Sign in to use this feature.

Years

Between: -

Subjects

remove_circle_outline
remove_circle_outline
remove_circle_outline
remove_circle_outline
remove_circle_outline
remove_circle_outline
remove_circle_outline
remove_circle_outline
remove_circle_outline

Journals

remove_circle_outline
remove_circle_outline

Article Types

Countries / Regions

remove_circle_outline
remove_circle_outline
remove_circle_outline
remove_circle_outline

Search Results (322)

Search Parameters:
Keywords = tree size variation

Order results
Result details
Results per page
Select all
Export citation of selected articles as:
32 pages, 10980 KB  
Article
Fatigue Assessment of Weathering Steel Welded Joints Based on Fracture Mechanics and Machine Learning
by Jianxing Du, Han Su and Jinsheng Du
Buildings 2026, 16(2), 399; https://doi.org/10.3390/buildings16020399 - 18 Jan 2026
Viewed by 88
Abstract
To improve the computational efficiency of complex fatigue assessments, this study proposes a framework that integrates high-fidelity finite element analysis (FEA)with ensemble learning for evaluating the fatigue performance of weathering steel welded joints. First, a three-dimensional crack propagation model for cruciform fillet welds [...] Read more.
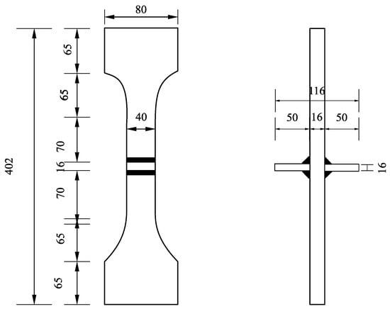
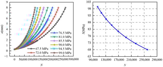
To improve the computational efficiency of complex fatigue assessments, this study proposes a framework that integrates high-fidelity finite element analysis (FEA)with ensemble learning for evaluating the fatigue performance of weathering steel welded joints. First, a three-dimensional crack propagation model for cruciform fillet welds was developed on the ABAQUS-FRANC3D platform, with a validation error of less than 20%. Subsequently, a large-scale parametric analysis was conducted. The results indicate that as the stress amplitude increases from 67.5 MPa to 99 MPa, the fatigue life decreases to 40.29% of the baseline value. When the stress amplitude reaches 180 MPa, the fatigue life drops sharply to 14.28% of the baseline. Within the stress ratio range of 0.1 to 0.7, increasing the initial crack size from 0.075 mm to 0.5 mm reduces the fatigue life to between 85.78% and 86.48% of the baseline. Edge cracks, influenced by stress concentration, exhibit approximately 15.2% shorter fatigue life compared to central cracks, while the maximum variation in fatigue life due to crack geometry is only 10.25%. Second, an Extremely Randomized Trees surrogate model constructed based on the simulation data demonstrates excellent performance. Finally, by integrating this model with Paris’s law, the developed prediction framework achieves high consistency with numerical simulation results, with all predicted values falling within the two-standard-deviation interval. This data-driven approach can effectively replace computationally intensive finite element analysis, enabling efficient structural safety assessments. Full article
Show Figures

Figure 1

27 pages, 4787 KB  
Article
The Optimization of Maize Intercropped Agroforestry Systems by Changing the Fertilizing Level and Spacing Between Tree Lines
by Zibuyile Dlamini, Ágnes Kun, Béla Gombos, Mihály Zalai, Ildikó Kolozsvári, Mihály Jancsó, Beatrix Bakti and László Menyhárt
Land 2026, 15(1), 126; https://doi.org/10.3390/land15010126 - 8 Jan 2026
Viewed by 395
Abstract
Agroforestry is defined as a multifunctional approach to land management that enhances biodiversity and soil health while mitigating environmental impacts compared to intensive agriculture. The efficacy of maize cultivation in agroforestry systems is significantly influenced by nutrient competition. The factors that influence this [...] Read more.
Agroforestry is defined as a multifunctional approach to land management that enhances biodiversity and soil health while mitigating environmental impacts compared to intensive agriculture. The efficacy of maize cultivation in agroforestry systems is significantly influenced by nutrient competition. The factors that influence this phenomenon include the dimensions and configuration of the tree rows, as well as the availability of nutrients. This study examined the effect of nitrogen fertilization, tree line spacing, and seasonal changes on the productivity and the leaf spectral characteristics of the intercropped maize (Zea mays L.) within a willow-based agroforestry system in eastern Hungary. The experiment involved the cultivation of maize with two spacings (narrow and wide field strips) and four nitrogen levels (0, 50, 100, and 150 kg N ha−1) across two growing seasons (2023–2024). The results demonstrated that yield-related parameters, including biomass, cob size and weight, and grain weight, exhibited a strong response to nitrogen level and tree line spacing. The reduction in spacing resulted in a decline in maize productivity. However, a high nitrogen input (150 kg N ha−1) partially mitigated this effect in the first growing season. Vegetation indices demonstrated a high degree of sensitivity to annual variations, particularly with regard to tree competition and weather conditions. Multispectral vegetation indices exhibited a heightened responsiveness to environmental and management factors when compared to indices based on visible light (RGB). The findings of this study demonstrate that a combination of optimized tree spacing and optimized nitrogen management fosters productivity while maintaining agroecological sustainability in temperate agroforestry systems. Full article
Show Figures

