Sign in to use this feature.

Years

Between: -

Subjects

remove_circle_outline
remove_circle_outline
remove_circle_outline
remove_circle_outline
remove_circle_outline
remove_circle_outline
remove_circle_outline
remove_circle_outline
remove_circle_outline

Journals

remove_circle_outline
remove_circle_outline
remove_circle_outline

Article Types

Countries / Regions

remove_circle_outline
remove_circle_outline
remove_circle_outline
remove_circle_outline

Search Results (424)

Search Parameters:
Keywords = transition to low carbon economy

Order results
Result details
Results per page
Select all
Export citation of selected articles as:
56 pages, 16068 KB  
Article
ESG Practices and Air Emissions Reduction in the Oil and Gas Industry: Empirical Evidence from Kazakhstan
by Ainagul Adambekova, Saken Kozhagulov, Vitaliy Salnikov, Jose Carlos Quadrado, Svetlana Polyakova, Rassima Salimbayeva, Aina Rysmagambetova, Gulnur Musralinova and Ainur Tanybayeva
Sustainability 2025, 17(24), 11317; https://doi.org/10.3390/su172411317 - 17 Dec 2025
Viewed by 72
Abstract
This study examines the impact of Environmental, Social, and Governance (ESG) strategies on reducing air pollution in the West Kazakhstan region, a major hub for Kazakhstan’s oil and gas industry. A spatial analysis of atmospheric emissions reveals an uneven distribution of emission sources, [...] Read more.
This study examines the impact of Environmental, Social, and Governance (ESG) strategies on reducing air pollution in the West Kazakhstan region, a major hub for Kazakhstan’s oil and gas industry. A spatial analysis of atmospheric emissions reveals an uneven distribution of emission sources, predominantly concentrated in the northern industrialized part of the region, where the Karachaganak oil and gas condensate field is located. The ESG model of Karachaganak Petroleum Operating b.v. (KPO), implemented as an integrated management system based on Global Reporting Initiative (GRI) standards, is compared with the ESG strategies of leading oil and gas companies in Kazakhstan and globally, aligning with current international research trends. The analysis underscores the interdependence of technological and social aspects in the transition to a low-carbon economy, confirming the importance of integrating the environmental, social, and governance components of ESG into a unified strategic planning framework for sustainable development. Using econometric modeling, the study establishes a relationship between ESG indicators and the reduction in atmospheric pollution and provides a forecast for emission reductions by 2030. The key measures proposed to improve regional air quality are linked to long-term decarbonization strategies within the context of the sustainable development of the entire region. The proposed algorithm for implementing ESG principles helps to identify the concentration of functions and associated risks at different management levels within Highly Polluting Enterprises (HPEs) and optimizes business processes by focusing efforts on air pollution mitigation. The findings are applicable to other countries, as oil and gas producers worldwide face a number of common air pollution challenges. Full article
(This article belongs to the Section Air, Climate Change and Sustainability)
Show Figures

