Sign in to use this feature.

Years

Between: -

Subjects

remove_circle_outline
remove_circle_outline
remove_circle_outline
remove_circle_outline
remove_circle_outline
remove_circle_outline
remove_circle_outline
remove_circle_outline
remove_circle_outline

Journals

remove_circle_outline
remove_circle_outline
remove_circle_outline
remove_circle_outline
remove_circle_outline
remove_circle_outline
remove_circle_outline
remove_circle_outline
remove_circle_outline
remove_circle_outline
remove_circle_outline
remove_circle_outline

Article Types

Countries / Regions

remove_circle_outline
remove_circle_outline
remove_circle_outline
remove_circle_outline
remove_circle_outline
remove_circle_outline

Search Results (1,377)

Search Parameters:
Keywords = urban fragmentation

Order results
Result details
Results per page
Select all
Export citation of selected articles as:
18 pages, 7882 KB  
Article
Denoising of Binary Built-Up Maps Using Multi-Temporal Image Processing Thresholding
by Sarah J. Becker and Nicole M. Wayant
Land 2026, 15(2), 271; https://doi.org/10.3390/land15020271 - 6 Feb 2026
Abstract
Accurate identification of built-up land from remotely sensed imagery is essential for urban planning, environmental monitoring, and disaster response. However, binary built-up maps derived from single-date classifications often contain semantic noise—misclassified pixels resulting from shadows, bare soil confusion, or seasonal conditions. Common denoising [...] Read more.
Accurate identification of built-up land from remotely sensed imagery is essential for urban planning, environmental monitoring, and disaster response. However, binary built-up maps derived from single-date classifications often contain semantic noise—misclassified pixels resulting from shadows, bare soil confusion, or seasonal conditions. Common denoising methodologies, such as smoothing or filtering, are designed for continuous imagery and can distort small or fragmented features and fail to correct underlying classification errors. To overcome these limitations, this study evaluated a multi-date summation and thresholding workflow as a denoising alternative. Five Sentinel-2 images per site were classified as built-up maps, summed into a composite “built-up frequency” raster, and thresholded using Otsu, adaptive, and voting methods to produce refined binary maps. The results across nine international study sites show that the Otsu thresholding method outperformed the other methods in most locations when comparing their accuracies using the Matthews Correlation Coefficient (MCC), showing that using multiple images can improve identification of built-up land. Full article
Show Figures

Figure 1

34 pages, 2581 KB  
Article
Enablers and Obstacles in Integrated Water Resources Management (IWRM) Implementation and Their Contributions to Sustainable Territorial Development
by Armando Gallegos, Neil S. Grigg and Wendy Llano
Land 2026, 15(2), 270; https://doi.org/10.3390/land15020270 - 5 Feb 2026
Abstract
Advancing Integrated Water Resources Management (IWRM) is essential for integrating land and water strategies and ensuring access to safe and secure water services. Yet, assessing the quality of IWRM implementation remains a persistent challenge for policy and practice. This study presents the first [...] Read more.
Advancing Integrated Water Resources Management (IWRM) is essential for integrating land and water strategies and ensuring access to safe and secure water services. Yet, assessing the quality of IWRM implementation remains a persistent challenge for policy and practice. This study presents the first systematic review of 375 empirical articles to consolidate evidence on how enablers and obstacles shape IWRM’s effectiveness in advancing Sustainable Territorial Development (S-TD). Following PRISMA guidelines and combining bibliometric and qualitative coding procedures, we identify ten categories of enablers and eleven categories of obstacles. Results show that institutional strengthening, stakeholder participation, and technological innovation are the most frequent enablers, while fragmentation, coordination challenges, and financial limitations are the most prevalent obstacles. Beyond frequency patterns, this review highlights that outcomes depend on the configurations and interactions of these factors, which condition IWRM’s capacity to steer sustainable development trajectories in the territory. By comparing enablers and obstacles across nexus sectors (food, energy, land) and geographic scales (sub-basin, basin, transboundary, urban, national), we delineate scale- and sector-sensitive pathways linking IWRM to S-TD. To support further research, we provide an open-access dataset as a unique resource for replication, comparative analysis, and policy design, enabling evidence-based decision-making toward sustainability and resilience across diverse geographical and institutional contexts. Full article
Show Figures

