Sign in to use this feature.

Years

Between: -

Subjects

remove_circle_outline
remove_circle_outline
remove_circle_outline
remove_circle_outline
remove_circle_outline
remove_circle_outline
remove_circle_outline
remove_circle_outline
remove_circle_outline

Journals

Article Types

Countries / Regions

Search Results (34)

Search Parameters:
Keywords = trolleybus

Order results
Result details
Results per page
Select all
Export citation of selected articles as:
31 pages, 825 KB  
Article
Simulation-Based Evaluation of Savings Potential for Hybrid Trolleybus Fleets
by Hermann von Kleist and Thomas Lehmann
World Electr. Veh. J. 2026, 17(1), 27; https://doi.org/10.3390/wevj17010027 - 6 Jan 2026
Viewed by 106
Abstract
Hybrid trolleybuses (HTBs) with in-motion charging (IMC) can extend zero-emission service using existing catenary, but high on-wire charging powers may concentrate loads and accelerate battery aging. We present a data-driven simulation that replays recorded high-resolution Controller Area Network (CAN) logs through a per-vehicle [...] Read more.
Hybrid trolleybuses (HTBs) with in-motion charging (IMC) can extend zero-emission service using existing catenary, but high on-wire charging powers may concentrate loads and accelerate battery aging. We present a data-driven simulation that replays recorded high-resolution Controller Area Network (CAN) logs through a per-vehicle electrical model with (Constant-Current/Constant-Voltage) (CC/CV) charging and a stress-map aging estimator, a configurable partial catenary overlay, and fleet aggregation by simple summation and an iterative node-voltage analysis of a resistor-network catenary model. A parameter sweep across battery sizes, upper state of charge (SoC) bounds, and charging power caps compares a minimal “charge-whenever-possible” policy with a per-vehicle lookahead (“oracle”) policy that spreads charging over available catenary time. Results show that lowering maximum charging power and/or the upper SoC bound reduces capacity fade, while energy-demand differences are small. Fleet load profiles are dominated by timetable-driven concurrency using 40 recorded days overlaid into one synthetic day: varying per-vehicle power or target SoC has little effect on peak demand; per-vehicle lookahead does not flatten the peak. The node-voltage analysis indicates catenary efficiency around 97% and fewer undervoltage events at lower charging powers. We conclude that per-vehicle policies can reduce battery stress, whereas peak shaving requires cooperative, fleet-level scheduling. Full article
(This article belongs to the Special Issue Zero Emission Buses for Public Transport)
Show Figures

Figure 1

26 pages, 6645 KB  
Article
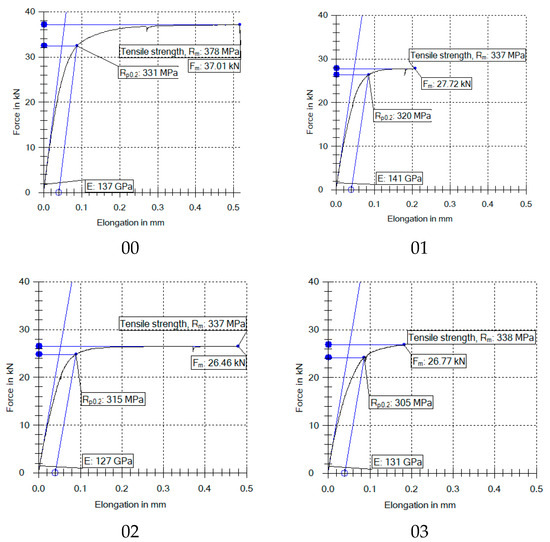
Tests of Operational Wear of Trolleybus Traction Wires—A Case Study
by Daniel Pieniak, Andrzej Niewczas, Mirosław Guzik, Dariusz Kasperek, Piotr Hołyszko and Włodzimierz Kupicz
Appl. Sci. 2025, 15(23), 12716; https://doi.org/10.3390/app152312716 - 1 Dec 2025
Viewed by 320
Abstract
This study presents an experimental evaluation of operational wear in Djp 100 trolleybus contact wires used in the city of Lublin (Poland). The objective was to determine quantitative geometric and mechanical indicators of wear and to propose empirically based replacement criteria. New and [...] Read more.
This study presents an experimental evaluation of operational wear in Djp 100 trolleybus contact wires used in the city of Lublin (Poland). The objective was to determine quantitative geometric and mechanical indicators of wear and to propose empirically based replacement criteria. New and long-service wires were examined using 3D scanning, optical profilometry, nanoindentation, and tensile testing. The results show significant changes in the cross-sectional geometry and mechanical performance: the maximum local profile deviation reached ≈2.5 mm, the average cross-sectional area decreased by ≈17%, and the moment of inertia Jx was reduced by ≈30% (from ≈878 mm4 to ≈610 mm4). Tensile tests revealed a drop in breaking force from ≈37 kN (new wire) to ≈27 kN (used wire). Surface roughness Sa decreased approximately threefold, while nanoindentation showed local near-surface strengthening, with hardness and elastic modulus increasing up to twofold in worn zones. Based on these quantitative changes, combined geometric–mechanical wear indicators were formulated and used to derive practical replacement thresholds for trolleybus contact wires. These findings demonstrate that integrating cross-sectional wear, loss of load-bearing capacity, and local surface property changes provides a consistent and technically justified foundation for maintenance decisions in overhead contact line systems. Full article
(This article belongs to the Section Transportation and Future Mobility)
Show Figures

