Sign in to use this feature.

Years

Between: -

Subjects

remove_circle_outline
remove_circle_outline
remove_circle_outline
remove_circle_outline
remove_circle_outline

Journals

Article Types

Countries / Regions

Search Results (11)

Search Parameters:
Keywords = unknown time-varying control coefficients

Order results
Result details
Results per page
Select all
Export citation of selected articles as:
19 pages, 1059 KB  
Article
Adaptive Sliding Mode Control Incorporating Improved Integral Compensation Mechanism for Vehicle Platoon with Input Delays
by Yunpeng Ding, Yiguang Wang and Xiaojie Li
Sensors 2026, 26(2), 615; https://doi.org/10.3390/s26020615 - 16 Jan 2026
Abstract
This study focuses on investigating the adaptive sliding mode control (SMC) problem for connected vehicles with input delays and unknown time-varying control coefficients. As a result of wear and tear of mechanical components, throttle response lags, and the internal data processing time of [...] Read more.
This study focuses on investigating the adaptive sliding mode control (SMC) problem for connected vehicles with input delays and unknown time-varying control coefficients. As a result of wear and tear of mechanical components, throttle response lags, and the internal data processing time of the controller, input delays widely exist in vehicle actuators. Since input delays may lead to instability of the vehicle platoon, an improved integral compensation mechanism (ICM) with the adjustment factor for input delays is developed to improve the platoon’s robustness. As the actuator efficiency, drive mechanism, and load of the vehicle may change during operation, the control coefficients of vehicle dynamics are usually unknown and time-varying. A novel adaptive updating mechanism utilizing a radial basis function neural network (RBFNN) is designed to deal with the unknown time-varying control coefficients, thereby improving the vehicle platoon’s tracking performance. By integrating the improved ICM and the RBFNN-based adaptive updating mechanism (RBFNN−AUM), an innovative distributed adaptive control scheme using sliding mode techniques is proposed to guarantee that the convergence of state errors to a predefined region and accomplish the vehicle platoon’s control objectives. Comparative numerical results confirm the effectiveness and superiority of the developed control strategy over existing method. Full article
(This article belongs to the Section Vehicular Sensing)
17 pages, 3265 KB  
Article
Energy-Based Surface Classification for Mobile Robots in Known and Unexplored Terrains
by Alexander Belyaev and Oleg Kushnarev
Robotics 2025, 14(9), 130; https://doi.org/10.3390/robotics14090130 - 21 Sep 2025
Cited by 1 | Viewed by 1072
Abstract
Mobile robot navigation in diverse environments is challenging due to varying terrain properties. Underlying surface classification improves robot control and navigation in such conditions. This paper presents an adaptive surface classification system using proprioceptive energy consumption data. We introduce an energy coefficient, calculated [...] Read more.
Mobile robot navigation in diverse environments is challenging due to varying terrain properties. Underlying surface classification improves robot control and navigation in such conditions. This paper presents an adaptive surface classification system using proprioceptive energy consumption data. We introduce an energy coefficient, calculated from motor current and velocity, to quantify motion effort. This coefficient’s dependency on motion direction is modeled for known surface types using discrete cosine transform. A probabilistic classifier, enhanced with memory, compares real-time coefficient values against these models to identify known surfaces. A neural network-based detector identifies encounters with previously unknown terrains by recognizing significant deviations from known models. Upon detection, a least squares method identifies the new surface’s model parameters using data gathered from specific motion directions. Experimental results validate the approach, demonstrating high classification accuracy for known surfaces (91%) and robust detection (96.2%) and identification (MAPE < 3%) of unknown surfaces. Full article
Show Figures

Figure 1

26 pages, 3841 KB  
Article
Discontinuous Control Algorithm for Buck Converter under Time-Varying Load and Input Voltage
by Svetlana A. Krasnova, Sergey Kochetkov and Victor A. Utkin
Machines 2023, 11(9), 890; https://doi.org/10.3390/machines11090890 - 5 Sep 2023
Cited by 2 | Viewed by 1655
Abstract
In this paper, the problem of the output voltage regulation of buck converters is considered. The novelty of the problem statement is that the external electric load and the input voltage of the converter are unknown bounded functions of a certain class. In [...] Read more.
In this paper, the problem of the output voltage regulation of buck converters is considered. The novelty of the problem statement is that the external electric load and the input voltage of the converter are unknown bounded functions of a certain class. In particular, the external load equivalent scheme is similar to the successive connection of the inductive and resistive elements. In this case, the behavior of the load current is described by the differential equation with time-varying coefficients. In this equation, the equivalent inductance and resistance are described by unknown arbitrary bounded functions with several bounded derivatives. Under known bounds for these functions and their derivatives, the initial system can be transformed into the special form with smooth bounded perturbation. This disturbance is an unknown function, and its action channel differs from the input channel. Therefore, the influence on the unknown external load can not be compensated for directly by the control input. Due to this reason, the new control strategy is developed in the paper with the help of a “vortex” algorithm, which provides asymptotic convergence of the regulation error to zero in time. How to choose the converter parameters and the bounds for the input voltage to operate the closed-loop system properly are shown. The convergence proof is organized with the help of the Lyapunov function approach, and the transient rate is also estimated. The simulation results show the efficiency of the designed control law for the wide class of input voltage and electrical parameter functions. The proposed control scheme may be further used in electric drive systems. Full article
Show Figures