Graphical abstract

12 pages, 502 KB  
Review
Regional Inequities in Mammography Access and Utilization in Latin America: Ethnic, Rural, and Structural Barriers Identified Through a Narrative Review
by Nina Méndez-Domínguez, Mariana Jaqueline Arce Medina, Maricela Balam Gomez, Marco Esteban Morales Rojas and Esmeralda Novelo Moreno
Epidemiologia 2026, 7(1), 25; https://doi.org/10.3390/epidemiologia7010025 - 5 Feb 2026
Abstract
Background: Breast cancer remains a leading cause of morbidity and mortality among women in Latin America. Mammography is the most effective population-based tool for early detection; however, its impact is limited by persistent social, geographic, and structural inequities. Evidence from the region indicates [...] Read more.
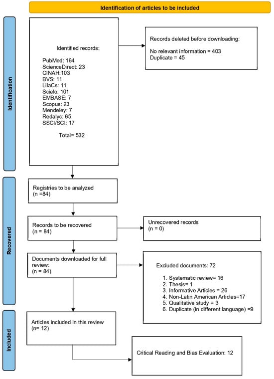
Background: Breast cancer remains a leading cause of morbidity and mortality among women in Latin America. Mammography is the most effective population-based tool for early detection; however, its impact is limited by persistent social, geographic, and structural inequities. Evidence from the region indicates that ethnicity, rural residence, and health system organization play a central role in shaping unequal access to screening services. Methods: We conducted a narrative review informed by a systematic search strategy, following PRISMA 2020 recommendations. Searches were performed in 17 international and regional databases in English and Spanish, covering publications from 2015 to 2025. Eligible studies included non-interventional quantitative designs reporting mammography access, utilization, or coverage among women residing in Latin American countries. Three reviewers independently screened records, extracted data, and classified determinants of inequality into sociodemographic, geographic, and health-system domains. Results: Of 532 records identified, 12 studies met the inclusion criteria, primarily from Mexico, Brazil, Peru, and Chile. Most analyses were based on nationally representative surveys. Mammography coverage ranged from approximately 20% to 60%, with consistently lower uptake among Indigenous women, rural populations, and women without health insurance. Reduced screening was associated with low educational attainment, socioeconomic disadvantages, rural residence, ethnic self-identification, and fragmented health system affiliation. Structural barriers, including concentration of diagnostic infrastructure in urban areas, reliance on opportunistic screening models, and limited capacity for systematic follow-up, were recurrent across countries. Conclusions: Inequities in mammography access and utilization in Latin America reflect deeply rooted social and structural determinants rather than a lack of screening technology alone. Reducing preventable breast cancer mortality requires strengthening organized, population-based screening programs, decentralizing diagnostic services, improving continuity of care, and implementing culturally appropriate strategies tailored to Indigenous, rural, and uninsured populations. Full article
Show Figures

