Sign in to use this feature.

Years

Between: -

Subjects

remove_circle_outline
remove_circle_outline
remove_circle_outline
remove_circle_outline
remove_circle_outline
remove_circle_outline
remove_circle_outline
remove_circle_outline
remove_circle_outline

Journals

remove_circle_outline
remove_circle_outline
remove_circle_outline
remove_circle_outline
remove_circle_outline
remove_circle_outline
remove_circle_outline
remove_circle_outline
remove_circle_outline
remove_circle_outline
remove_circle_outline
remove_circle_outline
remove_circle_outline
remove_circle_outline
remove_circle_outline
remove_circle_outline

Article Types

Countries / Regions

remove_circle_outline
remove_circle_outline
remove_circle_outline
remove_circle_outline
remove_circle_outline

Search Results (1,171)

Search Parameters:
Keywords = trust mechanisms

Order results
Result details
Results per page
Select all
Export citation of selected articles as:
22 pages, 562 KB  
Article
Rule-Breaking and Rulemaking: Governance of the Antibiotic Value Chain in Rural and Peri-Urban India
by Anne-Sophie Jung, Indranil Samanta, Sanghita Bhattacharyya, Gerald Bloom, Pablo Alarcon and Meenakshi Gautham
Antibiotics 2025, 14(12), 1269; https://doi.org/10.3390/antibiotics14121269 - 15 Dec 2025
Abstract
Background/Objectives: Antimicrobial resistance (AMR) is a growing global health challenge, driven in part by how antibiotics are accessed, distributed, and used within complex value chains. In peri-urban India, these supply chains involve a range of formal and informal actors and practices, making [...] Read more.
Background/Objectives: Antimicrobial resistance (AMR) is a growing global health challenge, driven in part by how antibiotics are accessed, distributed, and used within complex value chains. In peri-urban India, these supply chains involve a range of formal and informal actors and practices, making them a critical yet underexamined focus for antimicrobial stewardship efforts. While much research has focused on the manufacturing and regulatory end, less is known about how antibiotics reach consumers in rural and peri-urban settings. This study aimed to map the human antibiotic value chain in West Bengal, India, and to analyse how formal and informal governance structures influence antibiotic use and stewardship. Methods: This qualitative study was conducted in two Gram Panchayats in South 24 Parganas district, West Bengal, India. Semi-structured interviews were carried out with 31 key informants, including informal providers, medical representatives, wholesalers, pharmacists, and regulators. Interviews explored the structure of the antibiotic value chain, actor relationships, and regulatory mechanisms. Data were analysed thematically using a value chain governance framework and NVivo 12 for coding. Results: The antibiotic value chain in rural West Bengal is highly fragmented and governed by overlapping formal and informal rules. Multiple actors—many holding dual or unofficial roles—operate across four to five tiers of distribution. Informal providers play a central role in both prescription and dispensing, often without legal licences but with strong community trust. Informal norms, credit systems, and market incentives shape prescribing behaviour, while formal regulatory enforcement is inconsistent or absent. Conclusions: Efforts to promote antibiotic stewardship must move beyond binary formal–informal distinctions and target governance structures across the entire value chain. Greater attention should be paid to actors higher up the chain, including wholesalers and pharmaceutical marketing networks, to improve stewardship and access simultaneously. This study highlights how fragmented governance structures, overlapping actor roles, and uneven regulation within antibiotic value chains create critical gaps that must be addressed to design effective antimicrobial stewardship strategies. Full article
Show Figures

