Sign in to use this feature.

Years

Between: -

Subjects

remove_circle_outline
remove_circle_outline
remove_circle_outline
remove_circle_outline
remove_circle_outline
remove_circle_outline

Journals

Article Types

Countries / Regions

Search Results (13)

Search Parameters:
Keywords = triangle counting algorithms

Order results
Result details
Results per page
Select all
Export citation of selected articles as:
28 pages, 3097 KB  
Article
Cover Edge-Based Novel Triangle Counting
by David A. Bader, Fuhuan Li, Zhihui Du, Palina Pauliuchenka, Oliver Alvarado Rodriguez, Anant Gupta, Sai Sri Vastav Minnal, Valmik Nahata, Anya Ganeshan, Ahmet Cemal Gundogdu and Jason Lew
Algorithms 2025, 18(11), 685; https://doi.org/10.3390/a18110685 - 28 Oct 2025
Viewed by 654
Abstract
Counting and listing triangles in graphs is a fundamental task in network analysis, supporting applications such as community detection, clustering coefficient computation, k-truss decomposition, and triangle centrality. We introduce the cover-edge set, a novel concept that eliminates unnecessary edges during triangle enumeration, thereby [...] Read more.
Counting and listing triangles in graphs is a fundamental task in network analysis, supporting applications such as community detection, clustering coefficient computation, k-truss decomposition, and triangle centrality. We introduce the cover-edge set, a novel concept that eliminates unnecessary edges during triangle enumeration, thereby improving efficiency. This compact cover-edge set is rapidly constructed using a breadth-first search (BFS) strategy. Using this concept, we develop both sequential and parallel triangle-counting algorithms and conduct comprehensive comparisons with state-of-the-art methods. We also design a benchmarking framework to evaluate our sequential and parallel algorithms in a systematic and reproducible manner. Extensive experiments on the latest Intel Xeon 8480+ processor reveal clear performance differences among algorithms, demonstrate the benefits of various optimization strategies, and show how graph characteristics, such as diameter and degree distribution, affect algorithm performance. Our source code is available on GitHub. Full article
(This article belongs to the Section Combinatorial Optimization, Graph, and Network Algorithms)
Show Figures

Graphical abstract

20 pages, 1809 KB  
Article
Automated Box-Counting Fractal Dimension Analysis: Sliding Window Optimization and Multi-Fractal Validation
by Rod W. Douglass
Fractal Fract. 2025, 9(10), 633; https://doi.org/10.3390/fractalfract9100633 - 29 Sep 2025
Viewed by 1449
Abstract
This paper presents a systematic methodology for identifying optimal scaling regions in segment-based box-counting fractal dimension calculations through a three-phase algorithmic framework combining grid offset optimization, boundary artifact detection, and sliding window optimization. Unlike traditional pixelated approaches that suffer from rasterization artifacts, the [...] Read more.
This paper presents a systematic methodology for identifying optimal scaling regions in segment-based box-counting fractal dimension calculations through a three-phase algorithmic framework combining grid offset optimization, boundary artifact detection, and sliding window optimization. Unlike traditional pixelated approaches that suffer from rasterization artifacts, the method used directly analyzes geometric line segments, providing superior accuracy for mathematical fractals and other computational applications. The three-phase optimization algorithm automatically determines optimal scaling regions and minimizes discretization bias without manual parameter tuning, achieving significant error reduction compared to traditional methods. Validation across the Koch curve, Sierpinski triangle, Minkowski sausage, Hilbert curve, and Dragon curve demonstrates substantial improvements: excellent accuracy for the Koch curve (0.11% error) and significant error reduction for the Hilbert curve. All optimized results achieve R20.9988. Iteration analysis establishes minimum requirements for reliable measurement, with convergence by level 6+ for the Koch curve and level 3+ for the Sierpinski triangle. Each fractal type exhibits optimal iteration ranges where authentic scaling behavior emerges before discretization artifacts dominate, challenging the assumption that higher iteration levels imply more accurate results. Application to a Rayleigh–Taylor instability interface (D = 1.835 ± 0.0037) demonstrates effectiveness for physical fractal systems where theoretical dimensions are unknown. This work provides objective, automated fractal dimension measurement with comprehensive validation establishing practical guidelines for mathematical and real-world fractal analysis. The sliding window approach eliminates subjective scaling region selection through systematic evaluation of all possible linear regression windows, enabling measurements suitable for automated analysis workflows. Full article
Show Figures

