Sign in to use this feature.

Years

Between: -

Subjects

remove_circle_outline
remove_circle_outline
remove_circle_outline
remove_circle_outline
remove_circle_outline
remove_circle_outline
remove_circle_outline
remove_circle_outline
remove_circle_outline

Journals

Article Types

Countries / Regions

remove_circle_outline
remove_circle_outline
remove_circle_outline
remove_circle_outline

Search Results (301)

Search Parameters:
Keywords = trawl

Order results
Result details
Results per page
Select all
Export citation of selected articles as:
33 pages, 17558 KB  
Article
Comparative Study of the Underwater Soundscape in Natural and Artificial Environments in the Mediterranean
by Pedro Poveda-Martínez, Naeem Ullah, Jesús Carbajo, Carlos Valle, Aitor Forcada, Isabel Pérez-Arjona, Víctor Espinosa and Jaime Ramis-Soriano
J. Mar. Sci. Eng. 2026, 14(3), 241; https://doi.org/10.3390/jmse14030241 - 23 Jan 2026
Abstract
The recent growth of Blue Economy-related human activities has increased underwater noise pollution. Sound is a key factor in ensuring the well-being of marine animals as it allows them to communicate with each other and extract valuable information from the environment. Although the [...] Read more.
The recent growth of Blue Economy-related human activities has increased underwater noise pollution. Sound is a key factor in ensuring the well-being of marine animals as it allows them to communicate with each other and extract valuable information from the environment. Although the Marine Strategy Framework Directive requires monitoring programs to achieve good environmental status, there remains a significant deficit of information concerning three key domains: the characteristics of the underwater soundscape, its transformation due to anthropogenic activities, and the effects of noise on marine animals. This study aimed to evaluate the impact of anthropogenic activities on marine acoustic environments. Acoustic metrics and ecoacoustic indices were applied to characterise variability and assess daily, weekly, and seasonal patterns, as well as the effects of trawling restrictions. Three underwater soundscapes were compared in this study: two natural environments in the Mediterranean Sea and one artificial environment, a land-based fish farm tank. High anthropogenic noise levels were found, primarily due to fishing vessels near the selected locations. Similarly, the soundscape exhibited notable seasonal variations (annual and weekly), demonstrating a significant dependence on tourist activities. The results highlight the benefits of acoustic parameters as a tool for monitoring environmental conditions over time. Full article
10 pages, 1301 KB  
Brief Report
The Seasonal Spatial Distribution Pattern and Migration of Kishi Velvet Shrimp Metapenaeopsis dalei in the Southern Yellow and East China Seas
by Min Xu, Xiaojing Song, Yang Xu, Jianzhong Ling and Huiyu Li
Animals 2026, 16(2), 296; https://doi.org/10.3390/ani16020296 - 18 Jan 2026
Viewed by 140
Abstract
It is important to understand the ecological information of Metapenaeopsis dalei to better conserve and manage the stocks in Asia. In this study, we employed research vessels to collect the field data including biomass and number of M. dalei in each survey stations [...] Read more.
It is important to understand the ecological information of Metapenaeopsis dalei to better conserve and manage the stocks in Asia. In this study, we employed research vessels to collect the field data including biomass and number of M. dalei in each survey stations along with environmental data including depth, water temperature, and salinity from November 2018 to September 2019 in the region of 26.50–35.00° N and 120.00–127.00° E in the southern Yellow and East China Seas of China. We found that the annual mean catch per unit effort of weight and number (CPUEw and CPUEn) was 15,235.89 g∙h−1 and 17,319.13 ind∙h−1, respectively. Metapenaeopsis dalei was found in 10–130 m. The greatest biomass occurred at 10–20 m in spring, 30–40 m in summer, 10–100 m in autumn, and 10–40 m in winter. The greatest abundance occurred at sea bottom temperature (SBT) 14–15 °C in spring, 19 °C in summer, 15–20 °C in autumn, and 10–12 °C in winter. The greatest abundance occurred at sea bottom salinity (SBS) 32–33 in spring, 32 in summer, 32–35 in autumn, and 31–32 in winter. We found the lowest SBT of M. dalei at 10–11 °C in spring and summer. The juveniles were found at SBT 21 °C and SBS 34 in autumn. The total CPUEw and CPUEn rankings were winter > spring > autumn > summer, and the mean average individual weight (AIW) ranking was summer > spring > winter > autumn. Fishing grounds of Haizhou Bay–Lvsi and Zhoushan–Yushan may be the spawning grounds for M. dalei. These findings can benefit fishery management action and planning in the future. Full article
(This article belongs to the Section Aquatic Animals)
Show Figures