Figure 1

18 pages, 824 KB  
Article
Ivy Oracle: A Robust and Time-Trustworthy Data Feed Framework for Smart Contracts
by Hanyang Xie, Yuping Yan, Xu Yao, Kun Zhang, Yingwei Liang and Zhe Lin
Electronics 2025, 14(24), 4915; https://doi.org/10.3390/electronics14244915 - 15 Dec 2025
Abstract
Smart contracts rely on blockchain oracles to access off-chain data, yet existing oracle designs often face challenges such as untrustworthy data sources, weak temporal guarantees, and limited verifiability. This work presents Ivy Oracle, a robust and time-trustworthy data feed framework that enhances the [...] Read more.
Smart contracts rely on blockchain oracles to access off-chain data, yet existing oracle designs often face challenges such as untrustworthy data sources, weak temporal guarantees, and limited verifiability. This work presents Ivy Oracle, a robust and time-trustworthy data feed framework that enhances the reliability and auditability of off-chain information for smart contracts. Ivy Oracle integrates trusted execution environments (TEEs) for secure data acquisition, an external time server for authenticated timestamps, and a PageRank-based trust model to evaluate source credibility. We implement and evaluate Ivy Oracle on the Ethereum Sepolia testnet, demonstrating that it achieves up to 63.6% lower on-chain gas consumption than Chainlink for signature verification while maintaining only a slight increase in communication overhead due to its dual-attestation mechanism. These results confirm that Ivy Oracle provides strong time trustworthiness and data reliability with minimal performance cost, making it suitable for latency-sensitive blockchain applications. Full article
(This article belongs to the Special Issue Recent Advances in IoT/Blockchain Security and Privacy)
Show Figures

Figure 1

20 pages, 1274 KB  
Article
The Future of ESG in Multinationals: How Digital Twin Technologies Enable Strategic Value Creation
by Eliza Ciobanu
Systems 2025, 13(12), 1121; https://doi.org/10.3390/systems13121121 - 15 Dec 2025
Abstract
This study examines the role of Digital Twin technologies in advancing Environmental, Social, and Governance performance within multinational corporations. Grounded in socio-technical systems theory and stakeholder theory, the research investigates how digital twins facilitate the integration of organizational capabilities with external accountability mechanisms. [...] Read more.
This study examines the role of Digital Twin technologies in advancing Environmental, Social, and Governance performance within multinational corporations. Grounded in socio-technical systems theory and stakeholder theory, the research investigates how digital twins facilitate the integration of organizational capabilities with external accountability mechanisms. A multi-method research design is employed, comprising in-depth case studies, capital market event analysis, and machine learning-assisted regression to capture both qualitative and empirical insights. Case evidence from Siemens, Unilever, Tesla, and BP reveals that DT adoption is associated with measurable ESG gains, including reduced emissions, improved safety, enhanced supplier compliance, and accelerated reporting cycles. Event study findings show statistically significant abnormal returns following ESG-oriented DT announcements, while regression analysis confirms a positive association between DT adoption and ESG performance. Governance structures are explored as potential moderators of this relationship. The findings underscore DTs as strategic enablers of ESG value creation, beyond their technical utility. By enhancing transparency, auditability, and stakeholder trust, DTs contribute to both internal transformation and external legitimacy. This research advances the discourse on ESG digitalization and offers actionable implications for corporate leaders and policymakers seeking to foster sustainable, technology-driven governance in complex global value chains. However, because the quantitative component relies on cross-sectional data, the relationships identified should be interpreted as associations rather than definitive causal effects. Full article
Show Figures

Figure 1

20 pages, 484 KB  
Article
Material Deprivation, Institutional Trust, and Mental Well-Being: Evidence from Self-Employed Europeans
by Inna Majoor-Kozlinska
Adm. Sci. 2025, 15(12), 489; https://doi.org/10.3390/admsci15120489 - 15 Dec 2025
Abstract
Material deprivation, defined as the inability to afford essential goods and services, is a key determinant of psychological well-being across Europe. While prior research links deprivation to lower well-being and diminished institutional trust, few or no studies to date have examined how trust [...] Read more.
Material deprivation, defined as the inability to afford essential goods and services, is a key determinant of psychological well-being across Europe. While prior research links deprivation to lower well-being and diminished institutional trust, few or no studies to date have examined how trust itself might operate as a mechanism connecting these phenomena in an entrepreneurial context. The current study investigates whether institutional trust mediates the relationship between material deprivation and mental well-being among self-employed individuals across Europe. Drawing on data from the 2016 European Quality of Life Survey (N = 2373), the analysis focuses on the self-employed, a group particularly vulnerable to material insecurity due to limited access to welfare protections. Mental well-being is measured through positive emotions, energy levels, restfulness, and a sense of fulfilment, while institutional trust refers to confidence in government, parliament, the legal system, and local authorities. The results of structural equation modelling show that material deprivation is negatively associated with both institutional trust and mental well-being and that trust partially mediates this link. The findings suggest that when self-employed individuals face material deprivation, reduced trust in public institutions partly explains their lower well-being. This study contributes to entrepreneurial well-being research by highlighting the role of institutional trust as a cognitive belief-based mechanism through which economic insecurity affects mental well-being. Full article
Show Figures

