Sign in to use this feature.

Years

Between: -

Subjects

remove_circle_outline
remove_circle_outline
remove_circle_outline
remove_circle_outline
remove_circle_outline
remove_circle_outline
remove_circle_outline

Journals

Article Types

Countries / Regions

Search Results (17)

Search Parameters:
Keywords = ultrasound-Fenton (US–Fenton) processes

Order results
Result details
Results per page
Select all
Export citation of selected articles as:
21 pages, 1453 KB  
Article
Intensified Treatment of Pharmaceutical Effluent Using Combined Ultrasound-Based Advanced Oxidation and Biological Oxidation
by Akshara M. Iyer and Parag R. Gogate
Processes 2026, 14(1), 160; https://doi.org/10.3390/pr14010160 - 3 Jan 2026
Viewed by 292
Abstract
The present work investigates the efficacy of ultrasound (US)-based pretreatment methods for the process intensification of biological oxidation (BO) of real pharmaceutical industrial effluent with a high initial COD of 50,000 mgL−1. US, combined with advanced oxidation processes (AOPs), was used [...] Read more.
The present work investigates the efficacy of ultrasound (US)-based pretreatment methods for the process intensification of biological oxidation (BO) of real pharmaceutical industrial effluent with a high initial COD of 50,000 mgL−1. US, combined with advanced oxidation processes (AOPs), was used to degrade recalcitrant compounds. Conventional BO could only reduce the COD by 3.85% and confirmed the requirement of pretreatment. US, under established optimised conditions of 120 W power, 70% duty cycle, pH 6, and 30 °C temperature, gave a COD reduction of 5.77%. Combining US with oxidants like O3 (2 L/ min), H2O2 (1000 mgL−1), Fenton (1:5 Fe2+:H2O2), and peroxone (2 L min−1 O3 with 1000 mgL−1 H2O2) as pretreatment gave COD reductions of 30.77%, 17.31%, 19.23%, and 42.31%, respectively. Toxicity assays using the agar well diffusion method revealed that the pretreatment techniques reduced the toxicity of the effluent and did not introduce any toxic secondary metabolites into the system. The optimised treatment time for BO was fixed at 30 h, and the COD reduction obtained for the streams pretreated with US, US + O3, US + H2O2, US + Fenton, and US + peroxone were 14.3%, 88.46%, 57.69%, 61.54%, and 94.23%, respectively. The US combined with peroxone method was the best pretreatment for the effluent in terms of overall COD reduction. This work effectively demonstrates the usefulness of US-based methods to intensify the biological oxidation of real industrial effluent with high organic load. Full article
(This article belongs to the Special Issue Processes in 2025)
Show Figures

Figure 1

16 pages, 4318 KB  
Article
Energy-Optimized Degradation of 2,4,6-Trinitrotoluene in Water via Sono-Photo-Fenton-like Process and nZVI
by Hoang Van Nguyen, Tung Son Pham, Huong Van Nguyen, Woojin Chung, Duong Duc La and Dinh Duc Nguyen
Water 2026, 18(1), 37; https://doi.org/10.3390/w18010037 - 22 Dec 2025
Viewed by 377
Abstract
This work optimizes the energetic performance of 2,4,6-trinitrotoluene (TNT) abatement in water using a sono-photo-Fenton-like (SPF) process coupled with nano zero-valent iron (nZVI). A response–surface methodology (RSM) with a five-level central composite design (CCD) was applied to concurrently minimize specific energy consumption (SEC) [...] Read more.
This work optimizes the energetic performance of 2,4,6-trinitrotoluene (TNT) abatement in water using a sono-photo-Fenton-like (SPF) process coupled with nano zero-valent iron (nZVI). A response–surface methodology (RSM) with a five-level central composite design (CCD) was applied to concurrently minimize specific energy consumption (SEC) from ultrasound (US) and UV irradiation while maximizing TNT removal. The optimal conditions were US power 80 W for 2 min and UV power 10 W for 6 min, yielding 73.95% TNT removal with SEC = 101.19 kWh kg−1 TNT removed. The analysis of variance (ANOVA) test revealed that US power had the greatest effect on removal efficiency, whereas UV and US exposure times predominantly influenced SEC. Relative to the other Fenton-like configurations examined, the optimized SPF achieved superior removal at lower SEC and enabled enhanced iron recovery compared with photo-Fenton process using Fe2+. When applied to actual “yellow” wastewater, the optimized SPF again outperformed the photo-Fenton process using Fe2+, reducing SEC from 380.77 to 252.60 kWh kg−1 and increasing treatment efficiency. The high-power/short-duration US paired with a low-power/short-duration UV regime provides a favorable efficacy–energy trade-off and supports pilot-scale deployment. Full article
(This article belongs to the Special Issue Novel Advanced Oxidation Technology for Water Treatment)
Show Figures