Figure 1

17 pages, 6944 KB  
Article
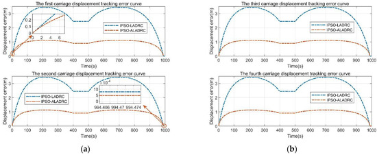
Speed Tracking Control of High-Speed Train Based on Particle Swarm Optimization and Adaptive Linear Active Disturbance Rejection Control
by Jingze Xue, Keyu Zhuang, Tong Zhao, Miao Zhang, Zheng Qiao, Shuai Cui and Yunlong Gao
Appl. Sci. 2022, 12(20), 10558; https://doi.org/10.3390/app122010558 - 19 Oct 2022
Cited by 12 | Viewed by 2474
Abstract
This paper proposes a control scheme combining improved particle swarm optimization (IPSO) and adaptive linear active disturbance rejection control (ALADRC) to solve the high-speed train (HST) speed tracking control problem. Firstly, in order to meet the actual operation of a HST, a multi-mass [...] Read more.
This paper proposes a control scheme combining improved particle swarm optimization (IPSO) and adaptive linear active disturbance rejection control (ALADRC) to solve the high-speed train (HST) speed tracking control problem. Firstly, in order to meet the actual operation of a HST, a multi-mass point dynamic model with time-varying coefficients was established. Secondly, linear active disturbance rejection control (LADRC) was proposed to control the speed of the HST, and the anti-disturbance ability of the system was improved by estimating and compensating for the total disturbance suffered by the carriage during the operation of the HST. Meanwhile, to solve the problem of difficult parameter tuning of the LADRC, IPSO was introduced to optimize the parameters. Thirdly, the adaptive control (APC) was introduced to compensate for the observation error caused by the bandwidth limitation of the linear state expansion observer in LADRC and the tracking error caused by an unknown disturbance during the train’s operation. Additionally, the Lyapunov theory was used to prove the stability of the system. Finally, the simulation results showed that the designed control scheme is more effective in solving the problem of HST speed tracking. Full article
Show Figures

Figure 1

14 pages, 2470 KB  
Article
Task-Space Cooperative Tracking Control for Networked Uncalibrated Multiple Euler–Lagrange Systems
by Zhuoqun Zhao, Jiang Wang and Hui Zhao
Electronics 2022, 11(15), 2449; https://doi.org/10.3390/electronics11152449 - 6 Aug 2022
Cited by 1 | Viewed by 1908
Abstract
Task-space cooperative tracking control of the networked multiple Euler–Lagrange systems is studied in this paper. On the basis of establishing kinematic and dynamic modeling of a Euler–Lagrange system, an innovative task-space coordination controller is designed to deal with the time-varying communicating delays and [...] Read more.
Task-space cooperative tracking control of the networked multiple Euler–Lagrange systems is studied in this paper. On the basis of establishing kinematic and dynamic modeling of a Euler–Lagrange system, an innovative task-space coordination controller is designed to deal with the time-varying communicating delays and uncertainties. First, in order to weaken the influence of the uncertainty of kinematic and dynamic parameters on the control error of the system, the product of the Jacobian matrix and the generalized spatial velocity are linearly parameterized; thus, the unknown parameters are separated from known parameters. The online estimation of uncertain parameters is realized by designing parameters and by proposing new adaptive laws for the dynamic and kinematic parameters. Furthermore, to describe the transmission of time-varying delay errors among networked agents, a new error term is introduced, obtained by adding the observation error and tracking error, and the coefficient of the network mutual coupling term related to the time-varying delay rate is added with reference to the generalized space velocity and task-space velocity of the Lagrange systems. In the end, the influence of the time-varying delay on the cooperative tracking control error of the networked multiple Euler–Lagrange systems is eliminated. With the help of Lyapunov stability theory, the tracking errors and synchronization errors of this system are calculated by introducing the Lyapunov–Krasovskii functional; the asymptotic convergence results rigorously prove the stability of the adaptive cooperative control systems. The simulation results verify the excellent performance of the controller. Full article
(This article belongs to the Special Issue Real-Time Control of Embedded Systems)
Show Figures