Figure 1

21 pages, 521 KB  
Article
Entrepreneurship Under Fire: Psychological Distress During Armed Conflict from a Public Health Perspective
by Sharon Hadad and Ohad Shaked
Int. J. Environ. Res. Public Health 2025, 22(12), 1866; https://doi.org/10.3390/ijerph22121866 - 15 Dec 2025
Abstract
On 7 October 2023, Israel experienced a large-scale attack, initiating the Iron Swords War (also known internationally as the 2023 Israel–Hamas War). This protracted armed conflict profoundly disrupted social and economic life in Israel and the region. This study investigates the psychological distress [...] Read more.
On 7 October 2023, Israel experienced a large-scale attack, initiating the Iron Swords War (also known internationally as the 2023 Israel–Hamas War). This protracted armed conflict profoundly disrupted social and economic life in Israel and the region. This study investigates the psychological distress of small business owners in the aftermath of this terrorist assault and during the ensuing conflict. Drawing on a nationwide survey of 363 entrepreneurs, we applied a two-stage higher-order PLS-SEM model to examine how economic stressors, psychological and institutional resources, and demographic factors shaped distress. The findings reveal that uncertainty and revenue loss intensified distress, while resilience, hope, and trust in government operated as protective resources, with notable gender differences also observed. Beyond its economic and psychological relevance, the study situates entrepreneurial distress within a broader public health perspective, viewing the mental health and well-being of small business owners as integral to community resilience, social stability, and national recovery during crises. By framing entrepreneurial distress and resilience as key determinants of population mental health and collective well-being, this research underscores how supporting entrepreneurs contributes to wider health promotion and psychosocial recovery efforts. Overall, the study offers a novel multidimensional empirical analysis of entrepreneurial distress during armed conflict, underscoring the psychological mechanisms through which terrorism and its aftermath affect small business owners, and highlighting the need for resilience-building and institutional support to mitigate mental health burdens. Full article
Show Figures

Figure 1

32 pages, 824 KB  
Article
AI Transparency and Sustainable Travel Under Climate Risk: A Geographical Perspective on Trust, Spatial Decision-Making, and Rural Destination Resilience
by Aleksandra Vujko, Darjan Karabašević, Aleksa Panić, Martina Arsić and Vuk Mirčetić
Sustainability 2025, 17(24), 11200; https://doi.org/10.3390/su172411200 - 14 Dec 2025
Abstract
Tourism is a key spatial process linking human mobility, resource consumption, and environmental change. Despite growing awareness of climate risks, sustainable travel behavior often remains inconsistent with pro-environmental attitudes, reflecting the persistent attitude–behavior gap. This study examines how psychological factors—sustainability motives, ecological identity, [...] Read more.
Tourism is a key spatial process linking human mobility, resource consumption, and environmental change. Despite growing awareness of climate risks, sustainable travel behavior often remains inconsistent with pro-environmental attitudes, reflecting the persistent attitude–behavior gap. This study examines how psychological factors—sustainability motives, ecological identity, and climate attitudes—interact with artificial intelligence (AI) transparency to shape travel decisions with spatial and environmental consequences. Using survey data from 1795 leisure travelers and a discrete-choice experiment simulating hotel booking scenarios, the study shows that ecological identity and climate attitudes reinforce sustainability motives and intentions, while transparent AI recommendations enhance perceived clarity, data visibility, and reliability. These transparency effects amplify the influence of eco-scores on revealed spatial preferences, with trust mediating the relationship between transparency and sustainable choices. Conceptually, the study integrates psychological and technological perspectives within a geographical framework of human–environment interaction and extends this lens to rural destinations, where travel decisions directly affect cultural landscapes and climate-sensitive ecosystems. Practically, the findings demonstrate that transparent AI systems can guide spatial redistribution of tourist flows, mitigate destination-level climate pressures, and support equitable resource management in sustainable tourism planning. These mechanisms are particularly relevant for rural areas and traditional cultural landscapes facing heightened vulnerability to climate stress, depopulation, and uneven visitation patterns. Transparent and trustworthy AI can thus convert environmental awareness into spatially sustainable behavior, contributing to more resilient and balanced tourism geographies. Full article
(This article belongs to the Special Issue Sustainable Tourism and the Cultural Landscape in Rural Areas)
Show Figures