Figure 1

14 pages, 2993 KB  
Article
Leaf-Fruit Trait Decoupling Along Environmental Gradients in Tropical Cryptocaryeae (Lauraceae)
by Wendi Zhao, Lifang Wang, Yu Song, Honglei Jiang and Xiali Guo
Plants 2026, 15(1), 126; https://doi.org/10.3390/plants15010126 - 1 Jan 2026
Viewed by 318
Abstract
Cryptocaryeae, as a significant tribe within the Lauraceae family with important economic and ecological value, comprises over 850 species. Its common ancestor dates back to approximately 123 million years ago, in the early Cretaceous, originating in tropical Africa and Asia. Understanding how leaf [...] Read more.
Cryptocaryeae, as a significant tribe within the Lauraceae family with important economic and ecological value, comprises over 850 species. Its common ancestor dates back to approximately 123 million years ago, in the early Cretaceous, originating in tropical Africa and Asia. Understanding how leaf and fruit functional traits of Cryptocaryeae trees (Lauraceae) respond to environmental fluctuations is crucial for protecting the structure and function of forest ecosystems. In this study, we investigated the influence of environmental factors on leaf and fruit morphological traits in the tropical tribe Cryptocaryeae. Based on an established phylogenetic framework for Cryptocaryeae, we compiled a dataset containing 17,117 morphological observations across 369 species. The analyzed traits included leaf length, leaf width, leaf area, fruit length, fruit diameter, and fruit size. Through analyzing trends of leaves and fruits morphological traits across the latitude and longitude and their relationship with environmental factors, and by quantifying the relative contributions of environmental factors to these traits, we demonstrated that leaf morphology exhibited distinct latitudinal and longitudinal zonation and was sensitive to environmental fluctuations, especially to temperature changes. In contrast, the change of fruit morphological traits was comparatively conservative in their variation, mainly affected by precipitation. These findings suggest that different plant traits may employ different trade-off strategies during environmental adaptation. Highlighting the importance of integrating ecological and evolutionary perspectives on leaf and fruit morphological traits of tropical Cryptocaryeae trees could provide insights into understanding plant environmental adaptation. Full article
Show Figures