Figure 1

18 pages, 13480 KB  
Article
Assessing Ecological Security Pattern by Integrating Multiple Risks in the Structure–Process–Function Framework: A Case Study from Heilongjiang Province, China
by Dehui Meng, Yuanxiang Wu, Mingfeng Zhang, Youcheng Pan, Tingting Li, Hao Zhang and Haochen Li
Land 2026, 15(2), 259; https://doi.org/10.3390/land15020259 - 3 Feb 2026
Viewed by 84
Abstract
Ecological security is fundamental to human survival and sustainable development. However, current assessment frameworks often lack regional adaptability. They also frequently overlook the security risks associated with landscape patterns. To address these gaps, this study establishes a “structure–process–function” framework that integrates potential ecological [...] Read more.
Ecological security is fundamental to human survival and sustainable development. However, current assessment frameworks often lack regional adaptability. They also frequently overlook the security risks associated with landscape patterns. To address these gaps, this study establishes a “structure–process–function” framework that integrates potential ecological risks. Using Heilongjiang Province as a case study, we assessed the spatiotemporal evolution of its ecological security pattern. The results indicate that: (1) The average ecological security pattern index (ESPI) values for Heilongjiang in 2000, 2010, and 2020 were 0.6869, 0.6573, and 0.6752, respectively. This trend exhibits an initial decline followed by partial recovery, with unsafe areas distributed sporadically. (2) The spatial pattern remained relatively stable but showed significant regional heterogeneity. Yichun City achieved the highest security level, while insecure areas were primarily concentrated in Daqing City. (3) Regarding specific dimensions, habitat fragmentation (structural security) was prevalent in central agricultural and urban areas; soil erosion (process security) remained significant in the southeastern regions, despite overall stability; and ecosystem services (functional security) followed a “degradation–adjustment–recovery” trend from 2000 to 2020. This framework effectively achieves the coupled assessment of landscape patterns and ecological security, providing scientific support for regional ecological management. Full article
(This article belongs to the Section Landscape Ecology)
Show Figures

Figure 1

24 pages, 4571 KB  
Article
Application and Assessment of a CA-ANN Model for Land Use Change Simulation and Multi-Temporal Prediction in Guiyang City, China
by Lanjun Hu, Xiaoqi Duan and Jianhao Liu
Sustainability 2026, 18(3), 1518; https://doi.org/10.3390/su18031518 - 3 Feb 2026
Viewed by 92
Abstract
Land use and land cover change (LULC) is a critical catalyst for global climate patterns, environmental conditions, and ecological dynamics. Remote sensing and geographic information system (GIS) methods have accelerated research on the impacts and variability of climate change. In ecologically sensitive karst [...] Read more.
Land use and land cover change (LULC) is a critical catalyst for global climate patterns, environmental conditions, and ecological dynamics. Remote sensing and geographic information system (GIS) methods have accelerated research on the impacts and variability of climate change. In ecologically sensitive karst regions, LULC poses significant challenges to sustainable urbanization. As a representative karst mountain city in China, Guiyang has undergone rapid spatial transformation, yet quantitative studies on its long-term LULC trajectories within an integrated spatial modeling framework remain insufficient. This study analyzed LULC dynamics in Guiyang from 2007 to 2022 and projected changes for 2027, 2032, 2037, and 2042. Using the CA-ANN model within the QGIS MOLUSCE plugin, we calibrated the model with multi-temporal LULC data and nine spatial drivers, including topographic, proximity, and socioeconomic factors. The model structure was optimized through iterative testing, resulting in a final configuration of 8 hidden layers and 500 iterations. This setup achieved high validation accuracy during training, with a hindcast simulation overall accuracy of 84.42% and a Kappa coefficient of 0.73 for simulating the 2022 land cover. Future projections indicate that impervious surfaces will continue to expand in a spatially constrained manner, reaching 332.82 km2 by 2042, while shrubland area will sharply decrease to 10.75 km2. Cultivated land and forest areas show relative stability with fluctuations. The projected patterns may exacerbate risks associated with surface runoff and ecological fragmentation due to established linkages between land use/cover change and ecosystem services. Through spatially explicit, multi-temporal scenario simulations, the findings underscore the urgent need in Guiyang’s unique karst setting to deeply integrate land-use planning with ecological conservation strategies, so as to strengthen regional ecological resilience. Full article
(This article belongs to the Section Environmental Sustainability and Applications)
Show Figures

