Sign in to use this feature.

Years

Between: -

Subjects

remove_circle_outline
remove_circle_outline
remove_circle_outline
remove_circle_outline
remove_circle_outline
remove_circle_outline
remove_circle_outline
remove_circle_outline
remove_circle_outline

Journals

remove_circle_outline
remove_circle_outline
remove_circle_outline
remove_circle_outline
remove_circle_outline
remove_circle_outline
remove_circle_outline
remove_circle_outline
remove_circle_outline
remove_circle_outline
remove_circle_outline
remove_circle_outline
remove_circle_outline
remove_circle_outline
remove_circle_outline
remove_circle_outline
remove_circle_outline
remove_circle_outline
remove_circle_outline
remove_circle_outline
remove_circle_outline
remove_circle_outline
remove_circle_outline
remove_circle_outline
remove_circle_outline
remove_circle_outline
remove_circle_outline
remove_circle_outline

Article Types

Countries / Regions

remove_circle_outline
remove_circle_outline
remove_circle_outline
remove_circle_outline
remove_circle_outline
remove_circle_outline

Search Results (2,181)

Search Parameters:
Keywords = two measure theories

Order results
Result details
Results per page
Select all
Export citation of selected articles as:
26 pages, 3219 KB  
Article
Car-Following-Truck Risk Identification and Its Influencing Factors Under Truck Occlusion on Mountainous Two-Lane Roads
by Taiwu Yu, Kairui Pu, Wenwen Qin and Jie Chen
Sustainability 2026, 18(3), 1201; https://doi.org/10.3390/su18031201 (registering DOI) - 24 Jan 2026
Abstract
Unstable car-following behavior under truck-induced visual occlusion on mountainous two-lane roads significantly increases rear-end crash risk. However, compared with studies focusing on overtaking or curve risk prediction, the car-following-truck (CFT) risk and its influencing factors have received limited attention. Therefore, this study used [...] Read more.
Unstable car-following behavior under truck-induced visual occlusion on mountainous two-lane roads significantly increases rear-end crash risk. However, compared with studies focusing on overtaking or curve risk prediction, the car-following-truck (CFT) risk and its influencing factors have received limited attention. Therefore, this study used unmanned aerial vehicles (UAVs) to collect high-resolution trajectory data of CFT scenarios on both straight and curved segments under truck-induced occlusion. First, the CFT risk was quantified based on an anticipated collision time (ACT) indicator, a two-dimensional surrogate safety measure that accounts for vehicle acceleration variations. Then, extreme value theory (EVT) was applied to calibrate alignment-specific risk thresholds. Finally, an XGBoost-based risk identification model was developed using vehicle dynamics-related features, and feature importance analysis combined with partial dependence interpretability was conducted to obtain key influencing factors. The results show that the calibrated ACT thresholds are approximately 3.838 s for straight segments and 4.385 s for curved segments, providing a reliable basis for risk classification. In addition, the XGBoost-based risk identification achieved accuracies of 90.63% and 95.87% for straight and curved segments, respectively. Further analysis indicates that CFT distance was the contributing factor. Moreover, risk increases markedly within a 10–20 m range on straight segments, while it rises rapidly once spacing falls below about 10 m on curved segments. Speed and acceleration differences exhibited stronger amplifying effects under short-spacing conditions. These findings provide a micro-behavioral basis for safety management and intelligent driving applications on mountainous roads with high truck mixing rates, supporting safer and more sustainable traffic operations. Full article
Show Figures