Figure 1

18 pages, 1640 KB  
Article
Spatial Equity in Access to Urban Parks via Public Transit: A Centrality-Driven Assessment of Mexico City
by Ana María Durán-Pérez, Juan Manuel Núñez and Célida Gómez Gámez
Land 2025, 14(9), 1773; https://doi.org/10.3390/land14091773 - 31 Aug 2025
Viewed by 1785
Abstract
Urban parks play a crucial role in promoting physical and mental health by providing green spaces for recreation, relaxation, and social interaction. However, access to these spaces is often constrained by the structure and performance of public transportation networks—particularly in megacities marked by [...] Read more.
Urban parks play a crucial role in promoting physical and mental health by providing green spaces for recreation, relaxation, and social interaction. However, access to these spaces is often constrained by the structure and performance of public transportation networks—particularly in megacities marked by spatial and social inequalities. This study evaluates equitable access to urban parks in Mexico City through the public transit system, using centrality-based metrics within a Geographic Information Systems (GIS) network analysis framework. Parks are categorized by size (small: 0.3–1 ha; medium: 1–4.5 ha; large: >4.5 ha), and three centrality measures—reach, gravity, and closeness—are applied to assess their accessibility via different transport modes: Metro, bus rapid transit (BRT), trolleybuses, public buses, and concessioned services. Results show that Metro stations are more connected to large parks, while BRT and trolleybus lines improve access to small and medium parks. Concessioned services, however, present fragmented and uneven coverage, reinforcing socio-spatial disparities in access to green infrastructure. The findings underscore the importance of integrated, multimodal transportation planning to enhance equitable access to parks—an essential component of urban health and well-being. By highlighting the spatial patterns of accessibility, this study contributes to designing healthier and more inclusive public spaces in the city, supporting policy frameworks that advance health equity and urban sustainability. Full article
(This article belongs to the Special Issue Healthy and Inclusive Urban Public Spaces)
Show Figures

Figure 1

31 pages, 4435 KB  
Article
A Low-Cost IoT Sensor and Preliminary Machine-Learning Feasibility Study for Monitoring In-Cabin Air Quality: A Pilot Case from Almaty
by Nurdaulet Tasmurzayev, Bibars Amangeldy, Gaukhar Smagulova, Zhanel Baigarayeva and Aigerim Imash
Sensors 2025, 25(14), 4521; https://doi.org/10.3390/s25144521 - 21 Jul 2025
Cited by 3 | Viewed by 1973
Abstract
The air quality within urban public transport is a critical determinant of passenger health. In the crowded and poorly ventilated cabins of Almaty’s metro, buses, and trolleybuses, concentrations of CO2 and PM2.5 often accumulate, elevating the risk of respiratory and cardiovascular [...] Read more.
The air quality within urban public transport is a critical determinant of passenger health. In the crowded and poorly ventilated cabins of Almaty’s metro, buses, and trolleybuses, concentrations of CO2 and PM2.5 often accumulate, elevating the risk of respiratory and cardiovascular diseases. This study investigates the air quality along three of the city’s busiest transport corridors, analyzing how the concentrations of CO2, PM2.5, and PM10, as well as the temperature and relative humidity, fluctuate with the passenger density and time of day. Continuous measurements were collected using the Tynys mobile IoT device, which was bench-calibrated against a commercial reference sensor. Several machine learning models (logistic regression, decision tree, XGBoost, and random forest) were trained on synchronized environmental and occupancy data, with the XGBoost model achieving the highest predictive accuracy at 91.25%. Our analysis confirms that passenger occupancy is the primary driver of in-cabin pollution and that these machine learning models effectively capture the nonlinear relationships among environmental variables. Since the surveyed routes serve Almaty’s most densely populated districts, improving the ventilation on these lines is of immediate importance to public health. Furthermore, the high-temporal-resolution data revealed short-term pollution spikes that correspond with peak ridership, advancing the current understanding of exposure risks in transit. These findings highlight the urgent need to combine real-time monitoring with ventilation upgrades. They also demonstrate the practical value of using low-cost IoT technologies and data-driven analytics to safeguard public health in urban mobility systems. Full article
(This article belongs to the Special Issue IoT-Based Sensing Systems for Urban Air Quality Forecasting)
Show Figures

