Exposure to Bisphenol A Substitutes, Bisphenol S and Bisphenol F, and Its Association with Developing Obesity and Diabetes Mellitus: A Narrative Review
Abstract
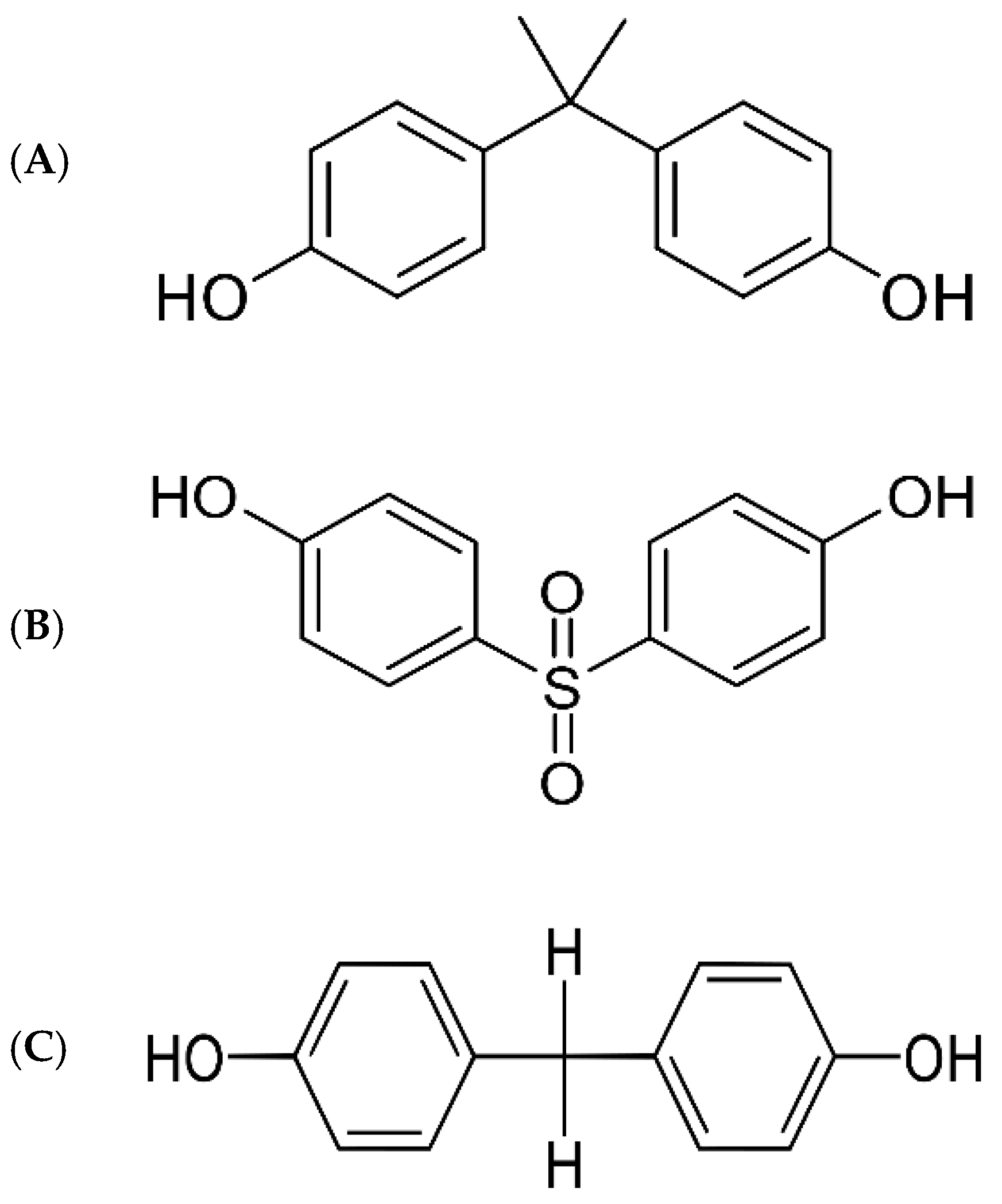
1. Introduction
2. Urinary Concentrations of BPS/BPF and the Incidence of Obesity and Diabetes
2.1. Incidence of Obesity
2.2. Incidence of Diabetes
3. Exposure to BPS and/or BPF and Obesogenic Effects/Metabolic Disorders
4. Possible Mechanisms of Action
5. Future Work
6. Conclusions
Author Contributions
Funding
Institutional Review Board Statement
Informed Consent Statement
Data Availability Statement
Acknowledgments
Conflicts of Interest
References
- Ritchie, H.; Roser, M. Obesity. Available online: https://ourworldindata.org/obesity (accessed on 14 September 2022).