Figure 1

16 pages, 2700 KB  
Article
Spatio-Temporal Distribution of Setipinna taty Resources Using a Zero-Inflated Model in the Offshore Waters of Southern Zhejiang, China
by Xiaoxue Liu, Wen Ma, Jin Ma, Chunxia Gao, Weifeng Chen and Jing Zhao
J. Mar. Sci. Eng. 2026, 14(1), 96; https://doi.org/10.3390/jmse14010096 - 3 Jan 2026
Viewed by 212
Abstract
Effective fishery management in coastal waters requires accurate assessments of species–environment relationships, particularly in data-rich but zero-inflated contexts (i.e., datasets with an excess of zero catches). Here, we used fishery-independent trawl survey data collected from 2018 to 2019 in the offshore waters of [...] Read more.
Effective fishery management in coastal waters requires accurate assessments of species–environment relationships, particularly in data-rich but zero-inflated contexts (i.e., datasets with an excess of zero catches). Here, we used fishery-independent trawl survey data collected from 2018 to 2019 in the offshore waters of southern Zhejiang Province of China to investigate the spatio-temporal distribution of Setipinna taty (scaly hairfin anchovy) and its environmental determinants. Given the high frequency of zero catches, we fitted both zero-inflated Poisson (ZIP) and zero-inflated negative binomial (ZINB) models and selected the best-performing approach using the Akaike information criterion (AIC). Cross-validation indicated that the ZINB model (RMSE: 199.1, R2; 0.25) outperformed ZIP model (RMSE: 239.4, R2; 0.23). Temperature, depth, and salinity were key predictors of S. taty abundance, which generally occurred at depths of 20–40 m and salinities of 26–34 psu. We then applied the optimal ZINB model to predict S. taty distributions in spring, summer, and autumn of 2020. The predictions indicated a summer peak in abundance and a nearshore-to-offshore decreasing gradient, and were broadly consistent with the spatial distribution trends observed in the 2020 survey data. The highest predicted densities were located in nearshore areas off Wenzhou and Taizhou, west of 122° E. By clarifying the key environmental factors shaping S. taty distribution and applying zero-inflated count models to account for an excess of zero catches, which occur more frequently than expected under standard negative binomial models, this study provides an improved basis for effective conservation and sustainable utilization of S. taty resources in the southern offshore waters of Zhejiang; nevertheless, predictive performance could be further improved by incorporating additional environmental and biotic covariates together with extended spatio-temporal data. Full article
(This article belongs to the Section Marine Ecology)
Show Figures

Figure 1

60 pages, 16424 KB  
Article
Diversity and Distribution of Deep-Sea Fishes off the Emperor Seamounts, Northwestern Pacific Ocean, with DNA Barcodes, Phylogenetic, and Biogeographic Considerations
by Artem M. Prokofiev, Olga R. Emelianova, Svetlana Y. Saveleva and Alexei M. Orlov
J. Mar. Sci. Eng. 2026, 14(1), 63; https://doi.org/10.3390/jmse14010063 - 29 Dec 2025
Viewed by 780
Abstract
The results of the trawl survey of the research vessel Professor Kaganovsky over four seamounts (Annei, Jingu, Ojin, and Koko) of the Emperor Seamount Chain in 2019 are presented. Seventy-three species of pelagic and bottom-dwelling cartilaginous and bony fishes from 40 families were [...] Read more.
The results of the trawl survey of the research vessel Professor Kaganovsky over four seamounts (Annei, Jingu, Ojin, and Koko) of the Emperor Seamount Chain in 2019 are presented. Seventy-three species of pelagic and bottom-dwelling cartilaginous and bony fishes from 40 families were collected. Morphological diagnoses are presented for each species, with taxonomic comments for the poorly known taxa. The obtained collection includes 11 species new to science or of uncertain taxonomic position, 9 species newly reported for the Emperor Seamounts, and one new record Linophryne arborifera for the Pacific Ocean. For individual seamounts, 27 fish species were recorded for the first time at Annei, 12 species at Ojin, 4 species at Koko, and 2 species at Jingu Seamounts. Cytochrome c oxidase subunit I (COI) or cytochrome b (Cyt b) sequences were obtained for 36 species belonging to 22 families, including 13 species for which the barcode was flagged for the first time and the sequences made available. Cryptic diversity was revealed within the genera Cyclothone, Argyropelecus, and Chauliodus. According to our data, a boundary between the boreal and subtropical fish communities was found between Nintoku and Jingu Seamounts, with a transitional zone over Jingu and Ojin Seamounts at 37–39° N. However, the distribution of the subtropical species to the north may be limited by the increasing of summit depths in the northern subsection of the chain rather than any oceanographic or climatic barriers. Full article
(This article belongs to the Section Marine Biology)
Show Figures