Figure 1

32 pages, 1831 KB  
Article
Energy Transition at the EU Peripheries: Investment of Rural and Urban–Rural Communes in Border Regions of Eastern Poland
by Agnieszka Kozera
Agriculture 2025, 15(24), 2590; https://doi.org/10.3390/agriculture15242590 - 15 Dec 2025
Viewed by 136
Abstract
Energy transition has become a priority in public policy; however, knowledge of its progress in peripheral, border regions of Eastern Poland—particularly in rural and urban—rural communes—remains sketchy. Research gaps concern both the scale and intensity of investments co-financed from European Union (EU) funds, [...] Read more.
Energy transition has become a priority in public policy; however, knowledge of its progress in peripheral, border regions of Eastern Poland—particularly in rural and urban—rural communes—remains sketchy. Research gaps concern both the scale and intensity of investments co-financed from European Union (EU) funds, as well as the effect of their locations in relation to the state border and their position in reference to Functional Urban Areas (FUAs) on the level and character of the discussed investment activity. The primary aim of this study was to assess how the location of a border region and its relation to FUAs diversifies the investment activity and level of investment co-financed from EU funds aimed at developing the low-carbon economy in rural and urban–rural communes of the Eastern Macroregion. The analysis was conducted in two complementary dimensions: (i) a comparative nationwide assessment, covering all macroregions of Poland, within the two most recent, completed EU financial frameworks; i.e., the years 2007–2013 and 2014–2020 and (ii) an in-depth analysis of the Eastern Macroregion, with particular attention to rural and urban–rural communes, their affiliation with Functional Urban Areas (FUAs), and the typology defined by the Delimitation of Rural Areas (DRA). The aim of the conducted analyses was to respond to the research hypothesis assuming that “in the Eastern Macroregion the spatial conditions, i.e., the border location and the location in relation to functional urban areas (within an FUA vs. outside an FUA) significantly diversify the investment activity of rural and urban–rural communes aimed at the low-carbon economy co-financed from EU funds”. Empirical studies were conducted based on data from the Ministry of Development Funds and Regional Policy and Statistics Poland, which were processed applying methods of descriptive statistics and statistical inference and also using correspondence analysis. The analyses confirmed that in Eastern Poland the process of energy transition moved from the pilot phase to the common implementation of low-carbon measures, to a considerable extent thanks to the activity of rural and urban–rural communes. The results indicate that spatial factors, particularly location in relation to Functional Urban Areas and population density, significantly diversify intensity of investments in rural and urban–rural communes in the spatial context, whereas no such relationship was found for the investment level per capita. Full article
Show Figures

Figure 1

15 pages, 2262 KB  
Article
Economic Efficiency of Natural Resource Use in the Context of ESG Integration and the Circular Economy Transition
by Dinara Mukhiyayeva, Aigul Alibekova, Lyazzat Sembiyeva, Nadiia Shmygol, Bakhytzhamal Zhumatayeva and Dariga Khamitova
Resources 2025, 14(12), 186; https://doi.org/10.3390/resources14120186 - 10 Dec 2025
Viewed by 230
Abstract
The global shift towards sustainable development and low-carbon growth has intensified the need for efficient management of natural resources. This study proposes an integrated economic assessment framework to evaluate how ESG (Environmental, Social, and Governance) integration and circular economy strategies influence resource productivity [...] Read more.
The global shift towards sustainable development and low-carbon growth has intensified the need for efficient management of natural resources. This study proposes an integrated economic assessment framework to evaluate how ESG (Environmental, Social, and Governance) integration and circular economy strategies influence resource productivity and long-term economic performance. The research focuses on the water–energy–land nexus as a critical driver of global economic systems. Using a combination of multi-criteria decision analysis (AHP/TOPSIS), material flow analysis (MFA), life-cycle assessment (LCA), and panel econometric modeling on a broad dataset of countries (2018–2023), we examine the relationship between resource efficiency, ESG adoption, and economic competitiveness. The results indicate that circular business models and strong ESG practices significantly reduce resource intensity, enhance total factor productivity, and strengthen economic resilience. Scenario modeling demonstrates that transitioning from linear to circular resource flows can yield substantial economic and ecological benefits, including a ~1–3% rise in GDP and a ~15–20% drop in resource intensity under a high-circularity scenario. These findings provide actionable insights for policymakers and businesses, emphasizing that sustainable resource governance is not only an environmental necessity but also a key driver of global economic transformation. Full article
Show Figures

