Sign in to use this feature.

Years

Between: -

Subjects

remove_circle_outline
remove_circle_outline
remove_circle_outline
remove_circle_outline
remove_circle_outline
remove_circle_outline
remove_circle_outline
remove_circle_outline
remove_circle_outline

Journals

remove_circle_outline
remove_circle_outline
remove_circle_outline
remove_circle_outline
remove_circle_outline
remove_circle_outline
remove_circle_outline
remove_circle_outline
remove_circle_outline
remove_circle_outline

Article Types

Countries / Regions

remove_circle_outline
remove_circle_outline
remove_circle_outline
remove_circle_outline
remove_circle_outline

Search Results (1,508)

Search Parameters:
Keywords = tree physiology

Order results
Result details
Results per page
Select all
Export citation of selected articles as:
22 pages, 3203 KB  
Article
Synergistic Effect of Compost and Subsurface Water Retention Technology on Optimizing Soil Properties and Argan (Argania spinosa L. Skeels) Performances Under Field Conditions
by Boujemaa Fassih, Mohamed Ait-El-Mokhtar, Aicha Nait Douch, Abderrahim Boutasknit, Redouane Ouhaddou, Chayma Ikan, Zoulfa Roussi, Raja Ben-Laouane, Badia Aganchich and Said Wahbi
Plants 2026, 15(3), 365; https://doi.org/10.3390/plants15030365 (registering DOI) - 24 Jan 2026
Abstract
Argania spinosa L. Skeels is an ecological pillar of the arid zones of South-West Morocco, currently threatened by the drastic climate change. This study investigates the effect of the combined application of compost (C) and subsurface water retention technology (SWRT) on field performances [...] Read more.
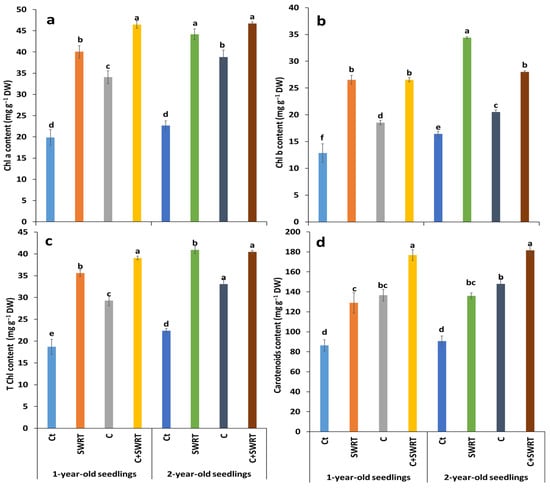
Argania spinosa L. Skeels is an ecological pillar of the arid zones of South-West Morocco, currently threatened by the drastic climate change. This study investigates the effect of the combined application of compost (C) and subsurface water retention technology (SWRT) on field performances of one-(1Y) and two-year-old (2Y) argan seedlings. A randomized field trial was performed with four treatments: Control, C, SWRT, and C + SWRT. We evaluated soil properties, growth, and physiology, alongside biochemical parameters including stress markers, compatible solutes, antioxidant enzyme activities, and secondary metabolites. The results reveal the significant effect of C and/or SWRT on argan seedlings performances, particularly in 1Y subjects. The C + SWRT strongly stimulated stem elongation (246% vs. 163%), stomatal conductance (75% vs. 99%), photosynthetic efficiency (18% vs. 11%), and chlorophyll a content (80% vs. 65%) in 1Y and 2Y seedlings, respectively, compared to their corresponding controls. Under the same treatment, malondialdehyde levels were significantly reduced by 37% in 1Y seedlings and 23% in 2Y seedlings. In addition, catalase activity and soluble sugar, protein, and polyphenol content increased by 38, 43, 26, and 21%, respectively, in the younger seedlings and by 53, 51, 18, and 19%, respectively, in the elder seedlings. In terms of soil health, C + SWRT significantly enhanced total organic carbon and matter, available phosphorus, and reduced electrical conductivity. In summary, the C + SWRT application significantly improved argan plant performances, with a particularly marked effect on 1Y seedlings, which makes this combination an alternative solution to enhance the resilience of the argan tree in the era of climate change and promote the success of the reforestation program. Full article
Show Figures