Figure 1

13 pages, 5961 KB  
Article
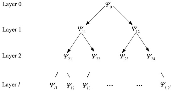
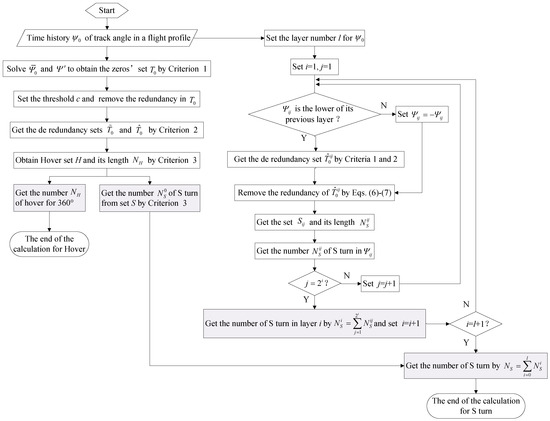
Statistical Algorithms with Phase-Sensitive Detection for the Number of Hovers and S Turns in Aircraft Flights
by Moli Chen, Xunkai Wei, Hao Wang and Zhenhe Jiang
Appl. Sci. 2023, 13(16), 9435; https://doi.org/10.3390/app13169435 - 20 Aug 2023
Viewed by 1404
Abstract
Compared to maximum state parameters, such as maximum altitude and Mach, the number of hovers and S turns can be used as process parameters representing the complexity of military aircraft maneuvers when classifying big flight mission data to compile flight load spectra for [...] Read more.
Compared to maximum state parameters, such as maximum altitude and Mach, the number of hovers and S turns can be used as process parameters representing the complexity of military aircraft maneuvers when classifying big flight mission data to compile flight load spectra for structures. This study developed intelligent statistical algorithms based on yaw angle data from flight parameters such as the number of hovers and S turns. Using the median-crossing de-redundant function of Phase-Sensitive Detection (PSD) and analyzing the characteristics of 360° hovering flight parameters, a statistical algorithm for the number of hovers during a flight profile is presented. Using the split-half function of PSD, a triangle layering algorithm based on the yaw angle signal was developed to count the number of S turns during a flight profile, where the signal of each sublayer is segmented into median-crossing intervals to eliminate the redundant median-crossing marks from the previous layer. Compared with artificial means, the statistical results of the flight example showed that the developed intelligent algorithms are effective. Full article
Show Figures

Figure 1

23 pages, 14880 KB  
Article
A Reactive Power Injection Algorithm for Improving the Microgrid Operational Reliability
by Baoquan Liu, Haoxuan Li, Haoming Zhang and Meng Han
Electronics 2023, 12(13), 2932; https://doi.org/10.3390/electronics12132932 - 3 Jul 2023
Cited by 1 | Viewed by 2096
Abstract
Stand-alone microgrids have become reliable and efficient solutions for remote areas and critical infrastructures. However, the converters within these microgrids experience long-term complex power fluctuations caused by random variations in micro sources and loads. These power fluctuations induce thermal cycling in semiconductor chips, [...] Read more.
Stand-alone microgrids have become reliable and efficient solutions for remote areas and critical infrastructures. However, the converters within these microgrids experience long-term complex power fluctuations caused by random variations in micro sources and loads. These power fluctuations induce thermal cycling in semiconductor chips, leading to thermal fatigue failure and compromising the safety and reliability of both the converter and microgrid operation. To address this issue, this paper proposes a reactive power injection algorithm aimed at reducing the output power fluctuation of the converter. The algorithm implements reactive power injection at the converter control level, thereby restructuring the output power profile and resulting in reduced junction temperature fluctuations in IGBTs. This approach effectively mitigates thermal stress within the material layers of the module, extending the lifetime of power devices and improving the operational reliability of the microgrid. The algorithm implementation is based on the PQ control strategy, integrating the power triangle with the envelope detection technique. Furthermore, the lifetime prediction process utilizes the electro-thermal coupling model, the rainflow counting algorithm, and the Lesit model. Simulation results demonstrate that, for an active power fluctuation range of 10 kW to 80 kW and an equivalent RC time constant of 22.5 s, the algorithm achieves a significant reduction of 62.64% in the amplitude of output power fluctuation and extends the lifetime of power devices by 74.13%. The obtained data showcase the effectiveness of the algorithm in enhancing the lifetime of power devices and further improving the microgrid operational reliability under specific parameter conditions. Full article
(This article belongs to the Section Power Electronics)
Show Figures