Figure 1

23 pages, 13361 KB  
Article
Conceptual Design and Structural Assessment of a Hemispherical Two-Chamber Water Cherenkov Detector for Extensive Air-Shower Arrays
by Jasmina Isaković, Marina Manganaro and Michele Doro
Universe 2026, 12(2), 29; https://doi.org/10.3390/universe12020029 (registering DOI) - 24 Jan 2026
Abstract
A conceptual design study is presented for a hemispherical, two-chamber water Cherenkov detector instrumented with bladder-embedded light traps. The detector consists of a rigid aluminium vessel enclosing a water volume that is divided into an outer, optically black chamber and a inner, reflective [...] Read more.
A conceptual design study is presented for a hemispherical, two-chamber water Cherenkov detector instrumented with bladder-embedded light traps. The detector consists of a rigid aluminium vessel enclosing a water volume that is divided into an outer, optically black chamber and a inner, reflective chamber lined by a flexible bladder. Arrays of light-trap modules, based on plastic scintillators with wavelength-shifting elements and thin silicon photomultipliers, are integrated into the bladder and selected inner surfaces. This geometry is intended to enhance muon tagging, increase acceptance for inclined air showers, and enable improved discrimination between electromagnetic and hadronic components. The study describes the mechanical and optical layout of the detector, the baseline aluminium housing, and the use of 3D-printed hexagonal prototypes to validate integration of the bladder and readout electronics. A first-order structural assessment based on thin-shell and plate theory is presented, indicating large safety margins for the hemispherical shells and identifying the flat base as the mechanically most loaded component. While GEANT4 simulations for detector response to extensive air showers in the atmosphere and performance measurements are left to future work, the present study establishes a mechanically validated, costed baseline design and outlines the steps needed to assess its impact in air-shower arrays. Full article
(This article belongs to the Section High Energy Nuclear and Particle Physics)
Show Figures

Figure 1

18 pages, 343 KB  
Article
Childhood Sexual Trauma Severity Measurement: Redundancy in the Effects of Trauma Duration and Developmental Timing on Adverse Adult Outcomes
by Ashley C. Schuyler, Joseph A. Catania, Jesse A. Canchola and M. Margaret Dolcini
Sexes 2026, 7(1), 3; https://doi.org/10.3390/sexes7010003 - 22 Jan 2026
Abstract
Research suggests that the impact of childhood sexual trauma (CST) on adult well-being varies in relation to characteristics of CST experiences (e.g., age of onset and duration/frequency) that influence the degree of trauma severity. Yet there remains a need for a CST severity [...] Read more.
Research suggests that the impact of childhood sexual trauma (CST) on adult well-being varies in relation to characteristics of CST experiences (e.g., age of onset and duration/frequency) that influence the degree of trauma severity. Yet there remains a need for a CST severity measure that consistently delineates survivors with an elevated risk of adverse adult outcomes (AAOs) and accounts for correlations between severity characteristics. We compared two theory-based, categorical proxy measures of CST severity (duration and developmental timing) in their relationship with three AAOs, among a national probability sample of U.S. adult CST survivors (N = 568). We found a strong relationship between CST duration and developmental timing (p < 0.001), and redundancy in their impact on AAOs (i.e., no meaningful difference in how well they predicted AAOs). Participants with more chronic CST (≥4 years duration or occurring across childhood and adolescence) were twice as likely to report AAOs as other participants. Findings support the importance of assessing trauma chronicity in research and practice, to focus prevention and intervention strategies on CST survivors with the greatest long-term health risk. A categorical CST duration measure offers a theory-based assessment strategy that accounts for both the temporal and developmental effects of trauma severity on health outcomes. Full article
Show Figures

Graphical abstract

22 pages, 639 KB  
Article
Psychometric Validation of the Community Antimicrobial Use Scale (CAMUS) in Primary Healthcare and the Implications for Future Use
by Nishana Ramdas, Natalie Schellack, Corrie Uys, Brian Godman, Stephen M. Campbell and Johanna C. Meyer
Antibiotics 2026, 15(1), 107; https://doi.org/10.3390/antibiotics15010107 - 21 Jan 2026
Viewed by 59
Abstract
Background/Objectives: Patient-level factors strongly influence antimicrobial resistance (AMR) through the pressure applied to healthcare professionals to prescribe antibiotics even for self-limiting viral infections, enhanced by knowledge and attitude concerns. This includes Africa, with high levels of AMR. However, validated measurement tools for African [...] Read more.
Background/Objectives: Patient-level factors strongly influence antimicrobial resistance (AMR) through the pressure applied to healthcare professionals to prescribe antibiotics even for self-limiting viral infections, enhanced by knowledge and attitude concerns. This includes Africa, with high levels of AMR. However, validated measurement tools for African primary healthcare (PHC) are scarce. This study evaluated the reliability, structural validity, and interpretability of the Community Antimicrobial Use Scale (CAMUS) in South Africa. Methods: A cross-sectional survey was conducted with 1283 adults across 25 diverse public PHC facilities across two provinces. The 30-item theory-based tool underwent exploratory and confirmatory factor analysis (EFA/CFA), reliability, and validity testing. Results: EFA identified a coherent five-factor structure: (F1) Understanding antibiotics; (F2) Social and behavioural norms; (F3) Non-prescribed use; (F4) Understanding of AMR; and (F5) Attitudes. Internal consistency was strongest for knowledge and misuse domains (alpha approximation 0.80). Test–retest reliability was good-to-excellent (ICC: 0.72–0.89). CFA confirmed acceptable composite reliability (CR ≥ 0.63). Although average variance extracted (AVE) was low for broader behavioural constructs, indicating conceptual breadth, it was high for AMR knowledge (0.737). Construct validity was supported by positive correlations with health literacy (r = 0.48) and appropriate use intentions (r = 0.42). Measurement error metrics (SEM = 1.59; SDC = 4.40) indicated good precision for group-level comparisons. Conclusions: CAMUS demonstrated a theoretically grounded structure with robust performance in knowledge and misuse domains. While social and attitudinal domains require refinement, we believe the tool is psychometrically suitable for group-level antimicrobial use surveillance and programme evaluation in South African PHC settings and wider to help with targeting future educational programmes among patients. Full article
Show Figures