Figure 1

32 pages, 1458 KB  
Review
A Review of Methods for the Removal of Endocrine-Disrupting Compounds with a Focus on Oestrogens and Pharmaceuticals Found in Wastewater
by Jolanta Latosińska and Agnieszka Grdulska
Appl. Sci. 2025, 15(12), 6514; https://doi.org/10.3390/app15126514 - 10 Jun 2025
Cited by 6 | Viewed by 5198
Abstract
Steroid hormones are micropollutants that contaminate water worldwide and have significant impacts on human health and the environment, even at very low concentrations. The aim of this article is to provide an overview of technologies for the removal of endocrine-disrupting compounds with a [...] Read more.
Steroid hormones are micropollutants that contaminate water worldwide and have significant impacts on human health and the environment, even at very low concentrations. The aim of this article is to provide an overview of technologies for the removal of endocrine-disrupting compounds with a focus on oestrogens (estrone E1, 17β-oestradiol E2, estriol E3), the synthetic oestrogen (17α-ethinylestradiol EE2 and bisphenol A BPA), and pharmaceuticals found in wastewater. Hormonal and pharmaceutical contaminants are mostly persistent organic compounds that cannot be easily removed using conventional wastewater treatment processes. For this reason, researchers have tried to develop more efficient tertiary wastewater treatment technologies to reduce micropollutant concentrations in wastewater. This review covers the following processes: Advanced oxidation, nanofiltration, ultrasound, electro-Fenton processes, electrolysis, adsorption, ozonation, photolysis, photocatalysis, ultrafiltration, and electrocoagulation. Attention was paid to the effectiveness of the processes in terms of eliminating hormones and pharmaceuticals from wastewater, as well as on economic and environmental aspects. The combination of different processes can be a promising treatment scheme for retaining and degrading hormonal and pharmaceutical compounds from wastewater. With hybrid technologies, the advantages of the methods are combined to maximise the removal of pollutants. However, optimal methods of wastewater treatment depend on the quality and quantity of the wastewater, as well as the residual hormonal and pharmaceutical compounds and their hazardous effects. Full article
(This article belongs to the Special Issue Wastewater Treatment Technologies—3rd Edition)
Show Figures

Figure 1

29 pages, 767 KB  
Review
Current Natural Degradation and Artificial Intervention Removal Techniques for Antibiotics in the Aquatic Environment: A Review
by Jing Ji, Haoqing Li and Shejiang Liu
Appl. Sci. 2025, 15(9), 5182; https://doi.org/10.3390/app15095182 - 7 May 2025
Cited by 7 | Viewed by 3319
Abstract
The extensive use of antibiotics as essential medications in contemporary healthcare has resulted in significant amounts of these drugs entering the environment, both in original and metabolic forms, which presents serious ecological and health hazards. This paper examines the natural processes that break [...] Read more.
The extensive use of antibiotics as essential medications in contemporary healthcare has resulted in significant amounts of these drugs entering the environment, both in original and metabolic forms, which presents serious ecological and health hazards. This paper examines the natural processes that break down antibiotics in water, including photolysis, hydrolysis, and biodegradation. It also discusses advancements in artificial degradation technologies, such as advanced oxidation processes (AOPs), physicochemical methods, ionizing radiation degradation, artificial wetland technology, microalgae technology, microbial electrochemical systems, and innovative catalysts. While current technologies demonstrate promising potential for use, they encounter challenges related to the catalyst stability, cost, and ecological safety. Future research should focus on optimizing degradation methods and creating efficient, sustainable multi-technology systems, such as the photocatalysis–membrane filtration coupling system; the ultrasound–Fenton–artificial wetland synergistic system; the electrochemical–biodegradation combined system; and the microbial fuel cell (MFC)–photocatalysis synergistic system, to tackle the complexities of antibiotic pollution in the environment. Full article
(This article belongs to the Special Issue Advances in Pollutant Removal from Water Environments)
Show Figures