Figure 1

35 pages, 812 KB  
Review
Extreme Value Statistics for Evolving Random Networks
by Natalia Markovich and Marijus Vaičiulis
Mathematics 2023, 11(9), 2171; https://doi.org/10.3390/math11092171 - 5 May 2023
Cited by 5 | Viewed by 3836
Abstract
Our objective is to survey recent results concerning the evolution of random networks and related extreme value statistics, which are a subject of interest due to numerous applications. Our survey concerns the statistical methodology but not the structure of random networks. We focus [...] Read more.
Our objective is to survey recent results concerning the evolution of random networks and related extreme value statistics, which are a subject of interest due to numerous applications. Our survey concerns the statistical methodology but not the structure of random networks. We focus on the problems arising in evolving networks mainly due to the heavy-tailed nature of node indices. Tail and extremal indices of the node influence characteristics like in-degrees, out-degrees, PageRanks, and Max-linear models arising in the evolving random networks are discussed. Related topics like preferential and clustering attachments, community detection, stationarity and dependence of graphs, information spreading, finding the most influential leading nodes and communities, and related methods are surveyed. This survey tries to propose possible solutions to unsolved problems, like testing the stationarity and dependence of random graphs using known results obtained for random sequences. We provide a discussion of unsolved or insufficiently developed problems like the distribution of triangle and circle counts in evolving networks, or the clustering attachment and the local dependence of the modularity, the impact of node or edge deletion at each step of evolution on extreme value statistics, among many others. Considering existing techniques of community detection, we pay attention to such related topics as coloring graphs and anomaly detection by machine learning algorithms based on extreme value theory. In order to understand how one can compute tail and extremal indices on random graphs, we provide a structured and comprehensive review of their estimators obtained for random sequences. Methods to calculate the PageRank and PageRank vector are shortly presented. This survey aims to provide a better understanding of the directions in which the study of random networks has been done and how extreme value analysis developed for random sequences can be applied to random networks. Full article
(This article belongs to the Special Issue New Advances and Applications of Extreme Value Theory)
Show Figures

Figure 1

12 pages, 311 KB  
Article
A Multi-Dimensional Matrix Product—A Natural Tool for Parameterized Graph Algorithms
by Mirosław Kowaluk and Andrzej Lingas
Algorithms 2022, 15(12), 448; https://doi.org/10.3390/a15120448 - 28 Nov 2022
Cited by 2 | Viewed by 2797
Abstract
We introduce the concept of a k-dimensional matrix product D of k matrices A1,,Ak of sizes n1×n,,nk×n, respectively, where [...] Read more.
We introduce the concept of a k-dimensional matrix product D of k matrices A1,,Ak of sizes n1×n,,nk×n, respectively, where D[i1,,ik] is equal to =1nA1[i1,]××Ak[ik,]. We provide upper bounds on the time complexity of computing the product and solving related problems of computing witnesses and maximum witnesses of the Boolean version of the product in terms of the time complexity of rectangular matrix multiplication. The multi-dimensional matrix product framework is useful in the design of parameterized graph algorithms. First, we apply our results on the multi-dimensional matrix product to the fundamental problem of detecting/counting copies of a fixed pattern graph in a host graph. The recent progress on this problem has not included complete pattern graphs, i.e., cliques (and their complements, i.e., edge-free pattern graphs, in the induced setting). The fastest algorithms for the aforementioned patterns are based on a reduction to triangle detection/counting. We provide an alternative simple method of detection/counting copies of fixed size cliques based on the multi-dimensional matrix product. It is at least as time efficient as the triangle method in cases of K4 and K5. Next, we show an immediate reduction of the k-dominating set problem to the multi-dimensional matrix product. It implies the W[2] hardness of the problem of computing the k-dimensional Boolean matrix product. Finally, we provide an efficient reduction of the problem of finding the lowest common ancestors for all k-tuples of vertices in a directed acyclic graph to the problem of finding witnesses of the Boolean variant of the multi-dimensional matrix product. Although the time complexities of the algorithms resulting from the aforementioned reductions solely match those of the known algorithms, the advantage of our algorithms is simplicity. Our algorithms also demonstrate the versatility of the multi-dimensional matrix product framework. Full article
(This article belongs to the Collection Feature Paper in Algorithms and Complexity Theory)
Show Figures