Figure 1

15 pages, 3355 KB  
Article
Deleterious Mutations in the Mitogenomes of Cetacean Populations
by Matthew Freeman, Umayal Ramasamy and Sankar Subramanian
Biology 2026, 15(2), 199; https://doi.org/10.3390/biology15020199 - 21 Jan 2026
Viewed by 44
Abstract
Cetaceans are artiodactyls adapted to live in the marine environment, and this group includes whales, dolphins, and porpoises. Although mitochondrial nucleotide diversity has been reported separately for many cetacean groups, the proportion of deleterious mutations in these populations is unknown. Furthermore, a comparison [...] Read more.
Cetaceans are artiodactyls adapted to live in the marine environment, and this group includes whales, dolphins, and porpoises. Although mitochondrial nucleotide diversity has been reported separately for many cetacean groups, the proportion of deleterious mutations in these populations is unknown. Furthermore, a comparison of mitogenomic diversities across all cetaceans is also lacking. To investigate this, we conducted a comparative genomic analysis of 2244 mitochondrial genomes from 65 populations across 32 cetacean species. We observed a 78-fold variation in mitogenomic diversity among cetacean populations, suggesting a large difference in genetic diversity. We used the ratio of nonsynonymous-to-synonymous diversities (dN/dS) to measure the proportion of deleterious mutations in the mitochondrial exomes. The dN/dS ratio showed a 22-fold difference between the cetacean population. Based on genetic theories, the large differences observed in the two measures could be attributed to differences in the effective sizes of the cetacean populations. Typically, small populations have low heterozygosity and a high dN/dS ratio, and the reverse is true for large populations. This was further confirmed by the negative correlation observed between heterozygosity and dN/dS ratios of cetacean populations. While our analysis revealed similarities in mitogenomic diversity between the endangered and least-concern cetacean species, the dN/dS ratio of the former was found to be higher than that of the latter. The findings of this study are useful for identifying the relative magnitude of reductions in the population sizes of different cetacean species. This will help conservation management efforts prioritise the use of limited resources, time, and effort to protect the cetacean populations that need immediate attention. Full article
(This article belongs to the Special Issue Genetic Variability within and between Populations)
Show Figures