Figure 1

26 pages, 5040 KB  
Article
Linking Biological Parameters to Fishery Management: Stock Assessment of Green Tiger Prawn, Penaeus semisulcatus De Haan, 1844 Along the Red Sea Coast of Saudi Arabia
by Eyüp Mümtaz Tıraşın, Sheeja Gireesh, Sirajudheen Thayyil Kadengal, Ronald Grech Santucci, Zahra Okba, Santhosh Kumar Charles, Goutham Bharathi Muthu Palani, Adel M. S. Adam and Mark Dimech
Biology 2026, 15(1), 8; https://doi.org/10.3390/biology15010008 - 19 Dec 2025
Viewed by 701
Abstract
Penaeus semisulcatus is the dominant commercial prawn species along the Saudi Arabian coast in the southeastern Red Sea, yet its population dynamics remain poorly understood. This study examined growth, maturity, and mortality using fishery-independent samples obtained during trawl surveys off Jizan and Al [...] Read more.
Penaeus semisulcatus is the dominant commercial prawn species along the Saudi Arabian coast in the southeastern Red Sea, yet its population dynamics remain poorly understood. This study examined growth, maturity, and mortality using fishery-independent samples obtained during trawl surveys off Jizan and Al Qunfudhah between October 2022 and September 2023. A total of 85,909 individuals were examined, exhibiting carapace lengths (CL) between 1.29 and 56.14 mm and weights (W) ranging from 0.91 to 94.99 g. The sex ratio (1:1.06) was slightly male-biased. The CLW relationships were W = 0.00427·CL2.50 for females and W = 0.01274·CL2.16 for males. The von Bertalanffy growth parameters were CL = 60.16 mm, K = 1.03 year−1 for females and CL = 48.10 mm, K = 1.02 year−1 for males. Females first matured at a CL of 22.09 mm. Exploitation rates (0.63 for females and 0.69 for males) and spawning potential ratio analysis indicated severe overfishing, with spawning stock biomass reduced to 19% of its unexploited level. These results highlight the necessity for immediate management intervention. Reducing fishing effort by half, extending seasonal closures, and improving the selectivity of trawl gear are advised to facilitate stock recovery and support sustainable exploitation in the region. Full article
Show Figures