Figure 1

14 pages, 4856 KB  
Article
A Star-Identification Algorithm Based on Global Multi-Triangle Voting
by Xiaobin Yuan, Jingping Zhu, Kaijian Zhu and Xiaobin Li
Appl. Sci. 2022, 12(19), 9993; https://doi.org/10.3390/app12199993 - 5 Oct 2022
Cited by 5 | Viewed by 2810
Abstract
A star-identification algorithm aimed at identifying imaged stars in a “lost in space” scene, named the global multi-triangle voting algorithm (GMTV), is presented in this paper. There are two core parts included in the proposed algorithm: in the initial match part, triangle feature [...] Read more.
A star-identification algorithm aimed at identifying imaged stars in a “lost in space” scene, named the global multi-triangle voting algorithm (GMTV), is presented in this paper. There are two core parts included in the proposed algorithm: in the initial match part, triangle feature units are treated as vote units to find the initial match relationship via matching vote units and counting the vote number of each catalog star. During this step, the principal component analysis (PCA) method is implemented to reduce feature dimensions, and a two-dimension lookup table and fuzzy match strategy are utilized to promote database searching efficiency and noise tolerance. After acquiring the initial match results, a verification part is implemented to filter potential errors from initial candidates by the largest cluster method and output the final identification results. The proposed algorithm achieves a 98.6% identification rate with 2.0 pixels position noise and exhibits more robustness to position noise, magnitude noise, and false stars of different levels than the two reference algorithms used in simulations. In addition, our algorithm’s real-time performance is better than reference algorithms, but it requires a larger database. Full article
(This article belongs to the Section Aerospace Science and Engineering)
Show Figures

Figure 1

23 pages, 6317 KB  
Article
Improving Mobile Game Performance with Basic Optimization Techniques in Unity
by Georgios Koulaxidis and Stelios Xinogalos
Modelling 2022, 3(2), 201-223; https://doi.org/10.3390/modelling3020014 - 28 Mar 2022
Cited by 15 | Viewed by 19521
Abstract
Creating video games can be a very complex process, which requires taking into account various hardware and software limitations. This process is even more complex for mobile games, which are limited to the resources that their platforms (mobile devices) offer in comparison to [...] Read more.
Creating video games can be a very complex process, which requires taking into account various hardware and software limitations. This process is even more complex for mobile games, which are limited to the resources that their platforms (mobile devices) offer in comparison to game consoles and personal computers. This restriction makes performance one of the top critical requirements, meaning that a videogame should be designed and developed more carefully. In order to reduce the resources that a game uses, there are optimization techniques that can be applied in different stages of the development. For the purposes of this article, we designed and developed a simple shooter videogame, intended for Android mobile devices. The game was developed with the Unity game engine and most of the models were designed with the 3D computer graphics software Blender. Two versions of the game were developed in order to study the differences in performance: one version that applies basic optimization techniques, such as low poly count for the models and the object pooling algorithm for the enemy’s spawn; and one where the aforementioned optimizations were not used. Even though the game is not large in scale, the optimized version achieves a better user experience and needs less resources in order to run smoothly. This means that in larger and more complex video games these optimizations could have a bigger impact on the performance of the final product. To measure how the techniques affected the two versions of the game, the values of frames per second, batches and triangles/polygons were taken under consideration and used as metrics for game performance in terms of CPU usage, rendering (GPU usage) and memory usage. Full article
Show Figures

Figure 1

17 pages, 537 KB  
Article
Counting Non-Convex 5-Holes in a Planar Point Set
by Young-Hun Sung and Sang Won Bae
Symmetry 2022, 14(1), 78; https://doi.org/10.3390/sym14010078 - 5 Jan 2022
Cited by 1 | Viewed by 2561
Abstract
Let S be a set of n points in the general position, that is, no three points in S are collinear. A simple k-gon with all corners in S such that its interior avoids any point of S is called a k [...] Read more.
Let S be a set of n points in the general position, that is, no three points in S are collinear. A simple k-gon with all corners in S such that its interior avoids any point of S is called a k-hole. In this paper, we present the first algorithm that counts the number of non-convex 5-holes in S. To our best knowledge, prior to this work there was no known algorithm in the literature except a trivial brute force algorithm. Our algorithm runs in time O(T+Q), where T denotes the number of 3-holes, or empty triangles, in S and Q that denotes the number of non-convex 4-holes in S. Note that T+Q ranges from Ω(n2) to O(n3), while its expected number is Θ(n2logn) when the points in S are chosen uniformly and independently at random from a convex and bounded body in the plane. Full article
(This article belongs to the Section Mathematics)
Show Figures