- International Diabetes Federation. IDF Diabetes Atlas, 10th ed.; International Diabetes Federation: Brussels, Belgium, 2021; Volume 102, pp. 147–148. [Google Scholar]
- Ampofo, A.G.; Boateng, E.B. Beyond 2020: Modelling Obesity and Diabetes Prevalence. Diabetes Res. Clin. Pract. 2020, 167, 108362. [Google Scholar] [CrossRef] [PubMed]
- Verma, S.; Hussain, M.E. Obesity and Diabetes: An Update. Syndr. Clin. Res. Rev. 2016, 11, 73–79. [Google Scholar] [CrossRef] [PubMed]
- Serván, P.R. Obesity and Diabetes. Nutr. Hosp. 2013, 28, 138–143. [Google Scholar]
- Pérez-Bermejo, M.; Mas-Pérez, I.; Murillo-Llorente, M.T. The Role of The Bisphenol A in Diabetes and Obesity. Biomedicines 2021, 9, 666. [Google Scholar] [CrossRef]
- Schug, T.T.; Janesick, A.; Blumberg, B.; Heindel, J.J. Endocrine Disrupting Chemicals and Disease Susceptibility. J. Steroid Biochem. Mol. Biol. 2011, 127, 204–215. [Google Scholar] [CrossRef]
- Thoene, M.; Dzika, E.; Gonkowski, S.; Wojtkiewicz, J. Bisphenol S in Food Causes Hormonal and Obesogenic Effects Comparable to or Worse Than Bisphenol A: A Literature Review. Nutrients 2020, 12, 532. [Google Scholar] [CrossRef]
- Wu, W.; Li, M.; Liu, A.; Wu, C.; Li, D.; Deng, Q.; Zhang, B.; Du, J.; Gao, X.; Hong, Y. Bisphenol A and The Risk of Obesity A Systematic Review with Meta-Analysis of the Epidemiological Evidence. Dose-Response 2020, 18, 1559325820916949. [Google Scholar] [CrossRef]
- Farrugia, F.; Aquilina, A.; Vassallo, J.; Pace, N.P. Bisphenol A and Type 2 Diabetes Mellitus: A Review of Epidemiologic, Functional, and Early Life Factors. Int. J. Environ. Res. 2021, 18, 716. [Google Scholar] [CrossRef]
- Oliviero, F.; Marmugi, A.; Viguié, C.; Gayrard, V.; Picard-Hagen, N.; Mselli-Lakhal, L. Are BPA Substitutes as Obesogenic as BPA? Int. J. Mol. Sci. 2022, 23, 4238. [Google Scholar] [CrossRef]
- Trasande, L.; Attina, T.M.; Blustein, J. Association Between Urinary Bisphenol A Concentration and Obesity Prevalence in Children and Adolescents. JAMA 2012, 308, 1113–1121. [Google Scholar] [CrossRef]
- Do Minh, T.; Vicky, C.C.; Michelle, A.M. Urinary Bisphenol A and Obesity in Adults: Results from the Canadian Health Measures Survey. Health Promot. Chronic Dis. Prev. Can. 2017, 37, 403. [Google Scholar] [PubMed]
- Moon, S.; Seo, M.Y.; Choi, K.; Chang, Y.-S.; Kim, S.-H.; Park, M.J. Urinary Bisphenol A Concentrations and the Risk of Obesity in Korean Adults. Sci. Rep. 2021, 11, 160. [Google Scholar] [CrossRef] [PubMed]
- Aekplakorn, W.; Chailurkit, L.O.; Ongphiphadhanakul, B. Relationship of Serum Bisphenol A with Diabetes in the Thai Population, National Health Examination Survey IV, 2009. J. Diabetes 2015, 7, 240–249. [Google Scholar] [CrossRef] [PubMed]
- Haq, M.E.U.; Akash, M.S.H.; Sabir, S.; Mahmood, M.H.; Rehman, K. Human Exposure to Bisphenol A Through Dietary Sources and Development of Diabetes Mellitus: A Cross-Sectional Study in Pakistani Population. Environ. Sci. Pollut. Res. 2020, 27, 26262–26275. [Google Scholar] [CrossRef] [PubMed]
- Murphy, L.; Mérida-Ortega, Á.; Cebrián, M.E.; Hernández-Garciadiego, L.; Gómez-Ruiz, H.; Gamboa-Loira, B.; López-Carrillo, L. Exposure to Bisphenol A and Diabetes Risk in Mexican Women. Environ. Sci. Pollut. Res. 2019, 26, 26332–26338. [Google Scholar] [CrossRef] [PubMed]
- Soundararajan, A.; Prabu, P.; Mohan, V.; Gibert, Y.; Balasubramanyam, M. Novel Insights of Elevated Systemic Levels of Bisphenol-A (Bpa) Linked to Poor Glycemic Control, Accelerated Cellular Senescence and Insulin Resistance in Patients with Type 2 Diabetes. Mol. Cell. Biochem. 2019, 458, 171–183. [Google Scholar] [CrossRef]
- Robles-Aguilera, V.; Gálvez-Ontiveros, Y.; Rodrigo, L.; Salcedo-Bellido, I.; Aguilera, M.; Zafra-Gómez, A.; Monteagudo, C.; Rivas, A. Factors Associated with Exposure to Dietary Bisphenols in Adolescents. Nutrients 2021, 13, 1553. [Google Scholar] [CrossRef] [PubMed]
- U.S. Food and Drug Administration. Draft Assessment of Bisphenol A for Use in Food Contact Applications. Available online: https://www.fda.gov/food/food-additives-petitions/bisphenol-bpa-use-food-contact-application (accessed on 14 September 2022).
