Sign in to use this feature.

Years

Between: -

Subjects

remove_circle_outline
remove_circle_outline
remove_circle_outline
remove_circle_outline
remove_circle_outline

Journals

Article Types

Countries / Regions

Search Results (29)

Search Parameters:
Keywords = triploidy

Order results
Result details
Results per page
Select all
Export citation of selected articles as:
13 pages, 1147 KB  
Article
Some Hematological and Physiological Indicators of Health in Triploid Tambaqui (Colossoma macropomum): A Preliminary Study
by Aldessandro da C. Amaral, Lucas S. Torati, Luciana N. Ganeco-Kirschnik, Jéssica A. M. Cruz, Janaína S. I. Valandro, Wallice L. P. Duncan, Velmurugu Puvanendran and Fernanda L. Almeida O’Sullivan
Animals 2026, 16(5), 797; https://doi.org/10.3390/ani16050797 - 4 Mar 2026
Viewed by 221
Abstract
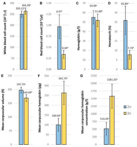
This study evaluated the physiological condition and health status of triploid tambaqui (Colossoma macropomum) using hematological and biochemical indicators. Hematocrit, hemoglobin concentration, erythrocyte count, glucose, and plasma protein levels (albumin, globulin and albumin/globulin ratio) were assessed in triploid and diploid fish, [...] Read more.
This study evaluated the physiological condition and health status of triploid tambaqui (Colossoma macropomum) using hematological and biochemical indicators. Hematocrit, hemoglobin concentration, erythrocyte count, glucose, and plasma protein levels (albumin, globulin and albumin/globulin ratio) were assessed in triploid and diploid fish, and mean corpuscular volume (MCV), mean corpuscular hemoglobin (MCH), and mean corpuscular hemoglobin concentration (MCHC) were calculated. Triploid fish exhibited larger erythrocytes, reduced erythrocyte counts, and slightly lower hemoglobin and hematocrit values compared with diploids. Correspondingly, MCV and MCH were significantly higher in triploids, indicating increased hemoglobin content per erythrocyte. In contrast, MCHC values did not differ between ploidy groups, suggesting that hemoglobin concentration within erythrocytes remained unaffected. No significant differences were observed in the evaluated biochemical parameters. These findings indicate that triploid tambaqui undergo compensatory physiological adjustments associated with increased nuclear DNA content in erythrocytes, enabling the maintenance of efficient oxygen transport and respiratory capacity. Overall, triploid fish displayed normal physiological performance, comparable to that of diploids. The results support the use of triploidy as a viable and sustainable strategy in tambaqui aquaculture. Full article
(This article belongs to the Section Aquatic Animals)
Show Figures

Figure 1

12 pages, 2332 KB  
Article
Hepatic Expression of Growth Hormone Receptor (GHrec) and Insulin-like Growth Factor-I (IGF-I) Genes and Cellular Location of IGF-I mRNA in Diploid and Triploid Atlantic Salmon (Salmo salar) Undergoing Parr–Smolt Transformation
by Martina Bortoletti, Elisa Fonsatti, Lisa Maccatrozzo, Stefano Peruzzi, Malcolm Jobling, Marta Vascellari, Giuseppe Radaelli and Daniela Bertotto
Animals 2026, 16(3), 515; https://doi.org/10.3390/ani16030515 - 6 Feb 2026
Viewed by 480
Abstract
The induction of triploidy, a strategy to mitigate unwanted pre-harvest sexual maturation and a genetic containment measure for escaped farmed Atlantic salmon (Salmo salar), may give rise to challenges because of the distinct environmental and dietary requirements of sterile triploid fish. [...] Read more.
The induction of triploidy, a strategy to mitigate unwanted pre-harvest sexual maturation and a genetic containment measure for escaped farmed Atlantic salmon (Salmo salar), may give rise to challenges because of the distinct environmental and dietary requirements of sterile triploid fish. Smoltification is a critical phase in the life cycle of Atlantic salmon, so knowledge about parr–smolt transformation in triploids is important for the salmon farming industry. This study covered an investigation of hepatic expression of growth hormone receptor (GHrec) and insulin-like growth factor-I (IGF-I) genes, both of which are intimately involved in the regulation of osmoregulation and growth. Additionally, hepatic presence and location of IGF-I mRNA were examined using RNAscope®, an advanced in situ hybridization technique. Triplicate groups of juvenile diploid and triploid salmon were reared at low temperature (10 °C) and fed either a standard diet or one enriched with hydrolyzed fish proteins from the start of feeding onwards. Liver samples were collected from three fish per tank each month from October to December (2454–3044 degree-days post-start feeding), the period encompassing smoltification, and hepatic expression of IGF-I and GHrec genes was quantified by real-time PCR. The results indicated that neither ploidy nor diet significantly influenced IGF-I or GHrec gene expression, suggesting that, under our conditions, triploidy and diet did not adversely affect this molecular pathway linked to growth and osmoregulation. IGF-I gene expression exhibited significant temporal variation, correlating with the progression of smoltification, while GHrec gene expression showed a similar, albeit non-significant, trend. Triploids exhibited IGF-I and GHrec gene expression patterns comparable to diploids, and both the temporal changes and lack of difference between triploids and diploids were mirrored in the quantification of IGF-I mRNA within the liver cells. The potential applicability to a commercial aquaculture setting requires further investigation. Full article
Show Figures