Figure 1

26 pages, 4740 KB  
Article
Revolutionizing Intelligent Decision-Making in Big Data and AI-Generated Networks Through a Picture Fuzzy FUCA Framework
by Yantu Ma
Symmetry 2025, 17(12), 2147; https://doi.org/10.3390/sym17122147 - 13 Dec 2025
Viewed by 36
Abstract
In the current digital landscape, where platforms process AI-generated content and intelligent network traffic on a large scale, it is the duty of such platforms to continuously measure the reliability, trustworthiness, and security of various data streams. Driven by this practical challenge, this [...] Read more.
In the current digital landscape, where platforms process AI-generated content and intelligent network traffic on a large scale, it is the duty of such platforms to continuously measure the reliability, trustworthiness, and security of various data streams. Driven by this practical challenge, this research develops an effective decision-support mechanism in intelligent decision-making in big-data AI-generated content and network systems. The decision problem has considered several uncertainties, including content authenticity, processing efficiency, user trust, cybersecurity, system scalability, privacy protection, and cost of computing. The multidimensional uncertainty of AI-generated information and trends in network behavior are challenging to capture in traditional crisp and fuzzy decision-making models. To fill that gap, a new Picture Fuzzy Faire Un Choix Adequat (PF-FUCA) methodology is proposed, based on multi-perspective expert assessment and better computational aggregation to improve the accuracy of rankings, symmetry, and uncertainty treatment. A case scenario comprising fifteen different alternative intelligent decision strategies and seven evaluation criteria are examined under the evaluation of four decision-makers. The PF-FUCA model successfully prioritizes the best strategies to control AI-based content and network activities to generate a stable and realistic ranking. The comparative and sensitivity analysis show higher robustness, accuracy, and flexibility levels than the existing MCDM techniques. The results indicate that PF-FUCA is specifically beneficial in settings where a large amount of data has to flow, a high uncertainty rate exists, and the variables of decision are dynamic. The research introduces a scalable and credible methodological conception that can be used to facilitate high levels of intelligent computing applications to content governance and network optimization. Full article
(This article belongs to the Section Computer)
30 pages, 992 KB  
Article
Relational Mechanisms, Community Leadership and Value-Based Governance in Digital Living Labs: The Catalonia Case
by Marta Martorell Camps and Fàtima Canseco-Lopez
Sustainability 2025, 17(24), 11170; https://doi.org/10.3390/su172411170 - 12 Dec 2025
Viewed by 143
Abstract
Living Labs (LLs) are key for collaborative and value-based innovation, though their relational and governance mechanisms are still being explored. This study focuses on examining how relational dynamics and community leadership influence the design, governance, and replicability of a Digital Living Labs (DLLs) [...] Read more.