- Rochester, J.R.; Bolden, A.L. Bisphenol S and F: A Systematic Review and Comparison of the Hormonal Activity of Bisphenol A Substitutes. Environ. Health Perspect. 2015, 123, 643–650. [Google Scholar] [CrossRef]
- Liao, C.; Kannan, K. A Survey of Bisphenol A and Other Bisphenol Analogues in Foodstuffs from Nine Cities in China. Food Addit. Contam. Part A 2014, 31, 319–329. [Google Scholar] [CrossRef] [PubMed]
- Russo, G.; Barbato, F.; Grumetto, L. Monitoring of Bisphenol A and Bisphenol S in Thermal Paper Receipts from the Italian Market and Estimated Transdermal Human Intake: A Pilot Study. Sci. Total Environ. 2017, 599, 68–75. [Google Scholar] [CrossRef]
- Liao, C.; Liu, F.; Kannan, K. Bisphenol S, A New Bisphenol Analogue, in Paper Products and Currency Bills And its Association with Bisphenol A Residues. Environ. Sci. Technol. 2012, 46, 6515–6522. [Google Scholar] [CrossRef] [PubMed]
- Lehmler, H.-J.; Liu, B.; Gadogbe, M.; Bao, W. Exposure to Bisphenol A, Bisphenol F, and Bisphenol S in Us Adults And Children: The National Health and Nutrition Examination Survey 2013–2014. ACS Omega 2018, 3, 6523–6532. [Google Scholar] [CrossRef] [PubMed]
- Liao, C.; Liu, F.; Alomirah, H.; Loi, V.D.; Mohd, M.A.; Moon, H.-B.; Nakata, H.; Kannan, K. Bisphenol S in Urine From The United States and Seven Asian Countries: Occurrence and Human Exposures. Environ. Sci. Technol. 2012, 46, 6860–6866. [Google Scholar] [CrossRef] [PubMed]
- Martínez, M.; Blanco, J.; Rovira, J.; Kumar, V.; Domingo, J.; Schuhmacher, M. Bisphenol A Analogues (BPS and BPF) Present A Greater Obesogenic Capacity in 3T3-L1 Cell Line. Food Chem. Toxicol. 2020, 140, 111298. [Google Scholar] [CrossRef]
- Tetzlaff, C.N.R.; Svingen, T.; Vinggaard, A.M.; Rosenmai, A.K.; Taxvig, C. Bisphenols B, E, F, and S and 4-Cumylphenol Induce Lipid Accumulation in Mouse Adipocytes Similarly to Bisphenol A. Environ. Toxicol. 2020, 35, 543–552. [Google Scholar] [CrossRef]
- Mandrah, K.; Jain, V.; Ansari, J.A.; Roy, S.K. Metabolomic Perturbation Precedes Glycolytic Dysfunction and Procreates Hyperglycemia in A Rat Model Due to Bisphenol S Exposure. Environ. Toxicol. Pharmacol. 2020, 77, 103372. [Google Scholar] [CrossRef]
- Liu, B.; Lehmler, H.-J.; Sun, Y.; Xu, G.; Liu, Y.; Zong, G.; Sun, Q.; Hu, F.B.; Wallace, R.B.; Bao, W. Bisphenol A Substitutes and Obesity in Us Adults: Analysis of A Population-Based, Cross-Sectional Study. Lancet Planet. Health 2017, 1, e114–e122. [Google Scholar] [CrossRef]
- Liu, B.; Lehmler, H.-J.; Sun, Y.; Xu, G.; Sun, Q.; Snetselaar, L.G.; Wallace, R.B.; Bao, W. Association of Bisphenol A and Its Substitutes, Bisphenol F and Bisphenol S, with Obesity in United States Children and Adolescents. Diabetes Metab. J. 2019, 43, 59–75. [Google Scholar] [CrossRef]
- Jacobson, M.H.; Woodward, M.; Bao, W.; Liu, B.; Trasande, L. Urinary Bisphenols and Obesity Prevalence Among us Children and Adolescents. J. Endocr. Soc. 2019, 3, 1715–1726. [Google Scholar] [CrossRef]
- Gajjar, P.; Liu, Y.; Li, N.; Buckley, J.P.; Chen, A.; Lanphear, B.P.; Kalkwarf, H.J.; Cecil, K.M.; Yolton, K.; Braun, J.M. Associations of Mid-childhood Bisphenol A and Bisphenol S Exposure with Mid-Childhood and Adolescent Obesity. Environ. Epidemiol. 2021, 6, e187. [Google Scholar] [CrossRef]
- Moon, M.K.; Kim, M.J.; Lee, I.; Kim, S.; Choi, S.; Park, J.; Cho, Y.H.; Hong, S.; Yoo, J.; Park, H. Exposure to Bisphenol A, S, and F and its Association with Obesity and Diabetes Mellitus in General Adults of Korea: Korean National Environmental Health Survey (KoNEHS) 2015–2017. Expos. Health 2022, 1–15. [Google Scholar] [CrossRef]
- Duan, Y.; Yao, Y.; Wang, B.; Han, L.; Wang, L.; Sun, H.; Chen, L. Association of Urinary Concentrations of Bisphenols with Type 2 Diabetes Mellitus: A Case-Control Study. Environ. Pollut. 2018, 243, 1719–1726. [Google Scholar] [CrossRef] [PubMed]
- Rancière, F.; Botton, J.; Slama, R.; Lacroix, M.; Debrauwer, L.; Charles, M.A.; Roussel, R.; Balkau, B.; Magliano, D.; The D.E.S.I.R. Study Group. Exposure to Bisphenol A and Bisphenol S and Incident Type 2 Diabetes: A Case–Cohort Study in the French Cohort DESIR. Environ. Health Perspect. 2019, 127, 107013. [Google Scholar] [CrossRef] [PubMed]