Figure 1

24 pages, 4696 KB  
Article
Treatment of Pharmaceutical Effluent Using Ultrasound-Based Advanced Oxidation for Intensified Biological Oxidation
by Akshara M. Iyer, Aditya V. Karande and Parag R. Gogate
Processes 2025, 13(4), 1191; https://doi.org/10.3390/pr13041191 - 15 Apr 2025
Cited by 1 | Viewed by 1371
Abstract
The current work investigates the intensification process of the biological oxidation (BO) of a pharmaceutical effluent using ultrasound (US)-based pretreatment methods. US, in combination with chemical oxidants, like hydrogen peroxide (H2O2), Fenton, potassium persulphate (KPS), and peroxone, was used [...] Read more.
The current work investigates the intensification process of the biological oxidation (BO) of a pharmaceutical effluent using ultrasound (US)-based pretreatment methods. US, in combination with chemical oxidants, like hydrogen peroxide (H2O2), Fenton, potassium persulphate (KPS), and peroxone, was used as a pretreatment technique to enhance the efficacy of BO, as BO alone could only bring about 16.67% COD reduction. The application of US under the optimized conditions of a 70% duty cycle, 120W of power, pH 2, and at a 30 °C temperature resulted in 12.3% COD reduction after 60 min, whereas its combination with oxidants at optimized loadings resulted in a higher COD reduction of 20% for H2O2 (2000 ppm), 23.08% for Fenton (1:1 Fe:H2O2), and 30.77% for the US + peroxone approach (400 mg/h of ozone with 2000 ppm H2O2). The pretreated samples did not produce any toxic by-products, as confirmed by a toxicity analysis using the agar well diffusion method. A cow-dung-based sludge was acclimatised specifically for use in BO. The treatment time for BO was set to 8 h, and the US + peroxone-pretreated samples showed a maximum overall COD reduction of 60%, which is about three times that observed with only BO. This work clearly demonstrates the enhancement of the biodegradation of a complex recalcitrant pharmaceutical effluent using a US-based pretreatment. Full article
Show Figures

Figure 1

13 pages, 1727 KB  
Article
Degradation of Phenolic Compounds and Organic Matter from Real Winery Wastewater by Fenton and Photo-Fenton Processes Combined with Ultrasound
by Ricardo Augusto Rodrigues, Mariana Bizari Machado de Campos and Paulo Sergio Tonello
Water 2025, 17(5), 763; https://doi.org/10.3390/w17050763 - 6 Mar 2025
Cited by 2 | Viewed by 1668
Abstract
Real winery wastewater (WW), with a high concentration of organic matter (OM), was treated using Fenton (FP), photo-Fenton (PFP), sono-Fenton (SFP), and sono-photo-Fenton processes (SPFP), with the primary objective of removing phenolic compounds (PhCs). Although beneficial to human health, these compounds are considered [...] Read more.
Real winery wastewater (WW), with a high concentration of organic matter (OM), was treated using Fenton (FP), photo-Fenton (PFP), sono-Fenton (SFP), and sono-photo-Fenton processes (SPFP), with the primary objective of removing phenolic compounds (PhCs). Although beneficial to human health, these compounds are considered recalcitrant and toxic to aquatic organisms, posing significant environmental risks if discharged into water bodies. They can also reduce the efficiency of biological treatment processes. After physicochemical characterization and two hours of treatment, the removal efficiencies achieved by the FP, PFP, SFP, and SPFP processes were 29.35%, 41.30%, 28.82%, and 33.95% for PhCs; 27.88%, 31.51%, 23.19%, and 29.29% for chemical oxygen demand (COD); and 12.53%, 13.92%, 9.28%, and 10.62% for dissolved organic carbon (DOC), respectively. The degradations achieved by SFP and SPFP were lower than those of FP and PFP, respectively, due to reactions that scavenge hydroxyl radicals. Treatment of a gallic acid (GA) solution, used as a model compound for PhCs, exhibited similar trends, indicating that the lower efficiency in processes involving ultrasound is not due to the OM in the effluent, but rather the interaction between ultrasound (US) and H2O2, which reduces hydroxyl radical concentration. However, under the conditions of the wastewater used, the technologies applied did not completely reduce the parameters analyzed, being recommended as pre- or post-treatment, and combined with other processes. Full article
(This article belongs to the Section Wastewater Treatment and Reuse)
Show Figures