Figure 1

16 pages, 4401 KB  
Article
Fully Distributed Control for a Class of Uncertain Multi-Agent Systems with a Directed Topology and Unknown State-Dependent Control Coefficients
by Zongcheng Liu, Hanqiao Huang, Sheng Luo, Wenxing Fu and Qiuni Li
Appl. Sci. 2021, 11(23), 11304; https://doi.org/10.3390/app112311304 - 29 Nov 2021
Cited by 5 | Viewed by 1980
Abstract
To address the control of uncertain multi-agent systems (MAS) with completely unknown system nonlinearities and unknown control coefficients, a global consensus method is proposed by constructing novel filters and barrier function-based distributed controllers. The main contributions are as follows. Firstly, a novel two-order [...] Read more.
To address the control of uncertain multi-agent systems (MAS) with completely unknown system nonlinearities and unknown control coefficients, a global consensus method is proposed by constructing novel filters and barrier function-based distributed controllers. The main contributions are as follows. Firstly, a novel two-order filter is designed for each agent to produce informational estimates from the leader, such that a connectivity matrix is not used in the controller’s design, solving the difficultly caused by the time-varying control coefficients in a MAS with a directed graph. Secondly, combined with the novel filters, barrier functions are used to construct the distributed controller to deal with the completely unknown system nonlinearities, resulting in the global consensus of the MAS. Finally, it is rigorously proved that the consensus of the MAS is achieved while guaranteeing the prescribed tracking-error performance. Two examples are given to verify the effectiveness of the proposed method, in which the simulation results demonstrate the claims. Full article
Show Figures

Figure 1

22 pages, 4989 KB  
Article
Field-of-View Constrained Impact Time Control Guidance via Time-Varying Sliding Mode Control
by Shuai Ma, Xugang Wang and Zhongyuan Wang
Aerospace 2021, 8(9), 251; https://doi.org/10.3390/aerospace8090251 - 6 Sep 2021
Cited by 13 | Viewed by 2965
Abstract
The problem of impact time control guidance with field-of-view constraint is addressed based on time-varying sliding mode control. The kinematic conditions that satisfy the impact time control with field-of-view constraint are defined, and then a novel time-varying sliding surface is constructed to achieve [...] Read more.
The problem of impact time control guidance with field-of-view constraint is addressed based on time-varying sliding mode control. The kinematic conditions that satisfy the impact time control with field-of-view constraint are defined, and then a novel time-varying sliding surface is constructed to achieve the defined conditions. The sliding surface contains two unknown coefficients: one is tuned to achieve the global sliding surface to satisfy the impact time constraint and zero miss distance, and the other is tuned to guarantee the field-of-view constraint. The guidance law is designed to ensure the realization of the global sliding mode. On this basis, the guidance law is modified to a closed-loop structure, and the maximum detection capability of the seeker is utilized to a greater extent. Under the proposed guidance law, neither the small angle assumption nor time-to-go estimation is needed. The guidance command is continuous and converges to 0 at the desired impact time. Simulation results demonstrate the effectiveness and superiority of the proposed guidance law. Full article
(This article belongs to the Section Aeronautics)
Show Figures

Figure 1

16 pages, 4066 KB  
Letter
Quantization-Mitigation-Based Trajectory Control for Euler-Lagrange Systems with Unknown Actuator Dynamics
by Yi Lyu, Qiyu Yang and Patrik Kolaric
Sensors 2020, 20(14), 3974; https://doi.org/10.3390/s20143974 - 17 Jul 2020
Viewed by 2318
Abstract
In this paper, we investigate a trajectory control problem for Euler-Lagrange systems with unknown quantization on the actuator channel. To address such a challenge, we proposed a quantization-mitigation-based trajectory control method, wherein adaptive control is employed to handle the time-varying input coefficients. We [...] Read more.
In this paper, we investigate a trajectory control problem for Euler-Lagrange systems with unknown quantization on the actuator channel. To address such a challenge, we proposed a quantization-mitigation-based trajectory control method, wherein adaptive control is employed to handle the time-varying input coefficients. We allow the quantized signal to pass through unknown actuator dynamics, which results in the coupled actuator dynamics for Euler-Lagrange systems. It is seen that our method is capable of driving the states of networked Euler-Lagrange systems to the desired ones via Lyapunov’s direct method. In addition, the effectiveness and advantage of our method are validated with a comparison to the existing controller. Full article
(This article belongs to the Special Issue Data Analysis for Smart Sensor Systems)
Show Figures