- Zhang, W.; Xia, W.; Liu, W.; Li, X.; Hu, J.; Zhang, B.; Xu, S.; Zhou, Y.; Li, J.; Cai, Z.; et al. Exposure to Bisphenol A Substitutes and Gestational Diabetes Mellitus: A Prospective Cohort Study in China. Front. Endocrinol. 2019, 10, 262. [Google Scholar] [CrossRef]
- Pal, S.; Sarkar, K.; Nath, P.P.; Mondal, M.; Khatun, A.; Paul, G. Bisphenol S Impairs Blood Functions and Induces Cardiovascular Risks in Rats. Toxicol. Rep. 2017, 4, 560–565. [Google Scholar] [CrossRef]
- Azevedo, L.F.; Dechandt, C.R.P.; Rocha, C.C.D.S.; Carneiro, M.F.H.; Alberici, L.C.; Barbosa, F. Long-Term Exposure to Bisphenol A Or S Promotes Glucose Intolerance and Changes Hepatic Mitochondrial Metabolism in Male Wistar Rats. Food Chem. Toxicol. 2019, 132, 110694. [Google Scholar] [CrossRef]
- Zhang, W.; Gao, Y.; Chen, C.; Li, A.; Ma, X.; Liang, Y.; Yao, X.; Song, M.; Jiang, G. Bisphenol S Promotes the Formation of Visceral Fat in Mice. Environ. Sci. Technol. Lett. 2021, 8, 699–704. [Google Scholar] [CrossRef]
- Wang, W.; Zhang, X.; Wang, Z.; Qin, J.; Wang, W.; Tian, H.; Ru, S. Bisphenol S Induces Obesogenic Effects Through Deregulating Lipid Metabolism in Zebrafish (Danio Rerio) Larvae. Chemosphere 2018, 199, 286–296. [Google Scholar] [CrossRef]
- Wang, W.; Zhang, X.; Qin, J.; Wei, P.; Jia, Y.; Wang, J.; Ru, S. Long-term Bisphenol S Exposure Induces Fat Accumulation in Liver of Adult Male Zebrafish (Danio Rerio) and Slows Yolk Lipid Consumption in F1 Offspring. Chemosphere 2019, 221, 500–510. [Google Scholar] [CrossRef]
- Reina-Pérez, I.; Olivas-Martínez, A.; Mustieles, V.; Ruiz-Ojeda, F.J.; Molina-Molina, J.M.; Olea, N.; Fernández, M.F. Bisphenol F and Bisphenol S Promote Lipid Accumulation and Adipogenesis in Human Adipose-Derived Stem Cells. Food Chem. Toxicol. 2021, 152, 112216. [Google Scholar] [CrossRef]
- Ahmed, S.; Atlas, E. Bisphenol S-and Bisphenol A-Induced Adipogenesis of Murine Preadipocytes Occurs through Direct Peroxisome Proliferator-Activated Receptor Gamma Activation. Int. J. Obes. 2016, 40, 1566–1573. [Google Scholar] [CrossRef] [PubMed]
- Drobna, Z.; Talarovicova, A.; Schrader, H.E.; Fennell, T.; Snyder, R.W.; Rissman, E.F. Bisphenol F has Different Effects on Preadipocytes Differentiation and Weight Gain in Adult Mice as Compared with Bisphenol A and S. Toxicology 2019, 420, 66–72. [Google Scholar] [CrossRef] [PubMed]
- Zhao, F.; Jiang, G.; Wei, P.; Wang, H.; Ru, S. Bisphenol S Exposure Impairs Glucose Homeostasis in Male Zebrafish (Danio Rerio). Ecotoxicol. Environ. Saf. 2018, 147, 794–802. [Google Scholar] [CrossRef] [PubMed]
- Meng, Z.; Wang, D.; Liu, W.; Li, R.; Yan, S.; Jia, M.; Zhang, L.; Zhou, Z.; Zhu, W. Perinatal Exposure to Bisphenol S (Bps) Promotes Obesity Development by Interfering with Lipid and Glucose Metabolism in Male Mouse Offspring. Environ. Res. 2019, 173, 189–198. [Google Scholar] [CrossRef] [PubMed]
- Ahn, Y.-A.; Baek, H.; Choi, M.; Park, J.; Son, S.J.; Seo, H.J.; Jung, J.; Seong, J.K.; Lee, J.; Kim, S. Adipogenic Effects of Prenatal Exposure to Bisphenol S (BPS) in Adult F1 MALE Mice. Sci. Total Environ. 2020, 728, 138759. [Google Scholar] [CrossRef] [PubMed]
- Bruno, K.A.; Mathews, J.E.; Yang, A.L.; Frisancho, J.A.; Scott, A.J.; Greyner, H.D.; Molina, F.A.; Greenaway, M.S.; Cooper, G.M.; Bucek, A.; et al. BPA Alters Estrogen Receptor Expression in the Heart After Viral Infection Activating Cardiac Mast Cells and T Cells Leading to Perimyocarditis and Fibrosis. Front. Endocrinol. 2019, 10, 598. [Google Scholar] [CrossRef] [PubMed]
- Cimmino, I.; Fiory, F.; Perruolo, G.; Miele, C.; Beguinot, F.; Formisano, P.; Oriente, F. Potential Mechanisms of Bisphenol A (Bpa) Contributing to Human Disease. Int. J. Mol. Sci. 2020, 21, 5761. [Google Scholar] [CrossRef]
- Reina-Pérez, I.; Olivas-Martínez, A.; Mustieles, V.; Salamanca-Fernández, E.; Molina-Molina, J.M.; Olea, N.; Fernández, M.F. The Mixture of Bisphenol-A and Its Substitutes Bisphenol-S and Bisphenol-F Exerts Obesogenic Activity on Human Adipose-Derived Stem Cells. Toxics 2022, 10, 287. [Google Scholar] [CrossRef]