Figure 1

39 pages, 1068 KB  
Article
Strategic Analysis of the Vanadium Market: A Critical Element for EU Green Energy
by Iván Jares Salguero, Guillermo Laine-Cuervo and Efrén García-Ordiales
Energies 2025, 18(24), 6476; https://doi.org/10.3390/en18246476 - 10 Dec 2025
Viewed by 258
Abstract
The EU’s green transition hinges on secure access to critical raw materials; vanadium is pivotal for microalloyed steels and emerging long-duration energy storage (VRFBs). Methods: We combine a market and technology review with PESTEL and Porter-5+2 analyses, complemented by a value-chain assessment and [...] Read more.
The EU’s green transition hinges on secure access to critical raw materials; vanadium is pivotal for microalloyed steels and emerging long-duration energy storage (VRFBs). Methods: We combine a market and technology review with PESTEL and Porter-5+2 analyses, complemented by a value-chain assessment and a SWOT-to-CAME strategy for the EU. Results: Vanadium supply is highly concentrated (VTM-derived, largely in CN/RU/ZA), prices are volatile, and >85% of demand remains tied to steel; yet VRFBs could shift demand shares by 2030 if costs—dominated by electrolyte—are mitigated. EU weaknesses include lack of primary mining and refining capacity; strengths include research leadership, regulatory frameworks and circularity potential (slag/catalyst recovery, electrolyte reuse). Conclusions: A resilient EU strategy should prioritize circular supply, selective upstream partnerships, battery-grade refining hubs, and targeted instruments (strategic stocks, offtake/price-stabilization, LDES-ready regulation) to de-risk vanadium for grid storage and low-carbon infrastructure. This study also discusses supply chain concentration and price volatility, and outline circular-economy pathways and decarbonization policy levers relevant to the EU’s green energy transition. Full article
(This article belongs to the Special Issue Emerging Trends in Energy Economics: 3rd Edition)
Show Figures

Figure 1

30 pages, 661 KB  
Article
Marketization of Data Elements and Corporate Green Innovation: Evidence from the Establishment of Data Trading Platforms in China
by Yajun Song and Changsheng Xu
Sustainability 2025, 17(24), 10980; https://doi.org/10.3390/su172410980 - 8 Dec 2025
Viewed by 291
Abstract
In the digital economy, data has emerged a pivotal driver for optimizing resource allocation, enhancing productivity, and accelerating the transition toward environmentally sustainable development. Exploring how the marketization of data elements affects corporate green innovation is of considerable theoretical and practical significance. Using [...] Read more.
In the digital economy, data has emerged a pivotal driver for optimizing resource allocation, enhancing productivity, and accelerating the transition toward environmentally sustainable development. Exploring how the marketization of data elements affects corporate green innovation is of considerable theoretical and practical significance. Using the establishment of data trading platforms in China as a quasi-natural experiment, this study constructs a multi-period difference-in-differences (DID) model based on panel data of A-share listed firms between 2009 and 2022 to investigate the impact of data element marketization on corporate green innovation. The empirical results demonstrate that the marketization of data elements significantly promotes corporate green innovation, and this conclusion remains consistent across a series of robustness checks. Further exploration of the underlying mechanisms reveals that the marketization of data elements fosters green innovation by alleviating financing constraints, improving the structure of human capital, and facilitating collaborative innovation. These mechanisms highlight the role of data markets in strengthening corporate innovation capacity while reinforcing environmental responsibility. Moreover, heterogeneity analyses indicate that the promoting effect is particularly pronounced among firms located in the eastern China, regions equipped with advanced digital infrastructure, industries with lower pollution level, and non-state-owned enterprises. By linking reforms in data governance with green development objectives, this research enriches the growing literature on digital institutional transformation and corporate environmental innovation. The findings provide new empirical evidence that the establishment of data markets constitutes an effective institutional mechanism for advancing green and low-carbon development, offering valuable policy insights for integrating digital economy progress with ecological sustainability. Full article
Show Figures

Figure 1

22 pages, 26379 KB  
Article
Policy-Driven Spatiotemporal Evolution of New Energy Technological Correlation Networks in China
by Sufeng Wang, Yuqing Nie, Hongling Xu and Yinan Sun
Energies 2025, 18(24), 6389; https://doi.org/10.3390/en18246389 - 5 Dec 2025
Viewed by 231
Abstract
The global shift towards low-carbon economies underscores the critical role of new energy (NE) technologies in addressing climate change and ensuring energy security. China’s renewable energy sector serves as a prime example of this transition. However, the sector faces significant challenges, including technological [...] Read more.
The global shift towards low-carbon economies underscores the critical role of new energy (NE) technologies in addressing climate change and ensuring energy security. China’s renewable energy sector serves as a prime example of this transition. However, the sector faces significant challenges, including technological fragmentation characterized by isolated R&D efforts that impede knowledge diffusion, and regional disparities that marginalize firms in inland and western regions within innovation networks. This study examines the spatiotemporal evolution of China’s new energy technological correlation networks across 208 firms (2006–2023) using social network analysis. The findings reveal a four-stage progression from fragmentation (2006–2010) to regional clustering (2011–2015), followed by core–periphery differentiation (2016–2020), culminating in multipolar synergy (2021–2023). Policy cycles are closely associated with structural shifts, with coastal hubs leveraging policy-industrial advantages whilst inland areas grow via technology diffusion. This study proposes the policy-driven effect, where subsidies anchor scale expansion, whereas phase-outs are linked to quality enhancement. Phase-adaptive strategies are recommended to transition from scale-driven to innovation-quality paradigms. Full article
(This article belongs to the Section C: Energy Economics and Policy)
Show Figures