Figure 1

15 pages, 3311 KB  
Article
Induction of Triploid Grass Carp (Ctenopharyngodon idella) and Changes in Embryonic Transcriptome
by Zixuan E, Han Wen, Yingshi Tang, Mingqing Zhang, Yaorong Wang, Shujia Liao, Kejun Chen, Danqi Lu, Haoran Lin, Wen Huang, Xiaoying Chen, Yong Zhang and Shuisheng Li
Animals 2025, 15(15), 2165; https://doi.org/10.3390/ani15152165 - 22 Jul 2025
Cited by 1 | Viewed by 1499
Abstract
Grass carp is an economically important cultured species in China. Triploid embryo production is widely applied in aquaculture to achieve reproductive sterility, improve somatic growth, and reduce ecological risks associated with uncontrolled breeding. In this study, a simple cold shock method for inducing [...] Read more.
Grass carp is an economically important cultured species in China. Triploid embryo production is widely applied in aquaculture to achieve reproductive sterility, improve somatic growth, and reduce ecological risks associated with uncontrolled breeding. In this study, a simple cold shock method for inducing triploid grass carp was developed. The triploid induction rate of 71.73 ± 5.00% was achieved by applying a cold treatment at 4 °C for 12 min, starting 2 min after artificial fertilization. Flow cytometry and karyotype analysis revealed that triploid individuals exhibited a 1.5-fold increase in DNA content compared to diploid counterparts, with a chromosomal composition of 3n = 72 (33m + 36sm + 3st). Additionally, embryonic transcriptome analysis demonstrated that, in the cold shock-induced embryos, genes associated with abnormal mesoderm and dorsal–ventral axis formation, zygotic genome activation (ZGA), and anti-apoptosis were downregulated, whereas pro-apoptotic genes were upregulated, which may contribute to the higher abnormal mortality observed during embryonic development. Overall, this study demonstrates optimized conditions for inducing triploidy in grass carp via cold shock and provides insights into the transcriptomic changes that take place in cold shock-induced embryos, which could inform future grass carp genetic breeding programs. Full article
(This article belongs to the Section Aquatic Animals)
Show Figures

Figure 1

26 pages, 723 KB  
Review
Prenatal Screening for Chromosomal Defects
by Veronika Frisova
Reprod. Med. 2025, 6(2), 15; https://doi.org/10.3390/reprodmed6020015 - 11 Jun 2025
Cited by 2 | Viewed by 11111
Abstract
Chromosomal defects are a significant cause of perinatal death and childhood disability, occurring in 3.6–6.0 per 1000 births in unscreened populations. Common chromosomal defects include trisomy 21, 18, and 13, triploidy, and sex chromosome abnormalities. Screening for these defects began in the mid-1960s [...] Read more.
Chromosomal defects are a significant cause of perinatal death and childhood disability, occurring in 3.6–6.0 per 1000 births in unscreened populations. Common chromosomal defects include trisomy 21, 18, and 13, triploidy, and sex chromosome abnormalities. Screening for these defects began in the mid-1960s with the advent of amniocentesis, and various methods have since been developed to improve screening performance. Initial screening was based solely on maternal and gestational age, a method incorporated later into all subsequent screening methods giving an a priori background risk. This a priori background risk, which is further refined by maternal serum biochemistry, results of ultrasound examinations, and most recently, results of non-invasive prenatal testing by cell-free DNA in maternal blood. This paper will describe methods of screening for all chromosomal defects and their performance. Unlike most reviews, this paper covers not only screening tests for Down syndrome, but also screening methods for the other most common and less common chromosomal defects. Full article
Show Figures