- Boucher, J.G.; Boudreau, A.; Atlas, E. Bisphenol A Induces Differentiation of Human Preadipocytes in the Absence of Glucocorticoid and is Inhibited by an Estrogen-Receptor Antagonist. Nutr. Diabetes 2014, 4, e102. [Google Scholar] [CrossRef]
- Mauvais-Jarvis, F. Estrogen and Androgen Receptors: Regulators of Fuel Homeostasis and Emerging Targets for Diabetes and Obesity. Trends Endocrinol. Metab. 2011, 22, 24–33. [Google Scholar] [CrossRef]
- Pelch, K.E.; Li, Y.; Perera, L.; Thayer, K.A.; Korach, K.S. Characterization of Estrogenic and Androgenic Activities for Bisphenol A-Like Chemicals (Bps): In Vitro Estrogen and Androgen Receptors Transcriptional Activation, Gene Regulation, and Binding Profiles. Toxicol. Sci. 2019, 172, 23–37. [Google Scholar] [CrossRef] [PubMed]
- Park, C.; Song, H.; Choi, J.; Sim, S.; Kojima, H.; Park, J.; Iida, M.; Lee, Y. The Mixture Effects of Bisphenol Derivatives on Estrogen Receptor and Androgen Receptor. Environ. Pollut. 2020, 260, 114036. [Google Scholar] [CrossRef] [PubMed]
- Cho, Y.-W.; Hong, S.; Jin, Q.; Wang, L.; Lee, J.-E.; Gavrilova, O.; Ge, K. Histone Methylation Regulator PTIP is Required for PPARγ and C/EBPα Expression and Adipogenesis. Cell Metab. 2009, 10, 27–39. [Google Scholar] [CrossRef] [PubMed]
- Rosen, E.D.; Hsu, C.-H.; Wang, X.; Sakai, S.; Freeman, M.W.; Gonzalez, F.J.; Spiegelman, B.M. C/EBPα Induces Adipogenesis through PPARγ: A Unified Pathway. Genes Dev. 2002, 16, 22–26. [Google Scholar] [CrossRef] [PubMed]
- Choi, S.-I.; Lee, J.S.; Lee, S.; Sim, W.-S.; Kim, Y.-C.; Lee, O.-H. Potentilla Rugulosa Nakai Extract Attenuates Bisphenol A-, S-and F-Induced Ros Production and Differentiation of 3t3-L1 Preadipocytes in the Absence of Dexamethasone. Antioxidants 2020, 9, 113. [Google Scholar] [CrossRef]
- Boucher, J.G.; Ahmed, S.; Atlas, E. Bisphenol S Induces Adipogenesis in Primary Human Preadipocytes from Female Donors. Endocrinology 2016, 157, 1397–1407. [Google Scholar] [CrossRef]
- Mead, J.R.; Irvine, S.A.; Ramji, D.P. Lipoprotein Lipase: Structure, Function, Regulation, and Role in Disease. J. Mol. Med. 2002, 80, 753–769. [Google Scholar] [CrossRef]
- Furuhashi, M.; Saitoh, S.; Shimamoto, K.; Miura, T. Fatty Acid-Binding Protein 4 (Fabp4): Pathophysiological Insights and Potent Clinical Biomarker of Metabolic and Cardiovascular Diseases. Clin. Med. Insights Cardiol. 2014, 8, 22–33. [Google Scholar] [CrossRef]
- Peshdary, V.; Styles, G.; Gagné, R.; Yauk, C.L.; Sorisky, A.; Atlas, E. Depot-Specific Analysisof Human Adipose Cells and Their Responses to Bisphenol S. Endocrinology 2020, 161, bqaa044. [Google Scholar] [CrossRef]
- Hopps, E.; Noto, D.; Caimi, G.; Averna, M.R. A Novel Component of the Metabolic Syndrome: The Oxidative Stress. Nutr. Metab. Cardiovasc. Dis. 2010, 20, 72–77. [Google Scholar] [CrossRef]
- Jakubiak, G.K.; Osadnik, K.; Lejawa, M.; Osadnik, T.; Goławski, M.; Lewandowski, P.; Pawlas, N. Obesity and Insulin Resistance” Is the Component of the Metabolic Syndrome Most Strongly Associated with Oxidative Stress. Antioxidants 2021, 11, 79. [Google Scholar] [CrossRef] [PubMed]
- Shankar, K.; Mehendale, H.M. Oxidative Stress. In Encyclopedia of Toxicology, 3rd ed.; Wexler, P., Ed.; Academic Press: Oxford, UK, 2014; pp. 735–737. [Google Scholar]
- Mukherjee, U.; Samanta, A.; Biswas, S.; Das, S.; Ghosh, S.; Mandal, D.K.; Maitra, S. Bisphenol A-Induced Oxidative Stress, Hepatotoxicity and Altered Estrogen Receptor Expression in Labeo Bata: Impact on Metabolic Homeostasis and Inflammatory Response. Ecotoxicol. Environ. Saf. 2020, 202, 110944. [Google Scholar] [CrossRef] [PubMed]
- Gassman, N.R. Induction of Oxidative Stress by Bisphenol A and its Pleiotropic Effects. Environ. Mol. Mutagen. 2017, 58, 60–71. [Google Scholar] [CrossRef] [PubMed]
- Hassan, Z.K.; Elobeid, M.A.; Virk, P.; Omer, S.A.; ElAmin, M.; Daghestani, M.H.; AlOlayan, E.M. Bisphenol A Induces Hepatotoxicity through Oxidative Stress in Rat Model. Oxidative Med. Cell. Longev. 2012, 2012, 194829. [Google Scholar] [CrossRef] [PubMed]
- Maćczak, A.; Cyrkler, M.; Bukowska, B.; Michałowicz, J. Bisphenol A, bisphenol S, Bisphenol F and Bisphenol AF Induce Different Oxidative Stress and Damage in Human Red Blood Cells (In Vitro Study). Toxicol. Vitr. 2017, 41, 143–149. [Google Scholar] [CrossRef]
