Degradation of Phenolic Compounds and Organic Matter from Real Winery Wastewater by Fenton and Photo-Fenton Processes Combined with Ultrasound
Abstract
1. Introduction
2. Materials and Methods
2.1. Chemicals
2.2. Winery Wastewater
2.3. Analytical Methods
2.4. Experimental Procedure
3. Results and Discussion
3.1. Winery Wastewater Characterization
3.2. Optimization of Fenton’s Reagents
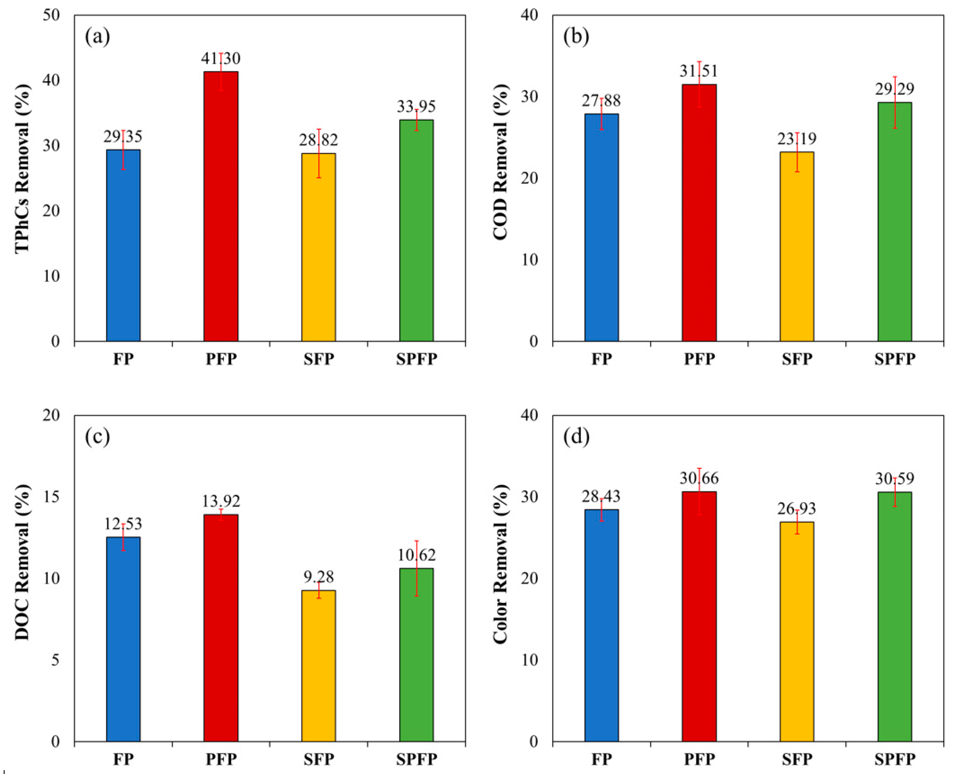
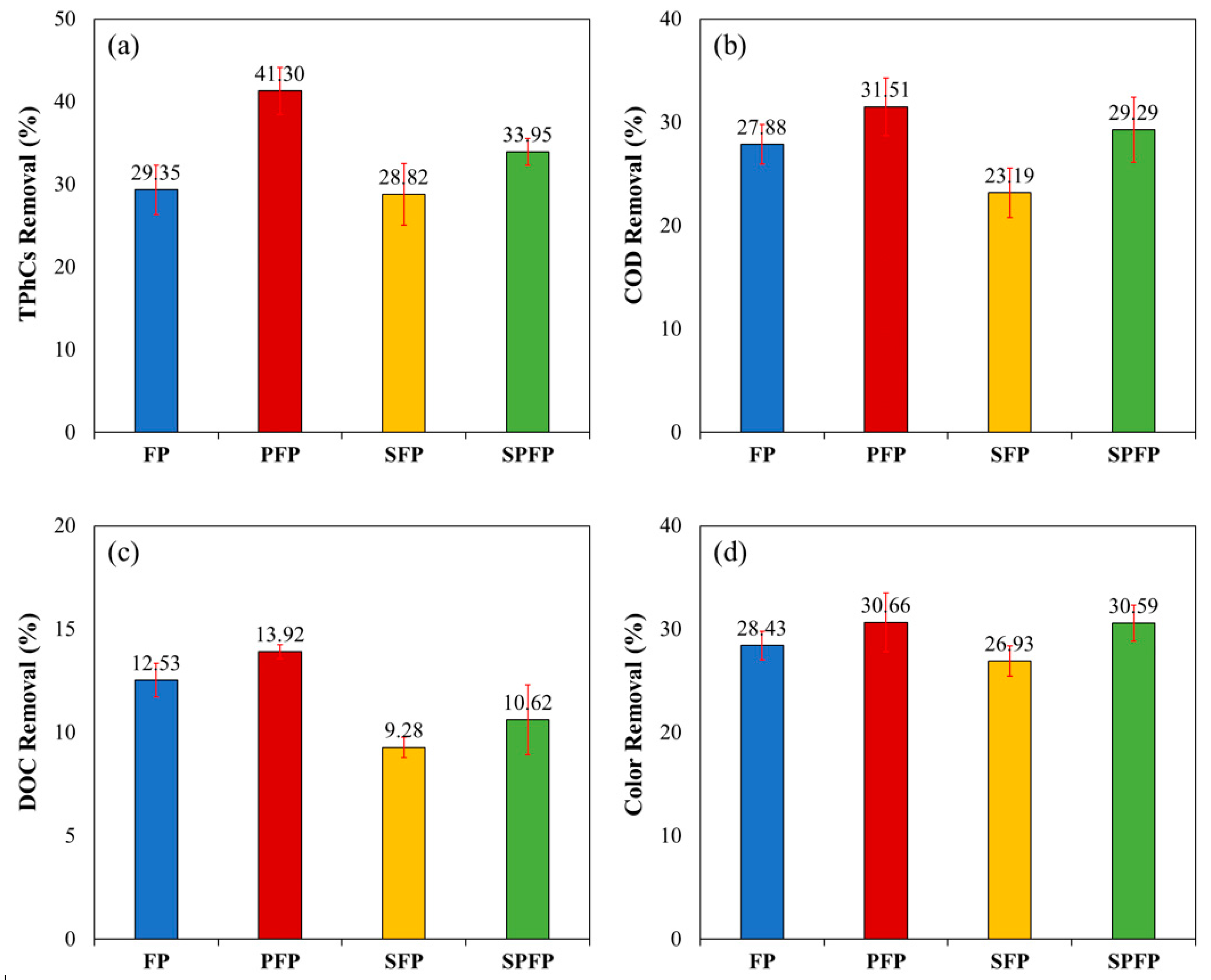
3.3. Winery Wastewater Treatment
3.4. Component Evaluation
3.5. Gallic Acid Solution Treatment
4. Conclusions
Author Contributions
Funding
Data Availability Statement
Acknowledgments
Conflicts of Interest
References
- Anku, W.W.; Mamo, M.A.; Govender, P.P. Phenolic compounds in water: Sources, reactivity, toxicity and treatment methods. In Phenolic Compounds: Natural Sources, Importance and Applications; Soto-Hernández, M., Ed.; IntechOpen: London, UK, 2017; pp. 419–443. [Google Scholar] [CrossRef]
- Butnariu, M.; Butu, A. Qualitative and quantitative chemical composition of wine. In Quality Control in the Beverage Industry; Grumezescu, A.M., Holban, A.M., Eds.; Elsevier: Amsterdam, The Netherlands, 2019; pp. 385–417. [Google Scholar] [CrossRef]
- Perveen, S.; Al-Taweel, A.M. Phenolic compounds from the natural sources and their cytotoxicity. In Phenolic Compounds: Natural Sources, Importance and Applications; Soto-Hernández, M., Ed.; IntechOpen: London, UK, 2017; pp. 29–60. [Google Scholar] [CrossRef]
- Ghouila, Z.; Laurent, S.; Boutry, S.; Elst, L.V.; Natache, F.; Muller, R.N.; Baaliouamer, A. Antioxidant, antibacterial and cell toxicity effects of polyphenols from Ahmeur Bouamer grape seed extracts. J. Fundam. Appl. Sci. 2017, 9, 392–410. [Google Scholar] [CrossRef]
- Cavalcante, A.K.; Lopes-Ferreira, M.; Rogero, S.O.; Rogero, J.R. Evaluation of resveratrol toxicity in the embryolarval stage of Danio rerio fish. Ecotoxicol. Environ. Contamin. 2017, 12, 133–139. [Google Scholar] [CrossRef]
- Mosse, K.P.M.; Patti, A.F.; Christen, E.W.; Cavagnaro, T.R. Winery wastewater inhibits seed germination and vegetative growth of common crop species. J. Hazard. Mater. 2010, 180, 63–70. [Google Scholar] [CrossRef] [PubMed]
- Brandão, Y.B.; Oliveira, J.G.C.; Benachour, M. Phenolic Wastewaters: Definitions, sources and treatment processes. In Phenolic Compounds: Natural Sources, Importance and Applications; Soto-Hernández, M., Ed.; IntechOpen: London, UK, 2017; pp. 325–342. [Google Scholar] [CrossRef]
- Lofrano, G.; Meric, S. A comprehensive approach to winery wastewater treatment: A review of the state-of-art. Desalin. Water Treat. 2016, 57, 3011–3028. [Google Scholar] [CrossRef]