Figure 1

19 pages, 578 KB  
Article
Driving the Green Transition: The Role of Renewable Energy, Environmental Technology, FDI, and Globalization in South Africa’s Sustainable Growth: Evidence from a CS-ARDL Approach
by Aida Smaoui
Sustainability 2025, 17(23), 10866; https://doi.org/10.3390/su172310866 - 4 Dec 2025
Viewed by 343
Abstract
This study investigates the impact of renewable energy, environmental technology, foreign direct investment (FDI), and globalization on green economic growth in South Africa within the framework of the country’s National Development Plan (NDP) Vision 2030, covering the period from 1997 to 2024. Using [...] Read more.
This study investigates the impact of renewable energy, environmental technology, foreign direct investment (FDI), and globalization on green economic growth in South Africa within the framework of the country’s National Development Plan (NDP) Vision 2030, covering the period from 1997 to 2024. Using annual data and applying advanced panel techniques, including the CS-ARDL model supported by AMG and CCEMG estimators, the analysis captures both long-run and short-run dynamics. The quantitative findings indicate that renewable energy exerts a strong positive influence on green economic growth, with long-run and short-run coefficients of 0.318 and 0.142 (both significant at the 1% level). Environmental technology also shows a positive and significant impact, with coefficients of 0.274 in the long run (1% level) and 0.105 in the short run (10% level). FDI contributes positively to green growth, as reflected in the long-run and short-run coefficients of 0.186 (at the 1% level) and 0.083 (at the 10% level). In contrast, globalization exhibits a weak and slightly negative long-run effect, with a coefficient of –0.097 (significant at the 10% level). The significant negative error-correction term confirms a stable long-run adjustment process. These findings imply that renewable energy expansion, technological innovation, and environmentally responsible FDI are crucial pillars of South Africa’s sustainable growth strategy. Based on these results, the study recommends intensifying efforts to promote renewable energy investment, strengthen research and development in environmental technologies, and attract green-oriented FDI through clear regulatory incentives. In addition, trade and globalization policies should be redesigned to ensure ecological balance and compliance with sustainability standards. Overall, the study offers practical policy insights to support South Africa’s transition toward a low-carbon, resilient economy. Full article
(This article belongs to the Special Issue Renewable Energy Technologies and Sustainable Economy)
Show Figures

Figure 1

17 pages, 725 KB  
Article
Trade Openness and the Energy–Carbon Nexus: Policy Implications for Emerging and Advanced Economies
by Omer Faruk Derindag and Salem Hamad Aldawsari
Sustainability 2025, 17(23), 10762; https://doi.org/10.3390/su172310762 - 1 Dec 2025
Viewed by 264
Abstract
This study explores the intricate relationship between trade openness, energy intensity, technological innovation, and carbon emissions across emerging and advanced economies, emphasizing their implications for sustainable development. Using balanced panel data, the analysis employs the Method of Moments Quantile Regression (MMQR) and Dumitrescu–Hurlin [...] Read more.
This study explores the intricate relationship between trade openness, energy intensity, technological innovation, and carbon emissions across emerging and advanced economies, emphasizing their implications for sustainable development. Using balanced panel data, the analysis employs the Method of Moments Quantile Regression (MMQR) and Dumitrescu–Hurlin panel causality approaches to capture heterogeneous effects across varying emission levels. The results reveal that trade openness plays a pivotal role in mitigating carbon emissions by facilitating access to cleaner technologies and promoting energy-efficient production processes. Conversely, energy intensity demonstrates a positive and significant association with carbon emissions, confirming the persistence of fossil fuel dependence in energy structures. Technological innovation exhibits asymmetric effects—reducing emissions in emerging economies while marginally increasing them in advanced economies due to rebound effects associated with industrial expansion. The causality analysis highlights bidirectional linkages among trade openness, energy intensity, and emissions, suggesting that economic and environmental dynamics are mutually reinforcing. These findings imply that both emerging and advanced economies must design integrated policies that align trade liberalization with energy transition strategies and innovation-driven decarbonization. The study contributes novel insights into the energy–carbon nexus by distinguishing the heterogeneous impacts of trade and innovation across different development stages, thereby offering actionable recommendations for achieving global low-carbon growth. Full article
Show Figures