Figure 1

19 pages, 114272 KB  
Article
Improving CPT-InSAR Algorithm with Adaptive Coherent Distributed Pixels Selection
by Longkai Dong, Chao Wang, Yixian Tang, Hong Zhang and Lu Xu
Remote Sens. 2021, 13(23), 4784; https://doi.org/10.3390/rs13234784 - 25 Nov 2021
Cited by 5 | Viewed by 3579
Abstract
The Coherent Pixels Technique Interferometry Synthetic Aperture Radar (CPT-InSAR) method of inverting surface deformation parameters by using high-quality measuring points possesses the flaw inducing sparse measuring points in non-urban areas. In this paper, we propose the Adaptive Coherent Distributed Pixel InSAR (ACDP-InSAR) method, [...] Read more.
The Coherent Pixels Technique Interferometry Synthetic Aperture Radar (CPT-InSAR) method of inverting surface deformation parameters by using high-quality measuring points possesses the flaw inducing sparse measuring points in non-urban areas. In this paper, we propose the Adaptive Coherent Distributed Pixel InSAR (ACDP-InSAR) method, which is an adaptive method used to extract Distributed Scattering Pixel (DSP) based on statistically homogeneous pixel (SHP) cluster tests and improves the phase quality of DSP through phase optimization, which cooperates with Coherent Pixel (CP) for the retrieval of ground surface deformation parameters. For a region with sparse CPs, DSPs and its SHPs are detected by double-layer windows in two steps, i.e., multilook windows and spatial filtering windows, respectively. After counting the pixel number of maximum SHP cluster (MSHPC) in the multilook window based on the Anderson–Darling (AD) test and filtering out unsuitable pixels, the candidate DSPs are selected. For the filtering window, the SHPs of MSHPC’ pixels within the new window, which is different compared with multilook windows, were detected, and the SHPs of DSPs were obtained, which were used for coherent estimation. In phase-linking, the results of Eigen decomposition-based Maximum likelihood estimator of Interferometric phase (EMI) results are used as the initial values of the phase triangle algorithm (PTA) for the purpose of phase estimation (hereafter called as PTA-EMI). The DSPs and estimated phase are then combined with CPs in order to retrievesurface deformation parameters. The method was validated by two cases. The results show that the density of measuring points increased approximately 6–10 times compared with CPT-InSAR, and the quality of the interferometric phase significantly improved after phase optimization. It was demonstrated that the method is effective in increasing measuring point density and improving phase quality, which increases significantly the detectability of the low coherence region. Compared with the Distributed Scatterer InSAR (DS-InSAR) technique, ACDP-InSAR possesses faster processing speed at the cost of resolution loss, which is crucial for Earth surface movement monitoring at large spatial scales. Full article
(This article belongs to the Special Issue Advances in InSAR Imaging and Data Processing)
Show Figures

Graphical abstract

25 pages, 802 KB  
Article
Interactive Graph Stream Analytics in Arkouda
by Zhihui Du, Oliver Alvarado Rodriguez, Joseph Patchett and David A. Bader
Algorithms 2021, 14(8), 221; https://doi.org/10.3390/a14080221 - 21 Jul 2021
Cited by 11 | Viewed by 4090
Abstract
Data from emerging applications, such as cybersecurity and social networking, can be abstracted as graphs whose edges are updated sequentially in the form of a stream. The challenging problem of interactive graph stream analytics is the quick response of the queries on terabyte [...] Read more.
Data from emerging applications, such as cybersecurity and social networking, can be abstracted as graphs whose edges are updated sequentially in the form of a stream. The challenging problem of interactive graph stream analytics is the quick response of the queries on terabyte and beyond graph stream data from end users. In this paper, a succinct and efficient double index data structure is designed to build the sketch of a graph stream to meet general queries. A single pass stream model, which includes general sketch building, distributed sketch based analysis algorithms and regression based approximation solution generation, is developed, and a typical graph algorithm—triangle counting—is implemented to evaluate the proposed method. Experimental results on power law and normal distribution graph streams show that our method can generate accurate results (mean relative error less than 4%) with a high performance. All our methods and code have been implemented in an open source framework, Arkouda, and are available from our GitHub repository, Bader-Research. This work provides the large and rapidly growing Python community with a powerful way to handle terabyte and beyond graph stream data using their laptops. Full article
(This article belongs to the Special Issue Scalable Graph Algorithms and Applications)
Show Figures