Figure 1

26 pages, 12428 KB  
Article
Everyday Streets, Everyday Spatial Justice: A Bottom-Up Approach to Urbanism in Belfast
by Agustina Martire, Aoife McGee and Aisling Madden
Architecture 2026, 6(1), 22; https://doi.org/10.3390/architecture6010022 - 2 Feb 2026
Viewed by 79
Abstract
This article examines how everyday architecture can advance spatial justice in post-active conflict cities through ethnographic and participatory design. Drawing on a decade of work by the StreetSpace studio in Belfast (2015–2025), the paper explores how architecture students and community participants co-design spatial [...] Read more.
This article examines how everyday architecture can advance spatial justice in post-active conflict cities through ethnographic and participatory design. Drawing on a decade of work by the StreetSpace studio in Belfast (2015–2025), the paper explores how architecture students and community participants co-design spatial strategies that enhance mixed-use mid-density living, inclusive mobility, and street-level accessibility. In a context where car dominance, segregation, and privatisation of public space continue to fragment urban life, the everyday street becomes a testbed for envisioning an equitable and community-centred city. The studio’s methodology is grounded in ethnographic engagement, informed by an embedded anthropologist, and includes stakeholder mapping, walking workshops, and collaborative drawing. These practices reveal lived experiences and shape community-driven briefs for housing, schools, public spaces, and multifunctional infrastructure. Anchored in spatial justice discourse and feminist theory (Jane Jacobs, David Harvey, Roberto Rocco, Phil Hubbard, Leslie Kern, and Caroline Criado Perez), the work positions the everyday as a site of architectural agency and proposes a contemporary vernacular that is socially embedded and climate-resilient. This work unfolds through complex and often contested processes that require sustained, iterative engagement with people and places. Meaningful collaboration is neither linear nor inherently caring; it frequently involves conflict, disagreement, and competing priorities that must be navigated over time. Through long-term relationships with government departments, local authorities, and NGOs, StreetSpace demonstrates how architectural pedagogy can nonetheless contribute to policy formation and more inclusive urban redevelopment by engaging in compromise, critical negotiation, and moments of care alongside friction and resistance. Through a series of collaborations and public events the project has contributed to the transformation of Botanic Avenue, informed studies of the East Belfast Greenways through contributions to Groundswell and participated in embedded public processes in collaboration with PPR, culminating in an exhibition at the MAC in Belfast in 2025. Full article
(This article belongs to the Special Issue Architecture of Compromise: Everyday Architecture for the Polycrisis)
Show Figures

Figure 1

22 pages, 2126 KB  
Article
Relationships Between Urban Green Innovation Network Structure Characteristics and Synergistic Efficiency of Pollution and Carbon Emission Reduction in Three Provinces in Northeastern China
by Junyang Sun, Xiuting Cai and Qian Zhao
Sustainability 2026, 18(3), 1438; https://doi.org/10.3390/su18031438 - 1 Feb 2026
Viewed by 86
Abstract
Under the dual context of economic transformation and carbon peak and neutrality goals in Northeast China’s three provinces, old industrial bases in these regions are facing challenges such as fragmented green innovation resources and imbalanced cooperation, which constrain coordinated pollution and carbon reduction. [...] Read more.
Under the dual context of economic transformation and carbon peak and neutrality goals in Northeast China’s three provinces, old industrial bases in these regions are facing challenges such as fragmented green innovation resources and imbalanced cooperation, which constrain coordinated pollution and carbon reduction. This paper examines the mechanism between the urban green innovation network structure and synergistic pollution–carbon reduction efficiency in the region. Based on panel data from 34 prefecture-level cities (2013–2022), this paper employs social network analysis to characterize the green innovation network, a super-efficient SBM model to evaluate synergistic pollution–carbon reduction efficiency, and the Haken model to reveal the dynamic evolution mechanism. Results show that the green innovation network is fragmented and uneven, with significant efficiency disparities between the Central–Southern Liaoning and Harbin–Changchun urban agglomerations. A multi-core radiating network centered on Shenyang, Dalian, and Changchun has begun to form, alongside a rise in synergistic efficiency from 0.56 to 0.82. Further analysis identifies a mutually reinforcing mechanism: the green innovation network enhances synergistic efficiency mainly by increasing network density, while synergistic efficiency promotes the network by strengthening centrality. The findings provide pathways for Northeast China to achieve coordinated pollution control and carbon reduction through optimizing innovation networks. Full article
Show Figures