- Huang, M.; Liu, S.; Fu, L.; Jiang, X.; Yang, M. Bisphenol A and its Analogues Bisphenol S, Bisphenol F and Bisphenol AF Induce Oxidative Stress and Biomacromolecular Damage in Human Granulosa Kgn Cells. Chemosphere 2020, 253, 126707. [Google Scholar] [CrossRef]
- Gao, C.; He, H.; Qiu, W.; Zheng, Y.; Chen, Y.; Hu, S.; Zhao, X. Oxidative Stress, Endocrine Disturbance, and Immune Interference in Humans Showed Relationships to Serum Bisphenol Concentrations in A Dense Industrial Area. Environ. Sci. Technol. 2021, 55, 1953–1963. [Google Scholar] [CrossRef]
- Kose, O.; Rachidi, W.; Beal, D.; Erkekoglu, P.; Fayyad-Kazan, H.; Gumusel, B.K. The Effects of Different Bisphenol Derivatives on Oxidative Stress, DNA Damage and DNA Repair in RWPE-1 cells: A Comparative Study. J. Appl. Toxicol. 2020, 40, 643–654. [Google Scholar] [CrossRef]
- Kaptaner, B.; Yılmaz, C.; Aykut, H.; Doğan, E.; Fidan, C.; Bostancı, M.; Yıldız, F. Bisphenol S Leads to Cytotoxicity-Induced Antioxidant Responses and Oxidative Stress in Isolated Rainbow Trout (Oncorhyncus Mykiss) Hepatocytes. Mol. Biol. Rep. 2021, 48, 7657–7666. [Google Scholar] [CrossRef]
- Wang, Y.-X.; Liu, C.; Shen, Y.; Wang, Q.; Pan, A.; Yang, P.; Chen, Y.-J.; Deng, Y.-L.; Lu, Q.; Cheng, L.-M. Urinary Levels of Bisphenol A, F and S and Markersof Oxidative Stress Among Healthy Adult Men: Variability and Association Analysis. Environ. Int. 2019, 123, 301–309. [Google Scholar] [CrossRef]
- Meng, Z.; Tian, S.; Yan, J.; Jia, M.; Yan, S.; Li, R.; Zhang, R.; Zhu, W.; Zhou, Z. Effects of Perinatal Exposure to BPA, BPF and BPAF on Liver Function in Male Mouse Offspring Involving in Oxidative Damage and Metabolic Disorder. Environ. Pollut. 2019, 247, 935–943. [Google Scholar] [CrossRef] [PubMed]
- Wang, Y.; Wang, B.; Wang, Q.; Liu, Y.; Liu, X.; Wu, B.; Lu, G. Intestinal Toxicity and Microbial Community Disorder Induced by Bisphenol F and Bisphenol S in Zebrafish. Chemosphere 2021, 280, 130711. [Google Scholar] [CrossRef] [PubMed]
- Malaisé, Y.; Lencina, C.; Placide, F.; Bacquié, V.; Cartier, C.; Olier, M.; Buettner, M.; Wallbrecht, M.; Ménard, S.; Guzylack-Piriou, L. Oral Exposure to Bisphenols Induced Food Intolerance and Colitis In Vivo By Modulating Immune Response in Adult Mice. Food Chem. Toxicol. 2020, 146, 111773. [Google Scholar] [CrossRef] [PubMed]
- Zhang, W.; Li, L.; Chen, H.; Zhang, Y.; Zhang, Z.; Lin, Z.; Shi, M.; Zhang, W.; Li, X.; Liu, Y.; et al. Bisphenol F Promotes the Secretion of Pro-Inflammatory Cytokines in Macrophages by Enhanced Glycolysis Through PI3K-AKT Signaling Pathway. Toxicol. Lett. 2021, 350, 30–39. [Google Scholar] [CrossRef] [PubMed]
- Malaisé, Y.; Le Mentec, H.; Sparfel, L.; Guzylack-Piriou, L. Differential Influences of the BPA, BPS and BPF on in vitro IL-17 secretion By Mouse and Human T Cells. Toxicol. Vitr. 2020, 69, 104993. [Google Scholar] [CrossRef]
- Ghorbani, A.; Esmaeilizadeh, M. Pharmacological properties of Salvia officinalis and its components. J. Tradit. Complement. Med. 2017, 7, 433–440. [Google Scholar] [CrossRef] [PubMed]
- Trayhurn, P. Adipocyte Biology. In Clinical Obesity in Adults and Children; John Wiley & Sons: Hoboken, NJ, USA, 2009; pp. 103–114. [Google Scholar]
- Aharon-Hananel, G.; Jörns, A.; Lenzen, S.; Raz, I.; Weksler-Zangen, S. Antidiabetic Effect of Interleukin-1β Antibody Therapy through β-Cell Protection in the Cohen Diabetes-Sensitive Rat. Diabetes 2014, 64, 1780–1785. [Google Scholar] [CrossRef][Green Version]
- Dinarello, C.A.; Donath, M.Y.; Mandrup-Poulsen, T. Role of IL-1β in Type 2 Diabetes. Curr. Opin. Endocrinol. Diabetes Obes. 2010, 17, 314–321. [Google Scholar] [CrossRef]
- Guo, Y.; Lv, Z.; Tang, Z.; Huang, S.; Peng, C.; Wang, F.; Zhou, Z.; Ding, W.; Liu, W.; Liu, P.; et al. Long-Term Exposure to Low Doses of Bisphenol S Has Hypoglycaemic Effect in Adult Male Mice by Promoting Insulin Sensitivity and Repressing Gluconeogenesis. Environ. Pollut. 2021, 277, 116630. [Google Scholar] [CrossRef]
- Oh, J.; Choi, J.W.; Ahn, Y.-A.; Kim, S. Pharmacokinetics of Bisphenol S in Humans after Single Oral Administration. Environ. Int. 2017, 112, 127–133. [Google Scholar] [CrossRef]