Living Labs (LLs) are key for collaborative and value-based innovation, though their relational and governance mechanisms are still being explored. This study focuses on examining how relational dynamics and community leadership influence the design, governance, and replicability of a Digital Living Labs (DLLs) methodology. The research examines the DLLs of Catalonia using a combination of 15 qualitative interviews and 104 survey responses, with a mixed-methods design adopted. This regional initiative is based on Quadruple Helix (4-H) collaboration and value-driven innovation. The findings show that inclusive participation is enabled through core relational infrastructures. These relationships are built on trust-building, collaboration, facilitation, and knowledge exchange. Community leaders complemented facilitators through harmonizing institutional objectives with local priorities, reinforcing distributed governance, and generating public value. Inclusion, equity, transparency, and solidarity were essential to engagement and collective ownership. The study’s results indicate that effective DLLs transferability depends more on reinforcing relational foundations and shared values than on replicating fixed structures. Full article
(This article belongs to the Special Issue Sustainable Impact and Systemic Change via Living Labs)
17 pages, 640 KB  
Systematic Review
A Systematic Review of Building Energy Management Systems (BEMSs): Sensors, IoT, and AI Integration
by Leyla Akbulut, Kubilay Taşdelen, Atılgan Atılgan, Mateusz Malinowski, Ahmet Coşgun, Ramazan Şenol, Adem Akbulut and Agnieszka Petryk
Energies 2025, 18(24), 6522; https://doi.org/10.3390/en18246522 - 12 Dec 2025
Viewed by 101
Abstract
The escalating global demand for energy-efficient and sustainable built environments has catalyzed the advancement of Building Energy Management Systems (BEMSs), particularly through their integration with cutting-edge technologies. This review presents a comprehensive and critical synthesis of the convergence between BEMSs and enabling tools [...] Read more.
The escalating global demand for energy-efficient and sustainable built environments has catalyzed the advancement of Building Energy Management Systems (BEMSs), particularly through their integration with cutting-edge technologies. This review presents a comprehensive and critical synthesis of the convergence between BEMSs and enabling tools such as the Internet of Things (IoT), wireless sensor networks (WSNs), and artificial intelligence (AI)-based decision-making architectures. Drawing upon 89 peer-reviewed publications spanning from 2019 to 2025, the study systematically categorizes recent developments in HVAC optimization, occupancy-driven lighting control, predictive maintenance, and fault detection systems. It further investigates the role of communication protocols (e.g., ZigBee, LoRaWAN), machine learning-based energy forecasting, and multi-agent control mechanisms within residential, commercial, and institutional building contexts. Findings across multiple case studies indicate that hybrid AI–IoT systems have achieved energy efficiency improvements ranging from 20% to 40%, depending on building typology and control granularity. Nevertheless, the widespread adoption of such intelligent BEMSs is hindered by critical challenges, including data security vulnerabilities, lack of standardized interoperability frameworks, and the complexity of integrating heterogeneous legacy infrastructure. Additionally, there remain pronounced gaps in the literature related to real-time adaptive control strategies, trust-aware federated learning, and seamless interoperability with smart grid platforms. By offering a rigorous and forward-looking review of current technologies and implementation barriers, this paper aims to serve as a strategic roadmap for researchers, system designers, and policymakers seeking to deploy the next generation of intelligent, sustainable, and scalable building energy management solutions. Full article
Show Figures