Figure 1

16 pages, 2472 KB  
Article
Performance Evaluation of DAB-Based Partial- and Full-Power Processing for BESS in Support of Trolleybus Traction Grids
by Jiayi Geng, Rudolf Francesco Paternost, Sara Baldisserri, Mattia Ricco, Vitor Monteiro, Sheldon Williamson and Riccardo Mandrioli
Electronics 2025, 14(14), 2871; https://doi.org/10.3390/electronics14142871 - 18 Jul 2025
Cited by 1 | Viewed by 805
Abstract
The energy transition toward greater electrification leads to incentives in public transportation fed by catenary-powered networks. In this context, emerging technological devices such as in-motion-charging vehicles and electric vehicle charging points are expected to be operated while connected to trolleybus networks as part [...] Read more.
The energy transition toward greater electrification leads to incentives in public transportation fed by catenary-powered networks. In this context, emerging technological devices such as in-motion-charging vehicles and electric vehicle charging points are expected to be operated while connected to trolleybus networks as part of new electrification projects, resulting in a significant demand for power. To enable a significant increase in electric transportation without compromising technical compliance for voltage and current at grid systems, the implementation of stationary battery energy storage systems (BESSs) can be essential for new electrification projects. A key challenge for BESSs is the selection of the optimal converter topology for charging their batteries. Ideally, the chosen converter should offer the highest efficiency while minimizing size, weight, and cost. In this context, a modular dual-active-bridge converter, considering its operation as a full-power converter (FPC) and a partial-power converter (PPC) with module-shedding control, is analyzed in terms of operation efficiencies and thermal behavior. The goal is to clarify the advantages, disadvantages, challenges, and trade-offs of both power-processing techniques following future trends in the electric transportation sector. The results indicate that the PPC achieves an efficiency of 98.58% at the full load of 100 kW, which is 1.19% higher than that of FPC. Additionally, higher power density and cost effectiveness are confirmed for the PPC. Full article
Show Figures

Figure 1

21 pages, 921 KB  
Article
Energy and Environmental Benefits of In-Motion Charging Trolleybuses: A Case Study of Vilnius
by Olga Orynycz, Gabriel Santos Rodrigues, João Gilberto Mendes dos Reis, Ewa Kulesza, Jonas Matijošius and Sivanilza Teixeira Machado
Energies 2025, 18(12), 3015; https://doi.org/10.3390/en18123015 - 6 Jun 2025
Viewed by 1623
Abstract
Reducing greenhouse gas (GHG) emissions depends mostly on urban transport electrification. However, the role of trolleybus systems in this process is still under discussion. The objective of this study was to analyze the viability of trolleybus buses in relation to diesel buses regarding [...] Read more.
Reducing greenhouse gas (GHG) emissions depends mostly on urban transport electrification. However, the role of trolleybus systems in this process is still under discussion. The objective of this study was to analyze the viability of trolleybus buses in relation to diesel buses regarding environmental and economic aspects. The research was conducted in Vilnius, Lithuania using an extended CO2 emission methodology incorporating physicochemical fuel properties and real-world operational data that allowed us to estimate CO2 emissions and economic impacts. The findings indicate that the Vilnius trolleybus system prevents 84,996.32 kg of CO2 emissions monthly compared to diesel buses (gross avoided emissions). After accounting for emissions from electricity generation (based on Lithuania’s 2023 grid mix), the net avoided emissions are approximately 61,569 kg of CO2 per month, equivalent to EUR 4284 in carbon credits. The system also significantly reduces local air pollutants. Moreover, the new In-Motion Charging (IMC) technology improves system flexibility by decreasing dependence on overhead wires and maintaining low emission levels. IMC trolleybuses represent a cost-efficient option compared to battery-electric buses (BEBs) and hydrogen fuel cell buses (FCEBs). Our findings support the European Union’s decarbonization goals and provide essential insights for policymakers considering public transportation electrification efforts. Full article
(This article belongs to the Section B: Energy and Environment)
Show Figures

