Sign in to use this feature.

Years

Between: -

Subjects

remove_circle_outline
remove_circle_outline
remove_circle_outline
remove_circle_outline
remove_circle_outline
remove_circle_outline
remove_circle_outline
remove_circle_outline
remove_circle_outline

Journals

remove_circle_outline
remove_circle_outline
remove_circle_outline
remove_circle_outline
remove_circle_outline
remove_circle_outline
remove_circle_outline
remove_circle_outline
remove_circle_outline
remove_circle_outline
remove_circle_outline
remove_circle_outline
remove_circle_outline
remove_circle_outline
remove_circle_outline

Article Types

Countries / Regions

remove_circle_outline
remove_circle_outline
remove_circle_outline
remove_circle_outline
remove_circle_outline
remove_circle_outline

Search Results (3,710)

Search Parameters:
Keywords = tissue expression profiles

Order results
Result details
Results per page
Select all
Export citation of selected articles as:
11 pages, 2172 KB  
Communication
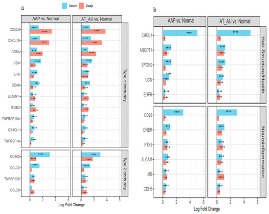
Integrated Meta-Analysis of Scalp Transcriptomics and Serum Proteomics Defines Alopecia Areata Subtypes and Core Disease Pathways
by Li Xi, Elena Peeva, Yuji Yamaguchi, Zhan Ye, Craig L. Hyde and Emma Guttman-Yassky
Int. J. Mol. Sci. 2025, 26(19), 9662; https://doi.org/10.3390/ijms26199662 - 3 Oct 2025
Abstract
Alopecia areata (AA) is a chronic autoimmune disorder characterized by non-scarring hair loss, with subtypes ranging from patchy alopecia (AAP) to alopecia totalis and universalis (AT/AU). The aim of this research is to investigate molecular features across AA severity by performing an integrated [...] Read more.
Alopecia areata (AA) is a chronic autoimmune disorder characterized by non-scarring hair loss, with subtypes ranging from patchy alopecia (AAP) to alopecia totalis and universalis (AT/AU). The aim of this research is to investigate molecular features across AA severity by performing an integrated analysis of scalp transcriptomic datasets (GSE148346, GSE68801, GSE45512, GSE111061) and matched serum proteomic data from GSE148346. Differential expression analysis indicated that, relative to normal scalp, non-lesional AA tissue shows early immune activation—including Type 1 (C-X-C motif chemokine ligand 9 (CXCL9), CXCL10, CD8a molecule (CD8A), C-C motif chemokine ligand 5 (CCL5)) and Type 2 (CCL13, CCL18) signatures—together with reduced expression of hair-follicle structural genes (keratin 32(KRT32)–35, homeobox C13 (HOXC13)) (FDR < 0.05, |fold change| > 1.5). Lesional AAP and AT/AU scalp showed stronger pro-inflammatory upregulation and greater loss of keratins and keratin-associated proteins (KRT81, KRT83, desmoglein 4 (DSG4), KRTAP12/15) compared with non-lesional scalp (FDR < 0.05, |fold change| > 1.5). Ferroptosis-associated genes (cAMP responsive element binding protein 5 (CREB5), solute carrier family 40 member 1 (SLC40A1), (lipocalin 2) LCN2, SLC7A11) and IRS (inner root sheath) differentiation genes (KRT25, KRT27, KRT28, KRT71–KRT75, KRT81, KRT83, KRT85–86, trichohyalin (TCHH)) were consistently repressed across subtypes, with the strongest reductions in AT/AU lesions versus AAP lesions, suggesting that oxidative-stress pathways and follicular structural integrity may contribute to subtype-specific pathology. Pathway analysis of lesional versus non-lesional scalp highlighted enrichment of IFN-α/γ, cytotoxic, and IL-15 signaling. Serum proteomic profiling, contrasting AA vs. healthy controls, corroborated scalp findings, revealing parallel alterations in immune-related proteins (CXCL9–CXCL10, CD163, interleukin-16 (IL16)) and structural markers (angiopoietin 1 (ANGPT1), decorin (DCN), chitinase-3-like protein 1 (CHI3L1)) across AA subtypes. Together, these data offer an integrated view of immune, oxidative, and structural changes in AA and found ferroptosis-related and IRS genes, along with immune signatures, as potential molecular indicators to support future studies on disease subtypes and therapeutic strategies. Full article
(This article belongs to the Section Molecular Immunology)
Show Figures

