, 2022. [Google Scholar] [CrossRef]
- United Nations Environment Programme. Overview Report II: An Overview of Current Scientific Knowledge on the Life Cycles, Environmental Exposures, and Environmental Effects of Select Endocrine Disrupting Chemicals (EDCs) and Potential EDCs; UNEP: Nairobi, Kenya, 2017. [Google Scholar]
- Moya, J.; Phillips, L.; Sanford, J.; Wooton, M.; Gregg, A.; Schuda, L. A Review of Physiological and Behavioral Changes during Pregnancy and Lactation: Potential Exposure Factors and Data Gaps. J. Expo. Sci. Environ. Epidemiol. 2014, 24, 449–458. [Google Scholar] [CrossRef]
- Soma-Pillay, P.; Nelson-Piercy, C.; Tolppanen, H.; Mebazaa, A. Physiological Changes in Pregnancy. Cardiovasc. J. Afr. 2016, 27, 89–94. [Google Scholar] [CrossRef]
- Alonso-Magdalena, P.; Quesada, I.; Nadal, A. Endocrine Disruptors in the Etiology of Type 2 Diabetes Mellitus. Nat. Rev. Endocrinol. 2011, 7, 346–353. [Google Scholar] [CrossRef] [PubMed]
- Braun, J.M. Early-Life Exposure to EDCs: Role in Childhood Obesity and Neurodevelopment. Nat. Rev. Endocrinol. 2017, 13, 161–173. [Google Scholar] [CrossRef]
- Caporale, N.; Leemans, M.; Birgersson, L.; Germain, P.-L.; Cheroni, C.; Borbély, G.; Engdahl, E.; Lindh, C.; Bressan, R.B.; Cavallo, F.; et al. From Cohorts to Molecules: Adverse Impacts of Endocrine Disrupting Mixtures. Science 2022, 375, eabe8244. [Google Scholar] [CrossRef]
- Liu, J.; Shi, J.; Hernandez, R.; Li, X.; Konchadi, P.; Miyake, Y.; Chen, Q.; Zhou, T.; Zhou, C. Paternal Phthalate Exposure-Elicited Offspring Metabolic Disorders Are Associated with Altered Sperm Small RNAs in Mice. Environ. Int. 2023, 172, 107769. [Google Scholar] [CrossRef]
- Mustieles, V.; Rolland, M.; Pin, I.; Thomsen, C.; Sakhi, A.K.; Sabaredzovic, A.; Muckle, G.; Guichardet, K.; Slama, R.; Philippat, C. Early-Life Exposure to a Mixture of Phenols and Phthalates in Relation to Child Social Behavior: Applying an Evidence-Based Prioritization to a Cohort with Improved Exposure Assessment. Environ. Health Perspect. 2023, 131, 87006. [Google Scholar] [CrossRef] [PubMed]
- Salazar, P.; Villaseca, P.; Cisternas, P.; Inestrosa, N.C. Neurodevelopmental Impact of the Offspring by Thyroid Hormone System-Disrupting Environmental Chemicals during Pregnancy. Environ. Res. 2021, 200, 111345. [Google Scholar] [CrossRef]
- Virani, S.S.; Alonso, A.; Aparicio, H.J.; Benjamin, E.J.; Bittencourt, M.S.; Callaway, C.W.; Carson, A.P.; Chamberlain, A.M.; Cheng, S.; Delling, F.N.; et al. Heart Disease and Stroke Statistics-2021 Update: A Report from the American Heart Association. Circulation 2021, 143, e254–e743. [Google Scholar] [CrossRef]
- Chen, K.-Y.; Lin, S.-Y.; Lee, C.-N.; Wu, H.-T.; Kuo, C.-H.; Kuo, H.-C.; Chuang, C.-C.; Kuo, C.-H.; Chen, S.-C.; Fan, K.-C.; et al. Maternal Plasma Lipids During Pregnancy, Insulin-like Growth Factor-1, and Excess Fetal Growth. J. Clin. Endocrinol. Metab. 2021, 106, e3461–e3472. [Google Scholar] [CrossRef]
- Wang, H.; Dang, Q.; Zhu, H.; Liang, N.; Le, Z.; Huang, D.; Xiao, R.; Yu, H. Associations between Maternal Serum HDL-c Concentrations during Pregnancy and Neonatal Birth Weight: A Population-Based Cohort Study. Lipids Health Dis. 2020, 19, 93. [Google Scholar] [CrossRef] [PubMed]
- Palinski, W. Effect of Maternal Cardiovascular Conditions and Risk Factors on Offspring Cardiovascular Disease. Circulation 2014, 129, 2066–2077. [Google Scholar] [CrossRef]