Figure 1

12 pages, 487 KB  
Article
Pre- and Postoperative Cell-Free Fetal DNA Analyses for Detecting Aneuploidy in Early Pregnancy Loss: Single-Center Prospective Cohort Study
by Takeshi Nagao, Yuki Ito, Akari Moriyama, Chika Tei, Aikou Okamoto and Osamu Samura
Genes 2025, 16(6), 681; https://doi.org/10.3390/genes16060681 - 30 May 2025
Viewed by 1770
Abstract
Background/Objective: Early pregnancy loss is often caused by chromosomal abnormalities, necessitating accurate diagnostic tools. While product of conception (POC) chromosomal testing is commonly used, it can be limited by culture failure or an inability to obtain fetal tissue due to spontaneous expulsion. Cell-free [...] Read more.
Background/Objective: Early pregnancy loss is often caused by chromosomal abnormalities, necessitating accurate diagnostic tools. While product of conception (POC) chromosomal testing is commonly used, it can be limited by culture failure or an inability to obtain fetal tissue due to spontaneous expulsion. Cell-free fetal DNA (cff DNA) analysis provides a non-invasive alternative; however, its effectiveness in early pregnancy loss, particularly in cases where fetal components are still minimal, has not been fully established. The objective of this study was to evaluate the accuracy of pre- and postoperative cff DNA analysis for detecting fetal aneuploidy by comparing the results to those of POC chromosomal testing. Methods: In this single-center prospective cohort study, 50 women undergoing manual vacuum aspiration for pregnancy loss before 12 weeks of gestation were enrolled (February 2022–December 2024). Cff DNA analysis was performed on maternal blood samples collected pre- and postoperatively. The primary outcome was concordance between the cff DNA and POC results. Sensitivity, specificity, and factors affecting concordance were also assessed. Results: Eight participants were excluded due to unsuccessful POC culture (n = 3), suspected maternal tissue contamination in the POC sample (n = 1), mosaicism (n = 3), or triploidy (n = 1), resulting in 42 evaluable cases. Preoperative cff DNA analysis showed 88.1% concordance with POC (sensitivity 86.4% and specificity 90.0%). Postoperative analysis showed 78.6% concordance (sensitivity 72.7% and specificity 85.0%). Conclusions: The Cff DNA analysis of preoperative and postoperative maternal blood samples showed generally good concordance with conventional POC chromosomal testing in detecting fetal aneuploidy in early pregnancy loss. Full article
Show Figures