Figure 1

28 pages, 1000 KB  
Article
Points of Entry for Enhancing Policymakers’ Capacity to Develop Green Economy Agenda-Setting
by Mahawan Karuniasa and Thoriqi Firdaus
Sustainability 2025, 17(23), 10727; https://doi.org/10.3390/su172310727 - 30 Nov 2025
Viewed by 271
Abstract
Indonesia has articulated ambitious green economy objectives through frameworks such as the Low Carbon Development Initiative (LCDI). Despite this ambition, a critical research gap exists. The weak ‘green political capabilities’ of policymakers—defined as their ability to navigate political processes, build coalitions, and translate [...] Read more.
Indonesia has articulated ambitious green economy objectives through frameworks such as the Low Carbon Development Initiative (LCDI). Despite this ambition, a critical research gap exists. The weak ‘green political capabilities’ of policymakers—defined as their ability to navigate political processes, build coalitions, and translate technical knowledge into viable policy—hinder effective agenda-setting and implementation. This study addresses this deficit by identifying strategic points of entry for enhancing these capabilities to strengthen a more sustainable economic transition. Employing a mixed-methods approach guided by the UNDP Capacity Assessment Framework, this research gathered data from 170 stakeholders via workshops, focus group discussions, and surveys. The analysis identifies four principal entry points: (1) internal institutional development, (2) accreditation processes, (3) bureaucratic reform, and (4) external partnerships. Critically, ordinal regression reveals which actors most significantly influence capacity development priorities. Governmental/legislative institutions (Estimate = 1.855, p < 0.010) and the private sector (Estimate = 3.173, p < 0.020) exert a significant positive influence on advancing the green economy agenda. Conversely, competencies such as policy strengthening exhibit a significant negative correlation (Estimate = −3.467, p < 0.000), which indicates a concentration of need among institutions with substantial capacity gaps. The study’s key contribution is a framework for systematically integrating green competencies into national accreditation standards and bureaucratic reforms, providing a clear pathway to transform entry points into effective levers for enhancing the state’s green political capabilities. Full article
Show Figures

Figure 1

28 pages, 1137 KB  
Article
Agriculture, Regulation, and Sectoral Dynamics in the Carbon Transition: Evidence from an Integrated Environmental Kuznets Framework
by Eleni Zafeiriou, Xanthi Partalidou, Spyridon Sofios and Garyfallos Arabatzis
Sustainability 2025, 17(23), 10694; https://doi.org/10.3390/su172310694 - 28 Nov 2025
Viewed by 218
Abstract
This study extends the Environmental Kuznets Curve (EKC) framework to analyze the growth–emissions nexus in twelve post-socialist European countries by integrating agricultural development, regulatory quality, renewable energy, and transport dynamics. Employing advanced panel econometric techniques—FMOLS, DOLS, and PARDL—and treating regulatory quality (REGURAQUAL) as [...] Read more.
This study extends the Environmental Kuznets Curve (EKC) framework to analyze the growth–emissions nexus in twelve post-socialist European countries by integrating agricultural development, regulatory quality, renewable energy, and transport dynamics. Employing advanced panel econometric techniques—FMOLS, DOLS, and PARDL—and treating regulatory quality (REGURAQUAL) as an exogenous determinant, the analysis identifies the structural and institutional factors shaping carbon intensity (CI). The results indicate that regulatory quality, transport efficiency, and long-run emissions trajectories significantly reduce carbon intensity, while the independent contribution of renewable energy is comparatively weaker. Agricultural productivity exhibits a nonlinear relationship with emissions, validating the EKC hypothesis: emissions increase during early growth but decline beyond a threshold as modernization and climate-smart practices enhance efficiency. The study’s scientific value lies in its integrated approach, combining economic, institutional, and sectoral dimensions to explain long-run decarbonization in transitional economies. By focusing on post-socialist Europe, it advances EKC research beyond income-based models and underscores the importance of governance and structural transformation. Limitations include data coverage and cross-country heterogeneity, suggesting future work should adopt spatial and nonlinear frameworks and include adaptation and resilience metrics. Overall, robust governance and technological innovation can guide post-socialist economies toward sustainable, low-carbon growth. Full article
Show Figures