- Xu, J.; Huang, G.; Guo, T.L. Bisphenol S Modulates Type 1 Diabetes Development in Non-Obese Diabetic (Nod) Mice with Diet-And Sex-Related Effects. Toxics 2019, 7, 35. [Google Scholar] [CrossRef] [PubMed]

| Study Design/Follow-Up | BPs Exposure Level MUC (µg·L−1)/DR (%) | Main Outcomes | References |
|---|---|---|---|
| Participant Characteristics | |||
| Cross-sectional/- n = 1521 adults (age ≥ 20 years) | BPS: 0.4/- BPF: 0.4/- | Comparing the highest with the lowest quartile of exposure level: No significant association with general obesity; BPS [OR 1.22, 95% CI = 0.81–1.83, p = 0.30] BPF [OR 1.02, 95% CI = 0.70–1.47, p = 0.81] | Liu et al. [30] (2017, United States) |
| Cross-sectional/- n = 745 children (age 6–17 years) | BPS: 0.3/- BPF: 0.3/- | Comparing the highest with the lowest quartile of exposure level: ↑ General obesity risk with BPF; [OR 1.54, 95% CI = 1.02–2.32, p = 0.05] (stronger in boys than in girls), boys [OR 3.35, 95% CI = 2.02–5.53, p < 0.001] girls [OR 0.55, 95% CI = 0.25–1.25, p = 0.13] BPS had no significant association with obesity risk | Liu et al. [31] (2019, United States) |
| Cross-sectional/- n = 1831 children and adolescents (age 6–19 years) | BPS: 0.4/87.8 BPF: 0.2/55.2 | Each increment in log units of BPS UC: ↑ Risk of general, abdominal, and severe obesity by 16%, 13%, and 18%, respectively; general obesity [OR 1.16, 95% CI = 1.02–1.32] abdominal obesity [OR 1.13, 95% CI = 1.02–1.27] severe obesity [OR 1.18, 95% CI = 1.03–1.35] BPF exposure: ↑ Abdominal obesity and overall BMI z-scores abdominal obesity [OR 1.29, 95% CI =1.01–1.64] BMI z-score [β = 5 0.10, 95% CI =0.01-0.20] | Jacobson et al. [32] (2019, United States) |
| Cross-sectional/- n = 212 and 181 children (age 8 and 12 years, respectively) | BPS: 0.4/- at age 8 years | Each 10-fold increment in BPS UC at age 8 years: ↑ Body fat (%) modestly; [β = 1.1, 95% CI = −0.6–2.7] Girls at age 8 years: ↑ Waist circumference; [β = 1.4, 95% CI = −1.6–4.5] | Gajjar et al. [33] (2022, United States) |
| Cross-sectional/- n = 3777 adults (age ≥ 19 years) | BPS: 0.03/55.2 BPF: 0.11/44.1 | Comparing the highest with the lowest tertiles of BPS exposure: ↑ Obesity risk in males; [OR 2.12, 95% CI = 1.07–4.21, p < 0.032] Each increment in BPS tertiles: ↑ Diabetes risk by 1.5 times in males; [OR 1.50, 95% CI =1.11–2.01, p = 0.009] BPF had no association with the diabetes risk | Moon et al. [34] (2022, Korea) |
| Case–control/- n = 251 T2D adults (age ≥ 19 years) | BPS: -/68.1 BPF: -/26.3 | Each increment in log units of BPS UC: ↑ Risk of T2D; [OR 1.46, 95% CI = 1.22–1.74, p < 0.001] | Duan et al. [35] (2018, China) |
| Case–cohort/9 years n = 755 adults (age 30–65 years) | BPS: 0.18/- BPF: -/- | With BPS exposure: ↑ T2D risk; (stronger in females than in males), females [HR 4.23, 95% CI = 1.69–10.63] vs. males [HR 1.76, 95% CI = 0.93–3.33] (p = 0:09) | Rancière et al. [36] (2019, France) |
| Prospective cohort/ n = 1841 pregnant women (gestational age < 16 weeks) | BPS: 0.3/90.06 BPF: 1.74/94.72 | With the increase in BPS detection rate: ↑ FPG + 1 h PPG; stronger in women carrying a female fetus [p < 0.05 for FPG and < 0.01 for 1 h PPG] | Zhang et al. [37] (2019, China) |
| Model System | BPs Exposure System/ | Main Outcomes | Reference |
|---|---|---|---|
| Dose/Period | |||
| Male rats | Oral administration by gavage BPS (30, 60, and 120 mg·kg−1 BW)/daily for 30 days | ↑ Serum glucose ↑ Total cholesterol, triglyceride, glycerol-free triglyceride, and LDL ↓ HDL | [38] |
| Male rats | Administered with drinking water BPA or BPS (0.05 mg·kg−1 BW)/38 weeks | ↑ BW by 14% after 32 weeks ↑ Triglycerides ↑ Blood glucose No effects with BPA | [39] |
| Female mice | Oral administration by gavage BPS (0.5, 5, and 50 mg·kg−1 BW)/daily for 2 weeks | BPS at 5 mg·kg−1 BW dose: ↑ BW by 31% ± 4% ↑ Visceral fat formation (emerged more with BPS exposure but not with BPA) BPS at 50 mg·kg−1 BW dose: ↑ ALT and AST | [40] |
| Zebrafish | Diluted in water (refreshed daily) BPS (1, 10, and 100 µg·L−1)/15 days | ↑ Visceral fat accumulation ↑ Triacylglycerol | [41] |