- Napoli, C.; Glass, C.K.; Witztum, J.L.; Deutsch, R.; D’Armiento, F.P.; Palinski, W. Influence of Maternal Hypercholesterolaemia during Pregnancy on Progression of Early Atherosclerotic Lesions in Childhood: Fate of Early Lesions in Children (FELIC) Study. Lancet 1999, 354, 1234–1241. [Google Scholar] [CrossRef]
- Gaillard, R.; Jaddoe, V.W.V. Maternal Cardiovascular Disorders before and during Pregnancy and Offspring Cardiovascular Risk across the Life Course. Nat. Rev. Cardiol. 2023, 20, 617–630. [Google Scholar] [CrossRef] [PubMed]
- Cacciatore, F.; Bruzzese, G.; Abete, P.; Russo, G.; Palinski, W.; Napoli, C. Maternal Hypercholesterolaemia during Pregnancy Affects Severity of Myocardial Infarction in Young Adults. Eur. J. Prev. Cardiol. 2022, 29, 758–765. [Google Scholar] [CrossRef]
- Sáez, T.; Pageé, A.; Kirschenman, R.; Quon, A.; Spaans, F.; Davidge, S.T. A High Cholesterol Diet during Late Pregnancy Impairs Long-Term Maternal Vascular Function in Mice. Arter. Thromb. Vasc. Biol. 2023, 43, 120–132. [Google Scholar] [CrossRef] [PubMed]
- Casals-Casas, C.; Desvergne, B. Endocrine Disruptors: From Endocrine to Metabolic Disruption. Annu. Rev. Physiol. 2011, 73, 135–162. [Google Scholar] [CrossRef]
- Heindel, J.J.; Blumberg, B.; Cave, M.; Machtinger, R.; Mantovani, A.; Mendez, M.A.; Nadal, A.; Palanza, P.; Panzica, G.; Sargis, R.; et al. Metabolism Disrupting Chemicals and Metabolic Disorders. Reprod. Toxicol. 2017, 68, 3–33. [Google Scholar] [CrossRef]
- Heindel, J.J.; Blumberg, B. Environmental Obesogens: Mechanisms and Controversies. Annu. Rev. Pharmacol. Toxicol. 2019, 59, 89–106. [Google Scholar] [CrossRef]
- Grün, F.; Blumberg, B. Environmental Obesogens: Organotins and Endocrine Disruption via Nuclear Receptor Signaling. Endocrinology 2006, 147, S50–S55. [Google Scholar] [CrossRef]
- Mínguez-Alarcón, L.; Williams, P.L.; James-Todd, T.; Souter, I.; Ford, J.B.; Rexrode, K.M.; Calafat, A.M.; Hauser, R.; Chavarro, J.E. Association of Urinary Phthalate and Phthalate Replacement Metabolite Concentrations with Serum Lipid Biomarker Levels among Pregnant Women Attending a Fertility Center. Toxics 2022, 10, 292. [Google Scholar] [CrossRef] [PubMed]
- Mínguez-Alarcón, L.; Frueh, L.; Williams, P.L.; James-Todd, T.; Souter, I.; Ford, J.B.; Rexrode, K.M.; Calafat, A.M.; Hauser, R.; Chavarro, J.E. Pregnancy Urinary Concentrations of Bisphenol A, Parabens and Other Phenols in Relation to Serum Levels of Lipid Biomarkers: Results from the EARTH Study. Sci. Total Environ. 2022, 833, 155191. [Google Scholar] [CrossRef]
- Yu, L.; Liu, W.; Wang, X.; Ye, Z.; Tan, Q.; Qiu, W.; Nie, X.; Li, M.; Wang, B.; Chen, W. A Review of Practical Statistical Methods Used in Epidemiological Studies to Estimate the Health Effects of Multi-Pollutant Mixture. Environ. Pollut. 2022, 306, 119356. [Google Scholar] [CrossRef] [PubMed]
- Lazarevic, N.; Barnett, A.G.; Sly, P.D.; Knibbs, L.D. Statistical Methodology in Studies of Prenatal Exposure to Mixtures of Endocrine-Disrupting Chemicals: A Review of Existing Approaches and New Alternatives. Environ. Health Perspect. 2019, 127, 026001. [Google Scholar] [CrossRef]
- Wang, L.; Asimakopoulos, A.G.; Kannan, K. Accumulation of 19 Environmental Phenolic and Xenobiotic Heterocyclic Aromatic Compounds in Human Adipose Tissue. Environ. Int. 2015, 78, 45–50. [Google Scholar] [CrossRef]