Graphical abstract

18 pages, 2974 KB  
Article
Degradation of Procion Golden Yellow H-R Dye Using Ultrasound Combined with Advanced Oxidation Process
by Rahat F. Momin, Kalyani R. Deshmukh and Parag R. Gogate
Water 2024, 16(16), 2344; https://doi.org/10.3390/w16162344 - 21 Aug 2024
Cited by 4 | Viewed by 2287
Abstract
The current study aims to degrade Procion Golden Yellow H-R through ultrasound-induced cavitation coupled with various oxidants. A comprehensive investigation was conducted to examine the impact of parameters, specifically pH, power, and frequency, on the extent of degradation. The primary aim was to [...] Read more.
The current study aims to degrade Procion Golden Yellow H-R through ultrasound-induced cavitation coupled with various oxidants. A comprehensive investigation was conducted to examine the impact of parameters, specifically pH, power, and frequency, on the extent of degradation. The primary aim was to optimize degradation by solely utilizing a cavitation reactor where only 23.8% degradation was observed under the established optimum conditions of pH 2.5, frequency of 22 kHz, and power of 200 W. The investigation of the combined process of cavitation with H2O2, Fenton reagent (H2O2/Fe2+), NaOCl, and potassium persulphate (KPS) was subsequently conducted under optimized conditions. The combined operations greatly enhanced degradation with the use of H2O2 loading of 0.1 g/L leading to 53.3% degradation and the H2O2/Fe2+ ratio of 1:0.25 resulting in 94.6% degradation, while the NaOCl quantum of 0.075 g/L yielded 90% degradation and the KPS quantity of 2 g/L resulted in 97.5% degradation in the specific combinations. A toxicity test on two bacterial strains, Staphylococcus aureus and Escherichia coli, was carried out using the original dye solution and after treatment. The various individual and combination processes were compared using the parameters of cavitational yield and total treatment cost. The study elucidates that combining ultrasonic cavitation with KPS is an effective method for treating wastewater containing Procion Golden Yellow H-R dye, especially when implemented at a larger scale of operation. Full article
(This article belongs to the Special Issue Advanced Technologies for Wastewater Treatment and Water Reuse)
Show Figures