Figure 1

25 pages, 1383 KB  
Article
Diagnosis of Multiscalar Prospective Planning in Santa Marta: Gaps and Opportunities for Coastal-Marine Governance
by Zully David Hoyos, Seweryn Zielinski and Celene Milanes Batista
Water 2026, 18(3), 359; https://doi.org/10.3390/w18030359 - 30 Jan 2026
Viewed by 275
Abstract
Land-use planning in Latin American coastal cities faces the challenge of integrating visions of the future with multiscale approaches amid high socio-environmental pressure. Using a mixed methodology that included documentary and comparative analysis of regulatory and planning instruments, workshops with experts, and evaluation [...] Read more.
Land-use planning in Latin American coastal cities faces the challenge of integrating visions of the future with multiscale approaches amid high socio-environmental pressure. Using a mixed methodology that included documentary and comparative analysis of regulatory and planning instruments, workshops with experts, and evaluation matrices, this article analyzes the prospective and multiscale capabilities of the 2020–2032 Land Use Plan for the district of Santa Marta. This study provides a methodological and applied novelty by integrating, for the first time in this context, a dual analytical framework that simultaneously assesses the quality of the prospective dimension and the degree of multi-scalar articulation in coastal spatial planning. The study area is a strategic coastal territory exposed to environmental, urban, and socio-ecological pressures. The results reveal limitations in integrating future scenarios, polycentric governance, and adaptive coastal management, as well as a weak prospective approach limited to short time horizons, without constructed scenarios or early warning systems. At the same time, there is fragmented multiscale coordination between the local, regional, and national levels. These limitations partly explain the socio-environmental conflicts identified, particularly at the land-sea interface, where there is an apparent disconnect between urban planning and coastal management. On the other hand, significant progress has been made in the biophysical and social characterization of the territory. Our analysis generated specific knowledge for fast-growing intermediate cities, a critical type of coastal settlement, but less studied than large metropolises. The study provides a replicable framework for other seaside towns in the region. The study concludes that overcoming these gaps requires systematically incorporating forward-looking instruments and strengthening multilevel governance mechanisms. To this end, it summarizes lessons learned for more adaptive, resilient territorial planning in coastal contexts. Full article
(This article belongs to the Special Issue Coastal and Marine Governance and Protection, 2nd Edition)
Show Figures

Figure 1

17 pages, 3057 KB  
Article
Assessing the Utility of Satellite Embedding Features for Biomass Prediction in Subtropical Forests with Machine Learning
by Chao Jin, Xiaodong Jiang, Lina Wen, Chuping Wu, Xia Xu and Jiejie Jiao
Remote Sens. 2026, 18(3), 436; https://doi.org/10.3390/rs18030436 - 30 Jan 2026
Viewed by 198
Abstract
Spatial predictions of forest biomass at regional scale in forests are critical to evaluate the effects of management practices across environmental gradients. Although multi-source remote sensing combined with machine learning has been widely applied to estimate forest biomass, these approaches often rely on [...] Read more.
Spatial predictions of forest biomass at regional scale in forests are critical to evaluate the effects of management practices across environmental gradients. Although multi-source remote sensing combined with machine learning has been widely applied to estimate forest biomass, these approaches often rely on complex data acquisition and processing workflows that limit their scalability for large-area assessments. To improve the efficiency, this study evaluates the potential of annual multi-sensor satellite embeddings derived from the AlphaEarth Foundations model for forest biomass prediction. Using field inventory data from 89 forest plots at the Yunhe Forestry Station in Zhejiang Province, China, we assessed and compared the performance of four machine learning algorithms: Random Forest (RF), Support Vector Regression (SVR), Multi-Layer Perceptron Neural Networks (MLPNN), and Gaussian Process Regression (GPR). Model evaluation was conducted using repeated 5-fold cross-validation. The results show that SVR achieved the highest predictive accuracy in broad-leaved and mixed forests, whereas RF performed best in coniferous forests. When all forest types were modeled together, predictive performance was consistently limited across algorithms, indicating substantial heterogeneity (e.g., structure, environment, and topography) among forest types. Spatial prediction maps across Yunhe Forestry Station revealed ecologically coherent patterns, with higher biomass values concentrated in intact forests with less human disturbance and lower biomass primarily occurring in fragmented forests and near urban regions. Overall, this study highlights the potential of embedding-based remote sensing for regional forest biomass estimation and suggests its utility for large-scale forest monitoring and management. Full article
Show Figures