Figure 1

8 pages, 182 KB  
Case Report
Expectations and the Patient–Doctor Relationship: Ethical Considerations in a Case of Triploidy
by Iliya Mangarov, Irena Bradinova, Ralitsa Georgieva, Blagomir Zdravkov, Valentina Petkova and Irina Nikolova
Healthcare 2025, 13(8), 912; https://doi.org/10.3390/healthcare13080912 - 16 Apr 2025
Cited by 1 | Viewed by 1652
Abstract
Objectives: Monitoring pregnancies is essential for community well-being. However, not all pregnancies progress normally, and some require termination. The objective was to emphasize the importance of trust in the doctor–patient relationship during this challenging time for expectant parents. Case report: During [...] Read more.
Objectives: Monitoring pregnancies is essential for community well-being. However, not all pregnancies progress normally, and some require termination. The objective was to emphasize the importance of trust in the doctor–patient relationship during this challenging time for expectant parents. Case report: During fetal morphology examination, parents were warned of a poor fetal prognosis, prompting a request for pregnancy termination. They consulted another specialist, who reassured them that the fetus appeared normal, though slightly hypotrophic. The child was born at 35 weeks gestational age and admitted to the neonatal ICU level III in an impaired general condition and polymalformative syndrome (triangular facies, epicanthic eyes, hypertelorism, retrognathia, low base of the nose, triangular mouth, lips angled downward, and small, dysplastic, and low-set earlobes). The child had syndactyly of fingers and toes. Cytogenetic analysis revealed a karyotype of 69, XX, +mar. The indirect DNA analysis revealed that the third gonosome is a Y chromosome. Death occurred 30 days post delivery, following severe dyspnea and bronchial obstruction, with desaturation and bradycardia. Conclusions: Triploid pregnancies are usually lost in the first trimester; however, very rarely, live births can occur. Hope for a positive outcome encouraged parents to continue the pregnancy, leading to a profoundly sorrowful experience and added strain on the healthcare system. Complex decisions put pressure on the patient–doctor relationship, as misplaced hope can impact both parties. Expectant parents facing difficult diagnoses require attentive support during this challenging time, grounded on a foundation of trust between doctor and patient. Full article
14 pages, 6180 KB  
Article
The Effect of Triploidy on Gonadal Development, Hematology and Biochemistry in the European Grayling (Thymallus thymallus)
by Rafał Rożyński, Stefan Dobosz, Maciej Rożyński and Konrad Ocalewicz
Animals 2025, 15(4), 481; https://doi.org/10.3390/ani15040481 - 8 Feb 2025
Cited by 2 | Viewed by 1255
Abstract
Sterile triploid European graylings (Thymallus thymallus) could serve as an alternative to allochthonous stocking, potentially protecting native populations from genetic introgression. In this study, two-year-old triploid and diploid graylings were examined to assess their hematological and biochemical characteristics and to evaluate [...] Read more.
Sterile triploid European graylings (Thymallus thymallus) could serve as an alternative to allochthonous stocking, potentially protecting native populations from genetic introgression. In this study, two-year-old triploid and diploid graylings were examined to assess their hematological and biochemical characteristics and to evaluate the development of their gonads. When compared to diploids, triploids exhibited elevated white blood cell counts, mean corpuscular hemoglobin (MCH) and mean corpuscular hemoglobin concentration (MCHC) by 5.66%, 162.68% and 207.57%, respectively. Moreover, the diameters of red blood cells and their nuclei were significantly higher in triploid graylings. In contrast, the red blood cell count, hemoglobin concentration (Hb), hematocrit and mean corpuscular volume (MCV) were lower in triploids by 64.82%, 5.80%, 70.16% and 14.49%, respectively. Most blood plasma biochemical indices showed no significant differences between specimens of different ploidies; however, triploids had a 21.96% higher level of triglycerides, while diploids had 3.74% more albumin. Additionally, the chloride concentration was 4.74% lower in triploids. Examined diploid males exhibited well-developed, sometimes asymmetrical testes and were actively spermiating. Triploid males were non-spermiating, and their testes were solid with varying morphology. Ovaries in diploid females contained mature oocytes, and in about 30% of the females, the body cavities were filled with ovulated eggs. In turn, the ovaries in triploid females were significantly reduced, usually transparent and lacked any oocytes. However, a longer study over a period exceeding two years needs to be performed to state unequivocally that triploid grayling females are sterile. Full article
(This article belongs to the Section Animal Physiology)
Show Figures

Figure 1

11 pages, 8323 KB  
Article
The Promising Potential of Triploidy in Date Palm (Phoenix dactylifera L.) Breeding
by Ahmed Othmani, Hammadi Hamza, Karim Kadri, Amel Sellemi, Leen Leus and Stefaan P. O. Werbrouck
Plants 2024, 13(6), 815; https://doi.org/10.3390/plants13060815 - 12 Mar 2024
Cited by 3 | Viewed by 3047
Abstract
Date palms are a vital part of oasis ecosystems and are an important source of income in arid and semi-arid areas. Crossbreeding is limited due to the long juvenile stage of date palms and their dioecious nature. The aim of this study was [...] Read more.
Date palms are a vital part of oasis ecosystems and are an important source of income in arid and semi-arid areas. Crossbreeding is limited due to the long juvenile stage of date palms and their dioecious nature. The aim of this study was to create triploid date palms to obtain larger and seedless fruits and to increase resilience to abiotic stresses. A tetraploid date palm mutant was crossed with a diploid male palm, yielding hundreds of seeds suspected of containing triploid embryos. Six years after planting, four palms with confirmed triploidy reached maturity. They are phenotypically distinct from diploids, with a thicker rachis, thinner spines, wider and longer midleaf spines, and a longer apical spine. They were classified as sterile bisexual, sterile male and fertile female. One of the latter produced very tasty dates with a very small seed, which is promising for the marketability and profitability of date palm fruits. This first report on triploid date palms provides a way in which to make a significant leap forward in date palm breeding. Given the vigor and fruit quality of female triploid date palms, compared to their diploid counterparts, they will be the target of breeding programs and may spearhead new oases. Full article
(This article belongs to the Special Issue Advancements in Plant Polyploidy: From Methods to Mechanisms)
Show Figures