Figure 1

24 pages, 3214 KB  
Article
Evaluating the Accessibility of Pedestrian Sidewalks to Connect Public Transport: A Pilot Study in Valparaíso, Chile
by Sebastian Seriani, Vicente Aprigliano, Alvaro Peña, Hector Briones, Bernardo Arredondo, Jose Requesens and Taku Fujiyama
Appl. Sci. 2025, 15(3), 1106; https://doi.org/10.3390/app15031106 - 23 Jan 2025
Cited by 1 | Viewed by 4589
Abstract
The need to assess whether accessibility in urban mobility meets the required standards to provide a satisfactory experience for users is emphasized. The general objective of this research is to evaluate pedestrian accessibility in urban mobility, taking as a case study different access [...] Read more.
The need to assess whether accessibility in urban mobility meets the required standards to provide a satisfactory experience for users is emphasized. The general objective of this research is to evaluate pedestrian accessibility in urban mobility, taking as a case study different access points such as the sidewalks and crossings between the trolleybus system and the EFE metro system in Valparaíso. Specific objectives have been set, including identifying the area to study and the elements to evaluate, designing an evaluation system, and applying descriptive and numerical methods for the assessment. The methodology used includes two approaches: the descriptive, which provides a detailed view of accessibility conditions in each evaluated area, highlighting aspects such as physical condition and compliance with regulations, and the numerical, which assigns quantitative values to the elements being assessed to establish a classification of accessibility levels. Additionally, a survey was conducted to obtain a subjective view of pedestrian preferences. Based on the above, evaluating pedestrian accessibility in urban mobility in Valparaíso allowed for identifying aspects that require improvement to ensure a satisfactory experience for users. Furthermore, it promotes the use of both transportation systems and provides recommendations for future research. Full article
(This article belongs to the Special Issue Human Geography in an Uncertain World: Challenges and Solutions)
Show Figures

Figure 1

26 pages, 3963 KB  
Article
Battery-Assisted Trolleybuses: Effect of Battery Energy Utilization Ratio on Overall Traction Energy Consumption
by Martin Kendra, Daniel Pribula, Tomáš Skrúcaný, Oľga Blažeková and Svetla Stoilova
Sustainability 2024, 16(24), 11303; https://doi.org/10.3390/su162411303 - 23 Dec 2024
Cited by 1 | Viewed by 1360
Abstract
Urban public transport companies worldwide are introducing environmentally friendly bus solutions, and in cities with an existing trolleybus network, battery-assisted trolleybuses are an efficient alternative. Equipped with a traction battery, these vehicles allow a short range outside of the trolley lines and on-board [...] Read more.
Urban public transport companies worldwide are introducing environmentally friendly bus solutions, and in cities with an existing trolleybus network, battery-assisted trolleybuses are an efficient alternative. Equipped with a traction battery, these vehicles allow a short range outside of the trolley lines and on-board recuperation, and they combine the advantages of electric buses and trolleybuses without the need for costly infrastructure expansions. Two similar battery-assisted trolleybuses are in operation in Žilina, where the unitary traction energy consumption has been observed to decrease as a function of the battery-powered and on-trolley-line vehicle run ratio. This theory was confirmed by statistical regression analysis of real operational data for one year of operation in different situations. This research also includes an analysis of battery-assisted trolleybuses’ operation on conventional trolleybus lines, which brought surprising findings, as well as an analysis of other selected indicators that can be dependent on the battery run ratio. These findings can contribute to reducing traction energy consumption by simply modifying the operating technologies without the need for extensive investment in infrastructure or vehicle equipment. This research is pilot research ready for in-depth research. Full article
Show Figures