Figure 1

30 pages, 11597 KB  
Article
Exploring the Decoupling of Carbon Emissions and Economic Growth and Its Influencing Factors: A Comparative Study of the EU and BRICS Countries
by Qingyuan Xie, Shaobo Guo and Fuguo Cao
Sustainability 2025, 17(23), 10637; https://doi.org/10.3390/su172310637 - 27 Nov 2025
Viewed by 579
Abstract
Achieving decoupling between economic growth and carbon emissions is imperative for global sustainable development. This study provides a comparative analysis of this decoupling process in the European Union (EU) and BRICS countries from 1996 to 2023, employing the Tapio decoupling model and Logarithmic [...] Read more.
Achieving decoupling between economic growth and carbon emissions is imperative for global sustainable development. This study provides a comparative analysis of this decoupling process in the European Union (EU) and BRICS countries from 1996 to 2023, employing the Tapio decoupling model and Logarithmic Mean Divisia Index (LMDI) decomposition analysis. Our findings reveal a stark contrast: the EU has achieved an average annual carbon emission growth rate of −1%, predominantly characterized by strong decoupling, whereas the BRICS nations exhibit an average growth rate of 6.26%, mainly in a state of weak decoupling. The LMDI results indicate that the intensity effect is the primary driver of carbon reduction in the EU, while the income effect is the most significant factor promoting emissions growth in the BRICS bloc. A novel finding is the identification of a near-symmetrical relationship between the energy transition effect and the fossil energy structure effect in the cumulative decomposition charts, offering a new perspective for evaluating energy system changes. The study concludes that while the EU demonstrates a more advanced decoupling pathway, significant internal disparities persist. For BRICS countries, mitigating the pressure from economic and population growth through industrial upgrading, differentiated energy policies, and enhanced renewable infrastructure is crucial. These insights provide valuable policy implications for both developed and developing economies in navigating their low-carbon transitions. Full article
(This article belongs to the Section Energy Sustainability)
Show Figures