Figure 1

28 pages, 1155 KB  
Review
Root-Specific Signal Modules Mediating Abiotic Stress Tolerance in Fruit Crops
by Lili Xu and Xianpu Wang
Plants 2026, 15(3), 363; https://doi.org/10.3390/plants15030363 (registering DOI) - 24 Jan 2026
Abstract
Sustained abiotic stress severely impairs fruit crop growth and development. As plants’ primary environmental sensing organ, fruit tree roots experience disrupted morphogenesis and physiological functions, reducing yield, lowering fruit quality, and threatening orchard ecosystem stability. Abiotic stress is diverse: water deficit from drought, [...] Read more.
Sustained abiotic stress severely impairs fruit crop growth and development. As plants’ primary environmental sensing organ, fruit tree roots experience disrupted morphogenesis and physiological functions, reducing yield, lowering fruit quality, and threatening orchard ecosystem stability. Abiotic stress is diverse: water deficit from drought, extreme temperature fluctuations, and salinization-induced ion imbalance, heavy metal accumulation, or nutrient disorders. Its complexity requires synergistic and crosstalk regulation of multiple root-specific signaling modules and pathways in root stress perception and transduction. When responding to stress, roots activate hormone, reactive oxygen species (ROS), and calcium ion (Ca2+) signaling. These pathways mediate early stress recognition and regulate downstream gene expression and physiological metabolic reprogramming via transcription factors (TFs) and other regulators, determining stress tolerance and adaptability. Using typical abiotic stresses as models, this review outlines the composition, activation mechanisms, specificity, and synergistic effects of root-specific signaling modules/pathways, along with modern biotechnologies for decoding these modules and current research limitations, aiming to reveal the root signal network’s integration mode. Full article
Show Figures

Figure 1

19 pages, 393 KB  
Article
HybridSense-LLM: A Structured Multimodal Framework for Large-Language-Model–Based Wellness Prediction from Wearable Sensors with Contextual Self-Reports
by Cheng-Huan Yu and Mohammad Masum
Bioengineering 2026, 13(1), 120; https://doi.org/10.3390/bioengineering13010120 - 20 Jan 2026
Viewed by 116
Abstract
Wearable sensors generate continuous physiological and behavioral data at a population scale, yet wellness prediction remains limited by noisy measurements, irregular sampling, and subjective outcomes. We introduce HybridSense, a unified framework that integrates raw wearable signals and their statistical descriptors with large language [...] Read more.
Wearable sensors generate continuous physiological and behavioral data at a population scale, yet wellness prediction remains limited by noisy measurements, irregular sampling, and subjective outcomes. We introduce HybridSense, a unified framework that integrates raw wearable signals and their statistical descriptors with large language model–based reasoning to produce accurate and interpretable estimates of stress, fatigue, readiness, and sleep quality. Using the PMData dataset, minute-level heart rate and activity logs are transformed into daily statistical features, whose relevance is ranked using a Random Forest model. These features, together with short waveform segments, are embedded into structured prompts and evaluated across seven prompting strategies using three large language model families: OpenAI 4o-mini, Gemini 2.0 Flash, and DeepSeek Chat. Bootstrap analyses demonstrate robust, task-dependent performance. Zero-shot prompting performs best for fatigue and stress, while few-shot prompting improves sleep-quality estimation. HybridSense further enhances readiness prediction by combining high-level descriptors with waveform context, and self-consistency and tree-of-thought prompting stabilize predictions for highly variable targets. All evaluated models exhibit low inference cost and practical latency. These results suggest that prompt-driven large language model reasoning, when paired with interpretable signal features, offers a scalable and transparent approach to wellness prediction from consumer wearable data. Full article
Show Figures