Figure 1

21 pages, 826 KB  
Article
Green Public Transport in Poland—Planning the Process of the Electrification of the Bus Fleet of Vehicles
by Norbert Chamier-Gliszczynski, Adam Wyszomirski, Cezary Balewski and Michał Kłodawski
Energies 2024, 17(24), 6362; https://doi.org/10.3390/en17246362 - 18 Dec 2024
Cited by 5 | Viewed by 2207
Abstract
The concept of green public transport in Poland is a challenge posed to Polish cities, which reflects the AFIR (Regulation for the Deployment of Alternative Fuels Infrastructure) regulation and the amended Polish Law on Electromobility and Alternative Fuels. The fulfillment of the established [...] Read more.
The concept of green public transport in Poland is a challenge posed to Polish cities, which reflects the AFIR (Regulation for the Deployment of Alternative Fuels Infrastructure) regulation and the amended Polish Law on Electromobility and Alternative Fuels. The fulfillment of the established prerequisites requires taking steps toward the implementation of the electrification process of the fleet of bus vehicles. The goal of this process is to replace the fleet of buses equipped with internal combustion engines (conventional buses) with zero-emission buses. In the category of zero-emission vehicles, we distinguish between electric-powered buses (electric buses), hydrogen-powered buses (hydrogen buses) and trolleybuses. It is forecast that such exchanges will be spread out over time and may last 16 to 20 years. Thus, an important element in these activities is planning, which, as a process, leads to the establishment of tasks, resources and activities aimed at realizing or achieving the desired goal. It was assumed that the purpose of the article is to present the essence of planning the process of electrification of the bus fleet of vehicles in Polish cities. The content of the article refers to the concept of planning the process of electrification of the bus fleet of vehicles in urban areas, taking into account economic aspects, sources of financing and analysis of the feasibility of this process on the example of a selected Polish city. The planning process was presented using the example of a city integrated with the surrounding nature. The choice of the city is not accidental because the analyzed urban area lies in the green part of the West Pomeranian Voivodeship, in the vicinity of which there are four nature reserves. The city is situated on two lakes, which together occupy 11.2% of the city’s area, and there are also numerous green areas in the city. The green nature of the city argued for taking action to reduce local emissions of pollutants generated by public transport. The process of planning the electrification of the bus fleet was carried out based on environmental and economic aspects. In economic terms, an important element is the possibility of obtaining external financing and the analysis of the feasibility of the planned process of electrification of the bus fleet. The conducted research clearly indicated that the presented process of planning the electrification of the bus fleet in the selected urban area allows for a precise interpretation of the considered planning in environmental and economic terms. Such an interpretation is important for the evaluation process of the analyzed planning and the implementation of the concept of green public transport in Polish cities, as well as the transparency of this process to other European cities and beyond. Full article
(This article belongs to the Section B: Energy and Environment)
Show Figures

Figure 1

18 pages, 3610 KB  
Article
Solutions for Retrofitting Catenary-Powered Transportation Systems Toward Greater Electrification in Smart Cities
by Rudolf Francesco Paternost, Riccardo Mandrioli, Vincenzo Cirimele, Mattia Ricco and Gabriele Grandi
Smart Cities 2024, 7(6), 3853-3870; https://doi.org/10.3390/smartcities7060148 - 7 Dec 2024
Cited by 7 | Viewed by 1779
Abstract
Catenary-powered networks are expected to play a pivotal role in urban energy transition, due to the larger deployment of electric public transport, in-motion-charging (IMC) vehicles, and catenary-backed electric vehicle chargers. However, there are technical challenges that must be overcome to ensure the successful [...] Read more.
Catenary-powered networks are expected to play a pivotal role in urban energy transition, due to the larger deployment of electric public transport, in-motion-charging (IMC) vehicles, and catenary-backed electric vehicle chargers. However, there are technical challenges that must be overcome to ensure the successful utilization of existing networks without compromising vehicle performance or compliance with network standards. This paper aims to validate the use of battery energy storage systems (BESS) built from second-life batteries as a means of retrofitting catenary-powered traction networks. The objective is to increase the network robustness without creating a negative impact on its overall operational efficiency. Consequently, more electrification projects can be implemented using the same network infrastructure without substantial modifications. Furthermore, a power management scheme is presented which allows the voltage and current range allowed in the catenary network and the BESS maximum charging rate to be controlled from user-defined values. The proposed control scheme is adept at customizing the BESS size for the specific application under consideration. Validation is performed on a case study of the trolleybus system in Bologna, Italy. Full article
(This article belongs to the Special Issue Feature Papers in Smart Cities)
Show Figures