- Ioannou, L.A.; Li Puma, G.; Fatta-Kassinos, D. Treatment of winery wastewater by physicochemical, biological and advanced processes: A review. J. Hazard. Mater. 2015, 286, 343–368. [Google Scholar] [CrossRef]
- Latessa, S.H.; Hanley, L.; Tao, W. Characteristics and practical treatment technologies of winery wastewater: A review for wastewater management at small wineries. J. Environ. Manag. 2023, 342, 118343. [Google Scholar] [CrossRef] [PubMed]
- Bolzonella, D.; Papa, M.; Da Ros, C.; Muthukumar, L.A.; Rosso, D. Winery wastewater treatment: A critical overwiew of advanced biological processes. Crit. Rev. Biotechnol. 2019, 39, 489–507. [Google Scholar] [CrossRef] [PubMed]
- Santos, J.R.F.; Rodrigues, R.P.; Quina, M.J.; Gando-Ferreira, L.M. Recovery of value-added compounds from winery wastewater: A review and bibliometric analysis. Water 2023, 15, 1110. [Google Scholar] [CrossRef]
- Ameta, S.C. Introduction. In Advanced Oxidation Processes for Wastewater Treatment: Emerging Green Chemical Technology; Ameta, S.C., Ameta, R., Eds.; Academic Press: Cambridge, MA, USA, 2018; pp. 1–12. [Google Scholar] [CrossRef]
- Ameta, R.; Chohadia, A.K.; Jain, A.; Punjabi, P.B. Fenton and photo-Fenton processes. In Advanced Oxidation Processes for Wastewater Treatment: Emerging Green Chemical Technology; Ameta, S.C., Ameta, R., Eds.; Academic Press: Cambridge, MA, USA, 2018; pp. 49–87. [Google Scholar] [CrossRef]
- Samadi, M.T.; Rezaie, A.; Ebrahimi, A.A.; Panahi, A.H.; Kargarian, K.; Abdipour, H. The utility of ultraviolet beam in advanced oxidation-reduction processes: A review on the mechanism of processes and possible production free radicals. Environ. Sci. Pollut. Res. 2024, 31, 6628–6648. [Google Scholar] [CrossRef] [PubMed]
- Zhang, M.; Dong, H.; Zhao, L.; Wang, D.; Meng, D. A review on Fenton process for organic wastewater treatment based on optimization perspective. Sci. Total Environ. 2019, 670, 110–121. [Google Scholar] [CrossRef]
- Bello, M.M.; Raman, A.A.A.; Asghar, A. A review on approaches for addressing the limitations of Fenton oxidation for recalcitrant wastewater treatment. Proc. Safe Environ. Protect. 2019, 126, 119–140. [Google Scholar] [CrossRef]
- Babuponusami, A.; Muthukumar, K. A review on Fenton and improvements to the Fenton process for wastewater treatment. J. Environ. Chem. Eng. 2014, 2, 557–572. [Google Scholar] [CrossRef]