Figure 1

12 pages, 1681 KB  
Review
Hydatidiform Mole—Between Chromosomal Abnormality, Uniparental Disomy and Monogenic Variants: A Narrative Review
by Andreea Florea, Lavinia Caba, Ana-Maria Grigore, Lucian-Mihai Antoci, Mihaela Grigore, Mihaela I. Gramescu and Eusebiu Vlad Gorduza
Life 2023, 13(12), 2314; https://doi.org/10.3390/life13122314 - 10 Dec 2023
Cited by 4 | Viewed by 6611
Abstract
A hydatidiform mole (HM) or molar pregnancy is the most common benign form of gestational trophoblastic disease characterized by a proliferation of the trophoblastic epithelium and villous edema. Hydatidiform moles are classified into two forms: complete and partial hydatidiform moles. These two types [...] Read more.
A hydatidiform mole (HM) or molar pregnancy is the most common benign form of gestational trophoblastic disease characterized by a proliferation of the trophoblastic epithelium and villous edema. Hydatidiform moles are classified into two forms: complete and partial hydatidiform moles. These two types of HM present morphologic, histopathologic and cytogenetic differences. Usually, hydatidiform moles are a unique event, but some women present a recurrent form of complete hydatidiform moles that can be sporadic or familial. The appearance of hydatidiform moles is correlated with some genetic events (like uniparental disomy, triploidy or diandry) specific to meiosis and is the first step of embryo development. The familial forms are determined by variants in some genes, with NLRP7 and KHDC3L being the most important ones. The identification of different types of hydatidiform moles and their subsequent mechanisms is important to calculate the recurrence risk and estimate the method of progression to a malign form. This review synthesizes the heterogeneous mechanisms and their implications in genetic counseling. Full article
(This article belongs to the Special Issue Obstetrics and Gynecology Medicine: Go From Bench to Bedside)
Show Figures

Figure 1

9 pages, 945 KB  
Communication
Naturally Occurring Triploidy in Cannabis
by Richard Philbrook, Marzieh Jafari, Sydney Gerstenberg, Krista L. Say, Jeremy Warren and Andrew Maxwell Phineas Jones
Plants 2023, 12(23), 3927; https://doi.org/10.3390/plants12233927 - 22 Nov 2023
Cited by 6 | Viewed by 6737
Abstract
Polyploidy is a significant evolutionary process in plants that involves the duplication of genomic content and has been recognized as a key mechanism driving plant diversification and adaptation. In natural populations, polyploids frequently arise from unreduced gametes, which subsequently fuse with reduced or [...] Read more.
Polyploidy is a significant evolutionary process in plants that involves the duplication of genomic content and has been recognized as a key mechanism driving plant diversification and adaptation. In natural populations, polyploids frequently arise from unreduced gametes, which subsequently fuse with reduced or unreduced gametes, resulting in triploid or tetraploid offspring, respectively. Cannabis sativa L. is a diploid species, but recent work using artificially induced polyploidy has demonstrated its potential advantages in an agricultural setting. Further, recent work has identified that some elite clonal cultivars, vis. Mac1, are triploid, with no indication that they were artificially produced. The current study was conducted to determine if polyploidy is a naturally occurring phenomenon in cannabis and to estimate the frequency of this phenomenon across populations. To do this, the presence of natural triploid individuals was evaluated in 13 seedling populations of cannabis using a flow cytometry analysis. Among the examined populations, natural triploids were identified in 10 groups with an average frequency of approximately 0.5%. The highest frequency of natural triploids was observed in a self-pollinated population at 2.3%. This research demonstrates that polyploidy is a naturally occurring event in cannabis and triploids are present at an average of approximately 0.5%, or 1 in 200 plants. These data shed light on the natural variation in ploidy within cannabis populations and contribute valuable insights to the understanding of cannabis genetics and breeding practices. Full article
(This article belongs to the Special Issue Cannabis sativa: Advances in Biology and Cultivation)
Show Figures