Figure 1

30 pages, 15214 KB  
Article
Modeling and Optimization of Hybrid Fenton and Ultrasound Process for Crystal Violet Degradation Using AI Techniques
by Sabrina Mechati, Meriem Zamouche, Hichem Tahraoui, Oumaima Filali, Safa Mazouz, Iheb Nour Elhak Bouledjemer, Selma Toumi, Zakaria Triki, Abdeltif Amrane, Mohammed Kebir, Sonia Lefnaoui and Jie Zhang
Water 2023, 15(24), 4274; https://doi.org/10.3390/w15244274 - 14 Dec 2023
Cited by 37 | Viewed by 3803
Abstract
This study conducts a comprehensive investigation to optimize the degradation of crystal violet (CV) dye using the Fenton process. The main objective is to improve the efficiency of the Fenton process by optimizing various physicochemical factors such as the Fe2+ concentration, H [...] Read more.
This study conducts a comprehensive investigation to optimize the degradation of crystal violet (CV) dye using the Fenton process. The main objective is to improve the efficiency of the Fenton process by optimizing various physicochemical factors such as the Fe2+ concentration, H2O2 concentration, and pH of the solution. The results obtained show that the optimal dosages of Fe2+ and H2O2 giving a maximum CV degradation (99%) are 0.2 and 3.13 mM, respectively. The optimal solution pH for CV degradation is 3. The investigation of the type of acid for pH adjustment revealed that sulfuric acid is the most effective one, providing 100% yield, followed by phosphoric acid, hydrochloric acid, and nitric acid. Furthermore, the examination of sulfuric acid concentration shows that an optimal concentration of 0.1 M is the most effective for CV degradation. On the other hand, an increase in the initial concentration of the dye leads to a reduction in the hydroxyl radicals formed (HO), which negatively impacts CV degradation. A concentration of 10 mg/L of CV gives complete degradation of dye within 30 min following the reaction. Increasing the solution temperature and stirring speed have a negative effect on dye degradation. Moreover, the combination of ultrasound with the Fenton process resulted in a slight enhancement in the CV degradation, with an optimal stirring speed of 300 rpm. Notably, the study incorporates the use of Gaussian process regression (GPR) modeling in conjunction with the Improved Grey Wolf Optimization (IGWO) algorithm to accurately predict the optimal degradation conditions. This research, through its rigorous investigation and advanced modeling techniques, offers invaluable insights and guidelines for optimizing the Fenton process in the context of CV degradation, thereby achieving the twin goals of cost reduction and environmental impact minimization. Full article
(This article belongs to the Special Issue Application of Catalysis in Wastewater Treatment)
Show Figures

Figure 1

5 pages, 682 KB  
Proceeding Paper
Removal of Azo Dye Acid Red 88 by Fenton-Based Processes Optimized by Response Surface Methodology Box-Behnken Design
by Nuno Jorge, Ana R. Teixeira, Ana Gomes, Marco S. Lucas and José A. Peres
Eng. Proc. 2023, 56(1), 164; https://doi.org/10.3390/ASEC2023-15501 - 31 Oct 2023
Cited by 2 | Viewed by 1273
Abstract
Acid Red 88 (AR88) is an azo dye highly used in the textile industry. This industry generates high volumes of wastewater with recalcitrant properties that can persist in nature for many years. This work intends to use a statistical model to better predict [...] Read more.
Acid Red 88 (AR88) is an azo dye highly used in the textile industry. This industry generates high volumes of wastewater with recalcitrant properties that can persist in nature for many years. This work intends to use a statistical model to better predict and understand the influence of different operational conditions. A Box-Behnken response surface methodology (RSM) was used, in which variables (H2O2, Fe2+, and radiation intensity) were changed. At the same time, the RSM model allowed the assessment of several advanced oxidation processes (AOPs). The results exhibited the photo-Fenton process as the most efficient, and the best operational conditions ([AR88] = 0.125 mM, pH = 3.0, [H2O2] = 7.9 mM, [Fe2+] = 0.22 mM, time = 30 min) were used in four different reactors (UV-C, UV-A, ultrasound, and solar). US reactors achieved high AR88 removal (98.2%, 50 min), similar to UV-C and UV-A (97.8 and 98.2%, respectively, 60 min). A solar reactor is concluded to be the most feasible choice, with 98.4% AR88 removal after 25 min. Full article
(This article belongs to the Proceedings of The 4th International Electronic Conference on Applied Sciences)
Show Figures