- García-Espinoza, J.D.; Treviño-Reséndez, J.; Robles, I.; Acosta-Santoyo, G.; Godínez, L.A. A review of electro-Fenton and ultrasound processes: Towards a novel integrated technology for wastewater treatment. Environ. Sci. Pollut. Res. 2023, 1–23. [Google Scholar] [CrossRef] [PubMed]
- Ameta, S.C.; Ameta, R.; Ameta, G. Sonochemistry: An Emerging Green Technology, 1st ed.; Apple Academic Press: Toronto, ON, Canada, 2018. [Google Scholar]
- Torres-Palma, R.A.; Serna-Galvis, E.A. Sonolysis. In Advanced Oxidation Processes for Wastewater Treatment: Emerging Green Chemical Technology; Ameta, S.C., Ameta, R., Eds.; Academic Press: Cambridge, MA, USA, 2018; pp. 177–213. [Google Scholar] [CrossRef]
- Melchiors, E.; Freire, F.B. Winery wastewater treatment: A systematic review of traditional and emerging technologies and their efficiencies. Environ. Process. 2023, 10, 43. [Google Scholar] [CrossRef]
- Lucas, M.S.; Peres, J.A.; Li Puma, G. Treatment of winery wastewater by ozone-based advanced oxidation processes (O3, O3/UV and O3/UV/H2O2) in a pilot-scale bubble column reactor and process economics. Separ. Purif. Technol. 2010, 72, 235–241. [Google Scholar] [CrossRef]
- Augustina, T.E.; Ang, H.M.; Pareek, V.K. Treatment of winery wastewater using a photocatalytic/photolytic reactor. Chem. Eng. J. 2008, 135, 151–156. [Google Scholar] [CrossRef]
- Navarro, P.; Sarasa, J.; Sierra, D.; Esteban, S.; Ovelleiro, J.L. Degradation of wine industry wastewaters by photocatalytic advanced oxidation. Water Sci. Technol. 2005, 51, 113–120. [Google Scholar] [CrossRef]
- Esteves, B.M.; Morales-Torres, S.; Maldonado-Hódar, F.J.; Madeira, L.M. Catalytic peroxidation of winery wastewater contaminants using activated carbon-supported magnetite nanoparticles. J. Water Process Eng. 2024, 58, 104772. [Google Scholar] [CrossRef]
- Ferreira, R.; Gomes, J.; Martins, R.C.; Costa, R.; Quinta-Ferreira, R.M. Winery wastewater treatment by integrating Fenton’s process with biofiltration by Corbicula fluminea. J. Chem. Technol. Biotechnol. 2018, 93, 333–339. [Google Scholar] [CrossRef]
- Santos, C.; Lucas, M.S.; Dias, A.A.; Bezerra, R.M.F.; Peres, J.A.; Sampaio, A. Winery wastewater treatment by combination of Cryptococcus laurentii and Fenton’s reaction. Chemosphere 2014, 117, 53–58. [Google Scholar] [CrossRef]
- Velegraki, T.; Mantzavinos, D. Solar photo-Fenton treatment of winery effluents in a pilot photocatalytic reactor. Catal. Today 2015, 240, 153–159. [Google Scholar] [CrossRef]
- Ioannou, L.A.; Fatta-Kassinos, D. Solar photo-Fenton oxidation against the bioresistant fractions of winery wastewater. J. Environ. Chem. Eng. 2013, 1, 703–712. [Google Scholar] [CrossRef]