Figure 1

16 pages, 20070 KB  
Article
Comparative Benchmarking of Optical Genome Mapping and Chromosomal Microarray Reveals High Technological Concordance in CNV Identification and Additional Structural Variant Refinement
by Hayk Barseghyan, Andy Wing Chun Pang, Benjamin Clifford, Moises A. Serrano, Alka Chaubey and Alex R. Hastie
Genes 2023, 14(10), 1868; https://doi.org/10.3390/genes14101868 - 26 Sep 2023
Cited by 8 | Viewed by 3844
Abstract
The recommended practice for individuals suspected of a genetic etiology for disorders including unexplained developmental delay/intellectual disability (DD/ID), autism spectrum disorders (ASD), and multiple congenital anomalies (MCA) involves a genetic testing workflow including chromosomal microarray (CMA), Fragile-X testing, karyotype analysis, and/or sequencing-based gene [...] Read more.
The recommended practice for individuals suspected of a genetic etiology for disorders including unexplained developmental delay/intellectual disability (DD/ID), autism spectrum disorders (ASD), and multiple congenital anomalies (MCA) involves a genetic testing workflow including chromosomal microarray (CMA), Fragile-X testing, karyotype analysis, and/or sequencing-based gene panels. Since genomic imbalances are often found to be causative, CMA is recommended as first tier testing for many indications. Optical genome mapping (OGM) is an emerging next generation cytogenomic technique that can detect not only copy number variants (CNVs), triploidy and absence of heterozygosity (AOH) like CMA, but can also define the location of duplications, and detect other structural variants (SVs), including balanced rearrangements and repeat expansions/contractions. This study compares OGM to CMA for clinically reported genomic variants, some of these samples also have structural characterization by fluorescence in situ hybridization (FISH). OGM was performed on IRB approved, de-identified specimens from 55 individuals with genomic abnormalities previously identified by CMA (61 clinically reported abnormalities). SVs identified by OGM were filtered by a control database to remove polymorphic variants and against an established gene list to prioritize clinically relevant findings before comparing with CMA and FISH results. OGM results showed 100% concordance with CMA findings for pathogenic variants and 98% concordant for all pathogenic/likely pathogenic/variants of uncertain significance (VUS), while also providing additional insight into the genomic structure of abnormalities that CMA was unable to provide. OGM demonstrates equivalent performance to CMA for CNV and AOH detection, enhanced by its ability to determine the structure of the genome. This work adds to an increasing body of evidence on the analytical validity and ability to detect clinically relevant abnormalities identified by CMA. Moreover, OGM identifies translocations, structures of duplications and complex CNVs intractable by CMA, yielding additional clinical utility. Full article
(This article belongs to the Section Cytogenomics)
Show Figures