Figure 1

15 pages, 2684 KB  
Article
Thermal Ecology and Homeostasis in Colonies of the Neotropical Arboricolous Ant Azteca chartifex spiriti (Formicidae: Dolichoderinae)
by Josieia Teixeira dos Santos, Elmo Borges de Azevedo Koch, Julya Lopes dos Santos, Laís da Silva Bomfim, Jacques Hubert Charles Delabie and Cléa dos Santos Ferreira Mariano
Insects 2026, 17(1), 32; https://doi.org/10.3390/insects17010032 - 25 Dec 2025
Viewed by 406
Abstract
Arboreal ants occupy a thermally dynamic environment, yet the mechanisms integrating nest architecture and worker behavior to maintain colony homeostasis remain understudied. We investigated the interplay among circadian rhythm, nest homeostasis, and worker morphology in Azteca chartifex spiriti, a Neotropical arboreal species [...] Read more.
Arboreal ants occupy a thermally dynamic environment, yet the mechanisms integrating nest architecture and worker behavior to maintain colony homeostasis remain understudied. We investigated the interplay among circadian rhythm, nest homeostasis, and worker morphology in Azteca chartifex spiriti, a Neotropical arboreal species that builds large polydomous nests suspended in trees. In ten colonies, we measured internal moisture and temperature gradients in the main nest, which houses most individuals, including the reproductive female, immatures, and numerous workers. In six colonies, we assessed the polymorphism of foraging workers over a 24 h cycle in relation to external temperature variation. The results show integrated thermoregulatory mechanisms that combine passive strategies, derived from nest architecture and moisture gradients from the suspension base to the lower extremity, with active strategies linked to foraging patterns and worker polymorphism. Internal temperature (27.8 ± 2.41 °C) remained buffered relative to external fluctuations, and moisture was significantly higher at the nest’s lower extremity (p < 0.001). Worker size displayed a bimodal distribution during the day that shifted to a unimodal pattern at night, indicating behavioral adjustments to thermal and operational demands. These findings demonstrate that the interaction between physical structure and worker behavior maintains colony homeostasis, providing essential insights into how dominant canopy ants may cope with future climate change scenarios. Full article
(This article belongs to the Section Social Insects and Apiculture)
Show Figures

Graphical abstract

13 pages, 1963 KB  
Article
Mitochondrial Genomes Reveal Population Structure of the Locust Oedaleus decorus (Orthoptera: Acrididae: Oedipodinae) in China
by Xi Li, Shiqian Feng, Na Risu, Lijun Gao, Oyunbayar Amanjol, Uuganbayar Chuluunbaatar, Na Muriga, Hongmei Li, Zhan Niyazbekov, Alua Rysbekova, Xiongbing Tu, Guangjun Wang and Undarmaa Davaasambuu
Agronomy 2025, 15(12), 2830; https://doi.org/10.3390/agronomy15122830 - 9 Dec 2025
Viewed by 292
Abstract
The locust Oedaleus decorus undergoes massive outbreaks and engages in round-trip migratory flights across northern China and Mongolia. However, its specific genetic structure remains poorly understood. In this study, we sequenced the complete mitochondrial genomes of 163 O. decorus individuals from 16 locations [...] Read more.
The locust Oedaleus decorus undergoes massive outbreaks and engages in round-trip migratory flights across northern China and Mongolia. However, its specific genetic structure remains poorly understood. In this study, we sequenced the complete mitochondrial genomes of 163 O. decorus individuals from 16 locations in northern China using high-throughput sequencing data and analyzed its population structure. The results showed that these mitochondrial genomes are 15,142 to 15,914 bp in sizes, with size variation attributed to A + T-rich regions in intergenic spacers. All 13 protein-coding genes exhibited conserved lengths across samples. The overall genetic differentiation between populations was small (Fst = 0.00843), with high gene flow (Nm = 29.40). Both genetic differentiation and DAPC analyses revealed significant genetic differentiation in the New Barag Left Banner (NBL) population compared to the Zhengxiangbai Banner (ZB), Taibus Banner (TP), Xianghuang Banner (XH), and Zhenglan Banner (ZL) populations. The phylogenetic tree and haplotype network suggest Hap_20 is presumably a relatively ancestral haplotype and all haplotypes were divided into two clades, and no population formed a distinct independent clade. Our findings indicate that the O. decorus population in North China exhibits mitochondrial subtype differentiation. The lack of difference in genetic structure across different regions in North China is consistent with a high level of migratory activity by O. decorus in the region. Full article
(This article belongs to the Section Pest and Disease Management)
Show Figures