Figure 1

14 pages, 2016 KB  
Article
An Ultrasound–Fenton Process for the Degradation of 2,4,6-Trinitrotoluene
by Yangang Li, Wenzhen Zhang, Kelei Mu, Shangkun Li, Jiawei Wang, Shujun Zhang and Lu Wang
Int. J. Environ. Res. Public Health 2023, 20(4), 3102; https://doi.org/10.3390/ijerph20043102 - 10 Feb 2023
Cited by 8 | Viewed by 2709
Abstract
2,4,6-Trinitrotoluene (TNT), one of the main compounds in ammunition wastewater, is harmful to the environment. In this study, the treatment efficiency of 2,4,6-TNT by different treatment processes, including ferrous ion (Fe2+), hydrogen peroxide (H2O2), Fenton, ultrasound (US) [...] Read more.
2,4,6-Trinitrotoluene (TNT), one of the main compounds in ammunition wastewater, is harmful to the environment. In this study, the treatment efficiency of 2,4,6-TNT by different treatment processes, including ferrous ion (Fe2+), hydrogen peroxide (H2O2), Fenton, ultrasound (US) irradiation, US + Fe2+, US + H2O2 and US–Fenton process, was compared. The results showed that US–Fenton was the most effective among all methods studied. The effects of initial pH, reaction time and H2O2 to Fe2+ molar ratio were investigated. The results showed that the removal of TNT, TOC and COD was maximum at an initial pH of 3.0 and H2O2 to Fe2+ molar ratio of 10:1. TNT, TOC and COD removal was fast in the first 30 min, reaching 83%, 57% and 50%, then increased gradually to 99%, 67% and 87% until 300 min, respectively. Semi-batch mode operation increased the removal of TNT and TOC by approximately 5% and 10% at 60 min, respectively. The average carbon oxidation number (ACON) was increased from −1.7 at 30 min to a steady-state value of 0.4, indicating the mineralization of TNT. Based on GC-MS analysis, 1,3,5-trinitrobenzene, 2,4,6-trinitrobenzene acid, 3,5-dinitrobenznamine and 3,5-dinitro-p-toluidine were the major byproducts from the US–Fenton process. The TNT degradation pathway was proposed, which involved methyl group oxidation, decarboxylation, aromatic ring cleavage and hydrolysis. Full article
Show Figures

Figure 1

16 pages, 2578 KB  
Article
Possibilities and Limitations of the Sono-Fenton Process Using Mid-High-Frequency Ultrasound for the Degradation of Organic Pollutants
by Efraím A. Serna-Galvis, Javier Silva-Agredo, Judy Lee, Adriana Echavarría-Isaza and Ricardo A. Torres-Palma
Molecules 2023, 28(3), 1113; https://doi.org/10.3390/molecules28031113 - 22 Jan 2023
Cited by 19 | Viewed by 3585
Abstract
Mid-high-frequency ultrasound (200–1000 kHz) eliminates organic pollutants and also generates H2O2. To take advantage of H2O2, iron species can be added, generating a hybrid sono-Fenton process (sF). This paper presents the possibilities and limitations of [...] Read more.
Mid-high-frequency ultrasound (200–1000 kHz) eliminates organic pollutants and also generates H2O2. To take advantage of H2O2, iron species can be added, generating a hybrid sono-Fenton process (sF). This paper presents the possibilities and limitations of sF. Heterogeneous (a natural mineral) and homogeneous (Fe2+ and Fe3+ ions) iron sources were considered. Acetaminophen, ciprofloxacin, and methyl orange were the target organic pollutants. Ultrasound alone induced the pollutants degradation, and the dual competing role of the natural mineral (0.02–0.20 g L−1) meant that it had no significant effects on the elimination of pollutants. In contrast, both Fe2+ and Fe3+ ions enhanced the pollutants’ degradation, and the elimination using Fe2+ was better because of its higher reactivity toward H2O2. However, the enhancement decreased at high Fe2+ concentrations (e.g., 5 mg L−1) because of scavenger effects. The Fe2+ addition significantly accelerated the elimination of acetaminophen and methyl orange. For ciprofloxacin, at short treatment times, the degradation was enhanced, but the pollutant complexation with Fe3+ that came from the Fenton reaction caused degradation to stop. Additionally, sF did not decrease the antimicrobial activity associated with ciprofloxacin, whereas ultrasound alone did. Therefore, the chemical structure of the pollutant plays a crucial role in the feasibility of the sF process. Full article
(This article belongs to the Special Issue Photo-Fenton Process in Water Treatment)
Show Figures