Figure 1

18 pages, 4759 KB  
Article
Photochemical Efficiency and Leaf Carbohydrates of Theobroma cacao L. Genotypes Under Different Light Regimes and Cultivation Systems
by Jan da Vitória, Vinicius de Souza Oliveira, Ariane Tercio Guasti, Marcos Antônio Cezario Dias, Carla da Silva Dias, Enilton Nascimento de Santana, Karin Tesch Kuhlcamp, Lúcio de Oliveira Arantes, José Altino Machado Filho, Renan Batista Queiroz, Carlos Alberto Spaggiari Souza, Edilson Romais Schmildt and Sara Dousseau-Arantes
Plants 2026, 15(2), 297; https://doi.org/10.3390/plants15020297 - 19 Jan 2026
Viewed by 224
Abstract
The cacao tree is naturally adapted to shade; however, cultivation in full-sun systems is becoming increasingly common. However, high light intensity can damage the photosynthetic apparatus, making the choice of genotype fundamental to the success of the crop. Thus, in the north of [...] Read more.
The cacao tree is naturally adapted to shade; however, cultivation in full-sun systems is becoming increasingly common. However, high light intensity can damage the photosynthetic apparatus, making the choice of genotype fundamental to the success of the crop. Thus, in the north of the state of Espírito Santo, municipality of Linhares, the physiological and biochemical responses of the cacao genotypes PS1319, CEPEC 2002, and PH16 were evaluated in agroforestry, cabruca, and full sun cultivation systems during the months of April to October. To this end, chlorophyll a fluorescence, photosynthetic pigments, and carbohydrates were evaluated using a completely randomized split-plot experimental design. Across agroforestry, cabruca (a traditional Brazilian shaded system), and full-sun systems, the cacao genotypes PH16, PS1319, and CEPEC 2002 did not show limitations in photosynthetic performance, as evidenced by the stable values of PI abs and PI total throughout the evaluation period. The highest quantity of photosynthetic pigments was found in the genotypes CEPEC 2002, PH16, and PS1319 in full sun cultivation, in the genotypes PH16 and PS1319 in the agroforestry system, and in the genotype CEPEC 2002 in the cabruca system. The genotypes PH16 and PS1319 obtained higher levels of glucose, sucrose, and fructose, both in shaded environments (agroforestry and cabruca systems) and in full sun. Therefore, due to their greater stability and adaptability, we recommend the PH16 and PS1319 genotypes for cultivation in agroforestry and full-sun systems, and the CEPEC 2002, PH16, and PS1319 genotypes for the cabruca cultivation system. Full article
(This article belongs to the Section Plant Physiology and Metabolism)
Show Figures

Figure 1

15 pages, 2122 KB  
Article
Exogenous Trimethylamine N-Oxide (TMAO) Improves Apple Rootstock Drought Tolerance Through Physiological Modulation
by Xiaoci Liang, Pengda Cheng, Shuang Zhao, Ye Sun, Dehui Zhang, Jiale Wen, Fengwang Ma, Qingmei Guan, Xuewei Li and Yutian Zhang
Horticulturae 2026, 12(1), 101; https://doi.org/10.3390/horticulturae12010101 - 18 Jan 2026
Viewed by 176
Abstract
Drought stress represents a major constraint on global apple production, with the widely used semi-dwarfing rootstock ‘M.26’ being particularly vulnerable to water deficit. Although the osmolyte trimethylamine N-oxide (TMAO) has been shown to improve abiotic stress tolerance in the model plant Arabidopsis, its [...] Read more.
Drought stress represents a major constraint on global apple production, with the widely used semi-dwarfing rootstock ‘M.26’ being particularly vulnerable to water deficit. Although the osmolyte trimethylamine N-oxide (TMAO) has been shown to improve abiotic stress tolerance in the model plant Arabidopsis, its potential role in enhancing drought resilience in woody fruit trees remains largely unexplored. Under prolonged moderate drought stress, exogenous TMAO application significantly promoted plant growth, mitigating the drought-induced suppression of plant height by 5.3–12.2% compared to untreated drought-stressed controls and alleviating the decline in above-ground biomass. This improvement was underpinned by a substantial alleviation of root growth inhibition, with TMAO restoring total root length and biomass from 37% in the control to only 6.1–9.5%. TMAO also fine-tuned the root-to-shoot ratio to favor resource allocation to roots. Consequently, TMAO-treated plants maintained superior leaf water status, exhibiting higher relative water content (drought-induced reduction limited to ~17.5% with TMAO versus 26.3% in the control). Physiologically, TMAO alleviated the drought-induced stomatal limitation of photosynthesis, sustaining higher net photosynthetic rate, stomatal conductance, and transpiration rate. Crucially, under severe drought stress, TMAO pretreatment markedly enhanced ‘M.26’ survival rates from approximately 39% in the untreated control to 60–68%, representing a relative increase of approximately 74%. Collectively, this study demonstrates that exogenous application TMAO significantly enhances drought tolerance in apple rootstock ‘M.26’, highlighting its potential as an effective and environmentally safe plant growth regulator for more sustainable cultivation of fruit trees under irregular/erratic irrigation conditions. Full article
(This article belongs to the Special Issue Genetic Improvement and Stress Resistance Regulation of Fruit Trees)
Show Figures