- Guimarães, V.; Lucas, M.S.; Peres, J.A. Combination of adsorption and heterogeneous photo-Fenton processes for the treatment of winery wastewater. Environ. Sci. Pollut. Res. 2019, 26, 31000–31013. [Google Scholar] [CrossRef] [PubMed]
- Moradi, M.; Elahinia, A.; Vasseghian, Y.; Dragoi, E.N.; Omind, F.; Khaneghah, A.M. A review on pollutants removal by sono-photo-Fenton processes. J. Environ. Chem. Eng. 2020, 8, 104330. [Google Scholar] [CrossRef]
- Liu, S.; Long, Z.; Liu, H.; Wang, Y.; Zhang, J.; Zhang, G.; Liang, J. Recent advances in ultrasound-Fenton/Fenton-like technology for degradation of aqueous organic pollutants. Chemosphere 2024, 352, 41286. [Google Scholar] [CrossRef] [PubMed]
- Yilds, S.; Sentürk, I.; Canbaz, G.T. Degradation of phenol and 4-chlorophenol from aqueous solution by Fenton, photo-Fenton, sono-Fenton, and sono-photo-Fenton methods. J. Iran. Chem. Soc. 2022, 20, 231–237. [Google Scholar] [CrossRef]
- Korpe, S.; Bethi, B.; Sonawane, S.H.; Jayakumar, K.V. Tannery wastewater treatment by cavitation combined with advanced oxidation process (AOP). Ultrason. Sonochem. 2019, 59, 104723. [Google Scholar] [CrossRef] [PubMed]
- Wu, Z.; Yuste-Córdoba, F.J.; Cintas, P.; Wu, Z.; Boffa, L.; Mantegna, S.; Cravotto, G. Effects of ultrasonic and hydrodynamic cavitation on the treatment of cork wastewater by flocculation and Fenton processes. Ultrason. Sonochem. 2018, 40, 3–8. [Google Scholar] [CrossRef]
- Ribeiro, J.P.; Sarinho, L.; Nunes, M.I. Application of life cycle assessment to Fenton processes in wastewater treatment—A review. J. Water Process Eng. 2024, 57, 104692. [Google Scholar] [CrossRef]
- APHA. Standard Methods for the Examination of Water and Wastewater, 23rd ed.; American Public Health Association: Washington, DC, USA, 2017. [Google Scholar]
- Chakma, S.; Moholkar, V.S. Physical Mechanism of sono-Fenton process. AIChE J. 2013, 59, 4303–4313. [Google Scholar] [CrossRef]
- Davididou, K.; Frontistis, Z. Advanced oxidation processes for the treatment of winery wastewater: A review and future perspectives. J. Chem. Technol. Biotechnol. 2021, 96, 2436–2450. [Google Scholar] [CrossRef]
- Mosteo, R.J.; Sarasa, J.; Ormad, M.P.; Ovelleiro, J.L. Sequential solar photo-Fenton-biological system for the treatment of winery wastewaters. J. Agric. Food Chem. 2008, 56, 7333–7338. [Google Scholar] [CrossRef] [PubMed]
- Okitsu, K.; Nanzai, B.; Thangavadivel, K. Sonochemical degradation of aromatic compounds, surfactants and dyes in aqueous solutions. In Handbook of Ultrasonics and Sonochemistry; Ashokkumar, M., Ed.; Springer: Singapore, 2016; pp. 785–812. [Google Scholar] [CrossRef]