Figure 1

19 pages, 4790 KB  
Article
Enhancing First-Year Mathematics Achievement Through a Complex Gamified Learning System
by Anna Muzsnay, Sára Szörényi, Anna K. Stirling, Csaba Szabó and Janka Szeibert
Educ. Sci. 2026, 16(1), 159; https://doi.org/10.3390/educsci16010159 - 20 Jan 2026
Viewed by 98
Abstract
The transition from high school to university-level mathematics is often accompanied by significant challenges. During the COVID-19 pandemic, these difficulties were further exacerbated by the abrupt shift to online learning. In response, educators increasingly turned to gamification—“a process of enhancing a service with [...] Read more.
The transition from high school to university-level mathematics is often accompanied by significant challenges. During the COVID-19 pandemic, these difficulties were further exacerbated by the abrupt shift to online learning. In response, educators increasingly turned to gamification—“a process of enhancing a service with affordances for gameful experiences in order to support users’ overall value creation”—as a strategy to address the limitations of remote instruction. In this study, we designed a gamified environment for a first-year Number Theory course. The system was constructed using targeted game elements such as leaderboards, optional challenge exams, and recognition for elegant solutions. These features were then integrated into a comprehensive point-based assessment system, which accounted for weekly quizzes and active participation. Following a quasi-experimental design, this study compared two groups of pre-service mathematics teachers: the class of 2017 (N = 62), which received traditional in-person instruction (control group), and the class of 2020 (N = 61), which participated in an online, gamified version of the course (experimental group). Both groups were taught by the same lecturer, using identical content, concepts, and similar tasks throughout the course. Academic performance was measured using midterm exam results. While no significant difference emerged on the first midterm in week 6 (their average percentages were 50% and 51%), the experimental group significantly outperformed the control group on the second midterm at the end of the term (their average percentages were 65% and 49%). These results suggest that a thoughtfully designed, gamified approach can enhance learning outcomes in an online mathematics course. Full article
Show Figures

Figure 1

15 pages, 13171 KB  
Article
Multi-Scale Modeling in Forming Limits Analysis of SUS430/Al1050/TA1 Laminates: Integrating Crystal Plasticity Finite Element with M–K Theory
by Xin Li, Chunguo Liu and Yunfeng Bai
Materials 2026, 19(2), 390; https://doi.org/10.3390/ma19020390 - 18 Jan 2026
Viewed by 277
Abstract
Numerical simulations of the forming limit diagram (FLD) for SUS430/Al1050/TA1 laminated metal composites (LMCs) are conducted through the crystal plasticity finite element (CPFE) model integrated with the Marciniak–Kuczyński (M–K) theory. Representative volume elements (RVEs) that reconstruct the measured crystallographic texture, as characterized by [...] Read more.
Numerical simulations of the forming limit diagram (FLD) for SUS430/Al1050/TA1 laminated metal composites (LMCs) are conducted through the crystal plasticity finite element (CPFE) model integrated with the Marciniak–Kuczyński (M–K) theory. Representative volume elements (RVEs) that reconstruct the measured crystallographic texture, as characterized by electron backscatter diffraction (EBSD), are developed. The optimal grain number and mesh density for the RVE are calibrated through convergence analysis by curve-fitting simulated stress–strain responses to the uniaxial tensile data. The established multi-scale model successfully predicts the FLDs of the SUS430/Al1050/TA1 laminated sheet under two stacking sequences, namely, the SUS layer or the TA1 layer in contact with the die. The Nakazima test results validate the effectiveness of the proposed model as an efficient and accurate predictive tool. This study extends the CPFE–MK framework to multi-layer LMCs, overcoming the limitations of conventional single-layer models, which incorporate FCC, BCC, and HCP crystalline structures. Furthermore, the deformation-induced texture evolution under different loading paths is analyzed, establishing the relationship between micro-scale deformation mechanisms and the macro-scale forming behavior. Full article
(This article belongs to the Section Metals and Alloys)
Show Figures

Graphical abstract

22 pages, 761 KB  
Article
Crafting Your Employability: How Job Crafting Relates to Sustainable Employability Under the Self-Determination Theory and Role Theory
by Ramdan Afnek and Amir Khadem
Sustainability 2026, 18(2), 979; https://doi.org/10.3390/su18020979 - 18 Jan 2026
Viewed by 228
Abstract
Amid increasing job complexity and evolving career demands, understanding how employees can proactively sustain their employability has become a critical concern for organizations. Although prior research highlights the importance of job crafting for employability, the motivational mechanisms through which this relationship unfolds—and the [...] Read more.
Amid increasing job complexity and evolving career demands, understanding how employees can proactively sustain their employability has become a critical concern for organizations. Although prior research highlights the importance of job crafting for employability, the motivational mechanisms through which this relationship unfolds—and the contextual conditions under which it is strengthened or weakened—remain insufficiently understood. Drawing on self-determination theory and role theory, this study examines how job crafting influences sustainable employability through the mediating role of self-determination and the moderating role of role ambiguity. Using a two-wave, time-lagged survey design, data were collected from 989 employees across diverse industries in Türkiye. Job crafting and role ambiguity were measured at Time 1, while self-determination and sustainable employability were assessed one month later. The proposed relationships were tested using confirmatory factor analysis and conditional process analysis. The results show that job crafting is positively associated with both self-determination and sustainable employability. Self-determination partially mediates the relationship between job crafting and sustainable employability, indicating that proactive job redesign enhances employability by fostering autonomous motivation. Moreover, role ambiguity weakens the positive effects of job crafting on both self-determination and sustainable employability, highlighting the importance of role clarity as a boundary condition. This study advances the job crafting and sustainable employability literature by identifying self-determination as a key motivational mechanism and by demonstrating how role ambiguity constrains the benefits of proactive work behavior. By integrating self-determination theory with role theory, the findings offer nuanced insights into how employee agency and contextual clarity jointly support sustainable employability in dynamic work environments. Full article
Show Figures