Figure 1

17 pages, 2380 KB  
Article
Photosynthetic Performance and Physiological Assessment of Young Citrus limon L. Trees Grown After Seed Priming
by Valentina Ancuța Stoian, Ștefania Gâdea, Florina Copaciu, Anamaria Vâtcă, Vlad Stoian, Melinda Horvat, Alina Toșa and Sorin Daniel Vâtcă
Horticulturae 2026, 12(1), 99; https://doi.org/10.3390/horticulturae12010099 - 17 Jan 2026
Viewed by 117
Abstract
In the current context of climate change, special attention should be paid to assuring the security of food and fruits. Lemon trees struggle to keep their physiological traits stable in the context of all the cumulated challenges originating from climate stress. Therefore, our [...] Read more.
In the current context of climate change, special attention should be paid to assuring the security of food and fruits. Lemon trees struggle to keep their physiological traits stable in the context of all the cumulated challenges originating from climate stress. Therefore, our aim was to assess two seed priming methods’ long-term effects on some physiological parameters of young lemon trees. The relative chlorophyll content reveals that hydropriming shows 26% increases from E1 to E6, similar to the control, while osmopriming has a 31% higher value at the beginning and after three years. Leaf stomatal density has 80% lower values due to osmopriming compared to the control, while hydropriming show 15% lower values. Leaf area development was slightly similar between treatments, with more leaves being developed after hydropriming treatments. Guard cell width has similar values for priming, with both being with 40% higher than that of the control. Lemon trees grown after osmotic stress have the highest mass percentages of magnesium and potassium in the leaves. Hydropriming promotes calcium oxalate accumulation and a high mass percentage of phosphorus. The percentage allocation of carbon as dry matter is 32% for osmopriming, significantly higher than for the other treatments. The quantum yield of photosynthetic electron transport is the only significant photosynthetic parameter for osmoprimed lemon young trees. Physiological techniques successfully enhanced the overall growth of three-year-old lemon trees, especially osmopriming treatment. Full article
(This article belongs to the Special Issue Emerging Insights into Horticultural Crop Ecophysiology)
Show Figures

Figure 1

31 pages, 6960 KB  
Article
Physiological Mechanisms Underlying Chemical Fertilizer Reduction: Multiyear Field Evaluation of Microbial Biofertilizers in ‘Gala’ Apple Trees
by Susana Ferreira, Marta Gonçalves, Margarida Rodrigues, Francisco Martinho and Miguel Leão de Sousa
Plants 2026, 15(2), 244; https://doi.org/10.3390/plants15020244 - 13 Jan 2026
Viewed by 490
Abstract
This study is Part II of a five-year (2018–2022) field trial in western Portugal evaluating the effects of three microbial biofertilizers—Mycoshell® (Glomus spp. + humic/fulvic acids), Kiplant iNmass® (Azospirillum brasilense, Bacillus megaterium, Saccharomyces cerevisiae), and Kiplant All-Grip [...] Read more.
This study is Part II of a five-year (2018–2022) field trial in western Portugal evaluating the effects of three microbial biofertilizers—Mycoshell® (Glomus spp. + humic/fulvic acids), Kiplant iNmass® (Azospirillum brasilense, Bacillus megaterium, Saccharomyces cerevisiae), and Kiplant All-Grip® (Bacillus megaterium, Pseudomonas spp.)—applied at different dosages alongside two mineral fertilizer regimes, T100 (full dose) and T70 (70% of T100, alone or combined with biofertilizers), on the physiological performance of ‘Gala Redlum’ apple trees. Part I had shown that Myc4 (Mycoshell®, 4 tablets/tree), iNM6, and iNM12 (Kiplant iNmass®, 6 and L ha−1, respectively) consistently enhanced fruit growth, yield, and selected quality traits. While Part I showed clear agronomic gains, Part II demonstrates that these improvements occurred without significant alterations in seasonal photosynthetic performance, canopy reflectance, or chlorophyll fluorescence parameters over five years, highlighting the contrast between observed yield improvements and physiological stability. Seasonal monitoring of physiological traits—including specific leaf area (SLA), chlorophyll content index (CCI), gas exchange (An, gs, E, Ci), spectral indices (NDVI, OSAVI, SIPI, GM2), and chlorophyll fluorescence (OJIP). It is clear that physiological values remained largely stable across biofertilizer treatments and years. Importantly, this stability was maintained even under a 30% reduction in mineral fertilizer (T70), indicating that specific microbial biofertilizers can sustain physiological resilience under reduced nutrient inputs, thereby providing a physiological basis for the yield-enhancing effects observed and supporting their integration into fertilizer reduction strategies in Mediterranean orchards. Full article
(This article belongs to the Section Plant Physiology and Metabolism)
Show Figures