- Benitez, F.J.; Real, F.J.; Acero, J.L.; Leal, A.I.; Garcia, C. Gallic acid degradation in aqueous solutions by UV/H2O2 treatment, Fenton’s reagent and the photo-Fenton system. J. Hazard. Mater. 2005, 126, 31–93. [Google Scholar] [CrossRef] [PubMed]
- Verma, M.; Haritash, A.K. Degradation of amoxicillin by Fenton and Fenton-integrated hybrid oxidation processes. J. Environ. Chem. Eng. 2009, 7, 102886. [Google Scholar] [CrossRef]






| Parameter | Unit | Value |
|---|---|---|
| COD | mg L−1 | 45,221 |
| DOC | mg L−1 | 8040 |
| TPhCs | mgAG L−1 | 93.70 |
| pH | - | 3.36 |
| CE | μS cm−1 | 1049 |
| Real color | uC | 441 |
| Turbidity | NTU | 234 |
| Total solids | mg L−1 | 10,912 |
| Fixed total solids | mg L−1 | 977 |
| Volatile total solids | mg L−1 | 9935 |
| Total suspended solids | mg L−1 | 3389 |
| Total dissolved solids | mg L−1 | 7064 |
Disclaimer/Publisher’s Note: The statements, opinions and data contained in all publications are solely those of the individual author(s) and contributor(s) and not of MDPI and/or the editor(s). MDPI and/or the editor(s) disclaim responsibility for any injury to people or property resulting from any ideas, methods, instructions or products referred to in the content. |
© 2025 by the authors. Licensee MDPI, Basel, Switzerland. This article is an open access article distributed under the terms and conditions of the Creative Commons Attribution (CC BY) license (https://creativecommons.org/licenses/by/4.0/).
Share and Cite
Rodrigues, R.A.; Machado de Campos, M.B.; Tonello, P.S. Degradation of Phenolic Compounds and Organic Matter from Real Winery Wastewater by Fenton and Photo-Fenton Processes Combined with Ultrasound. Water 2025, 17, 763. https://doi.org/10.3390/w17050763
Rodrigues RA, Machado de Campos MB, Tonello PS. Degradation of Phenolic Compounds and Organic Matter from Real Winery Wastewater by Fenton and Photo-Fenton Processes Combined with Ultrasound. Water. 2025; 17(5):763. https://doi.org/10.3390/w17050763
Chicago/Turabian StyleRodrigues, Ricardo Augusto, Mariana Bizari Machado de Campos, and Paulo Sergio Tonello. 2025. "Degradation of Phenolic Compounds and Organic Matter from Real Winery Wastewater by Fenton and Photo-Fenton Processes Combined with Ultrasound" Water 17, no. 5: 763. https://doi.org/10.3390/w17050763
APA StyleRodrigues, R. A., Machado de Campos, M. B., & Tonello, P. S. (2025). Degradation of Phenolic Compounds and Organic Matter from Real Winery Wastewater by Fenton and Photo-Fenton Processes Combined with Ultrasound. Water, 17(5), 763. https://doi.org/10.3390/w17050763