Figure 1

18 pages, 3623 KB  
Article
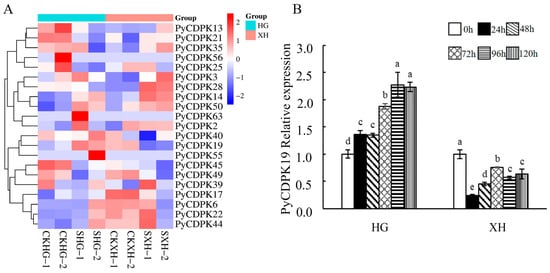
Identification of the CDPK Pan-Genomic Family in Pear (Pyrus spp.) and Analysis of Its Response to Venturia nashicola
by Xing Hu, Yixuan Lian, Zhaoyun Yang, Tong Li, Yuqin Song and Liulin Li
Horticulturae 2025, 11(10), 1181; https://doi.org/10.3390/horticulturae11101181 - 2 Oct 2025
Abstract
This study investigated the phylogenetic relationships in the pear calcium-dependent protein kinase (CDPK) pan-gene family and elucidated its role in the resistance to scab disease caused by Venturia nashicola. By integrating data from eight genomic sets from five cultivated pear species, Pyrus [...] Read more.
This study investigated the phylogenetic relationships in the pear calcium-dependent protein kinase (CDPK) pan-gene family and elucidated its role in the resistance to scab disease caused by Venturia nashicola. By integrating data from eight genomic sets from five cultivated pear species, Pyrus bretschneideri, P. ussuriensis, P. sinkiangensis, P pyrifolia, and P. communis, along with P. betulifolia and interspecific hybrids, 63 PyCDPK family members were identified. Among these, P. communis possessed the highest number of CDPK genes, whereas P. bretschneiderilia had the fewest. These genes encode proteins ranging from 459 to 810 amino acids in length, and are predominantly localized to the cell membrane. Six genes, PyCDPK9, PyCDPK11, PyCDPK12, PyCDPK14, PyCDPK16, and PyCDPK19, were classified as core members of the pan-genome, and PyCDPK19 showed evidence of positive selection pressure. Clustering analysis and transcriptomic expression profiling of disease-resistance-related CDPKs identified PyCDPK19 as a key candidate associated with scab resistance. Promoter analysis revealed that the regulatory region of PyCDPK19 contains multiple cis-acting elements involved in defense responses and methyl jasmonate signaling. Transient overexpression of PyCDPK19 in tobacco leaves induced hypersensitive cell necrosis, accompanied by significant increases in hydrogen peroxide (H2O2) accumulation and malondialdehyde (MDA) content. Similarly, overexpression in pear fruit callus tissue followed by pathogen inoculation resulted in elevated levels of both H2O2 and MDA. Collectively, these findings indicate that PyCDPK19 mediates defense responses through the activation of the reactive oxygen species pathway in both tobacco and pear plants, providing a promising genetic target for enhancing scab resistance in pears. Full article
(This article belongs to the Section Genetics, Genomics, Breeding, and Biotechnology (G2B2))
Show Figures

Figure 1

16 pages, 6686 KB  
Article
Integrated Spatial and Single-Cell Transcriptomics Reveals Poor Prognostic Ligand–Receptor Pairs in Glioblastoma
by Makoto Yoshimoto, Kengo Sugihara, Kazuya Tokumura, Shohei Tsuji and Eiichi Hinoi
Cells 2025, 14(19), 1540; https://doi.org/10.3390/cells14191540 - 1 Oct 2025
Abstract
Glioblastoma (GBM) is an aggressive and lethal malignant brain tumor. Cell–cell interactions (CCIs) in the tumor microenvironment, mediated by ligand–receptor (LR) pairs, are known to contribute to its poor prognosis. However, the prognostic influence of CCIs on patients with GBM and the spatial [...] Read more.
Glioblastoma (GBM) is an aggressive and lethal malignant brain tumor. Cell–cell interactions (CCIs) in the tumor microenvironment, mediated by ligand–receptor (LR) pairs, are known to contribute to its poor prognosis. However, the prognostic influence of CCIs on patients with GBM and the spatial expression profiles of such LR pairs within tumor tissues remain incompletely understood. This study aimed to identify prognostic LR pairs in GBM and their intratumoral localization via multitranscriptomic analysis. The CCIs among GBM cells as well as between GBM and niche cells were comprehensively evaluated using 40,958 cells in single-cell RNA sequencing datasets. They were found to form intercellular networks in GBM by specific LR pairs, which were mainly implicated in extracellular matrix (ECM)-related biological processes. Survival analysis revealed that 13 LR pairs related to ECM biological processes contributed to poor prognosis (p < 0.05, and 95% confidence intervals > 1). Notably, our spatial transcriptomic analysis using three independent GBM cohorts revealed that the identified poor prognostic LR pairs were localized in specific regions within GBM tissues. Although the clinical importance of these LR pairs requires further investigation, our findings suggest potential therapeutic targets for GBM. Full article
Show Figures