Figure 1

14 pages, 2639 KB  
Article
Morphophysiological Responses to Drought in Ochroma pyramidale (Cav. ex Lam.) Urb. (Balsa) Seedlings from Contrasting Precipitation Regimes
by Nilsen Lasso-Rivas, Alberto Calimeño Valencia, Lisbeth Ibarbo Carabalí and Luis Segura Palacios
Forests 2026, 17(1), 105; https://doi.org/10.3390/f17010105 - 13 Jan 2026
Viewed by 181
Abstract
Climate change is intensifying drought frequency and severity, posing increasing challenges for tropical forest species whose growth and survival depend on water availability. Ochroma pyramidale (Cav. ex Lam.) Urb. (balsa) is a fast-growing pioneer tree that plays important ecological roles, and it is [...] Read more.
Climate change is intensifying drought frequency and severity, posing increasing challenges for tropical forest species whose growth and survival depend on water availability. Ochroma pyramidale (Cav. ex Lam.) Urb. (balsa) is a fast-growing pioneer tree that plays important ecological roles, and it is valued for its lightweight timber, yet little is known about its drought tolerance or intraspecific variation among populations. This study evaluated the morphophysiological responses of O. pyramidale seedlings from three provenances spanning a rainfall gradient (850–6275 mm year−1) under controlled soil moisture levels. The experiment followed a completely randomized factorial design with two factors, provenance (high-, medium-, and low-rainfall origins) and soil moisture (100%, 50%, and 20% field capacity), with six replications per treatment (n = 54 total plants). Drought significantly affected growth, water status, and physiological variables. Seedlings maintained high relative water content and photosynthetic pigment concentration under moderate stress (50% field capacity) but showed marked declines at 20% field capacity. Soluble sugar accumulation increased with drought intensity, suggesting osmotic adjustment, while root proliferation was enhanced under moderate stress (50% FC), evidenced by significantly higher Total Root Length (TRL) and Number of Branch Points (NBP). Provenance effects were weak, with only the number of leaves differing significantly among provenances. These results demonstrate that O. pyramidale tolerates moderate drought through physiological adjustment and root plasticity, supporting its use in reforestation and restoration initiatives in water-limited tropical environments. Full article
Show Figures

Graphical abstract

25 pages, 4210 KB  
Article
Adaptive Capacity of Scots Pine Trees to Meteorological Extremes in Highly Oligotrophic Soil in Hemi-Boreal Forest
by Algirdas Augustaitis and Diana Sidabriene
Forests 2026, 17(1), 98; https://doi.org/10.3390/f17010098 - 11 Jan 2026
Viewed by 103
Abstract
Understanding how climatic variability affects growth and water relations of Scots pine (Pinus sylvestris L.) is essential for assessing stand sustainability in hemi-boreal regions. Linear mixed-effects models were used to quantify the effects of climatic variability and tree characteristics on stem volume [...] Read more.
Understanding how climatic variability affects growth and water relations of Scots pine (Pinus sylvestris L.) is essential for assessing stand sustainability in hemi-boreal regions. Linear mixed-effects models were used to quantify the effects of climatic variability and tree characteristics on stem volume increment (ZV), sap flow (SF), and water-use efficiency (WUE) of Scots pine growing on highly oligotrophic soils in Curonian Spit National Park. Annual ZV was strongly controlled by tree size and seasonal temperature conditions. Higher temperatures in late winter and mid-summer enhanced growth, whereas elevated temperatures in April–May reduced increment. June moisture availability, expressed by the hydrothermal coefficient, had a positive effect, highlighting the sensitivity of growth to early-summer drought and heat waves. Sap-flow density during May–October was primarily driven by climatic factors, with temperature stimulating and relative humidity reducing SF, while tree size played a minor role. Random-effects analysis showed that unexplained variability in ZV was mainly associated with persistent differences among trees and sites, whereas SF variability occurred largely at the within-tree level. In contrast, WUE was dominated by climatic drivers, with no detectable site- or tree-level random effects. Higher June precipitation increased WUE, while warmer growing-season conditions reduced it. Overall, Scots pine growth and WUE are mainly regulated by intra-annual climatic conditions, particularly summer water availability. Despite rapid climatic change, no critical physiological thresholds or growth collapse were detected during the study period, indicating substantial adaptive capacity of Scots pine even under the observed exceptional conditions. Full article
(This article belongs to the Section Forest Meteorology and Climate Change)
Show Figures