Figure 1

21 pages, 3501 KB  
Article
Subsurface Fracture Mapping in Adhesive Interfaces Using Terahertz Spectroscopy
by Mahavir Singh, Sushrut Karmarkar, Marco Herbsommer, Seongmin Yoon and Vikas Tomar
Materials 2026, 19(2), 388; https://doi.org/10.3390/ma19020388 - 18 Jan 2026
Viewed by 181
Abstract
Adhesive fracture in layered structures is governed by subsurface crack evolution that cannot be accessed using surface-based diagnostics. Methods such as digital image correlation and optical spectroscopy measure surface deformation but implicitly assume a straight and uniform crack front, an assumption that becomes [...] Read more.
Adhesive fracture in layered structures is governed by subsurface crack evolution that cannot be accessed using surface-based diagnostics. Methods such as digital image correlation and optical spectroscopy measure surface deformation but implicitly assume a straight and uniform crack front, an assumption that becomes invalid for interfacial fracture with wide crack openings and asymmetric propagation. In this work, terahertz time-domain spectroscopy (THz-TDS) is combined with double-cantilever beam testing to directly map subsurface crack-front geometry in opaque adhesive joints. A strontium titanate-doped epoxy is used to enhance dielectric contrast. Multilayer refractive index extraction, pulse deconvolution, and diffusion-based image enhancement are employed to separate overlapping terahertz echoes and reconstruct two-dimensional delay maps of interfacial separation. The measured crack geometry is coupled with load–displacement data and augmented beam theory to compute spatially averaged stresses and energy release rates. The measurements resolve crack openings down to approximately 100 μm and reveal pronounced width-wise non-uniform crack advance and crack-front curvature during stable growth. These observations demonstrate that surface-based crack-length measurements can either underpredict or overpredict fracture toughness depending on the measurement location. Fracture toughness values derived from width-averaged subsurface crack fronts agree with J-integral estimates obtained from surface digital image correlation. Signal-to-noise limitations near the crack tip define the primary resolution limit. The results establish THz-TDS as a quantitative tool for subsurface fracture mechanics and provide a framework for physically representative toughness measurements in layered and bonded structures. Full article
Show Figures