Figure 1

39 pages, 2251 KB  
Article
Designing Trustworthy Recommender Systems: A Glass-Box, Interpretable, and Auditable Approach
by Parisa Vahdatian, Majid Latifi and Mominul Ahsan
Electronics 2025, 14(24), 4890; https://doi.org/10.3390/electronics14244890 - 12 Dec 2025
Viewed by 113
Abstract
Recommender systems are widely deployed across digital platforms, yet their opacity raises concerns about auditability, fairness, and user trust. To address the gap between predictive accuracy and model interpretability, this study proposes a glass-box architecture for trustworthy recommendation, designed to reconcile predictive performance [...] Read more.
Recommender systems are widely deployed across digital platforms, yet their opacity raises concerns about auditability, fairness, and user trust. To address the gap between predictive accuracy and model interpretability, this study proposes a glass-box architecture for trustworthy recommendation, designed to reconcile predictive performance with interpretability. The framework integrates interpretable tree ensemble model (Random Forest, XGBoost), an NLP sub-model for tag sentiment, prioritising transparency from feature engineering through to explanation. Additionally, a Reality Check mechanism enforces strict temporal separation and removes already-popular items, compelling the model to forecast latent growth signals rather than mimic popularity thresholds. Evaluated on the MovieLens dataset, the glass-box architectures demonstrated superior discrimination capabilities, with the Random Forest and XGBoost models achieving ROC-AUC scores of 0.92 and 0.91, respectively. These tree ensembles notably outperformed the standard Logistic Regression (0.89) and the neural baseline (MLP model with 0.86). Beyond accuracy, the design implements governance through a multi-layered Governance Stack: (i) attribution and traceability via exact TreeSHAP values, (ii) stability verification using ICE plots and sensitivity analysis across policy configurations, and (iii) fairness audits detecting genre and temporal bias. Dynamic threshold optimisation further improves recall for emerging items under severe class imbalance. Cross-domain validation on Amazon Electronics test dataset confirmed architectural generalisability (AUC = 0.89), demonstrating robustness in sparse, high-friction environments. These findings challenge the perceived trade-off between accuracy and interpretability, offering a practical blueprint for Safe-by-Design recommender systems that embed fairness, accountability, and auditability as intrinsic properties rather than post hoc add-ons. Full article
(This article belongs to the Special Issue Deep Learning Approaches for Natural Language Processing)
43 pages, 2472 KB  
Article
Privacy-Preserving Federated Learning for Distributed Financial IoT: A Blockchain-Based Framework for Secure Cryptocurrency Market Analytics
by Oleksandr Kuznetsov, Saltanat Adilzhanova, Serhiy Florov, Valerii Bushkov and Danylo Peremetchyk
IoT 2025, 6(4), 78; https://doi.org/10.3390/iot6040078 - 11 Dec 2025
Viewed by 163
Abstract
The proliferation of Internet of Things (IoT) devices in financial markets has created distributed ecosystems where cryptocurrency exchanges, trading platforms, and market data providers operate as autonomous edge nodes generating massive volumes of sensitive financial data. Collaborative machine learning across these distributed financial [...] Read more.
The proliferation of Internet of Things (IoT) devices in financial markets has created distributed ecosystems where cryptocurrency exchanges, trading platforms, and market data providers operate as autonomous edge nodes generating massive volumes of sensitive financial data. Collaborative machine learning across these distributed financial IoT nodes faces fundamental challenges: institutions possess valuable proprietary data but cannot share it directly due to competitive concerns, regulatory constraints, and trust management requirements in decentralized networks. This study presents a privacy-preserving federated learning framework tailored for distributed financial IoT systems, combining differential privacy with Shamir secret sharing to enable secure collaborative intelligence across blockchain-based cryptocurrency trading networks. We implement per-layer gradient clipping and Rényi differential privacy composition to minimize utility loss while maintaining formal privacy guarantees in edge computing scenarios. Using 5.6 million orderbook observations from 11 cryptocurrency pairs collected across distributed exchange nodes, we evaluate three data partitioning strategies simulating realistic heterogeneity patterns in financial IoT deployments. Our experiments reveal that federated edge learning imposes 9–15 percentage point accuracy degradation compared to centralized cloud processing, driven primarily by data distribution heterogeneity across autonomous nodes. Critically, adding differential privacy (ε = 3.0) and cryptographic secret sharing increases this degradation by less than 0.3 percentage points when mechanisms are calibrated appropriately for edge devices. The framework achieves 62–66.5% direction accuracy on cryptocurrency price movements, with confidence-based execution generating 71–137 basis points average profit per trade. These results demonstrate the practical viability of privacy-preserving collaborative intelligence for distributed financial IoT while identifying that the federated optimization gap dominates privacy mechanism costs. Our findings offer architectural insights for designing trustworthy distributed systems in blockchain-enabled financial IoT ecosystems. Full article
(This article belongs to the Special Issue Blockchain-Based Trusted IoT)
Show Figures