Figure 1

17 pages, 5059 KB  
Article
Decision Tree-Based Pilot Workload Prediction Through Optimized HRV Features Selection
by Carmelo Rosario Vindigni, Giuseppe Iacolino, Antonio Esposito, Calogero Orlando and Andrea Alaimo
Aerospace 2026, 13(1), 73; https://doi.org/10.3390/aerospace13010073 - 9 Jan 2026
Viewed by 192
Abstract
This research explores the use of physiological signals derived from heart activity to assess mental effort during flight-related tasks. Data were collected through wearable sensors during simulations with varying cognitive demands. Specific indicators related to heart rate variability (HRV) were extracted and tested [...] Read more.
This research explores the use of physiological signals derived from heart activity to assess mental effort during flight-related tasks. Data were collected through wearable sensors during simulations with varying cognitive demands. Specific indicators related to heart rate variability (HRV) were extracted and tested in different combinations to identify those most relevant for distinguishing levels of mental workload (WL). A Random Forest (RF) ensemble method is applied to classify two conditions, and its performance is examined under various settings, including model complexity and data partitioning strategies. Results showed that certain feature pairs significantly enhanced classification accuracy. The best features settings obtained from the RF are then used to train the other two decision trees-based classifiers, namely the AdaBoost and the XGBoost. Moreover, the decision trees models output is compared with predictions from a Kriging spatial interpolation technique, showing superior results in terms of reliability and consistency. This study highlights the potential of using heart-based physiological data and advanced classification techniques for developing intelligent support systems in aviation. Full article
(This article belongs to the Section Aeronautics)
Show Figures

Figure 1

21 pages, 7841 KB  
Article
Study on Predicting Cotton Boll Opening Rate Based on UAV Multispectral Imagery
by Chen Xue, Lingbiao Kong, Shengde Chen, Changfeng Shan, Lechun Zhang, Cancan Song, Yubin Lan and Guobin Wang
Agronomy 2026, 16(2), 162; https://doi.org/10.3390/agronomy16020162 - 8 Jan 2026
Viewed by 176
Abstract
The cotton boll opening rate (BOR) is an important indicator for evaluating the physiological maturation process of cotton and the critical stage of yield formation, and it provides essential guidance for subsequent defoliant application and mechanical harvesting. The investigation of cotton BOR usually [...] Read more.
The cotton boll opening rate (BOR) is an important indicator for evaluating the physiological maturation process of cotton and the critical stage of yield formation, and it provides essential guidance for subsequent defoliant application and mechanical harvesting. The investigation of cotton BOR usually relies on manual field surveys, which are time-consuming and destructive, making it difficult to achieve large-scale and efficient monitoring. UAV remote sensing technology has been widely used in crop growth monitoring due to its operational flexibility and high image resolution. However, because of the dense growth of the cotton canopy in UAV remote sensing imagery, the boll opening condition in the lower parts of the canopy cannot be completely observed. In contrast, UAV imagery can effectively monitor cotton leaf chlorophyll content (SPAD) and leaf area index (LAI), both of which undergo continuous changes during the boll opening process. Therefore, this study proposes using SPAD and LAI retrieved from UAV multispectral imagery as physiological intermediary variables to construct an empirical statistical equation and compare it with end-to-end machine learning baselines. Multispectral and ground synchronous data (n = 360) were collected in Baibi Town, Anyang, Henan Province, across four dates (8/28, 9/6, 9/13, 9/24). Twenty-eight commonly used vegetation indices were calculated from multispectral imagery, and Pearson’s correlation analysis was conducted to select indices sensitive to cotton SPAD, LAI, and BOR. Prediction models were constructed using the Random Forest (RF), Gradient Boosting Decision Tree (GBDT), Support Vector Machine (SVM), and Partial Least Squares (PLS) models. The results showed that GBDT achieved the best prediction performance for SPAD (R2 = 0.86, RMSE = 1.19), while SVM performed best for LAI (R2 = 0.77, RMSE = 0.38). The quadratic polynomial equation constructed using SPAD and LAI achieved R2 = 0.807 and RMSE = 0.109 in BOR testing, which was significantly better than the baseline model using vegetation indices to directly regress BOR. The method demonstrated stable performance in spatial mapping of BOR during the boll opening period and showed promising potential for guiding defoliant application and harvest timing. Full article
(This article belongs to the Special Issue Innovations in Agriculture for Sustainable Agro-Systems)
Show Figures