Figure 1

16 pages, 1645 KB  
Article
Ultrasound-Promoted Abatement of Formaldehyde in Liquid Phase with Electrospun Nanostructured Membranes: The Synergy of Combined AOPs
by Carlo Boaretti, Martina Roso, Michele Modesti and Alessandra Lorenzetti
Nanomaterials 2023, 13(3), 435; https://doi.org/10.3390/nano13030435 - 20 Jan 2023
Cited by 6 | Viewed by 2713
Abstract
The present work investigates the effect of ultrasounds in the performance of combined advanced oxidation processes (AOPs) on the degradation of formaldehyde (HCHO)-polluted aqueous solutions for potential application in wastewater treatment. Different heterogeneous nanostructured catalysts based on TiO2 and FeSO4 for [...] Read more.
The present work investigates the effect of ultrasounds in the performance of combined advanced oxidation processes (AOPs) on the degradation of formaldehyde (HCHO)-polluted aqueous solutions for potential application in wastewater treatment. Different heterogeneous nanostructured catalysts based on TiO2 and FeSO4 for photocatalysis and the Fenton process were employed after electrospray deposition on electrospun nanofibrous membranes. Such systems were tested, without the use of any added hydrogen peroxide, by varying the combinations among the selected AOPs in a batch reactor configuration. The results show that, in the absence of a Fenton reaction, ultrasounds provided a significantly increased formaldehyde photocatalytic abatement, probably by increasing the concentration of active species through a different set of reactions while providing a favorable mass transfer regime by the cavitational effect. Due to the faster kinetics of the photo–Fenton process, thanks to its partial homogeneous nature, such a beneficial effect is more limited for the sono–photo–Fenton configuration. On the other hand, the employment of a sono–photocatalytic–Fenton process revealed a synergic effect that provided the best results, reducing the formaldehyde concentration to less than 99% after 240 min. Further analysis showed that, due to a mutual influence, only a tailored TiO2/FeSO4 ratio on the membranes was able to display the best performance. Full article
(This article belongs to the Special Issue Advance in Photoactive Nanomaterials)
Show Figures

Figure 1

16 pages, 5137 KB  
Article
Real-Time Monitoring of the Atrazine Degradation by Liquid Chromatography and High-Resolution Mass Spectrometry: Effect of Fenton Process and Ultrasound Treatment
by Junting Hong, Nadia Boussetta, Gérald Enderlin, Nabil Grimi and Franck Merlier
Molecules 2022, 27(24), 9021; https://doi.org/10.3390/molecules27249021 - 17 Dec 2022
Cited by 5 | Viewed by 3170
Abstract
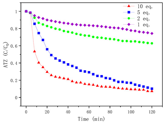
High resolution mass spectrometry (HRMS) was coupled with ultra-high-performance liquid chromatography (uHPLC) to monitor atrazine (ATZ) degradation process of Fenton/ultrasound (US) treatment in real time. Samples were automatically taken through a peristaltic pump, and then analysed by HPLC-HRMS. The injection in the mass [...] Read more.
High resolution mass spectrometry (HRMS) was coupled with ultra-high-performance liquid chromatography (uHPLC) to monitor atrazine (ATZ) degradation process of Fenton/ultrasound (US) treatment in real time. Samples were automatically taken through a peristaltic pump, and then analysed by HPLC-HRMS. The injection in the mass spectrometer was performed every 4 min for 2 h. ATZ and its degradation metabolites were sampled and identified. Online Fenton experiments in different equivalents of Fenton reagents, online US experiments with/without Fe2+ and offline Fenton experiments were conducted. Higher equivalents of Fenton reagents promoted the degradation rate of ATZ and the generation of the late-products such as Ammeline (AM). Besides, adding Fe2+ accelerated ATZ degradation in US treatment. In offline Fenton, the degradation rate of ATZ was higher than that of online Fenton, suggesting the offline samples were still reacting in the vial. The online analysis precisely controls the effect of reagents over time through automatic sampling and rapid detection, which greatly improves the measurement accuracy. The experimental set up proposed here both prevents the degradation of potentially unstable metabolites and provides a good way to track each metabolite. Full article
(This article belongs to the Section Analytical Chemistry)
Show Figures