Figure 1

13 pages, 1332 KB  
Article
Effects of Mixing Ratios on Branch Development in Young Mixed Plantations of Betula alnoides and Castanopsis hystrix
by Yangdong Zou, Chunsheng Wang, Yuhan Chang, Haifeng Yin, Qiong Dong and Jie Zeng
Plants 2025, 14(24), 3730; https://doi.org/10.3390/plants14243730 - 6 Dec 2025
Viewed by 327
Abstract
Branch characteristics (quantity, morphology, and distribution) are critical determinants of tree growth and wood quality. However, the influence of species mixing, particularly mixing ratios, on branch development remains poorly understood. This study examined the branch attributes of Betula alnoides and Castanopsis hystrix in [...] Read more.
Branch characteristics (quantity, morphology, and distribution) are critical determinants of tree growth and wood quality. However, the influence of species mixing, particularly mixing ratios, on branch development remains poorly understood. This study examined the branch attributes of Betula alnoides and Castanopsis hystrix in a six-year-old mixed-species trial plantation including monoculture of each species, and three mixtures at ratios of 1:1, 1:3, and 1:5 (B. alnoidesC. hystrix) in Pingxiang, Guangxi, China. Branch quantity (number, proportion, and density), morphology (diameter, length, and angle), and distribution (vertical and horizontal) were measured or recorded from 40 sampled dominant or codominant trees (20 B. alnoides and 20 C. hystrix). The results showed that mixing significantly increased the number and density of branches over 124.2% and 53.2%, respectively, in the lower crown (below 10 m) of B. alnoides, with these metrics positively correlated to the proportion of C. hystrix, while mixing exerted limited effects on branch quantity and size of C. hystrix. The 1:3 and 1:5 mixtures yielded more small branches (diameter < 10 mm) as well as more large branches (>25 mm) for B. alnoides. Branch distribution was almost uniform in different horizontal directions for both species, while variations in branch quantity and morphology along the stem were primarily species-specific; and both aspects remained consistent across the different mixing ratios. In conclusion, mixing B. alnoides with a low proportion of C. hystrix is proposed to produce high-quality solid wood for both species. Future studies should investigate alternative mixing patterns and higher proportions of B. alnoides in mixture with C. hystrix to optimize large-size and high-quality timber production. Full article
(This article belongs to the Section Plant Structural Biology)
Show Figures

Figure 1

14 pages, 2172 KB  
Article
Demographic Drivers of Population Decline in the Endangered Korean Fir (Abies koreana): Insights from a Bayesian Integral Projection Model
by Jeong-Soo Park, Jaeyeon Lee and Chung-Weon Yun
Plants 2025, 14(23), 3686; https://doi.org/10.3390/plants14233686 - 3 Dec 2025
Viewed by 463
Abstract
Understanding the demographic mechanisms underlying the decline of endangered tree species is essential for developing effective conservation strategies. This study aimed to quantify the population trajectory and its demographic drivers in the Korean fir (Abies koreana), a subalpine conifer endemic to [...] Read more.
Understanding the demographic mechanisms underlying the decline of endangered tree species is essential for developing effective conservation strategies. This study aimed to quantify the population trajectory and its demographic drivers in the Korean fir (Abies koreana), a subalpine conifer endemic to South Korea and listed as endangered by the IUCN, using a Bayesian Integral Projection Model (IPM). Based on eight years of field monitoring of survival, growth, and recruitment, the Bayesian IPM estimated the population growth rate (λs) and quantified its uncertainty under interannual environmental variation. The results indicated that interannual variation in drought, represented by the Standardized Precipitation–Evapotranspiration Index (SPEI), was a key driver of demographic changes. The mean population growth rate (λ = 0.983) suggests a slow decline, primarily driven by high mortality among intermediate-sized individuals, which are vital for maintaining population stability. In contrast, the growth of small to medium trees showed a weak but positive elasticity, implying that management actions targeting these size classes could benefit population persistence. Accordingly, effective conservation of A. koreana should focus on mitigating drought stress through reducing competition and improving soil moisture and structure. Full article
Show Figures

Figure 1

16 pages, 527 KB  
Article
Physiological and Productive Characteristics of Castanea sativa Mill. Under Irrigation Regimes in Mediterranean Region
by Ioanna Tsintsirakou and George D. Nanos
Water 2025, 17(23), 3393; https://doi.org/10.3390/w17233393 - 28 Nov 2025
Viewed by 545
Abstract
Chestnut (Castanea sativa Mill.) cultivation holds significant ecological and economic importance in Greece and other Mediterranean regions, where it represents a traditional crop with growing commercial demand in mountainous areas. Irrigation is critical for maintaining orchard productivity, especially under Mediterranean conditions where [...] Read more.
Chestnut (Castanea sativa Mill.) cultivation holds significant ecological and economic importance in Greece and other Mediterranean regions, where it represents a traditional crop with growing commercial demand in mountainous areas. Irrigation is critical for maintaining orchard productivity, especially under Mediterranean conditions where present climate conditions intensify heat stress and late-summer drought. In this study, the effects of different irrigation regimes—full irrigation (FI), deficit irrigation (DI), and no irrigation (NI)—were evaluated over two consecutive years (2017–2018) in an intensively managed chestnut orchard in Greece. FI enhanced fruit yield, nut size, and edible fraction, whereas DI and NI significantly reduced production and fruit set, while increasing nut dry matter and perisperm proportion of chestnuts. Plant physiological parameters, including midday stem water potential and chlorophyll fluorescence, confirmed the strong sensitivity of chestnut trees to water stress. Leaf dry matter, specific leaf weight, and total leaf chlorophyll content demonstrated either steady trends or slight reductions across years and treatments. Year-to-year variation was considerable, driven primarily by different summer temperatures, June to September rainfall, and the number of nuts per tree. Supplemental irrigation during nut development is essential for commercial chestnut production in the Mediterranean increasingly affected by climate. Full article
Show Figures