Graphical abstract

19 pages, 1308 KB  
Article
Barriers to the Commercialization of Construction and Demolition Waste in Brazil, Evidence to Advance Urban Circular Economy Practices
by Nehemias Anastácio Santos da Silva, Rosane Aparecida Gomes Battistelle and Barbara Stolte Bezerra
Sustainability 2026, 18(3), 1387; https://doi.org/10.3390/su18031387 - 30 Jan 2026
Viewed by 142
Abstract
Among Construction and demolition waste (CDW) has become a persistent challenge for urban sustainability, particularly in developing countries where institutional capacity and market coordination remain limited. While the reuse of CDW is widely recognized as technically feasible, its commercialization continues to face underlying [...] Read more.
Among Construction and demolition waste (CDW) has become a persistent challenge for urban sustainability, particularly in developing countries where institutional capacity and market coordination remain limited. While the reuse of CDW is widely recognized as technically feasible, its commercialization continues to face underlying obstacles. This research examines the factors limiting the consolidation of the CDW market in Maceió, Northeast Brazil, a city that recently experienced a large-scale geotechnical disaster and a sudden increase in CDW generation. The analysis is guided by the question: Which factors most strongly constrain the development of the CDW market in Maceió, and how do they interact? A mixed-methods design was adopted, combining survey data analyzed through the Relative Importance Index (RII), descriptive statistics, and ANOVA with semi-structured interviews involving professionals from construction, waste management, and public agencies. The results reveal five interconnected groups of barriers. The most influential are the absence of effective public policies (RII = 0.89), lack of fiscal incentives for recycling (RII = 0.88), fragmented legislation (RII = 0.87), and the systematic devaluation of recycled materials (RII = 0.85). Environmental constraints linked to land subsidence (RII = 0.90) further intensify market instability. Together, these findings show that CDW commercialization is shaped by interacting regulatory, economic, and cultural factors, underscoring the need for coordinated policy, fiscal, and governance responses in vulnerable urban contexts. Full article
(This article belongs to the Section Sustainable Urban and Rural Development)
Show Figures

Figure 1

33 pages, 3575 KB  
Article
Linking Building Conditions and Household Realities for Neighborhood-Scale Residential Energy Renovation
by Guirec Ruellan, Valentine Lalé and Shady Attia
Sustainability 2026, 18(3), 1370; https://doi.org/10.3390/su18031370 - 30 Jan 2026
Viewed by 124
Abstract
Residential energy renovation remains a central pillar of climate mitigation and social sustainability strategies, yet renovation rates persistently lag behind policy targets, particularly in older urban neighborhoods. This study investigates the underlying causes of renovation inertia using a neighborhood-scale mixed-methods approach that combines [...] Read more.
Residential energy renovation remains a central pillar of climate mitigation and social sustainability strategies, yet renovation rates persistently lag behind policy targets, particularly in older urban neighborhoods. This study investigates the underlying causes of renovation inertia using a neighborhood-scale mixed-methods approach that combines door-to-door household surveys, façade infrared thermography, and expert focus groups. Using a post-industrial residential district in Liège, Belgium, as an exploratory case, the study jointly analyzes building conditions, household characteristics, and renovation contexts. The results reveal that renovation failure cannot be explained solely by technical deficiencies. Instead, three interacting socio-technical mechanisms emerge: adaptive occupant behaviors that mask poor building performance, a constrained renovation agency shaped by tenure and income asymmetries, and the stratification of energy awareness along social lines. Together, these mechanisms reinforce a form of renovation lock-in in which technical degradation, behavioral adaptation, and institutional fragmentation mutually sustain inaction. By integrating physical diagnostics with social and experiential data, the study explains why conventional incentive-based renovation policies systematically underperform in comparable urban contexts. Rather than treating energy renovation as a purely technical or economic decision, the findings highlight the need for policy instruments that explicitly address agency constraints, behavioral compensation, and unequal exposure to energy-related risks. The proposed mixed-method framework is transferable to other urban neighborhoods and offers a replicable approach for diagnosing renovation barriers, supporting more socially sustainable energy transition strategies. Full article
(This article belongs to the Section Green Building)
Show Figures