Figure 1

31 pages, 4728 KB  
Review
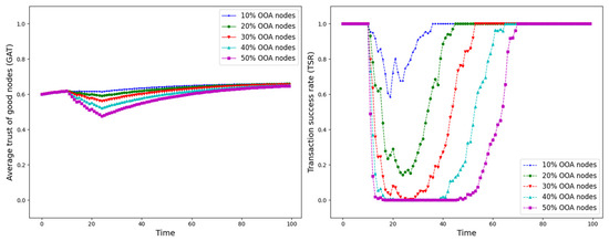
Trust Attacks and Defense in the Social Internet of Things: Taxonomy and Simulation-Based Evaluation
by Chunying Zhang, Siwu Lan, Liya Wang, Lu Liu and Jing Ren
Sensors 2025, 25(24), 7513; https://doi.org/10.3390/s25247513 - 10 Dec 2025
Viewed by 180
Abstract
The Social Internet of Things (SIoT) combines social networks and the Internet of Things, enabling closer interaction between devices, users, and services. However, this interaction brings risks of trust attacks. These trust attacks not only affect the stability of SIoT systems but also [...] Read more.
The Social Internet of Things (SIoT) combines social networks and the Internet of Things, enabling closer interaction between devices, users, and services. However, this interaction brings risks of trust attacks. These trust attacks not only affect the stability of SIoT systems but also threaten personal privacy and data security. This paper provides a decade-long review of SIoT trust attack research. First, it outlines the SIoT architecture, social relationship types, concept of trust, and trust management processes. It maps seven attacks—bad mouthing attack (BMA), ballot stuffing attack (BSA), self-promoting attack (SPA), discriminatory attack (DA), whitewashing attack (WWA), on-off attack (OOA), and opportunistic service attack (OSA)—clarifying their mechanisms and traits. Next, we synthesize the literature on SIoT trust models, enumerate which attack types they address, and classify defense strategies. It then conducts simulation-based comparative experiments on trust attacks to reveal their impact on node trust and transaction processing, compares attack capabilities along disruption speed, attack strength, and stealthiness, and summarizes attack surfaces with corresponding defense recommendations to better guide the design of SIoT trust management schemes. Finally, we identify open challenges and future research directions, to support the development of new trust management models better equipped to address evolving trust attacks. Full article
(This article belongs to the Special Issue Feature Papers in the Internet of Things Section 2025)
Show Figures

Figure 1

15 pages, 741 KB  
Article
Spatializing Trust: A GeoAI-Based Model for Mapping Digital Trust Ecosystems in Mediterranean Smart Regions
by Simona Epasto
ISPRS Int. J. Geo-Inf. 2025, 14(12), 491; https://doi.org/10.3390/ijgi14120491 - 10 Dec 2025
Viewed by 191
Abstract
As digital transformation intensifies, the governance of spatial data infrastructures is becoming increasingly dependent on the capacity to generate and sustain trust—technological, institutional and civic. This challenge is particularly acute in the Mediterranean region, where disparities in how geospatial data are produced, accessed, [...] Read more.
As digital transformation intensifies, the governance of spatial data infrastructures is becoming increasingly dependent on the capacity to generate and sustain trust—technological, institutional and civic. This challenge is particularly acute in the Mediterranean region, where disparities in how geospatial data are produced, accessed, and validated are created by uneven digital development and fragmented governance structures. In response to this, this paper introduces an integrated framework combining geospatial artificial intelligence (GeoAI) and blockchain technologies to support transparent, verifiable and spatially explicit models of digital trust. Based on case studies from the Horizon 2020 TRUST project, the framework defines trust through territorial indicators across three dimensions: digital infrastructure, institutional transparency, and civic engagement. The system uses interpretable AI models, such as Random Forests, K-means clustering and convolutional neural networks, to classify regions into trust typologies based on multi-source geospatial data. These outputs are then transformed into semantically structured spatial products and anchored to the Ethereum blockchain via smart contracts and decentralized storage (IPFS), thereby ensuring data integrity, auditability and version control. Experimental results from pilot regions in Italy, Greece, Spain and Israel demonstrate the effectiveness of the framework in detecting spatial patterns of trust and producing interoperable, reusable datasets. The findings highlight significant spatial asymmetries in digital trust across the Mediterranean region, suggesting that trust is a measurable territorial condition, not merely a normative ideal. By combining GeoAI with decentralized verification mechanisms, the proposed approach helps to develop accountable, explainable and inclusive spatial data infrastructures, which are essential for democratic digital governance in complex regional environments. Full article
Show Figures