Figure 1

17 pages, 3637 KB  
Article
Decoding the Mitogenome of Takydromus intermedius: Insights into the Comparative Mitogenomics and Phylogenetic Relationships of Takydromus Lizards
by Jiaojiao Yu, Minghua Chen, Buqie Shang, Dejiao Yi, Wei Wu and Jiabin Liu
Diversity 2025, 17(12), 813; https://doi.org/10.3390/d17120813 - 25 Nov 2025
Viewed by 423
Abstract
The genus Takydromus (grass lizards) represents a diverse and ecologically significant group of lacertid lizards widely distributed across East and Southeast Asia. However, phylogenetic relationships within the genus remain contentious, primarily due to limited molecular data and inconsistent results from previous studies based [...] Read more.
The genus Takydromus (grass lizards) represents a diverse and ecologically significant group of lacertid lizards widely distributed across East and Southeast Asia. However, phylogenetic relationships within the genus remain contentious, primarily due to limited molecular data and inconsistent results from previous studies based on single or few mitochondrial genes. This study aimed to (1) sequence and characterize the complete mitogenome of T. intermedius; (2) perform a comparative analysis of mitogenomic features across the genus; and (3) reconstruct a robust phylogeny to clarify intra-generic evolutionary relationships. The mitogenome of T. intermedius was 18,770 bp in size and contained the typical set of 37 genes. Comparative analyses revealed characteristic features including AT-richness, strand asymmetry, and considerable length variation in the control region attributable to tandem repeats. The ATP8 gene showed the highest nucleotide diversity, and all protein-coding genes were found to be under strong purifying selection. Phylogenetic trees were reconstructed from a concatenated dataset of 13 protein-coding genes and two rRNA genes using both maximum likelihood and Bayesian inference methods. The resulting phylogeny strongly supported the monophyly of Takydromus and resolved several species relationships; however, it did not support the recognition of Platyplacopus as a distinct subgenus. Moreover, our mitogenomic analysis strongly validates the forest-grassland ecological speciation hypothesis and the southern–northern lineage division in Takydromus. Our study provides valuable mitogenomic resources and underscores the utility of complete mitochondrial genomes in elucidating phylogenetic relationships within Takydromus. These findings lay a solid foundation for future taxonomic and evolutionary studies, although expanded species sampling is needed to fully understand the genus’s diversification history. Full article
(This article belongs to the Collection Feature Papers in Phylogeny and Evolution)
Show Figures

Figure 1

20 pages, 4269 KB  
Article
Research on Historical Habitat Assessment Based on Ancient Tree Distribution: A Case Study of Chengdu, China
by Xinyi Tu, Bingjie Lin, Shuyuan Li and Linglan Bi
Land 2025, 14(12), 2312; https://doi.org/10.3390/land14122312 - 25 Nov 2025
Viewed by 614
Abstract
Chengdu, China, is endowed with abundant ancient and famous trees as well as historical habitats, which are crucial for sustaining urban biodiversity and cultural continuity. This study focuses on the historical habitats along the Second Ring Road and develops a comprehensive evaluation system [...] Read more.
Chengdu, China, is endowed with abundant ancient and famous trees as well as historical habitats, which are crucial for sustaining urban biodiversity and cultural continuity. This study focuses on the historical habitats along the Second Ring Road and develops a comprehensive evaluation system across five dimensions: ancient and famous trees, species diversity, historical habitat quality, historical habitat health, and historical-cultural value. Twelve representative historical habitats were analyzed using fishnet analysis, image segmentation, and plant diversity surveys to characterize biodiversity patterns and develop strategies for optimizing urban biodiversity conservation and sustainable habitat management. Results indicate: (1) significant variation among historical habitat types, with Huanhuaxi Park achieving the highest overall quality; (2) except in park habitats, comprehensive quality shows no significant correlation with the density of ancient and famous trees, while habitat size exerts a strong influence; (3) the evaluation index system still requires refinement. This research provides practical guidance for the conservation of ancient trees and the sustainable management of historical habitats. At the theoretical level, it underscores the relevance of an “ecology–society–culture” framework, revealing how historical habitats simultaneously sustain ecological functions, support social practices, and embody cultural expression. Overall, the study offers a new perspective for integrating urban biodiversity conservation with cultural heritage protection. Full article
(This article belongs to the Special Issue Ecosystem and Biodiversity Conservation in Protected Areas)
Show Figures