Figure 1

13 pages, 424 KB  
Article
A Set-Theoretic Approach to Modeling Network Structure
by John L. Pfaltz
Algorithms 2021, 14(5), 153; https://doi.org/10.3390/a14050153 - 11 May 2021
Cited by 1 | Viewed by 3268
Abstract
Three computer algorithms are presented. One reduces a network N to its interior, I. Another counts all the triangles in a network, and the last randomly generates networks similar to N given just its interior I. However, these algorithms are not [...] Read more.
Three computer algorithms are presented. One reduces a network N to its interior, I. Another counts all the triangles in a network, and the last randomly generates networks similar to N given just its interior I. However, these algorithms are not the usual numeric programs that manipulate a matrix representation of the network; they are set-based. Union and meet are essential binary operators; contained_in is the basic relational comparator. The interior I is shown to have desirable formal properties and to provide an effective way of revealing “communities” in social networks. A series of networks randomly generated from I is compared with the original network, N. Full article
(This article belongs to the Special Issue Network Science: Algorithms and Applications)
Show Figures

Figure 1

21 pages, 4173 KB  
Article
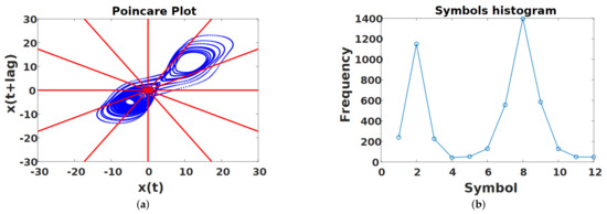
Reciprocating Compressor Multi-Fault Classification Using Symbolic Dynamics and Complex Correlation Measure
by Mariela Cerrada, Jean-Carlo Macancela, Diego Cabrera, Edgar Estupiñan, René-Vinicio Sánchez and Ruben Medina
Appl. Sci. 2020, 10(7), 2512; https://doi.org/10.3390/app10072512 - 6 Apr 2020
Cited by 23 | Viewed by 5419
Abstract
Prognostics and Health Management technologies are useful for early fault detection and optimization of reliability in mechanical systems. Reciprocating compressors units are commonly used in industry for gas pressurization and transportation, and the valves in compressors are considered vulnerable parts susceptible to failure. [...] Read more.
Prognostics and Health Management technologies are useful for early fault detection and optimization of reliability in mechanical systems. Reciprocating compressors units are commonly used in industry for gas pressurization and transportation, and the valves in compressors are considered vulnerable parts susceptible to failure. Then, early detection of faults is important for avoiding catastrophic accidents. A feasible approach for fault detection consists in measuring the vibration signal for extracting useful features enabling fault detection and classification. In this research, a test-bed composed by two-stage reciprocating compressor was used for simulating a set of 13 different conditions of combined faults in valves and roller bearings. Three accelerometers were used for collecting the vibration signals for extracting three different types of features. These features were analyzed furthermore by using two random forest models to classifying the different faults. The first set of features was obtained by applying the symbolic dynamics algorithm, which provides the histogram of a set of symbols. This set of symbols was obtained by subdividing a 2D Poincaré plot into angular regions and counting the intersection of the phase trajectories on each of regions. The second type of features corresponds to the complex correlation measure which is calculated as the addition of the areas of triangles belonging to a Poincaré plot. Additionally, a small set of classical statistical features was also used for comparing their classification abilities to the new set of proposed features. The three sets of features enable highly accurate classification of the set of faults when used with random forest classification models. Notably, the ensemble subspace k-Nearest Neighbors algorithm provides classification accuracies higher than 99%. Full article
(This article belongs to the Section Applied Industrial Technologies)
Show Figures

Figure 1

Back to TopTop