Graphical abstract

45 pages, 2207 KB  
Article
Integrating the Contrasting Perspectives Between the Constrained Disorder Principle and Deterministic Optical Nanoscopy: Enhancing Information Extraction from Imaging of Complex Systems
by Yaron Ilan
Bioengineering 2026, 13(1), 103; https://doi.org/10.3390/bioengineering13010103 - 15 Jan 2026
Viewed by 191
Abstract
This paper examines the contrasting yet complementary approaches of the Constrained Disorder Principle (CDP) and Stefan Hell’s deterministic optical nanoscopy for managing noise in complex systems. The CDP suggests that controlled disorder within dynamic boundaries is crucial for optimal system function, particularly in [...] Read more.
This paper examines the contrasting yet complementary approaches of the Constrained Disorder Principle (CDP) and Stefan Hell’s deterministic optical nanoscopy for managing noise in complex systems. The CDP suggests that controlled disorder within dynamic boundaries is crucial for optimal system function, particularly in biological contexts, where variability acts as an adaptive mechanism rather than being merely a measurement error. In contrast, Hell’s recent breakthrough in nanoscopy demonstrates that engineered diffraction minima can achieve sub-nanometer resolution without relying on stochastic (random) molecular switching, thereby replacing randomness with deterministic measurement precision. Philosophically, these two approaches are distinct: the CDP views noise as functionally necessary, while Hell’s method seeks to overcome noise limitations. However, both frameworks address complementary aspects of information extraction. The primary goal of microscopy is to provide information about structures, thereby facilitating a better understanding of their functionality. Noise is inherent to biological structures and functions and is part of the information in complex systems. This manuscript achieves integration through three specific contributions: (1) a mathematical framework combining CDP variability bounds with Hell’s precision measurements, validated through Monte Carlo simulations showing 15–30% precision improvements; (2) computational demonstrations with N = 10,000 trials quantifying performance under varying biological noise regimes; and (3) practical protocols for experimental implementation, including calibration procedures and real-time parameter optimization. The CDP provides a theoretical understanding of variability patterns at the system level, while Hell’s technique offers precision tools at the molecular level for validation. Integrating these approaches enables multi-scale analysis, allowing for deterministic measurements to accurately quantify the functional variability that the CDP theory predicts is vital for system health. This synthesis opens up new possibilities for adaptive imaging systems that maintain biologically meaningful noise while achieving unprecedented measurement precision. Specific applications include cancer diagnostics through chromosomal organization variability, neurodegenerative disease monitoring via protein aggregation disorder patterns, and drug screening by assessing cellular response heterogeneity. The framework comprises machine learning integration pathways for automated recognition of variability patterns and adaptive acquisition strategies. Full article
(This article belongs to the Section Biosignal Processing)
Show Figures

Figure 1

19 pages, 7967 KB  
Article
State-of-Charge Estimation of Lithium-Ion Batteries Based on GMMCC-AEKF in Non-Gaussian Noise Environment
by Fuxiang Li, Haifeng Wang, Hao Chen, Limin Geng and Chunling Wu
Batteries 2026, 12(1), 29; https://doi.org/10.3390/batteries12010029 - 14 Jan 2026
Viewed by 167
Abstract
To improve the accuracy and robustness of lithium-ion battery state of charge (SOC) estimation, this paper proposes a generalized mixture maximum correlation-entropy criterion-based adaptive extended Kalman filter (GMMCC-AEKF) algorithm, addressing the performance degradation of the traditional extended Kalman filter (EKF) under non-Gaussian noise [...] Read more.
To improve the accuracy and robustness of lithium-ion battery state of charge (SOC) estimation, this paper proposes a generalized mixture maximum correlation-entropy criterion-based adaptive extended Kalman filter (GMMCC-AEKF) algorithm, addressing the performance degradation of the traditional extended Kalman filter (EKF) under non-Gaussian noise and inaccurate initial conditions. Based on the GMMCC theory, the proposed algorithm introduces an adaptive mechanism and employs two generalized Gaussian kernels to construct a mixed kernel function, thereby formulating the generalized mixture correlation-entropy criterion. This enhances the algorithm’s adaptability to complex non-Gaussian noise. Simultaneously, by incorporating adaptive filtering concepts, the state and measurement covariance matrices are dynamically adjusted to improve stability under varying noise intensities and environmental conditions. Furthermore, the use of statistical linearization and fixed-point iteration techniques effectively improves both the convergence behavior and the accuracy of nonlinear system estimation. To investigate the effectiveness of the suggested method, experiments for SOC estimation were implemented using two lithium-ion cells featuring distinct rated capacities. These tests employed both dynamic stress test (DST) and federal test procedure (FTP) profiles under three representative temperature settings: 40 °C, 25 °C, and 10 °C. The experimental findings prove that when exposed to non-Gaussian noise, the GMMCC-AEKF algorithm consistently outperforms both the traditional EKF and the generalized mixture maximum correlation-entropy-based extended Kalman filter (GMMCC-EKF) under various test conditions. Specifically, under the 25 °C DST profile, GMMCC-AEKF improves estimation accuracy by 86.54% and 10.47% over EKF and GMMCC-EKF, respectively, for the No. 1 battery. Under the FTP profile for the No. 2 battery, it achieves improvements of 55.89% and 28.61%, respectively. Even under extreme temperatures (10 °C, 40 °C), GMMCC-AEKF maintains high accuracy and stable convergence, and the algorithm demonstrates rapid convergence to the true SOC value. In summary, the GMMCC-AEKF confirms excellent estimation accuracy under various temperatures and non-Gaussian noise conditions, contributing a practical approach for accurate SOC estimation in power battery systems. Full article
Show Figures