Figure 1

24 pages, 3157 KB  
Article
Has the Digital Economy Facilitated Regional Collaborative Carbon Reduction? A Complex Network Approach Toward Sustainable Development Goals
by Yuzhu Chen, Peipei Ding, Yuyang Lu and Tingting Liu
Sustainability 2025, 17(23), 10622; https://doi.org/10.3390/su172310622 - 26 Nov 2025
Viewed by 352
Abstract
The digital economy (DE) serves as a crucial engine for breaking through technological stagnation at the low end and achieving carbon neutrality. However, existing studies predominantly explore the impact of the DE on local carbon reduction based on “attribute data”, with less focus [...] Read more.
The digital economy (DE) serves as a crucial engine for breaking through technological stagnation at the low end and achieving carbon neutrality. However, existing studies predominantly explore the impact of the DE on local carbon reduction based on “attribute data”, with less focus on regional carbon collaborative reduction. This study employs a directed-weighted complex network analysis, using provincial panel data from China spanning 2012 to 2022, to characterize the evolutionary features of China’s Inter-regional Collaborative Carbon Reduction Governance Network (ICCGN). Using the Exponential Random Graph Model (ERGM) as an empirical test, the study explores how the DE facilitates collaborative carbon reduction. The results indicate the following: (1) The ICCGN demonstrates transitive triadic linkages, accompanied by increasingly blurred governance boundaries. The Eastern coastal areas have the highest network centrality, and the network core areas, including Guangdong, Chongqing, Gansu, and Qinghai, are gradually expanding, leading to further weakening of governance boundaries. The network’s spatial clustering structure presents four distinct blocks, with network spillover relationships concentrated in the first, third, and fourth blocks. The Eastern coastal areas play a “hub” role in undertaking carbon collaborative reduction, radiating and driving the central and western provinces. (2) From the perspective of the induced effect, the DE enables carbon collaborative reduction, exhibiting isotropic characteristics. (3) Heterogeneity tests show that regions with well-developed digital infrastructure and those with free trade zone constructions promote better effects, with a positive feedback effect in network status: betweenness centrality > degree centrality > closeness centrality. (4) Regarding the enabling mechanism, the DE drives carbon collaborative governance by enhancing technological innovation, promoting industrial structure upgrades, nurturing scientific talents, and reducing educational disparities. Full article
Show Figures

Figure 1

29 pages, 4439 KB  
Article
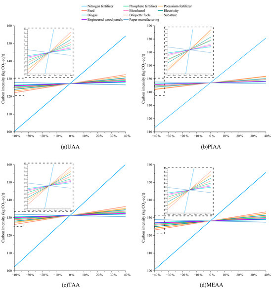
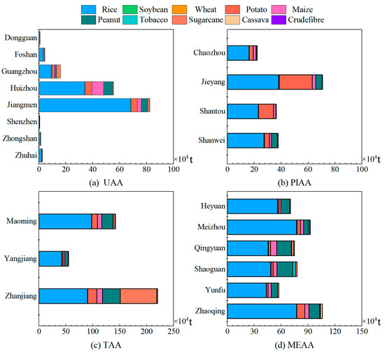
Carbon Reduction from Five Utilization Pathways of Straw in China: A Case Study of Guangdong Province
by Leixin Zhang, Liye Wang, Wenxian Hu and Xudong Sun
Sustainability 2025, 17(23), 10601; https://doi.org/10.3390/su172310601 - 26 Nov 2025
Viewed by 326
Abstract
In the context of global climate change and the transition to a low-carbon economy, utilizing crop straw as a resource is a key strategy for green transformation. Taking Guangdong province as a case, this study investigates the carbon reduction effects of integrated straw [...] Read more.
In the context of global climate change and the transition to a low-carbon economy, utilizing crop straw as a resource is a key strategy for green transformation. Taking Guangdong province as a case, this study investigates the carbon reduction effects of integrated straw utilization and their spatiotemporal evolution, based on crop yield data from 2019 to 2023 across various municipalities. Different from one-way straw utilization for carbon reduction, this work analyzes the carbon reduction effects of five co-existing pathways to utilize straw as fertilizer, feed, energy, substrate, and raw material. The Theil index, slope value, and exploratory spatial data analysis (ESDA) method are employed to form an analytical framework for the spatiotemporal evolution of carbon reductions by straw utilization. Over this five-year period, the overall and off-field straw utilization steadily increased, and a 6.2% increase in straw utilization was achieved to realize a 19.8% rise in carbon reduction. In 2023, the carbon reduction from straw utilization was chiefly contributed by fertilization, subsequently followed by feed, energy, substrate, and raw material. Over 90% of the carbon reduction contributions came from four major crops, namely rice, peanuts, sugarcane, and potatoes. Carbon reduction across different areas in Guangdong showed positive spatial correlation, with high–high (HH) and low–low (LL) clusters being the primary local autocorrelation patterns. Model applications confirm that incentive policies and industrial development largely facilitate the integrated straw utilization in Guangdong. However, further increases in straw utilization will not necessarily ensure proportional carbon reduction. The regional heterogeneity and coordinated clustering development should be considered to strengthen carbon-reduction intensity. In particular, policies should be tailored to crop straw recovery and utilization, inter-regional straw allocation, and preferentially support straw utilization for energy and as a substrate. Full article
(This article belongs to the Special Issue Sustainable Biomass Utilization for Renewable Energy)
Show Figures