Figure 1

26 pages, 4867 KB  
Article
Adaptive Global Fast Sliding Mode Control for Steer-by-Wire System Road Vehicles
by Junaid Iqbal, Khalil Muhammad Zuhaib, Changsoo Han, Abdul Manan Khan and Mian Ashfaq Ali
Appl. Sci. 2017, 7(7), 738; https://doi.org/10.3390/app7070738 - 19 Jul 2017
Cited by 29 | Viewed by 7147
Abstract
A steer-by-wire (SbW) system, also known as a next-generation steering system, is one of the core elements of autonomous driving technology. Navigating a SbW system road vehicle in varying driving conditions requires an adaptive and robust control scheme to effectively compensate for the [...] Read more.
A steer-by-wire (SbW) system, also known as a next-generation steering system, is one of the core elements of autonomous driving technology. Navigating a SbW system road vehicle in varying driving conditions requires an adaptive and robust control scheme to effectively compensate for the uncertain parameter variations and external disturbances. Therefore, this article proposed an adaptive global fast sliding mode control (AGFSMC) for SbW system vehicles with unknown steering parameters. First, the cooperative adaptive sliding mode observer (ASMO) and Kalman filter (KF) are established to simultaneously estimate the vehicle states and cornering stiffness coefficients. Second, based on the best set of estimated dynamics, the AGFSMC is designed to stabilize the impact of nonlinear tire-road disturbance forces and at the same time to estimate the uncertain SbW system parameters. Due to the robust nature of the proposed scheme, it can not only handle the tire–road variation, but also intelligently adapts to the different driving conditions and ensures that the tracking error and the sliding surface converge asymptotically to zero in a finite time. Finally, simulation results and comparative study with other control techniques validate the excellent performance of the proposed scheme. Full article
Show Figures

Figure 1

11 pages, 1032 KB  
Article
Robust Control for the Segway with Unknown Control Coefficient and Model Uncertainties
by Byung Woo Kim and Bong Seok Park
Sensors 2016, 16(7), 1000; https://doi.org/10.3390/s16071000 - 29 Jun 2016
Cited by 23 | Viewed by 9336
Abstract
The Segway, which is a popular vehicle nowadays, is an uncertain nonlinear system and has an unknown time-varying control coefficient. Thus, we should consider the unknown time-varying control coefficient and model uncertainties to design the controller. Motivated by this observation, we propose a [...] Read more.
The Segway, which is a popular vehicle nowadays, is an uncertain nonlinear system and has an unknown time-varying control coefficient. Thus, we should consider the unknown time-varying control coefficient and model uncertainties to design the controller. Motivated by this observation, we propose a robust control for the Segway with unknown control coefficient and model uncertainties. To deal with the time-varying unknown control coefficient, we employ the Nussbaum gain technique. We introduce an auxiliary variable to solve the underactuated problem. Due to the prescribed performance control technique, the proposed controller does not require the adaptive technique, neural network, and fuzzy logic to compensate the uncertainties. Therefore, it can be simple. From the Lyapunov stability theory, we prove that all signals in the closed-loop system are bounded. Finally, we provide the simulation results to demonstrate the effectiveness of the proposed control scheme. Full article
Show Figures

Figure 1

15 pages, 368 KB  
Article
Model-Free Adaptive Sensing and Control for a Piezoelectrically Actuated System
by Hung-Yi Chen and Jin-Wei Liang
Sensors 2010, 10(12), 10545-10559; https://doi.org/10.3390/s101210545 - 24 Nov 2010
Cited by 6 | Viewed by 7831
Abstract
Since the piezoelectrically actuated system has nonlinear and time-varying behavior, it is difficult to establish an accurate dynamic model for a model-based sensing and control design. Here, a model-free adaptive sliding controller is proposed to improve the small travel and hysteresis defects of [...] Read more.
Since the piezoelectrically actuated system has nonlinear and time-varying behavior, it is difficult to establish an accurate dynamic model for a model-based sensing and control design. Here, a model-free adaptive sliding controller is proposed to improve the small travel and hysteresis defects of piezoelectrically actuated systems. This sensing and control strategy employs the functional approximation technique (FAT) to establish the unknown function for eliminating the model-based requirement of the sliding-mode control. The piezoelectrically actuated system’s nonlinear functions can be approximated by using the combination of a finite number of weighted Fourier series basis functions. The unknown weighted vector can be estimated by an updating rule. The important advantage of this approach is to achieve the sliding-mode controller design without the system dynamic model requirement. The update laws for the coefficients of the Fourier series functions are derived from a Lyapunov function to guarantee the control system stability. This proposed controller is implemented on a piezoelectrically actuated X-Y table. The dynamic experimental result of this proposed FAT controller is compared with that of a traditional model-based sliding-mode controller to show the performance improvement for the motion tracking performance. Full article
(This article belongs to the Special Issue Adaptive Sensing)
Show Figures

Back to TopTop