Figure 1

15 pages, 4894 KB  
Article
Unveiling the Genetic Diversity and Population Structure of the Endangered Fern Angiopteris fokiensis Through Genome Survey and Genomic SSR Markers
by Yiwei Zhou, Jianjun Tan, Lishan Huang, Yanyu Luo, Shaoli Huang, Yuanjun Ye and Yechun Xu
Biomolecules 2025, 15(12), 1649; https://doi.org/10.3390/biom15121649 - 24 Nov 2025
Viewed by 520
Abstract
Angiopteris fokiensis is an endangered fern with ecological and medicinal value, yet genetic studies to support its conservation have been scarce. We performed a genome survey using high-throughput sequencing, developed genomic SSR markers from a draft assembly, and genotyped 96 individuals from 10 [...] Read more.
Angiopteris fokiensis is an endangered fern with ecological and medicinal value, yet genetic studies to support its conservation have been scarce. We performed a genome survey using high-throughput sequencing, developed genomic SSR markers from a draft assembly, and genotyped 96 individuals from 10 populations in Guangdong Province. The genome size was ~4.44 Gb (1.89% heterozygosity). From a 3.58 Gb contig assembly, 4,327,181 SSR loci were identified, with 15 highly polymorphic SSR markers being developed. Genotyping showed high within-population genetic diversity, low inter-population differentiation, and 98.55% of variation within populations. Bayesian structure, principal coordinates analysis, and neighbor-joining tree analyses consistently indicated admixed genetic clusters without clear geographical division. Additionally, the analysis revealed no significant correlation between genetic and geographic distances. Conservation should prioritize intra-population diversity via in situ/ex situ strategies. This study provides the first genomic SSR resources for A. fokiensis and underscores the importance of conserving within-population genetic diversity through integrated in situ and ex situ strategies. Full article
Show Figures

Figure 1

18 pages, 1410 KB  
Article
The Central-Periphery Hypothesis Revisited: Implications for Long-Term Genetic Conservation
by Rita Verbylaitė, Filippos A. Aravanopoulos, Virgilijus Baliuckas, Nikolaos Tourvas, Anna-Maria Farsakoglou, Vasiliki-Maria Kotina, Fani G. Lyrou, Aušra Juškauskaitė, Raimundas Petrokas and Vaidotas Lygis
Plants 2025, 14(23), 3563; https://doi.org/10.3390/plants14233563 - 21 Nov 2025
Viewed by 570
Abstract
The aim of the present study was to test the central-periphery hypothesis (CPH) of evolutionary genetics in terms of genetic diversity and differentiation in Alnus glutinosa (L.) Gaertn., 1790 and Picea abies (L.) H. Karst. populations. A total of 18 nuclear SSR loci [...] Read more.
The aim of the present study was to test the central-periphery hypothesis (CPH) of evolutionary genetics in terms of genetic diversity and differentiation in Alnus glutinosa (L.) Gaertn., 1790 and Picea abies (L.) H. Karst. populations. A total of 18 nuclear SSR loci were used to evaluate genetic diversity and differentiation of two rear-edge populations of each tree species from the south-eastern edges of their distribution ranges in Greece, and two populations of each species from the core distribution area in Lithuania. Peripheral populations of A. glutinosa exhibited high genetic diversity (mean Ar = 7.99, mean He = 0.72) and low genetic differentiation (peripheral and core population FST were 0.031 and 0.008, respectively). The genetic diversity values were even higher in the peripheral populations of P. abies (mean Ar = 12.27, mean He = 0.78), while genetic differentiation was also low (peripheral and core population FST was 0.013 and 0.011, respectively). Genetic differentiation between the peripheral and core regions was also low (FST = 0.038 and GST = 0.262 for A. glutinosa and FST = 0.023 and GST = 0.172 for P. abies). Observed heterozygosity was found to be higher in peripheral populations (0.80 on average for alder and 0.84 for spruce) than in core ones (0.72 and 0.83 on average for A. glutinosa and P. abies, respectively). On the other hand, expected heterozygosity was higher in A. glutinosa core populations than in its peripheral ones (0.73 vs. 0.72 on average for core and peripheral alder populations), while spruce populations were less heterozygous in the core area (0.78 vs. 0.75 on average for peripheral and core spruce populations, respectively). These results indicate only partial agreement with CPH. Rear-edge populations showed higher genetic differentiation, while their lower genetic diversity was not significantly different from that of core populations. The investigated rear-edge populations of A. glutinosa and P. abies present valuable genetic reserves of European importance. They show local adaptation and present ample genetic variation, and their effective population size will likely be sufficient for adaptive evolution in the future. Their long-term conservation status should be prioritized. Full article
(This article belongs to the Section Plant Genetics, Genomics and Biotechnology)
Show Figures