Figure 1

29 pages, 4418 KB  
Article
Reimagining Closed Open Spaces (COSs): A Multiscalar Landscape Approach to Urban Integration Through Hybrid Open Spaces (HOSs)
by Úrsula Hernández Vélez and Raquel Tardin-Coelho
Architecture 2026, 6(1), 18; https://doi.org/10.3390/architecture6010018 - 28 Jan 2026
Viewed by 182
Abstract
In many Latin American cities, rapid densification, shrinking public land reserves, and growing spatial, social and biophysical fragmentation have heightened the urban significance of large, private, closed open spaces (COSs). COS, marked by restricted access and social homogeneity, operate as capsular urban models [...] Read more.
In many Latin American cities, rapid densification, shrinking public land reserves, and growing spatial, social and biophysical fragmentation have heightened the urban significance of large, private, closed open spaces (COSs). COS, marked by restricted access and social homogeneity, operate as capsular urban models that limit socio-environmental integration, urban continuity and resilience. Far from being mere enclaves, the reconfiguration of COS emerges as a critical response to contemporary urban challenges with the capacity to reshape urban structures by generating new social and spatial connectivities. This article examines the transformation of COSs in urban contexts, such as golf clubs, into accessible public landscapes as hybrid open spaces (HOSs), a topic that remains underexplored internationally. For that, this research proposes a design-oriented, multiscalar framework (city and zonal/local) that integrates open and closed spatial programs within the wider urban open space system. Considering urban, biophysical, and sociocultural dynamics, and drawing on the concepts of accessibility, connectivity, diversity, and flexibility, the study develops guidelines and design strategies for hybridising private and public recreational and environmental uses to strengthen urban integration. Using El Rodeo Gold Club in Medellín as a case study, the work contributes to landscape architecture by advancing the transformation of underutilised COS into inclusive, multifunctional HOS, positioning COS as a strategic asset for sustainable urban environments. The framework can be replicable in other similar contexts. Full article
(This article belongs to the Special Issue Advancing Resilience in Architecture, Urban Design and Planning)
30 pages, 6968 KB  
Article
Enhancing Urban Air Quality Resilience Through Nature-Based Solutions: Evidence from Green Spaces in Bangkok
by Aye Pyae Pyae Aung, Kim Neil Irvine, Alisa Sahavacharin, Fa Likitswat, Jitiporn Wongwatcharapaiboon, Adrian Lo and Detchphol Chitwatkulsiri
Architecture 2026, 6(1), 16; https://doi.org/10.3390/architecture6010016 - 28 Jan 2026
Viewed by 153
Abstract
Rapid urbanization and persistent air pollution threaten the functional resilience of megacities in Southeast Asia, particularly Bangkok, where PM2.5 concentrations consistently exceed World Health Organization (WHO) guidelines. To strengthen urban adaptive capacity, this study investigates the role of Nature-based Solutions (NbS), particularly [...] Read more.
Rapid urbanization and persistent air pollution threaten the functional resilience of megacities in Southeast Asia, particularly Bangkok, where PM2.5 concentrations consistently exceed World Health Organization (WHO) guidelines. To strengthen urban adaptive capacity, this study investigates the role of Nature-based Solutions (NbS), particularly urban green spaces, as resilience-oriented infrastructure for air quality management. Using data from 32 monitoring stations across the Bangkok Metropolitan Administration (BMA) and surrounding areas from 2021 to 2023, spatial and temporal trends in PM2.5 concentrations were analyzed through geostatistical modeling and inferential statistics. Although all sites exceeded the WHO PM2.5 guideline of 5 µg/m3, larger and more connected green spaces consistently exhibited better air-quality than the surrounding non-green urban mosaic. Areas with extensive vegetation, greater canopy cover, and more compact park geometries (lower perimeter-to-area ratios) demonstrated improved pollution attenuation capacity, while fragmented parks are more exposed to surrounding emissions. Integration of Local Climate Zone (LCZ) classification further indicated that compact high-rise zones and high-traffic corridors exhibited higher PM2.5 levels due to reduced airflow and structural confinement. The study underscores the need to embed NbS within resilience-based urban planning to promote long-term environmental stability and public health recovery in rapidly urbanizing megacities like Bangkok. Full article
(This article belongs to the Special Issue Sustainable Built Environments and Human Wellbeing, 2nd Edition)
Show Figures