Graphical abstract

17 pages, 3806 KB  
Article
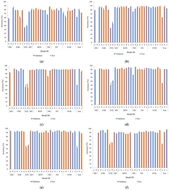
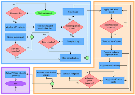
Multivariate Gas Sensor E-Nose System with PARAFAC and Machine Learning Modeling for Quantifying and Classifying the Impact of Fishing Gears
by Vinie Lee Silva-Alvarado and Jaime Lloret
Sensors 2026, 26(1), 6; https://doi.org/10.3390/s26010006 - 19 Dec 2025
Viewed by 465
Abstract
The quality of seafood is intrinsically linked to the accumulated history of stress, feeding, handling, and physical damage imposed by the fishing gear employed. This study proposes an innovative methodology using an E-nose sensor. The study species was Sparus aurata. Eight fishing [...] Read more.
The quality of seafood is intrinsically linked to the accumulated history of stress, feeding, handling, and physical damage imposed by the fishing gear employed. This study proposes an innovative methodology using an E-nose sensor. The study species was Sparus aurata. Eight fishing gears were studied. The methodology integrates Parallel Factor Analysis (PARAFAC) for impact quantification and Machine Learning (ML) for classifying the fishing gear of origin. Longline was established as the method with the lowest deviation. The impact hierarchy, from highest to lowest deviation, is as follows: Aquaculture 50.61% (95% CI: 34%, 68%), Purse seine 37.92% (95% CI: 22%, 54%), Trawl 35.92% (95% CI: 21%, 51%), Gillnet (three panels) 27.69% (95% CI: 14%, 41%), Gillnet (single panel) 24.63% (95% CI: 9%, 40%), Gillnet (two panels) 18.12% (95% CI: 4%, 31%) and Hook and line 1.36% (95% CI: −10%, 13%). For the classification task, 33 ML models were evaluated. Subspace KNN model yielded the best results with an accuracy of 97.14% in the validation and 98.08% in the testing, using 35 variables. Using 10, 15, 20, 25, and 30 variables, an accuracy higher than 85% was achieved. These results demonstrate the high precision in fish traceability by exploiting the sensor response profile left by each fishing gear. Full article
(This article belongs to the Special Issue Nature Inspired Engineering: Biomimetic Sensors (2nd Edition))
Show Figures

Graphical abstract

18 pages, 4649 KB  
Article
Assessment of Short-Term Sediment Deposition Patterns Along the Palamós Submarine Canyon (NW Mediterranean) Using 234Th
by Maria Sierks, Sarah Paradis, Montserrat Roca-Martí, Viena Puigcorbé and Pere Puig
J. Mar. Sci. Eng. 2025, 13(12), 2383; https://doi.org/10.3390/jmse13122383 - 16 Dec 2025
Viewed by 2536
Abstract
Sedimentary dynamics in the Palamós Canyon are influenced by river inputs and storm resuspension, as well as by bottom trawling on the canyon flanks. In this study, we estimate recent sediment deposition patterns along the canyon axis using the excess activity concentration of [...] Read more.
Sedimentary dynamics in the Palamós Canyon are influenced by river inputs and storm resuspension, as well as by bottom trawling on the canyon flanks. In this study, we estimate recent sediment deposition patterns along the canyon axis using the excess activity concentration of the short-lived radiotracer 234Th (half-life of 24.1 days). Sediment cores were obtained at various locations along the canyon axis from a depth of approximately 800 m to 2100 m in June 2023 and August 2024. Excess 234Th (234Thxs) was detected in all sampled sites with variable penetration depths (0.5–3.5 cm). 234Thxs-derived estimations of mixing rates decreased downcanyon from up to 15.6 cm2 y−1 at the canyon head (~800 m) to negligible mixing at the canyon mouth (~2100 m). 234Thxs inventories, a proxy of recent sediment deposition, were high (1800–3490 Bq m−2) at the canyon head and at the upper canyon (~1400 m) close to fishing grounds and decreased downcanyon (82–694 Bq m−2) at the lower canyon (~1800 m) and canyon mouth. Inventories varied 2-fold across years presumably attributed to enhanced riverine and bottom trawling sediment fluxes. Similar 234Th-derived sediment deposition patterns can be found in submarine canyons worldwide, highlighting the value of this radiotracer for sedimentary dynamics studies in such complex environments. Full article
(This article belongs to the Section Marine Environmental Science)
Show Figures