Figure 1

16 pages, 2754 KB  
Article
Tree Size Inequalities Induced by Stand Age and Functional Trait Identities Control Biomass Productivity Across Stand Types of Temperate Forests in South Korea
by Yong-Ju Lee and Chang-Bae Lee
Forests 2025, 16(12), 1759; https://doi.org/10.3390/f16121759 - 21 Nov 2025
Viewed by 455
Abstract
Enhancing forest biodiversity and carbon sinks in the face of climate change is a high priority on the global agenda. The aim of our study was to explore the feasibility and potential of enhancing biodiversity and stand biomass productivity, which are strongly linked [...] Read more.
Enhancing forest biodiversity and carbon sinks in the face of climate change is a high priority on the global agenda. The aim of our study was to explore the feasibility and potential of enhancing biodiversity and stand biomass productivity, which are strongly linked to forest ecosystem functioning and services in temperate forests. Based on data from the 5th to 7th National Forest Inventory of South Korea, 1760 natural forest plots (0.16 ha) were used, of which 344 plots belonged to conifer stands, 711 plots belonged to broadleaved stands, and 705 plots belonged to mixed stands. Forest succession-related factor (i.e., stand age), and abiotic (i.e., climatic and topographic conditions, and soil properties) and biotic drivers (i.e., species diversity, functional trait diversity, functional trait identity, and stand structural diversity) were jointly included as independent variables in an integrated model to explain variations in stand biomass productivity. In order to reveal the key drivers and relationships that regulate stand biomass productivity across forest stand types, we applied a multi-model averaging approach and piecewise structural equation modelling (pSEM). As a key finding, across all forest stand types, forest stand age-induced tree size inequality (i.e., DBH STD) in all forest stand types commonly increased stand biomass productivity, showing strong positive standardized effects (β > 0.5, p < 0.001). We also found that the functional trait identities controlling stand biomass productivity within each forest stand type differed according to their functional traits of dominant species, and that these mechanisms were controlled directly or indirectly by environmental conditions. Our research suggests that appropriate forest management plans should be developed in accordance with environmental gradients to simultaneously promote biodiversity and stand biomass productivity in different forest stand types. Full article
(This article belongs to the Section Forest Ecology and Management)
Show Figures