Figure 1

33 pages, 786 KB  
Article
Digital–Physical Integration and Carbon Productivity: An Empirical Assessment from China
by Rui Shen, Yeqiang Geng, Xiaoqin Gong and Wei Guo
Sustainability 2025, 17(23), 10598; https://doi.org/10.3390/su172310598 - 26 Nov 2025
Viewed by 471
Abstract
The integration of digital technologies with the physical economy has emerged as a crucial driver of sustainable and high-quality development. Drawing on a patent co-classification framework, this study constructs a provincial-level indicator of digital–real integration in China to evaluate its influence on carbon [...] Read more.
The integration of digital technologies with the physical economy has emerged as a crucial driver of sustainable and high-quality development. Drawing on a patent co-classification framework, this study constructs a provincial-level indicator of digital–real integration in China to evaluate its influence on carbon productivity and the underlying mechanisms. The empirical findings show that digital–real integration exerts a clear and statistically significant positive impact on carbon productivity. Moreover, the improvement in carbon productivity occurs mainly through three channels: green technological innovation, adjustments in industrial structure toward upgrading, and enhancements in resource allocation efficiency. Industrial upgrading is reflected in the gradual shift toward more advanced and low-carbon industrial configurations, whereas the allocation channel captures the coordinated optimization of traditional and emerging production factors. Regarding the nonlinearity, a threshold pattern is identified between digital–real integration and carbon productivity, shaped by the degree of biased technological progress. When the technological bias remains low, the productivity gains are modest; once the bias surpasses a certain critical level, the positive effect of integration intensifies substantially. The magnitude of this threshold effect also varies by bias type, with capital-biased technological progress producing the strongest influence. Overall, the results provide theoretical and policy implications for advancing digital–real integration and supporting a green and low-carbon transition. Full article
Show Figures

Figure 1

37 pages, 3618 KB  
Article
A Global Review of Blue and Green Hydrogen Fuel Production Technologies, Trends and Future Outlook to 2050
by Muhammad Ammar, Babatunde Oyeleke Oyewale, Ahmed Elseragy, Ibrahim M. Albayati and Aliyu M. Aliyu
Fuels 2025, 6(4), 88; https://doi.org/10.3390/fuels6040088 - 26 Nov 2025
Viewed by 1252
Abstract
Hydrogen is emerging as a key energy carrier in the transition to a low-carbon economy. This study reviews blue and green hydrogen, analysing their production technologies, environmental impacts, economic viability and global deployment trends. Blue hydrogen, derived from natural gas, coal or biomass [...] Read more.
Hydrogen is emerging as a key energy carrier in the transition to a low-carbon economy. This study reviews blue and green hydrogen, analysing their production technologies, environmental impacts, economic viability and global deployment trends. Blue hydrogen, derived from natural gas, coal or biomass with carbon capture, utilisation and storage, offers a transitional pathway by reducing emissions relative to unabated fossil routes, but its benefits depend on high CO2 capture efficiencies and strict methane leakage control. Green hydrogen, produced via renewable-powered electrolysis and advanced thermochemical, photochemical and photoelectrochemical methods, represents the most sustainable long-term solution, though it is currently limited by cost and scale. This comparative assessment shows that green hydrogen’s production emissions, in the range of 0.67 kgCO-eq/kgH to 1.74 kgCO2-eq/kgH2, are substantially lower than those of blue hydrogen, in the range of 1.21 kgCO2-eq/kgH2 to 4.56 kgCO2-eq/kgH2, reinforcing its alignment with climate neutrality goals. Global production remains below 1% from low-emission sources, yet momentum is growing, with renewable-rich regions investing in large-scale electrolysers. A long short-term memory forecast suggests that blue hydrogen will dominate in the short term, but green hydrogen will surpass it around 2042. Together, both pathways are essential, blue hydrogen as a bridging option and green hydrogen as the foundation of a sustainable hydrogen economy. Full article
Show Figures

Figure 1

Back to TopTop