Figure 1

12 pages, 2041 KB  
Article
Seasonal Spatial Distribution and Migration Patterns of the Shrimp Parapenaeus fissuroides in the Southern Yellow and East China Seas: Habitat Area Change Under Climate Scenarios
by Min Xu, Yong Liu, Yang Xu, Haisu Zheng, Jianzhong Ling and Huiyu Li
Animals 2025, 15(24), 3597; https://doi.org/10.3390/ani15243597 - 15 Dec 2025
Viewed by 298
Abstract
Shrimp populations are threatened by overfishing and climate change. Despite this, there are limited studies on the variations in biomass, number, and size of Eastern Neptune rose shrimp, Parapenaeus fissuroides, in different fishing grounds across seasons in the Southern Yellow and East [...] Read more.
Shrimp populations are threatened by overfishing and climate change. Despite this, there are limited studies on the variations in biomass, number, and size of Eastern Neptune rose shrimp, Parapenaeus fissuroides, in different fishing grounds across seasons in the Southern Yellow and East China Seas of China, as well as habitat area change under different climate scenarios. In this study, the data was obtained from the bottom trawling surveys conducted from November 2018 to September 2019 at 26.5–35° N 120–127° E. We found that the major cohorts were concentrated at depths of 70–110 m in spring and summer, 80–90 m in autumn, and 60–100 m in winter. The greatest abundance was observed at sea bottom temperatures of 18–20 °C in spring, 18–21 °C in summer, 19–22 °C in autumn, and 17–19 °C in winter; and sea bottom salinity levels of 34–35 across all four seasons, indicating the influence of high-salinity Taiwan Warm Current and Yellow Sea Warm Current. The annual mean catch per unit effort in weight and number were 16,623.65 g·h−1 and 4304.525 ind·h−1, respectively. Climate variations may negatively impact the habitat area range of P. fissuroides. For migration route, P. fissuroides concentrates in Yushan and Yuwai for the upcoming spawning season in spring, with offspring occurring in high-temperature and high-salinity waters of Zhouwai and Yuwai in summer. The newborn recruited cohorts remained in Yushan, Wentai, and Mindong for nursery grounds in autumn and winter. We suggested a seasonal closure from August to November in Yushan, Yuwai, Zhouwai, and Mindong to protect and conserve P. fissuroides populations. Full article
Show Figures

Figure 1

16 pages, 2354 KB  
Article
The Effect of Mesh Size and Shape on Size Selectivity of White Croaker (Pennahia argentata) in Diamond-Mesh Codends for Demersal Trawl Fisheries
by Bingzhong Yang and Bent Herrmann
Fishes 2025, 10(12), 622; https://doi.org/10.3390/fishes10120622 - 4 Dec 2025
Viewed by 309
Abstract
White croaker (Pennahia argentata) is an ecologically and economically relevant fish species targeted by demersal trawls using diamond-mesh codends at fishing grounds in China, Japan, and Korea. However, the stock has been overexploited, and the capture of undersized individuals is of [...] Read more.
White croaker (Pennahia argentata) is an ecologically and economically relevant fish species targeted by demersal trawls using diamond-mesh codends at fishing grounds in China, Japan, and Korea. However, the stock has been overexploited, and the capture of undersized individuals is of concern. Further, diamond-mesh codends are known to have varying mesh shape due to the fact that the opening angle in them varies along the codend and during the fishing process. Therefore, to fully understand the effect of mesh size and opening angle on the size selectivity of white croaker, experimental fishing trials and fall-through trials were conducted. By combining the results from these trials, a model was constructed to predict the effect of mesh size and mesh opening angle on size selectivity of white croaker. The predicted size selectivity results for white croaker fitted well with those from the sea trial experiments, which enabled us to use the model established to predict the size selectivity of diamond-mesh codends with a mesh size ranging from 15 to 90 mm and the effect on the exploitation pattern of the species in the fishery by changing the codend mesh size. Full article
(This article belongs to the Special Issue Sustainable Fisheries Dynamics)
Show Figures