Graphical abstract

36 pages, 6828 KB  
Article
Discriminating Music Sequences Method for Music Therapy—DiMuSe
by Emil A. Canciu, Florin Munteanu, Valentin Muntean and Dorin-Mircea Popovici
Appl. Sci. 2026, 16(2), 851; https://doi.org/10.3390/app16020851 - 14 Jan 2026
Viewed by 109
Abstract
The purpose of this research was to investigate whether music empirically associated with therapeutic effects contains intrinsic informational structures that differentiate it from other sound sequences. Drawing on ontology, phenomenology, nonlinear dynamics, and complex systems theory, we hypothesize that therapeutic relevance may be [...] Read more.
The purpose of this research was to investigate whether music empirically associated with therapeutic effects contains intrinsic informational structures that differentiate it from other sound sequences. Drawing on ontology, phenomenology, nonlinear dynamics, and complex systems theory, we hypothesize that therapeutic relevance may be linked to persistent structural patterns embedded in musical signals rather than to stylistic or genre-related attributes. This paper introduces the Discriminating Music Sequences (DiMuSes) method, an unsupervised, structure-oriented analytical framework designed to detect such patterns. The method applies 24 scalar evaluators derived from statistics, fractal geometry, nonlinear physics, and complex systems, transforming sound sequences into multidimensional vectors that characterize their global temporal organization. Principal Component Analysis (PCA) reduces this feature space to three dominant components (PC1–PC3), enabling visualization and comparison in a reduced informational space. Unsupervised k-Means clustering is subsequently applied in the PCA space to identify groups of structurally similar sound sequences, with cluster quality evaluated using Silhouette and Davies–Bouldin indices. Beyond clustering, DiMuSe implements ranking procedures based on relative positions in the PCA space, including distance to cluster centroids, inter-item proximity, and stability across clustering configurations, allowing melodies to be ordered according to their structural proximity to the therapeutic cluster. The method was first validated using synthetically generated nonlinear signals with known properties, confirming its capacity to discriminate structured time series. It was then applied to a dataset of 39 music and sound sequences spanning therapeutic, classical, folk, religious, vocal, natural, and noise categories. The results show that therapeutic music consistently forms a compact and well-separated cluster and ranks highly in structural proximity measures, suggesting shared informational characteristics. Notably, pink noise and ocean sounds also cluster near therapeutic music, aligning with independent evidence of their regulatory and relaxation effects. DiMuSe-derived rankings were consistent with two independent studies that identified the same musical pieces as highly therapeutic.The present research remains at a theoretical stage. Our method has not yet been tested in clinical or experimental therapeutic settings and does not account for individual preference, cultural background, or personal music history, all of which strongly influence therapeutic outcomes. Consequently, DiMuSe does not claim to predict individual efficacy but rather to identify structural potential at the signal level. Future work will focus on clinical validation, integration of biometric feedback, and the development of personalized extensions that combine intrinsic informational structure with listener-specific response data. Full article
12 pages, 1720 KB  
Article
Field- and Angle-Dependent AC Susceptibility in Multigrain La0.66Sr0.34MnO3 Thin Films on YSZ(001) Substrates
by Gražina Grigaliūnaitė-Vonsevičienė and Artūras Jukna
Materials 2026, 19(2), 331; https://doi.org/10.3390/ma19020331 - 14 Jan 2026
Viewed by 216
Abstract
Experimental and numerical investigations of the alternating current (AC) susceptibility, χH ~ dM/dH, examined multigrain La0.66Sr0.34MnO3 (LSMO) thin films (thickness d = 250 nm) grown by radio-frequency (RF) magnetron sputtering [...] Read more.
Experimental and numerical investigations of the alternating current (AC) susceptibility, χH ~ dM/dH, examined multigrain La0.66Sr0.34MnO3 (LSMO) thin films (thickness d = 250 nm) grown by radio-frequency (RF) magnetron sputtering on lattice-mismatched yttria-stabilized zirconia YSZ(001) substrates. The films exhibit a columnar structure comprising two types of grains, with (001)- and (011)-oriented planes of a pseudocubic lattice aligned parallel to the film surface. Field- and angle-dependent AC susceptibility measurements at 78 K reveal characteristic peak- and tip-like anomalies, attributed to contributions from grains with three distinct directions of easy magnetization axes within the film plane. Numerical modeling based on the transverse susceptibility theory for single-domain ferromagnetic grains, incorporating first- and second-order anisotropy constants, corroborates the experimental findings and elucidates the role of different grain types in magnetization switching and AC susceptibility response. This study provides a quantitative determination of the three in-plane easy magnetization axes in LSMO/YSZ(001) films and clarifies their influence on the magnetization dynamics of multigrain thin films. The demonstrated control over multigrain LSMO/YSZ(001) thin films with distinct in-plane easy magnetization axes and well-characterized AC susceptibility suggests potential applications in magnetic memory, spintronic devices, and precision magnetic sensing. Full article
Show Figures