Figure 1

18 pages, 3328 KB  
Article
Intervention of Dietary Protein Levels on Muscle Quality, Antioxidation, and Autophagy in the Muscles of Triploid Crucian Carp (Carassius carassius Triploid)
by Zhimin He, Yuyang Cai, Yang Xiao, Shenping Cao, Gaode Zhong, Xinting Li, Yanfang Li, Junhan Luo, Jianzhou Tang, Fufa Qu, Zhen Liu and Suchun Liu
Int. J. Mol. Sci. 2023, 24(15), 12043; https://doi.org/10.3390/ijms241512043 - 27 Jul 2023
Cited by 7 | Viewed by 2410
Abstract
The aim of this study is to investigate the effect of dietary protein levels on flesh quality, oxidative stress, and autophagy status in the muscles of triploid crucian carp (Carassius carassius triploid), and the related molecular mechanisms. Six experimental diets with [...] Read more.
The aim of this study is to investigate the effect of dietary protein levels on flesh quality, oxidative stress, and autophagy status in the muscles of triploid crucian carp (Carassius carassius triploid), and the related molecular mechanisms. Six experimental diets with different protein levels (26%, 29%, 32%, 35%, 38%, 41%) were formulated. A total of 540 fish with an initial weight of 11.79 ± 0.09 g were randomly assigned to 18 cages and six treatments with three replicates of 30 fish each for 8 weeks feeding. It could be found that the whole-body ash content significantly increased in high protein level groups (p < 0.05). The 29% dietary protein level group exhibited the highest muscle moisture, although there was an inconspicuous decrease in the chewiness of the muscles when compared with the other groups. The dietary protein level influenced the content of free amino acids and nucleotides, especially the content of flavor amino acids, which exhibited an increasing tendency along with the increasing protein level, such as alanine and glutamic acid, while the flavor nucleotides showed different fluctuation trends. Moreover, the genes related to muscle development were shown to be influenced by the dietary protein level, especially the expression of MRF4, which was up-regulated with the increasing dietary protein levels. The 29% dietary protein level promoted the majority of analyzed muscle genes expression to the highest level when compared to other dietary levels, except the Myostain, whose expression reached its highest at 38% dietary protein levels. Furthermore, the effect of dietary protein levels on antioxidant signaling pathway genes were also examined. High protein levels would boost the expression of GSTα; GPX1 and GPX4α mRNA expression showed the highest level at the 32% dietary protein group. The increasing dietary protein level decreased both mRNA and protein expressions of Nrf2 by up-regulating Keap1. Autophagy-related gene expression levels reached the peak at 32% dietary protein level, as evidenced by a similar change in protein expression of FoxO1. In summary, muscle nutritional composition, antioxidative pathways, and autophagy levels were affected by the dietary protein levels. A total of 29–32% dietary protein level would be the appropriate level range to improve muscle quality and promote the antioxidant and autophagy capacity of triploid crucian carp muscles. Full article
(This article belongs to the Special Issue Molecular Research on Autophagy)
Show Figures

Figure 1

16 pages, 3209 KB  
Article
Preimplantation Genetic Testing for Aneuploidy (PGT-A) Reveals High Levels of Chromosomal Errors in In Vivo-Derived Pig Embryos, with an Increased Incidence When Produced In Vitro
by Reina Jochems, Carla Canedo-Ribeiro, Giuseppe Silvestri, Martijn F. L. Derks, Hanne Hamland, Louisa J. Zak, Egbert F. Knol, Alan H. Handyside, Eli Grindflek and Darren K. Griffin
Cells 2023, 12(5), 790; https://doi.org/10.3390/cells12050790 - 2 Mar 2023
Cited by 6 | Viewed by 4708
Abstract
Preimplantation genetic testing for aneuploidy (PGT-A) is widespread, but controversial, in humans and improves pregnancy and live birth rates in cattle. In pigs, it presents a possible solution to improve in vitro embryo production (IVP), however, the incidence and origin of chromosomal errors [...] Read more.
Preimplantation genetic testing for aneuploidy (PGT-A) is widespread, but controversial, in humans and improves pregnancy and live birth rates in cattle. In pigs, it presents a possible solution to improve in vitro embryo production (IVP), however, the incidence and origin of chromosomal errors remains under-explored. To address this, we used single nucleotide polymorphism (SNP)-based PGT-A algorithms in 101 in vivo-derived (IVD) and 64 IVP porcine embryos. More errors were observed in IVP vs. IVD blastocysts (79.7% vs. 13.6% p < 0.001). In IVD embryos, fewer errors were found at blastocyst stage compared to cleavage (4-cell) stage (13.6% vs. 40%, p = 0.056). One androgenetic and two parthenogenetic embryos were also identified. Triploidy was the most common error in IVD embryos (15.8%), but only observed at cleavage, not blastocyst stage, followed by whole chromosome aneuploidy (9.9%). In IVP blastocysts, 32.8% were parthenogenetic, 25.0% (hypo-)triploid, 12.5% aneuploid, and 9.4% haploid. Parthenogenetic blastocysts arose from just three out of ten sows, suggesting a possible donor effect. The high incidence of chromosomal abnormalities in general, but in IVP embryos in particular, suggests an explanation for the low success of porcine IVP. The approaches described provide a means of monitoring technical improvements and suggest future application of PGT-A might improve embryo transfer success. Full article
(This article belongs to the Collection Non-human Chromosome Analysis)
Show Figures