- Fajas, L.; Auboeuf, D.; Raspé, E.; Schoonjans, K.; Lefebvre, A.M.; Saladin, R.; Najib, J.; Laville, M.; Fruchart, J.C.; Deeb, S.; et al. The Organization, Promoter Analysis, and Expression of the Human PPARgamma Gene. J. Biol. Chem. 1997, 272, 18779–18789. [Google Scholar] [CrossRef]
- Pereira-Fernandes, A.; Demaegdt, H.; Vandermeiren, K.; Hectors, T.L.M.; Jorens, P.G.; Blust, R.; Vanparys, C. Evaluation of a Screening System for Obesogenic Compounds: Screening of Endocrine Disrupting Compounds and Evaluation of the PPAR Dependency of the Effect. PLoS ONE 2013, 8, e77481. [Google Scholar] [CrossRef]
- Vuong, A.M.; Braun, J.M.; Sjödin, A.; Calafat, A.M.; Yolton, K.; Lanphear, B.P.; Chen, A. Exposure to Endocrine Disrupting Chemicals (EDCs) and Cardiometabolic Indices during Pregnancy: The HOME Study. Environ. Int. 2021, 156, 106747. [Google Scholar] [CrossRef]
- Mínguez-Alarcón, L.; Gaskins, A.J.; Chiu, Y.-H.; Souter, I.; Williams, P.L.; Calafat, A.M.; Hauser, R.; Chavarro, J.E. Dietary Folate Intake and Modification of the Association of Urinary Bisphenol A Concentrations with In Vitro Fertilization Outcomes among Women from a Fertility Clinic. Reprod. Toxicol. 2016, 65, 104–112. [Google Scholar] [CrossRef]
- Mok-Lin, E.; Ehrlich, S.; Williams, P.L.; Petrozza, J.; Wright, D.L.; Calafat, A.M.; Ye, X.; Hauser, R. Urinary Bisphenol A Concentrations and Ovarian Response among Women Undergoing IVF. Int. J. Androl. 2010, 33, 385–393. [Google Scholar] [CrossRef]
- Barr, D.B.; Wilder, L.C.; Caudill, S.P.; Gonzalez, A.J.; Needham, L.L.; Pirkle, J.L. Urinary Creatinine Concentrations in the U.S. Population: Implications for Urinary Biologic Monitoring Measurements. Environ. Health Perspect. 2005, 113, 192–200. [Google Scholar] [CrossRef]
- Schisterman, E.F.; Whitcomb, B.W.; Buck, L.G.M.; Louis, T.A. Lipid Adjustment in the Analysis of Environmental Contaminants and Human Health Risks. Environ. Health Perspect. 2005, 113, 853–857. [Google Scholar] [CrossRef]
- Silva, M.J.; Samandar, E.; Preau, J.L.; Reidy, J.A.; Needham, L.L.; Calafat, A.M. Quantification of 22 Phthalate Metabolites in Human Urine. J. Chromatogr. B 2007, 860, 106–112. [Google Scholar] [CrossRef]
- Zhou, X.; Kramer, J.P.; Calafat, A.M.; Ye, X. Automated On-Line Column-Switching High Performance Liquid Chromatography Isotope Dilution Tandem Mass Spectrometry Method for the Quantification of Bisphenol A, Bisphenol F, Bisphenol S, and 11 Other Phenols in Urine. J. Chromatogr. B 2014, 944, 152–156. [Google Scholar] [CrossRef] [PubMed]
- Caudill, S.P.; Schleicher, R.L.; Pirkle, J.L. Multi-Rule Quality Control for the Age-Related Eye Disease Study. Stat. Med. 2008, 27, 4094–4106. [Google Scholar] [CrossRef] [PubMed]
- Stinshoff, K.; Weisshaar, D.; Staehler, F.; Hesse, D.; Gruber, W.; Steier, E. Relation between Concentrations of Free Glycerol and Triglycerides in Human Sera. Clin. Chem. 1977, 23, 1029–1032. [Google Scholar] [CrossRef]
- Allain, C.C.; Poon, L.S.; Chan, C.S.G.; Richmond, W.; Fu, P.C. Enzymatic Determination of Total Serum Cholesterol. Clin. Chem. 1974, 20, 470–475. [Google Scholar] [CrossRef]
- Rifai, N.; Cole, T.G.; Iannotti, E.; Law, T.; Macke, M.; Miller, R.; Dowd, D.; Wiebe, D.A. Assessment of Interlaboratory Performance in External Proficiency Testing Programs with a Direct HDL-Cholesterol Assay. Clin. Chem. 1998, 44, 1452–1458. [Google Scholar] [CrossRef]