Figure 1

21 pages, 2068 KB  
Article
Impacts of Organic Soil Amendments of Diverse Origins on Soil Properties, Nutrient Status, and Physiological Responses of Young Chestnut (Castanea sativa Mill.) Trees
by Petros Anargyrou Roussos, Maria Ligka, Petros D. Katsenos, Maria Zoti and Dionisios Gasparatos
Agriculture 2026, 16(1), 128; https://doi.org/10.3390/agriculture16010128 - 4 Jan 2026
Viewed by 308
Abstract
Three organic soil amendments of different origins (chicken manure, fungal biomass obtained through biological fermentation, and a leonardite-based humic acid product) were applied to young chestnut trees, alongside mineral fertilizer, which when applied alone served as the control. During the second year, bud [...] Read more.
Three organic soil amendments of different origins (chicken manure, fungal biomass obtained through biological fermentation, and a leonardite-based humic acid product) were applied to young chestnut trees, alongside mineral fertilizer, which when applied alone served as the control. During the second year, bud break pattern, photosynthetic activity, leaf carbohydrate concentrations, soil properties, and leaf nutrient content were evaluated across multiple sampling events. Sampling time significantly influenced most measured parameters. The addition of organic amendments accelerated bud break, influenced plant nutrient uptake, and modified soil properties. Notably, soil organic matter increased following chicken manure and fungal biomass applications, available phosphorus decreased under fungal biomass and leonardite-based humic acids (to 14.5 and 12.4 ppm, respectively, compared to 17.5 ppm in the mineral fertilizer control), and soil iron concentrations tripled under leonardite-based humic acids relative to the control. However, no significant effects were observed on photosynthetic performance or leaf carbohydrate concentrations. Discriminant and hierarchical cluster analyses revealed clear differences among amendments, with the humic acid-based product exerting distinct effects. As there are not many data available in the literature on the efficacy of organic amendments in chestnut cultivation, the present results underscore the importance of the site-specific selection of organic amendments, tailored to soil characteristics (in the present trial, an acidic soil) and specific nutritional objectives to optimize tree physiological performance. Full article
(This article belongs to the Section Agricultural Soils)
Show Figures

Figure 1

17 pages, 291 KB  
Article
A Unified Benchmarking Framework for Classical Machine Learning Based Heart Rate Estimation from RGB and NIR rPPG
by Sahar Qaadan, Ghassan Al Jayyousi and Adam Alkhalaileh
Electronics 2026, 15(1), 218; https://doi.org/10.3390/electronics15010218 - 2 Jan 2026
Viewed by 283
Abstract
This work presents a unified benchmarking framework for evaluating classical machine-learning–based heart-rate estimation from remote photoplethysmography (rPPG) across both RGB and near-infrared (NIR) modalities. Despite extensive research on algorithmic rPPG methods, their relative robustness across datasets, illumination conditions, and sensor types remains inconsistently [...] Read more.
This work presents a unified benchmarking framework for evaluating classical machine-learning–based heart-rate estimation from remote photoplethysmography (rPPG) across both RGB and near-infrared (NIR) modalities. Despite extensive research on algorithmic rPPG methods, their relative robustness across datasets, illumination conditions, and sensor types remains inconsistently reported. To address this gap, we standardize ROI extraction, signal preprocessing, rPPG computation, handcrafted feature generation, and label formation across four publicly available datasets: UBFC-rPPG Part 1, UBFC-rPPG Part 2, VicarPPG-2, and IMVIA-NIR. We benchmark five rPPG extraction methods (Green, POS, CHROM, PBV, PCA/ICA) combined with four classical regressors using MAE, RMSE, and R2, complemented by permutation feature importance for interpretability. Results show that CHROM is consistently the most reliable algorithm across all RGB datasets, providing the lowest error and highest stability, particularly when paired with tree-based models. For NIR recordings, PCA with spatial patch decomposition substantially outperforms ICA, highlighting the importance of spatial redundancy when color cues are absent. While handcrafted features and classical regressors offer interpretable baselines, their generalization is limited by small-sample datasets and the absence of temporal modeling. The proposed pipeline establishes robust cross-dataset baselines and offers a standardized foundation for future deep-learning architectures, hybrid algorithmic–learned models, and multimodal sensor-fusion approaches in remote physiological monitoring. Full article
(This article belongs to the Special Issue Image Processing and Analysis)
18 pages, 17187 KB  
Review
Ecological and Economic Synergies of Acacia melanoxylon and Eucalyptus Mixed Plantations: A Combined Bibliometric and Narrative Review
by Haoyu Gui, Xiaojie Sun, Hong Wei and Lichao Wu
Forests 2026, 17(1), 65; https://doi.org/10.3390/f17010065 - 31 Dec 2025
Viewed by 393
Abstract
Acacia melanoxylon R.Br. demonstrates strong biological nitrogen–fixation capacity and favourable economic returns, making it a promising candidate for the development of subtropical forestry in South Asia. It is a fast–growing leguminous tree species widely promoted for cultivation in China, and it is also [...] Read more.
Acacia melanoxylon R.Br. demonstrates strong biological nitrogen–fixation capacity and favourable economic returns, making it a promising candidate for the development of subtropical forestry in South Asia. It is a fast–growing leguminous tree species widely promoted for cultivation in China, and it is also one of the ideal tree species for improving soil fertility in forest lands. What are the synergistic mechanisms between A. melanoxylon-Eucalyptus stands and pure Eucalyptus spp.? Current theories regarding A. melanoxylonEucalyptus systems remain relatively fragmented due to the lack of effective silvicultural measures, resistance studies, and comprehensive ecological–economic benefit evaluations. The absence of an integrated analytical framework for holistic research on A. melanoxylonEucalyptus systems makes it difficult to summarise and comprehensively analyse their growth and development, thereby limiting the optimisation and widespread application of their models. This study employed CiteSpace bibliometric analysis and qualitative methods to explore ideal tree species combination patterns, elucidate their intrinsic eco–economic synergistic mechanisms, and reasonably reveal their collaborative potential. This study systematically reviewed silvicultural management, stress physiology, ecological security, and economic policy using the Chinese and English literature published from 2010 to 2025. The narrative synthesis results indicated that strip intercropping (7:3) is widely documented as an effective model for creating vertical niche complementarity, whereby canopy light and thermal utilisation by A. melanoxylon species improve subsoil nutrient cycling by enhancing stand structure. A conceptual full–cycle economic assessment framework was proposed to measure carbon sequestration and timber premiums. Correspondingly, this conversion of implicit ecological services into explicit market values acted as a critical tool for decision–making in assessing benefit. A three–dimensional “cultivation strategy–physiological ecology–value assessment” assessment framework was established. This framework demonstrated how to move from wanting to maximise the output of an individual component to maximising the value of the whole system. It theorised and provided guidance on resolving the complementary conflict between “ecology–economy” in the management of sustainable multifunctional plantations. Full article
(This article belongs to the Special Issue Integrative Forest Governance, Policy, and Economics)
Show Figures