Figure 1

22 pages, 5899 KB  
Article
Construction and Comparison of Different Models to Forecast Central Fishing Grounds for Trawl Fishery Targeting Argentine Shortfin Squid (Illex argentinus) in the Southwest Atlantic
by Chen Shang, Haibin Han, Keji Jiang, Yongchuang Shi, Wei Fan, Fenghua Tang, Heng Zhang and Xuesen Cui
Fishes 2025, 10(12), 610; https://doi.org/10.3390/fishes10120610 - 27 Nov 2025
Viewed by 393
Abstract
The abundant Argentine shortfin squid resource plays a key role in the Patagonian Large Marine Ecosystem, the Polar Frontal Zone Ecosystem, and the South Atlantic Subtropical Gyre Ecosystem. In this article, we analyzed the annual and monthly changes in catch per unit effort [...] Read more.
The abundant Argentine shortfin squid resource plays a key role in the Patagonian Large Marine Ecosystem, the Polar Frontal Zone Ecosystem, and the South Atlantic Subtropical Gyre Ecosystem. In this article, we analyzed the annual and monthly changes in catch per unit effort (CPUE) of Argentine shortfin squid with a spatial resolution of 0.25° × 0.25° and constructed three ensemble learning and two deep learning fishing grounds forecasting models using catch information and spatial–temporal and marine environmental data. The results of the study were as follows: 1. From 2016 to 2021, Argentine shortfin squid in the Southwest Atlantic experienced notable interannual fluctuations, with the resource showing an increase and then remaining stable from 2016 to 2018, a decline in 2019, and a substantial increase from 2020 to 2021. Seasonally, CPUE was low from November to January, rose significantly from February to May, and declined in June; 2. The XGBoost model had the best overall performance among the three tree models, achieving an average of 68.86% accuracy, 70.19% F1-score; 3. In the 2021 actual production data validation, the Fusion ResNet18 model achieved an average production data accuracy of 74.47%, F1-score of 73.85%; the Fusion 3DResNet18 model achieved an average production data accuracy of 81.27%, F1-score of 82.43%. This indicates that convolutional neural networks, particularly 3D versions, are more suitable than decision tree-based ensemble models for predicting Argentine shortfin squid fishing grounds. Highly accurate fishing grounds forecasts help enterprises save production costs while providing some reference for the sustainable development of fishery resources. Full article
(This article belongs to the Special Issue Biodiversity and Spatial Distribution of Fishes, Second Edition)
Show Figures

Figure 1

18 pages, 6673 KB  
Article
Robust Daytime In Situ Target Strength Estimation of Pacific Hake (Merluccius productus) over a Wide Size Range
by Dezhang Chu, Stéphane Gauthier, Stephen de Blois, Julia Clemons and Rebecca Thomas
J. Mar. Sci. Eng. 2025, 13(12), 2255; https://doi.org/10.3390/jmse13122255 - 27 Nov 2025
Viewed by 294
Abstract
Accurate determination of the target strength (TS) of a fish species is essential for estimating the biomass of fish stocks using acoustic technology. This study estimated the daytime in situ target strength of Pacific hake (Merluccius productus) at 38 kHz using [...] Read more.
Accurate determination of the target strength (TS) of a fish species is essential for estimating the biomass of fish stocks using acoustic technology. This study estimated the daytime in situ target strength of Pacific hake (Merluccius productus) at 38 kHz using echosounder data collected during hake biomass acoustic-trawl surveys and research cruises conducted from 2009 to 2019 by U.S. and Canadian scientists. The intercept term for the 20-log TS regression over fish length at 38 kHz, b20 was found to be −67.9 dB re 1 m2 (CI: −68.09, −67.72), closely aligning with the currently used value of −68 dB in biomass assessments. Applying the revised b20 value of −67.9 dB in past stock assessments suggests that biomass estimates would be underestimated by less than 3%, which is well within the typical uncertainty range of fish stock assessments. Full article
(This article belongs to the Section Marine Environmental Science)
Show Figures

Figure 1

26 pages, 9407 KB  
Article
Optimizing Fishery Survey Design in Guangdong’s Restricted Coastal Waters
by Kui Zhang, Li Su, Yancong Cai, Youwei Xu and Zuozhi Chen
Animals 2025, 15(22), 3283; https://doi.org/10.3390/ani15223283 - 13 Nov 2025
Viewed by 595
Abstract
The coastal restricted fishing area of Guangdong contains key spawning and nursery habitats with high biodiversity but growing ecological pressure, yet the influence of survey design and sampling frequency on biodiversity detection and abundance estimates remains unclear. We conducted four seasonal bottom-trawl surveys [...] Read more.
The coastal restricted fishing area of Guangdong contains key spawning and nursery habitats with high biodiversity but growing ecological pressure, yet the influence of survey design and sampling frequency on biodiversity detection and abundance estimates remains unclear. We conducted four seasonal bottom-trawl surveys in 2023–2024 at 186 stations and compared fixed-site sampling (FS), simple random sampling (SRS), stratified random sampling by depth (StRS), and systematic sampling (SS). We recorded 563 species (446 fishes, 101 crustaceans, 16 cephalopods), observed seasonal shifts in dominant taxa, and found catch rates varied seasonally and spatially, peaking in summer. Species detection rose with station number and sampling frequency. For species richness, SS produced the highest detection and the lowest error and bias but showed volatility; StRS and SRS were more stable. For abundance, StRS had the lowest error, whereas SRS had the smallest absolute bias. Across all four seasons, 88 stations achieved an 80% richness detection rate; among reduced-frequency designs, autumn-only, spring–autumn, and autumn–spring–summer minimized errors. These results guide cost–precision trade-offs: SS (with random starts and interval rotation) for richness-oriented aims, and depth-based StRS for abundance, supporting optimized long-term monitoring and management in the northern South China Sea. Full article
(This article belongs to the Special Issue Research on Fish Population Dynamics)
Show Figures