- Roberts, W.C. The Friedewald-Levy-Fredrickson Formula for Calculating Low-Density Lipoprotein Cholesterol, the Basis for Lipid-Lowering Therapy. Am. J. Cardiol. 1988, 62, 345–346. [Google Scholar] [CrossRef]
- Lapidus, N.; Chevret, S.; Resche-Rigon, M. Assessing Assay Agreement Estimation for Multiple Left-censored Data: A Multiple Imputation Approach. Stat. Med. 2014, 33, 5298–5309. [Google Scholar] [CrossRef]
- Bobb, J.F.; Valeri, L.; Claus Henn, B.; Christiani, D.C.; Wright, R.O.; Mazumdar, M.; Godleski, J.J.; Coull, B.A. Bayesian Kernel Machine Regression for Estimating the Health Effects of Multi-Pollutant Mixtures. Biostatistics 2015, 16, 493–508. [Google Scholar] [CrossRef]
- Keil, A.P.; Buckley, J.P.; O’Brien, K.M.; Ferguson, K.K.; Zhao, S.; White, A.J. A Quantile-Based g-Computation Approach to Addressing the Effects of Exposure Mixtures. Environ. Health Perspect. 2020, 128, 047004. [Google Scholar] [CrossRef]
- World Health Organization Obesity and Overweight. Available online: https://www.who.int/news-room/fact-sheets/detail/obesity-and-overweight (accessed on 24 October 2023).
- Wen, Q.; Zhou, Y.; Wang, Y.; Li, J.; Zhao, H.; Liao, J.; Liu, H.; Li, Y.; Cai, Z.; Xia, W. Association between Urinary Paraben Concentrations and Gestational Weight Gain during Pregnancy. J. Expo. Sci. Environ. Epidemiol. 2020, 30, 845–855. [Google Scholar] [CrossRef]
- Kodani, S.D.; Overby, H.B.; Morisseau, C.; Chen, J.; Zhao, L.; Hammock, B.D. Parabens Inhibit Fatty Acid Amide Hydrolase: A Potential Role in Paraben-Enhanced 3T3-L1 Adipocyte Differentiation. Toxicol. Lett. 2016, 262, 92–99. [Google Scholar] [CrossRef] [PubMed]
- Parikh, N.I.; Cnattingius, S.; Mittleman, M.A.; Ludvigsson, J.F.; Ingelsson, E. Subfertility and Risk of Later Life Maternal Cardiovascular Disease. Hum. Reprod. 2012, 27, 568–575. [Google Scholar] [CrossRef] [PubMed]
- Braun, J.M.; Smith, K.W.; Williams, P.L.; Calafat, A.M.; Berry, K.; Ehrlich, S.; Hauser, R. Variability of Urinary Phthalate Metabolite and Bisphenol A Concentrations before and during Pregnancy. Environ. Health Perspect. 2012, 120, 739–745. [Google Scholar] [CrossRef]
- Bai, J.; Ma, Y.; Zhao, Y.; Yang, D.; Mubarik, S.; Yu, C. Mixed Exposure to Phenol, Parabens, Pesticides, and Phthalates and Insulin Resistance in NHANES: A Mixture Approach. Sci. Total Environ. 2022, 851, 158218. [Google Scholar] [CrossRef]
- Bellavia, A.; Chiu, Y.-H.; Brown, F.M.; Mínguez-Alarcón, L.; Ford, J.B.; Keller, M.; Petrozza, J.; Williams, P.L.; Ye, X.; Calafat, A.M.; et al. Urinary Concentrations of Parabens Mixture and Pregnancy Glucose Levels among Women from a Fertility Clinic. Environ. Res. 2019, 168, 389–396. [Google Scholar] [CrossRef]
- Génard-Walton, M.; McGee, G.; Williams, P.L.; Souter, I.; Ford, J.B.; Chavarro, J.E.; Calafat, A.M.; Hauser, R.; Mínguez-Alarcón, L. Mixtures of Urinary Concentrations of Phenols and Phthalate Biomarkers in Relation to the Ovarian Reserve among Women Attending a Fertility Clinic. Sci. Total Environ. 2023, 898, 165536. [Google Scholar] [CrossRef]
- Nguyen, H.D.; Oh, H.; Kim, M.-S. The Effects of Chemical Mixtures on Lipid Profiles in the Korean Adult Population: Threshold and Molecular Mechanisms for Dyslipidemia Involved. Environ. Sci. Pollut. Res. 2022, 29, 39182–39208. [Google Scholar] [CrossRef]