Figure 1

11 pages, 4532 KB  
Article
A Novel System for the Detection of Spontaneous Abortion-Causing Aneuploidy and Its Erroneous Chromosome Origins through the Combination of Low-Pass Copy Number Variation Sequencing and NGS-Based STR Tests
by Caixia Lei, Kai Liao, Yuwei Zhao, Zhoukai Long, Saijuan Zhu, Junping Wu, Min Xiao, Jing Zhou, Shuo Zhang, Lianbin Li, Yijian Zhu, Daru Lu, Jingmin Yang and Xiaoxi Sun
J. Clin. Med. 2023, 12(5), 1809; https://doi.org/10.3390/jcm12051809 - 23 Feb 2023
Cited by 8 | Viewed by 3255
Abstract
During the period of 2018–2020, we first combined reported low-pass whole genome sequencing and NGS-based STR tests for miscarriage samples analysis. Compared with G-banding karyotyping, the system increased the detection rate of chromosomal abnormalities in miscarriage samples to 56.4% in 500 unexplained recurrent [...] Read more.
During the period of 2018–2020, we first combined reported low-pass whole genome sequencing and NGS-based STR tests for miscarriage samples analysis. Compared with G-banding karyotyping, the system increased the detection rate of chromosomal abnormalities in miscarriage samples to 56.4% in 500 unexplained recurrent spontaneous abortions. In this study, a total of 386 STR loci were developed on twenty-two autosomes and two sex chromosomes (X and Y chromosomes), which can help to distinguish triploidy, uniparental diploidy and maternal cell contamination and can trace the parental origin of erroneous chromosomes. It is not possible to accomplish this with existing methods of detection in miscarriage samples. Among the tested aneuploid errors, the most frequently detected error was trisomy (33.4% in total and 59.9% in the error chromosome group). In the trisomy samples, 94.7% extra chromosomes were of maternal origin and 5.31% were of paternal origin. This novel system improves the genetic analysis method of miscarriage samples and provides more reference information for clinical pregnancy guidance. Full article
(This article belongs to the Topic Smart Healthcare: Technologies and Applications)
Show Figures

Figure 1

11 pages, 1599 KB  
Article
Association between the Concentrations of Essential and Toxic Elements in Mid-Trimester Amniotic Fluid and Fetal Chromosomal Abnormalities in Pregnant Polish Women
by Joanna Suliburska, Jakub Pankiewicz, Adam Sajnóg, Magdalena Paczkowska, Beata Nowakowska, Ewa Bakinowska, Danuta Barałkiewicz and Rafał Kocyłowski
Diagnostics 2022, 12(4), 979; https://doi.org/10.3390/diagnostics12040979 - 13 Apr 2022
Cited by 4 | Viewed by 2836
Abstract
The present study aimed to investigate the relationship between the concentrations of essential and toxic elements present in the amniotic fluid (AF) and fetal chromosomal abnormalities in pregnant women. A total of 156 pregnant white Polish women aged between 20 and 43 years [...] Read more.
The present study aimed to investigate the relationship between the concentrations of essential and toxic elements present in the amniotic fluid (AF) and fetal chromosomal abnormalities in pregnant women. A total of 156 pregnant white Polish women aged between 20 and 43 years and screened to detect high risk for chromosomal defects in the first trimester were included in the study. AF samples were collected from these women during routine diagnostic and treatment procedures at mid-gestation (15–22 weeks of their pregnancies). The concentrations of various minerals in the AF were determined by inductively coupled plasma mass spectrometry. Genomic hybridization and cytogenetic karyotyping were performed to detect chromosomal aberrations in the fetuses. The genetic analysis revealed chromosomal aberrations in 19 fetuses (over 12% of all the evaluated women). The major abnormalities identified were trisomy 21 (N = 11), trisomy 18 (N = 2), and triploidy (N = 2). Fetuses with chromosomal abnormalities more frequently showed lower manganese concentration in the AF in the second trimester as compared to those with normal karyotype. A coincidence was observed between high iron levels in the AF and a higher risk of chromosomal abnormalities in the fetuses. Full article
(This article belongs to the Special Issue Diagnosis and Management in Prenatal Medicine)
Show Figures

Figure 1

Back to TopTop