Figure 1

16 pages, 2715 KB  
Article
Multi-Tissue Stable Isotope Analysis Reveals the Feeding Ecology of Dominant Shark Bycatch Species in the Northern South China Sea
by Kui Zhang, Pengli Xiong, Zuozhi Chen and Youwei Xu
Fishes 2025, 10(11), 583; https://doi.org/10.3390/fishes10110583 - 13 Nov 2025
Viewed by 787
Abstract
Understanding the feeding mechanisms and interspecific coexistence of sharks is crucial for effective conservation. This study conducted stable isotope analysis on muscle and liver samples from 449 individuals of eight common bycatch shark species collected via bottom trawling in the northern South China [...] Read more.
Understanding the feeding mechanisms and interspecific coexistence of sharks is crucial for effective conservation. This study conducted stable isotope analysis on muscle and liver samples from 449 individuals of eight common bycatch shark species collected via bottom trawling in the northern South China Sea (NSCS). Results revealed significant differences in δ13C and δ15N values among species and tissue types. Scoliodon laticaudus exhibited the highest trophic position (TPmuscle = 4.60 ± 0.33; TPliver = 4.53 ± 0.29), while Apristurus platyrhynchus had the lowest (TPmuscle = 2.97 ± 0.44; TPliver = 2.75 ± 0.53). Muscle and liver isotopic signals were consistent, but δ13C differences indicated distinct carbon sources, with Carcharhinus sorrah linked to deep-sea organic matter and S. laticaudus to coastal inputs. Significant correlations between δ13C/δ15N and body length in A. platyrhynchus and Cephaloscyllium fasciatum suggest ontogenetic shifts in diet and habitat toward deeper waters. Trophic niche analysis using corrected standard ellipse area (SEAc) showed Halaelurus burgeri with the widest trophic niche (SEAc > 1.7‰2), reflecting a broad diet, while C. fasciatum had the narrowest (SEAc < 0.3‰2), indicating specialized feeding. Additionally, H. burgeri and C. sarawakensis exhibited significant niche differentiation, reducing interspecific competition, whereas C. fasciatum and Squalus megalops showed high niche overlap, suggesting intense resource competition. The narrower liver niche of C. sarawakensis may reflect recent habitat constriction due to bottom trawling. This study elucidates the feeding ecology and habitat resource utilization of NSCS sharks, providing a scientific basis for effective conservation strategies for shark populations in the region. Full article
(This article belongs to the Section Fishery Economics, Policy, and Management)
Show Figures