Graphical abstract

6 pages, 1349 KB  
Proceeding Paper
Decolorization of the azo dye Reactive Violet 5 by UV-A-Fenton and Ultrasound-Fenton Processes
by Nuno Jorge, Ana R. Teixeira, José R. Fernandes, Marco S. Lucas and José A. Peres
Eng. Proc. 2023, 31(1), 68; https://doi.org/10.3390/ASEC2022-13848 - 12 Dec 2022
Cited by 1 | Viewed by 1844
Abstract
The textile dye Reactive Violet 5 (RV5) is mutagenic and teratogenic as well as carcinogenic and must be degraded before the release of textile wastewater into the environment. The aim of this work was to assess UV-A LED and ultrasound (US) reactors in [...] Read more.
The textile dye Reactive Violet 5 (RV5) is mutagenic and teratogenic as well as carcinogenic and must be degraded before the release of textile wastewater into the environment. The aim of this work was to assess UV-A LED and ultrasound (US) reactors in RV5 degradation. Different AOPs were tested, Fenton and UV-A-Fenton processes showed the highest RV5 degradation with 86.6 and 95.5%, respectively. The UV-A-Fenton operational conditions were optimized varying initial pH (3.0–7.0), H2O2 (2.0–16.0 mM) and Fe2+ (0.05–0.20 mM) concentrations. The best deduced operational conditions (pH = 3.0, [RV5] = 0.28 mM, [H2O2] = 4.0 mM, [Fe2+] = 0.15 mM) were applied to the US-Fenton process, achieving a RV5 removal of 95.7%. The lowest values of electric energy per order (EEO) = 11 kWh m−3 order−1 and specific applied energy (ESAE) = 38 kWh mol−1 order−1 were obtained with the treatment of RV5 aqueous solution by the UV-A-Fenton process. This work shows that textile dyes can be degraded by UV-A-Fenton and US-Fenton processes and the UV-A LED reactor presented the lowest operational costs. Full article
(This article belongs to the Proceedings of The 3rd International Electronic Conference on Applied Sciences)
Show Figures

Figure 1

23 pages, 2902 KB  
Review
A Review of the Treatment Process of Perfluorooctane Compounds in the Waters: Adsorption, Flocculation, and Advanced Oxidative Process
by Kai Zhang, Sumita, Cong Li, Chunmeng Sun and Nicolas Marmier
Water 2022, 14(17), 2692; https://doi.org/10.3390/w14172692 - 30 Aug 2022
Cited by 18 | Viewed by 5333
Abstract
Perfluorinated compounds (PFCs) are recognized as a new type of refractory organic pollutants. Due to the persistent environmental pollution, bioaccumulation, and biotoxicity of PFCs, they have received extensive attention in recent years. To deal with the environmental risks caused by PFCs, the pollution [...] Read more.
Perfluorinated compounds (PFCs) are recognized as a new type of refractory organic pollutants. Due to the persistent environmental pollution, bioaccumulation, and biotoxicity of PFCs, they have received extensive attention in recent years. To deal with the environmental risks caused by PFCs, the pollution and distribution of PFCs in the aquatic environment are discussed in detail, mainly for the most widely used PFCs—perfluorooctanoate (PFOA) and perfluorooctane sulfonate (PFOS). The latest progress in the current processing technology of PFOA and PFOS is comprehensively introduced. It includes a variety of physical techniques to remove PFCs such as adsorption and flocculation. It has been confirmed that various adsorbents can play a key role in the enrichment and removal of PFCs through high specific surface area and hydrophobic interaction. In addition, traditional degradation processes are often unsatisfactory for PFCs, prompting the search for more efficient and cost-effective methods, with great progress having been made in advanced oxidation processes (AOPs) based on radical decomposition of pollutants. This review also integrates multiple advanced oxidation processes (AOPs) such as photocatalysis, electrochemical processes, ozone, the Fenton process, and ultrasound. This paper provides an overview of the various PFCs removal techniques and discusses their efficacy. It also explores future possible developments for PFCs elimination technologies for water treatment. Full article
Show Figures

Figure 1

Back to TopTop