Figure 1

21 pages, 23278 KB  
Article
Assessment of Electromagnetic Fields in Trolleybuses and Electric Buses: A Study of Municipal Transport Company Lublin’s Fleet
by Paweł A. Mazurek, Aleksander Chudy and Piotr Hołyszko
Energies 2024, 17(14), 3412; https://doi.org/10.3390/en17143412 - 11 Jul 2024
Cited by 1 | Viewed by 3741
Abstract
As electromobility and especially the electrification of public transportation develops, it is necessary to safeguard human health and minimize environmental impact. Electromagnetic fields generated by the current flowing through on-board batteries, installations, converters, propulsion, air conditioning, heating, lighting, or wireless communication systems in [...] Read more.
As electromobility and especially the electrification of public transportation develops, it is necessary to safeguard human health and minimize environmental impact. Electromagnetic fields generated by the current flowing through on-board batteries, installations, converters, propulsion, air conditioning, heating, lighting, or wireless communication systems in these vehicles may pose risks to drivers and passengers. This research investigates electromagnetic fields induced by extreme low-frequency currents and permanent magnets on electric and trolleybuses implanted in Lublin, Poland. The identification of electromagnetic fields concerned an electric bus model and two trolleybus models. A comparative analysis of the results obtained with the permissible limits in the environment was carried out. Full article
Show Figures

Figure 1

17 pages, 2172 KB  
Article
Environmental Impact Reduction of a Trolleybus System in the City of São Paulo, Brazil
by Gabriel Santos Rodrigues, João Gilberto Mendes dos Reis, Olga Orynycz, Karol Tucki, Jonas Matijošius and Sivanilza Teixeira Machado
Energies 2024, 17(6), 1377; https://doi.org/10.3390/en17061377 - 13 Mar 2024
Cited by 2 | Viewed by 2943
Abstract
Several cities worldwide are studying the replacement of their trolleybus systems with diesel buses or battery electric buses, due to their flexibility and lower operational costs. Diesel buses are considered a major cause of gas emissions in cities, while battery electric buses employ [...] Read more.
Several cities worldwide are studying the replacement of their trolleybus systems with diesel buses or battery electric buses, due to their flexibility and lower operational costs. Diesel buses are considered a major cause of gas emissions in cities, while battery electric buses employ cutting-edge technology, but there is still discussion around the topic due to their technology costs, autonomy, and the sustainability of battery packs. In this study, we evaluated the trolleybus system’s potential for reducing emissions, noise pollution, and greenhouse gases (GHGs) when compared to diesel buses. Furthermore, we compared the trolleybus system with battery electric buses in terms of cost and environmental benefits. To do so, a case study was conducted in São Paulo, Brazil, the largest city in Latin America, which operates the second-highest trolleybus system on the American continent. Our results show that the trolleybus system is a feasible alternative to diesel buses when considering environmental aspects. It can be seen as a complementary service for urban transport systems in the city’s transition to clean energy. Finally, the study implications indicate the need for further investigation of the benefits of in-motion-charge technology to generate flexibility in trolleybus systems, and the involvement of stakeholders in the transition matrix energy process in urban bus systems beyond the direct costs. Full article
(This article belongs to the Special Issue Sustainable Production and Environmentally Responsible Consumption II)
Show Figures