Figure 1

17 pages, 2815 KB  
Article
The Influence of Forest Naturalness on Soil Carbon Content in a Typical Semi-Humid to Semi-Arid Region of China’s Loess Plateau
by Shidan Chi, Yue Xie, Peidong Li and Shengli Wang
Forests 2025, 16(11), 1732; https://doi.org/10.3390/f16111732 - 15 Nov 2025
Viewed by 410
Abstract
The Loess Plateau (China) is an ecologically fragile region where understanding the impact of forest naturalness on soil carbon content is critical for ecological restoration and enhancing carbon sequestration. This study investigates this relationship in the Cuiying Mountain area (Yuzhong County, Lanzhou City), [...] Read more.
The Loess Plateau (China) is an ecologically fragile region where understanding the impact of forest naturalness on soil carbon content is critical for ecological restoration and enhancing carbon sequestration. This study investigates this relationship in the Cuiying Mountain area (Yuzhong County, Lanzhou City), a representative landscape of the semi-arid Loess Plateau. The Cuiying Mountain ecosystem is characterized by coniferous forests and Gray-cinnamon soils. We assessed forest naturalness using several key indicators: herb coverage, shrub coverage, tree biodiversity, and stand structural attributes. The results revealed a generally low level of forest naturalness at Cuiying Mountain. Although herb coverage was high, shrub coverage was minimal (2.1%), and tree biodiversity was low (Shannon index = 0.09). The stand structure was simple, characterized by considerable variation in individual tree sizes and a single canopy layer (mean mingling degree = 0.14). This structural simplicity aligns with the area’s history of plantation management. Furthermore, analysis of soil physicochemical properties and their relationship with plant diversity identified plant diversity as a significant factor influencing soil carbon content. The strongest correlation was observed between plant species number and topsoil organic carbon (r = 0.77), indicating a particularly pronounced effect of plant diversity on surface soil organic carbon. In summary, while forest naturalness at Cuiying Mountain is generally low, increased plant diversity enhances the accumulation of litter/root exudates and carbonates, suggesting that enhancing plant diversity is an effective strategy for increasing total soil carbon content. This study provides valuable insights for refining ecological restoration practices and strengthening the soil carbon sink function in forest ecosystems across the Loess Plateau and similar semi-arid regions. Full article
(This article belongs to the Special Issue Soil Organic Matter Dynamics in Forests)
Show Figures

Figure 1

19 pages, 3231 KB  
Article
Population Genetic Structure of Historic Olives (Olea europaea subsp. europaea) from Jordan
by Nawal Alsakarneh, Aseel Abu Kayed, Fadwa Hammouh, Hamad A. Alkhatatbeh, Maysoun S. Qutob, Bayan Alkharabsheh, Wisam M. Obeidat, Ahmad Ateyyeh and Monther T. Sadder
Int. J. Mol. Sci. 2025, 26(22), 10863; https://doi.org/10.3390/ijms262210863 - 9 Nov 2025
Viewed by 1094
Abstract
Major historic olive tree cultivars around the Mediterranean originate from the Jordan area and possess a proven abiotic stress tolerance; however, they were unexplored from the diversity perspective. Therefore, historic olive tree accessions from three northern regions—Irbid (i), Jerash (J), and Ajloun (A)—were [...] Read more.
Major historic olive tree cultivars around the Mediterranean originate from the Jordan area and possess a proven abiotic stress tolerance; however, they were unexplored from the diversity perspective. Therefore, historic olive tree accessions from three northern regions—Irbid (i), Jerash (J), and Ajloun (A)—were analyzed using DNA molecular markers to identify and study their genetic relationships and genetic structure. DNA molecular markers of inter-simple sequence repeats (ISSR) were used. A total of 3150 data entries (859 present and 2291 absent) were generated with fragment sizes ranging from 350 to 2000 bp. Data entries were evaluated with UPGMA and population genetic structure analysis. The results showed that similarity among the investigated sixty-three accessions ranged from 9% between J14 and i20 up to 100% between ‘J11’ and ‘J12’ and between A8 and A9. The discriminating power values for ISSR_807, ISSR_810, and ISSR_825 were 0.70, 0.61, and 0.83, respectively. A generated dendrogram showed ten major clades, while the genetic structure could resolve four unique genetic pools: one for Irbid, one for Jerash, and two for Ajloun. In addition, analysis of 19 phenotypic parameters covering leaf, fruit, stone, and flesh was able to confirm the molecular data. Phenotypic and ISSR data were analyzed using PCA, cluster, and Mantel tests. ISSR markers showed clear genetic differentiation among groups, whereas phenotypic traits displayed lower variation but a significant correlation with molecular diversity. Promising accessions with either pure or admixture genetic makeup were identified. The resolved genetic structure of the investigated historic olive accessions would open new frontiers for olive breeding and utilization, helping to overcome current production challenges and climate change limitations. Full article
(This article belongs to the Special Issue Molecular Advances in Olive and Its Derivatives)
Show Figures

Figure 1

Back to TopTop