Figure 1

22 pages, 630 KB  
Review
Disconnected Lives: Social Networks and Emotional Regulation in Domestic Dogs
by Agnieszka Grynkiewicz, Anna Reinholz and Kamil Imbir
Animals 2026, 16(3), 398; https://doi.org/10.3390/ani16030398 - 27 Jan 2026
Viewed by 367
Abstract
Dogs are deeply social, built to stay in touch with others of their kind. In cities, though, most now live as single dogs. Housing rules, work schedules, and constant supervision have constrained their social environment. They still meet other dogs, but the meetings [...] Read more.
Dogs are deeply social, built to stay in touch with others of their kind. In cities, though, most now live as single dogs. Housing rules, work schedules, and constant supervision have constrained their social environment. They still meet other dogs, but the meetings are short, managed, and rarely turn into real bonds. This review tries to pull together what is known about how such limited contact affects canine welfare and emotional balance. The sources come mostly from ethology, psychology, and urban studies, published between 2010 and 2025, and include comparisons between urban pets and free-ranging dogs that still organise their own social lives. Across studies, the pattern is similar: when dogs lose steady companions, they also lose the kind of social buffering that once helped them recover from stress. Over time, this does not always look like distress—more often it shows up as quiet tension, watchfulness, or an overdependence on human cues. The evidence points to social deprivation as a slow, structural welfare issue rather than an occasional problem. Meaningful improvement may therefore require moving beyond control and training alone, toward conditions that allow dogs to form small, stable circles of familiar peers that support lower arousal and more reliable recovery. Full article
(This article belongs to the Section Animal Welfare)
Show Figures

Figure 1

24 pages, 5928 KB  
Article
Can Megacities Repair Ecological Networks? Insights from Shenzhen’s 25-Year Transformation
by Guangying Zhao, Han Wang and Jiren Zhu
Land 2026, 15(2), 216; https://doi.org/10.3390/land15020216 - 27 Jan 2026
Viewed by 272
Abstract
Rapid urbanization is fragmenting ecological spaces in megacities, threatening biodiversity and ecosystem services. Yet, it remains unclear whether, and under what conditions, urban ecological networks (ENs) can recover robustness once heavily disrupted. This study aims to (i) develop a dynamic assessment framework that [...] Read more.
Rapid urbanization is fragmenting ecological spaces in megacities, threatening biodiversity and ecosystem services. Yet, it remains unclear whether, and under what conditions, urban ecological networks (ENs) can recover robustness once heavily disrupted. This study aims to (i) develop a dynamic assessment framework that couples network robustness and connectivity, and (ii) apply it to examine how ENs evolve under sustained urbanization and shifting policy regimes. Using multi-period data for Shenzhen, China (2000–2025), we simulate deliberate and random attacks on patches and corridors to derive data-driven thresholds that grade the importance of ecological elements, and integrate these with graph-based connectivity metrics to track changes in network structure and node centrality over time. Shenzhen’s EN exhibits a typical “fragmentation–reconfiguration–optimization” pathway, with a “rapid decline–deceleration–recovery” trajectory in robustness that closely aligns with the introduction of strict ecological control lines and subsequent restoration initiatives. The results show that targeted protection of residual core habitats, combined with strategic reconnection and infill greening in the urban interior, can reverse earlier losses in network robustness. The proposed robustness-informed framework provides operational guidance for prioritizing protection, restoration, and optimization of ecological space, and offers a transferable approach for adaptive EN planning in high-density tropical and subtropical megacities. Full article
Show Figures

Figure 1

Back to TopTop