Figure 1

43 pages, 7699 KB  
Review
Unveiling the Algorithm: The Role of Explainable Artificial Intelligence in Modern Surgery
by Sara Lopes, Miguel Mascarenhas, João Fonseca, Maria Gabriela O. Fernandes and Adelino F. Leite-Moreira
Healthcare 2025, 13(24), 3208; https://doi.org/10.3390/healthcare13243208 - 8 Dec 2025
Viewed by 399
Abstract
Artificial Intelligence (AI) is rapidly transforming surgical care by enabling more accurate diagnosis and risk prediction, personalized decision-making, real-time intraoperative support, and postoperative management. Ongoing trends such as multi-task learning, real-time integration, and clinician-centered design suggest AI is maturing into a safe, pragmatic [...] Read more.
Artificial Intelligence (AI) is rapidly transforming surgical care by enabling more accurate diagnosis and risk prediction, personalized decision-making, real-time intraoperative support, and postoperative management. Ongoing trends such as multi-task learning, real-time integration, and clinician-centered design suggest AI is maturing into a safe, pragmatic asset in surgical care. Yet, significant challenges, such as the complexity and opacity of many AI models (particularly deep learning), transparency, bias, data sharing, and equitable deployment, must be surpassed to achieve clinical trust, ethical use, and regulatory approval of AI algorithms in healthcare. Explainable Artificial Intelligence (XAI) is an emerging field that plays an important role in bridging the gap between algorithmic power and clinical use as surgery becomes increasingly data-driven. The authors reviewed current applications of XAI in the context of surgery—preoperative risk assessment, surgical planning, intraoperative guidance, and postoperative monitoring—and highlighted the absence of these mechanisms in Generative AI (e.g., ChatGPT). XAI will allow surgeons to interpret, validate, and trust AI tools. XAI applied in surgery is not a luxury: it must be a prerequisite for responsible innovation. Model bias, overfitting, and user interface design are key challenges that need to be overcome and will be explored in this review to achieve the integration of XAI into the surgical field. Unveiling the algorithm is the first step toward a safe, accountable, transparent, and human-centered surgical AI. Full article
(This article belongs to the Section Artificial Intelligence in Healthcare)
Show Figures

Figure 1

36 pages, 1888 KB  
Review
Enhancing Intuitive Decision-Making and Reliance Through Human–AI Collaboration: A Review
by Gerui Xu, Shruthi Venkatesha Murthy and Bochen Jia
Informatics 2025, 12(4), 135; https://doi.org/10.3390/informatics12040135 - 5 Dec 2025
Viewed by 959
Abstract
As AI decision support systems play a growing role in high-stakes decision making, ensuring effective integration of human intuition with AI recommendations is essential. Despite advances in AI explainability, challenges persist in fostering appropriate reliance. This review explores AI decision support systems that [...] Read more.
As AI decision support systems play a growing role in high-stakes decision making, ensuring effective integration of human intuition with AI recommendations is essential. Despite advances in AI explainability, challenges persist in fostering appropriate reliance. This review explores AI decision support systems that enhance human intuition through the analysis of 84 studies addressing three questions: (1) What design strategies enable AI systems to support humans’ intuitive capabilities while maintaining decision-making autonomy? (2) How do AI presentation and interaction approaches influence trust calibration and reliance behaviors in human–AI collaboration? (3) What ethical and practical implications arise from integrating AI decision support systems into high-risk human decision making, particularly regarding trust calibration, skill degradation, and accountability across different domains? Our findings reveal four key design strategies: complementary role architectures that amplify rather than replace human judgment, adaptive user-centered designs tailoring AI support to individual decision-making styles, context-aware task allocation dynamically assigning responsibilities based on situational factors, and autonomous reliance calibration mechanisms empowering users’ control over AI dependence. We identified that visual presentations, interactive features, and uncertainty communication significantly influence trust calibration, with simple visual highlights proving more effective than complex presentation and interactive methods in preventing over-reliance. However, a concerning performance paradox emerges where human–AI combinations often underperform the best individual agent while surpassing human-only performance. The research demonstrates that successful AI integration in high-risk contexts requires domain-specific calibration, integrated sociotechnical design addressing trust calibration and skill preservation simultaneously, and proactive measures to maintain human agency and competencies essential for safety, accountability, and ethical responsibility. Full article
Show Figures

Figure 1

Back to TopTop