Figure 1

17 pages, 2178 KB  
Review
AC-Diagnostics of Transport Phenomena in Dilute Suspensions
by Ioulia Chikina
Metrology 2026, 6(1), 5; https://doi.org/10.3390/metrology6010005 - 12 Jan 2026
Viewed by 103
Abstract
Impedance diagnostics is commonly employed in the study of transport phenomena in conducting media of different sizes. A common reason for choosing the more complex method of exciting the conductive medium at finite frequencies (ac mode) instead of the relatively simple [...] Read more.
Impedance diagnostics is commonly employed in the study of transport phenomena in conducting media of different sizes. A common reason for choosing the more complex method of exciting the conductive medium at finite frequencies (ac mode) instead of the relatively simple method of excitation at zero frequency (dc mode) is to eliminate the influence of contact phenomena on the current–volt charateristic (IVC) during dc measurements. In this paper, we analyze relaxation phenomena in electrolytes with linear electrohydrodynamics in terms of dopant density nd. It is shown that the requirement of linearity on nd of the electrohydrodynamics of dilute solutions cannot be satisfied by the Debye–Huckel–Onsager theory of electrolyte conductivity. A linear alternative based on the fundamental principles of the theory of transport in finely dispersed two-phase systems is proposed. This alternative is referred to in the literature as Maxwell’s formalism. It is noted that, in this case, there is a consistent possibility of treating the observed relaxation time, τc, as impedance time τrc(τcτrc=RC). Here, R is the resistance of the dilute electrolyte part of the cell, and C is the electrolytic capacitance of the same cell. This capacitance does not coincide with the traditional geometric one, C0<<C, and has to be calculated self-consistently. Examples of the successful application of RC-consistent ac diagnostics are discussed. This refers to the numerous instances in which the effective conductivity of various colloidal media deviates from the predictions of Maxwell’s well-known theory and to the correct interpretation of these anomalies in the RC representation. Full article
Show Figures

Figure 1

23 pages, 838 KB  
Article
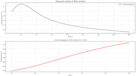
Stability for Caputo–Hadamard Fractional Uncertain Differential Equation
by Shida Peng, Zhi Li, Jun Zhang, Yuncong Zhu and Liping Xu
Fractal Fract. 2026, 10(1), 50; https://doi.org/10.3390/fractalfract10010050 - 12 Jan 2026
Viewed by 137
Abstract
This paper focuses on the Caputo-Hadamard fractional uncertain differential equations (CH-FUDEs) governed by Liu processes, which combine the Caputo–Hadamard fractional derivative with uncertain differential equations to describe dynamic systems involving memory characteristics and uncertain information. Within the framework of uncertain theory, this Liu [...] Read more.
This paper focuses on the Caputo-Hadamard fractional uncertain differential equations (CH-FUDEs) governed by Liu processes, which combine the Caputo–Hadamard fractional derivative with uncertain differential equations to describe dynamic systems involving memory characteristics and uncertain information. Within the framework of uncertain theory, this Liu process serves as the counterpart to Brownian motion. We establish some new Bihari type fractional inequalities that are easy to apply in practice and can be considered as a more general tool in some situations. As applications of those inequalities, we establish the well-posedness of a proposed class of equations under specified non-Lipschitz conditions. Building upon this result, we establish the notions of stability in distribution and stability in measure solutions to CH-FUDEs, deriving sufficient conditions to ensure these stability properties. Finally, the theoretical findings are verified through two numerical examples. Full article
(This article belongs to the Section General Mathematics, Analysis)
Show Figures

Figure 1

Back to TopTop