- Zhan, W.; Yang, H.; Zhang, J.; Chen, Q. Association between Co-Exposure to Phenols and Phthalates Mixture and Infertility Risk in Women. Environ. Res. 2022, 215, 114244. [Google Scholar] [CrossRef]



| Demographic Characteristics | |
|---|---|
| Age at pregnancy, years, median (IQR) | 35 (32, 38) |
| Race, N (%) | |
| White | 154 (88) |
| Black | 5 (2) |
| Asian | 8 (5) |
| Other | 8 (5) |
| Pre-pregnancy body mass index, kg/m2 | 22.9 (21.2, 25.6) |
| 122 (70) | |
| 53 (30) | |
| Ever smoked, N (%) | 50 (29) |
| Graduate degree attainment, N (%) | 105 (60) |
| Primary infertility diagnosis, N (%) | |
| Male factor | 58 (33) |
| Female factor | 59 (33) |
| Unexplained | 58 (33) |
| Mode of conception, N (%) | |
| IUI | 45 (26) |
| IVF | 101 (57) |
| Natural | 29 (17) |
| Number of babies, N (%) | |
| Singleton | 144 (82) |
| Twins and triplets | 31 (18) |
| Trimester of sample collection, N (%) | |
| 1st | 61 (35) |
| 2nd | 47 (27) |
| 3rd | 67 (38) |
| Serum lipid level, mg/dL, median (IQR) | |
| Total triglycerides | 181 (112, 251) |
| Total cholesterol | 229 (190, 279) |
| HDL cholesterol | 68.0 (58.0, 79.0) |
| Non-HDL cholesterol | 161 (122, 204) |
| LDL cholesterol | 120 (92.0, 158) |
Disclaimer/Publisher’s Note: The statements, opinions and data contained in all publications are solely those of the individual author(s) and contributor(s) and not of MDPI and/or the editor(s). MDPI and/or the editor(s) disclaim responsibility for any injury to people or property resulting from any ideas, methods, instructions or products referred to in the content. |
© 2024 by the authors. Licensee MDPI, Basel, Switzerland. This article is an open access article distributed under the terms and conditions of the Creative Commons Attribution (CC BY) license (https://creativecommons.org/licenses/by/4.0/).
Share and Cite
Shen, X.; Génard-Walton, M.; Williams, P.L.; James-Todd, T.; Ford, J.B.; Rexrode, K.M.; Calafat, A.M.; Zhang, D.; Chavarro, J.E.; Hauser, R.; et al. Mixtures of Urinary Phenol and Phthalate Metabolite Concentrations in Relation to Serum Lipid Levels among Pregnant Women: Results from the EARTH Study. Toxics 2024, 12, 574. https://doi.org/10.3390/toxics12080574
Shen X, Génard-Walton M, Williams PL, James-Todd T, Ford JB, Rexrode KM, Calafat AM, Zhang D, Chavarro JE, Hauser R, et al. Mixtures of Urinary Phenol and Phthalate Metabolite Concentrations in Relation to Serum Lipid Levels among Pregnant Women: Results from the EARTH Study. Toxics. 2024; 12(8):574. https://doi.org/10.3390/toxics12080574
Chicago/Turabian StyleShen, Xilin, Maximilien Génard-Walton, Paige L. Williams, Tamarra James-Todd, Jennifer B. Ford, Kathryn M. Rexrode, Antonia M. Calafat, Dan Zhang, Jorge E. Chavarro, Russ Hauser, and et al. 2024. "Mixtures of Urinary Phenol and Phthalate Metabolite Concentrations in Relation to Serum Lipid Levels among Pregnant Women: Results from the EARTH Study" Toxics 12, no. 8: 574. https://doi.org/10.3390/toxics12080574
APA StyleShen, X., Génard-Walton, M., Williams, P. L., James-Todd, T., Ford, J. B., Rexrode, K. M., Calafat, A. M., Zhang, D., Chavarro, J. E., Hauser, R., Mínguez-Alarcón, L., & the EARTH Study Team. (2024). Mixtures of Urinary Phenol and Phthalate Metabolite Concentrations in Relation to Serum Lipid Levels among Pregnant Women: Results from the EARTH Study. Toxics, 12(8), 574. https://doi.org/10.3390/toxics12080574