Graphical abstract

21 pages, 29248 KB  
Article
Role of Lee Wave Turbulence in the Dispersion of Sediment Plumes
by Alban Souche, Ebbe H. Hartz, Lars H. Rüpke and Daniel W. Schmid
Oceans 2025, 6(4), 77; https://doi.org/10.3390/oceans6040077 - 12 Nov 2025
Viewed by 668
Abstract
Sediment plumes threatening benthic ecosystems are one of the environmental hazards associated with seafloor interventions such as bottom trawling, cabling, dredging, and marine mining operations. This study focuses on sediment plume release from hypothetical future deep-sea mining activities, emphasizing its interaction with turbulent [...] Read more.
Sediment plumes threatening benthic ecosystems are one of the environmental hazards associated with seafloor interventions such as bottom trawling, cabling, dredging, and marine mining operations. This study focuses on sediment plume release from hypothetical future deep-sea mining activities, emphasizing its interaction with turbulent ocean currents in regions characterized by complex seafloor topography. In such environments, turbulent lee waves may significantly enhance the scattering of released sediments, pointing to the clear need for appropriate impact assessment frameworks. Global-scale models are limited in their ability to resolve sufficiently high Reynolds numbers to accurately represent turbulence generated by seafloor topography. To overcome these limitations and effectively assess lee wave dynamics, models must incorporate the full physics of turbulence without simplifying the Navier–Stokes equations and must operate with significantly finer spatial discretization while maintaining a domain large enough to capture the full topographic signal. Considering a seamount in the Lofoten Basin of the Norwegian Sea as an example, we present a novel numerical analysis that explores the interplay between lee wave turbulence and sediment plume dispersion using a high-resolution Large Eddy Simulation (LES) framework. We show that the turbulence occurs within semi-horizontal channels that emerge beyond the topographic highs and extend into sheet-like tails close to the seafloor. In scenarios simulating sediment release from various sites on the seamount, our model predicts distinct behavior patterns for different particle sizes. Particles with larger settling velocities tend to deposit onto the seafloor within 50–200 m of release sites. Conversely, particles with lower settling velocities are more susceptible to turbulent transport, potentially traveling greater distances while experiencing faster dilution. Based on our scenarios, we estimate that the plume concentration may dilute below 1 ppm at about 2 km distance from the release site. Although our analysis shows that mixing with ambient seawater results in rapid dilution to low concentrations, it appears crucial to account for the effects of topographic lee wave turbulence in impact assessments related to man-made sediment plumes. Our high-resolution numerical simulations enable the identification of sediment particle size groups that are most likely affected by turbulence, providing valuable insights for developing targeted mitigation strategies. Full article
Show Figures

Figure 1

22 pages, 2157 KB  
Article
Sponges as Habitat Formers on Mesophotic, Soft-Substrate Seafloors of the Eastern Mediterranean
by Caterina Stamouli, Vasilis Gerovasileiou and Eleni Voultsiadou
J. Mar. Sci. Eng. 2025, 13(11), 2132; https://doi.org/10.3390/jmse13112132 - 11 Nov 2025
Cited by 1 | Viewed by 1375
Abstract
This study aims to investigate the ecological role of sponges as habitat formers on soft-bottom habitats of the mesophotic zone. As habitat formers, sponges significantly enhance benthic habitat complexity and establish associations with a plethora of organisms consequently augmenting local biodiversity. This role [...] Read more.
This study aims to investigate the ecological role of sponges as habitat formers on soft-bottom habitats of the mesophotic zone. As habitat formers, sponges significantly enhance benthic habitat complexity and establish associations with a plethora of organisms consequently augmenting local biodiversity. This role becomes particularly critical in areas subjected to intensive bottom trawling, where sponges often comprise a substantial portion of the discarded material. The examination of 114 massive sponge specimens, belonging to 10 sponge species, which were collected as bycatch from bottom trawls in the Aegean and Ionian ecoregions, revealed a total of over 4600 associated individuals of 78 invertebrate taxa, with crustaceans, mollusks, and polychaetes being the dominant groups. The composition of sponge-associated communities showed strong similarities to previously reported cases from shallow water hard substrates of the eastern Mediterranean, while displaying host-specific differences likely influenced by sponge morphology. Although depth did not significantly affect species richness, Shannon diversity, or evenness, a decrease in abundance of associated invertebrates was observed in deeper samples, suggesting a depth-related pattern that deserves further investigation. By forming stable substrate “islands” in otherwise unstable soft substrate environments, sponges play a vital role in structuring benthic communities. Their removal through bottom trawling not only results in the loss of the sponges themselves, but also disrupts the diverse communities they support. We suggest that sponge-associated fauna should be recognized as part of the discarded bycatch and emphasize the need for broader assessments of sponge-mediated biodiversity across similar Mediterranean habitats to support effective management and conservation strategies. Full article
(This article belongs to the Section Marine Biology)
Show Figures

Figure 1

Back to TopTop