| Zebrafish | Diluted in water (refreshed daily) BPS (1, 10, 100, and 1000 µg·L−1)/120 days | In males: ↑ FFA, triacylglycerol, total cholesterol, and LDL ↑ Fat accumulation in the liver In females: ↑ FFA emerged with (1000 µg·L−1) | [42] |
| Adipose hASCs | BPs solution added to media BPS or BPF (0.01, 0.1, 1, 10, and 25 μM)/14 days | ↑ Lipid accumulation ↑ Adipogenesis | [43] |
| Murine 3T3-L1 preadipocytes | BPs solution added to media (replaced and refreshed every 2 days) BPA or BPS (0.01–50 μM)/6 days | ↑ Lipid accumulation ↑ Upregulation of adipogenic genes expression (emerged more in BPS than BPA) | [44] |
| Murine 3T3-L1 preadipocytes | BPs solution added to media (replaced and refreshed every other day) BPA, BPS, or BPF (10 nM)/12 days | ↑ Lipid accumulation with BPS, followed by BPA BPF had the least impact | [45] |
| Male mice | Administered with chow BPF (0, 0.5, 5, and 50 mg·kg−1 chow ≈ 0.044, 0.44, and 4.4 mg·kg−1 BW)/daily for 12 weeks | Mice gained less weight than controls No effects on glucose levels or glucose tolerance | [45] |
| Male rats | Oral administration by gavage BPS (0.05, 0.5, and 5 mg·kg−1 BW)/daily for 90 days | With median and high doses: ↑ Blood glucose ↓ Insulin response ↑ Disturbances in glycolysis and gluconeogenesis | [29] |
| Male zebrafish | Diluted in water (refreshed daily) BPS (1 and 10 μg·L−1)/28 days | ↑ FBG ↓ Insulin levels | [46] |
| HFD-induced male mice | Oral administration by gavage to dams BPS (0.1 mg·kg−1 BW)/daily from gestational day 7 to postnatal day 21 | Compared to HFD-induced offspring of dams not exposed to BPS: ↑ BW ↑ Triglycerides and total cholesterol ↑ Lipid accumulation in liver tissues and epididymal white adipose tissues | [47] |
| HFD-induced male mice | Administered with drinking water of dams BPS (0.05, 0.5, 5, and 50 mg·kg−1 BW)/daily from gestation day 9 until delivery | ↑ Adipocytes size in gonadal white adipose tissue of offspring (gonadal adipocyte hypertrophy) | [48] |
Publisher’s Note: MDPI stays neutral with regard to jurisdictional claims in published maps and institutional affiliations. |
© 2022 by the authors. Licensee MDPI, Basel, Switzerland. This article is an open access article distributed under the terms and conditions of the Creative Commons Attribution (CC BY) license (https://creativecommons.org/licenses/by/4.0/).
Share and Cite
Alharbi, H.F.; Algonaiman, R.; Alduwayghiri, R.; Aljutaily, T.; Algheshairy, R.M.; Almutairi, A.S.; Alharbi, R.M.; Alfurayh, L.A.; Alshahwan, A.A.; Alsadun, A.F.; et al. Exposure to Bisphenol A Substitutes, Bisphenol S and Bisphenol F, and Its Association with Developing Obesity and Diabetes Mellitus: A Narrative Review. Int. J. Environ. Res. Public Health 2022, 19, 15918. https://doi.org/10.3390/ijerph192315918
Alharbi HF, Algonaiman R, Alduwayghiri R, Aljutaily T, Algheshairy RM, Almutairi AS, Alharbi RM, Alfurayh LA, Alshahwan AA, Alsadun AF, et al. Exposure to Bisphenol A Substitutes, Bisphenol S and Bisphenol F, and Its Association with Developing Obesity and Diabetes Mellitus: A Narrative Review. International Journal of Environmental Research and Public Health. 2022; 19(23):15918. https://doi.org/10.3390/ijerph192315918
Chicago/Turabian StyleAlharbi, Hend F., Raya Algonaiman, Rana Alduwayghiri, Thamer Aljutaily, Reham M. Algheshairy, Abdulkarim S. Almutairi, Razan M. Alharbi, Leena A. Alfurayh, Amjad A. Alshahwan, Amjad F. Alsadun, and et al. 2022. "Exposure to Bisphenol A Substitutes, Bisphenol S and Bisphenol F, and Its Association with Developing Obesity and Diabetes Mellitus: A Narrative Review" International Journal of Environmental Research and Public Health 19, no. 23: 15918. https://doi.org/10.3390/ijerph192315918
APA StyleAlharbi, H. F., Algonaiman, R., Alduwayghiri, R., Aljutaily, T., Algheshairy, R. M., Almutairi, A. S., Alharbi, R. M., Alfurayh, L. A., Alshahwan, A. A., Alsadun, A. F., & Barakat, H. (2022). Exposure to Bisphenol A Substitutes, Bisphenol S and Bisphenol F, and Its Association with Developing Obesity and Diabetes Mellitus: A Narrative Review. International Journal of Environmental Research and Public Health, 19(23), 15918. https://doi.org/10.3390/ijerph192315918