Figure 1

26 pages, 21221 KB  
Article
Remote Sensing-Enhanced Structural Equation Modeling for Evaluating the Health of Ancient Juglans regia L. in Tibetan Traditional Villages
by Qingtao Zhu, Migmar Wangdwei, Wanqin Yang, Suolang Baimu and Liyuan Qian
Forests 2026, 17(1), 56; https://doi.org/10.3390/f17010056 - 30 Dec 2025
Viewed by 209
Abstract
Ancient walnut trees (Juglans regia L.), revered as “cultural heritage in motion,” have coexisted harmoniously with dense clusters of Tibetan traditional villages for centuries. However, accelerating climate change and expanding human activities along the middle reaches of the Yarlung Tsangpo River have [...] Read more.
Ancient walnut trees (Juglans regia L.), revered as “cultural heritage in motion,” have coexisted harmoniously with dense clusters of Tibetan traditional villages for centuries. However, accelerating climate change and expanding human activities along the middle reaches of the Yarlung Tsangpo River have increasingly threatened their survival. To quantitatively evaluate the health of these ancient trees and identify the underlying driving mechanisms, this study developed a remote sensing-enhanced Structural Equation Model (SEM) that integrated satellite-derived ecological indices, land-use intensity, and field-measured morphological and physiological indicators. A total of 135 ancient walnut trees from villages such as Gamai in Jiacha County, Tibet, were examined. Key findings: (1) The SEM demonstrated an excellent model–data fit (Minimum Discrepancy Divided by Degrees of Freedom (CMIN/DF) = 1.372, Root Mean Square Error of Approximation (RMSEA) = 0.053, Tucker–Lewis Index (TLI) = 0.956, and Comparative Fit Index (CFI) = 0.962), confirming its robustness. (2) Among the latent variables, overall condition exerted the strongest influence (weight = 0.360), whereas foliage condition contributed least (0.289). (3) Approximately 35.56% of trees were healthy or sub-healthy, while 61.48% showed varying levels of decline. (4) Tree health was jointly shaped by intrinsic and extrinsic factors, with intrinsic drivers exhibiting stronger explanatory power. Externally, human disturbance negatively affected health, whereas ecological quality was positively associated. These results highlight the effectiveness of integrating remote sensing and SEM for ancient tree assessment and underscore the urgent need for long-term monitoring and adaptive conservation strategies to enhance ecological resilience. Full article
(This article belongs to the Section Forest Inventory, Modeling and Remote Sensing)
Show Figures

Figure 1

Back to TopTop