Figure 1

26 pages, 4103 KB  
Article
Determination of the Reliability of Urban Electric Transport Running Autonomously through Diagnostic Parameters
by Nikita V. Martyushev, Boris V. Malozyomov, Vladislav V. Kukartsev, Valeriy E. Gozbenko, Vladimir Yu. Konyukhov, Anton S. Mikhalev, Viktor Alekseevich Kukartsev and Yadviga A. Tynchenko
World Electr. Veh. J. 2023, 14(12), 334; https://doi.org/10.3390/wevj14120334 - 1 Dec 2023
Cited by 38 | Viewed by 3218
Abstract
The urban transport network involves complex processes, operating 24 h a day and 365 days a year. The sustainable development of the urban transport network using electric buses and trolleybuses that run autonomously is an urgent task since the transport network performs integral [...] Read more.
The urban transport network involves complex processes, operating 24 h a day and 365 days a year. The sustainable development of the urban transport network using electric buses and trolleybuses that run autonomously is an urgent task since the transport network performs integral social functions and is the transport artery of any urban center. The social and economic life of a city as a whole depends on the reliability of the transportation network. A theory is proposed for the technical and economic evaluation of reliability improvement in electric buses and trolleybuses running autonomously, which enables the determination of the reliability parameters of electric buses and forecasts for the future from the point of view of optimal economic costs for the operation of electric equipment in electric buses. As a result of the application of the proposed theory, it was found that increasing the reliability of the transportation fleet can lead to a decrease in both specific operating costs and capital investments in the development of the fleet. This is achieved as a result of increasing the annual productivity of vehicles by reducing the time they are out of service to eliminate the consequences of failures and carry out maintenance and repair. The conducted experiments confirmed that the theory and methodology of optimal reliability level selection not only enable the rational use of the material resources of the urban transport network but also the release of funds for its scientific and technical development by reducing the number of failures in the electrical equipment of transport systems by 14%. Full article
(This article belongs to the Special Issue Electric Vehicle Networking and Traffic Control)
Show Figures

Figure 1

12 pages, 3039 KB  
Article
Should Smart Cities Introduce a New Form of Public Transport Vehicles?
by Maciej Kruszyna
Smart Cities 2023, 6(5), 2932-2943; https://doi.org/10.3390/smartcities6050131 - 20 Oct 2023
Cited by 4 | Viewed by 3248
Abstract
This study shows the concept of an innovative road and rail vehicle as a new form of public transport. Our literature review shows that the idea of a “smart city” contains not only new tools but also vehicles or infrastructure. The new vehicle [...] Read more.
This study shows the concept of an innovative road and rail vehicle as a new form of public transport. Our literature review shows that the idea of a “smart city” contains not only new tools but also vehicles or infrastructure. The new vehicle is proposed based on the observed development of urban public transport means and other novel solutions. A slight innovation proposed here could allow the use of typical and operated tram routes for modified buses. A new type of vehicle could use both the existing tram routes and newly constructed sections with no tracks. It is assumed that new vehicles would drive with trams on the same, shared tracks. All of the conditions should reduce the costs of developing public transport networks in many cities where tram networks already exist. This paper contains a description of the idea and a potential case study location. The implementation conditions are outlined in the Discussion section. The title’s question is also considered there: “Should smart cities introduce a new form of public transport vehicles?” In addition, the potential benefits as well as threats are presented. Conclusions define the next steps for the research. So, this paper is an introduction to the wider research. It will popularize the idea of a new vehicle and could motivate the industry to construct a prototype. At this stage, no models or detailed calculations were conducted. Full article
(This article belongs to the Special Issue Multidisciplinary Research on Smart Cities)
Show Figures

Figure 1

15 pages, 4298 KB  
Article
Sliding Mode Control of Buck DC–DC Converter with LC Input Filter
by Karol Tatar, Piotr Chudzik and Piotr Leśniewski
Energies 2023, 16(19), 6983; https://doi.org/10.3390/en16196983 - 7 Oct 2023
Cited by 8 | Viewed by 2719
Abstract
The employment of input filters in modern DC–DC converters is mandatory in order to ensure EMC (Electro-Magnetic Compatibility), provide power electronics with decent voltage and minimize the converter influence on the power grid. The LC type input filters bring also a possibility of [...] Read more.
The employment of input filters in modern DC–DC converters is mandatory in order to ensure EMC (Electro-Magnetic Compatibility), provide power electronics with decent voltage and minimize the converter influence on the power grid. The LC type input filters bring also a possibility of voltage and current oscillation that may occur in the system. This oscillation may rise to a certain level that affects system stability. A wide range of methods are employed in order to attenuate these oscillations and allow appropriate system transient response. In this paper, the sliding mode control (SMC) strategy is proposed to reduce the input LC filter voltage and current oscillation and allow DC (Direct Current) output voltage control for both resistive and constant power load. The proposed control algorithm is intended for use in railway, tram and trolleybus DC/DC converters. For the proposed scheme of control simulation, a model is developed using Simulink software. Furthermore, laboratory stand experiments are carried out to verify simulation results. Full article
(This article belongs to the Section A: Sustainable Energy)
Show Figures

Figure 1

Back to TopTop