Graphical abstract

12 pages, 4088 KB  
Article
AGXT-Driven Bile Acid Dysregulation Triggers Viral Gout in Astrovirus-Infected Jiangnan White Geese
by Suyu Fan, Xuming Hu, Wenxian Chai, Xiaoyu Shan, Yingjie Gu, Huangjun Shen, Guangzhong Peng, Wenming Zhao, Guohong Chen and Qi Xu
Vet. Sci. 2025, 12(10), 951; https://doi.org/10.3390/vetsci12100951 - 1 Oct 2025
Abstract
Goose astrovirus (GAstV) infection has emerged as a prevalent cause of urate deposition and viral gout in major goose farming across China, leading to high mortality and substantial economic losses. However, the molecular mechanisms linking GAstV to gout pathogenesis remain elusive. Here, a [...] Read more.
Goose astrovirus (GAstV) infection has emerged as a prevalent cause of urate deposition and viral gout in major goose farming across China, leading to high mortality and substantial economic losses. However, the molecular mechanisms linking GAstV to gout pathogenesis remain elusive. Here, a total of 10 five-day-old Jiangnan white goslings were selected, and tissue damage and kidney gene expression profiles were investigated. The results showed multi-organ damage in GAstV-infected gosling, including kidney, liver, spleen, and lung. Also, 342 differentially expressed genes were identified in infected kidney tissues after 10 days post-infection using transcriptomic sequencing, including 185 upregulated and 157 downregulated genes. In addition, gene set enrichment analysis revealed significant positive correlations between GAstV infection and bile acid metabolism and fatty acid metabolism pathways. Notably, bile acid metabolism was implicated in uric acid regulation and gout progression. Protein–protein interaction network analysis identified AGXT as a central hub gene within the bile acid metabolic pathway, with key upregulated interactors including PIPOX, ALDH1A1, and CAT. AGXT, a critical enzyme in glyoxylate detoxification, directly modulates uric acid biosynthesis. Our findings propose that GAstV-induced activation of bile acid metabolism, particularly AGXT upregulation, drives hyperuricemia and subsequent gout pathology. This study elucidates a novel mechanism of GAstV-associated metabolic dysregulation and provides actionable genetic targets for antiviral breeding strategies in waterfowl. Full article
Show Figures

Figure 1

14 pages, 1849 KB  
Article
Gene Expression Profile of Placenta and Adipose Tissue in Women with Gestational Diabetes Mellitus
by Renata Saucedo, Erika Magallón-Gayón, Rocio Alejandra Chavez-Santoscoy, Mary Flor Díaz-Velázquez, Aldo Ferreira-Hermosillo, Diana Ojeda-López, Wendy Porras-Marcial, Debbie López-Sánchez and Jorge Valencia-Ortega
Int. J. Mol. Sci. 2025, 26(19), 9595; https://doi.org/10.3390/ijms26199595 - 1 Oct 2025
Abstract
Placenta and visceral adipose tissue (VAT) are implicated in the development of gestational diabetes mellitus (GDM). In the present study, we examined the whole-transcriptomic profile of both tissues in GDM women to elucidate the molecular basis of GDM pathogenesis. The whole-transcriptome profile was [...] Read more.
Placenta and visceral adipose tissue (VAT) are implicated in the development of gestational diabetes mellitus (GDM). In the present study, we examined the whole-transcriptomic profile of both tissues in GDM women to elucidate the molecular basis of GDM pathogenesis. The whole-transcriptome profile was analyzed in placenta and VAT from at-term patients with GDM and controls using RNA-seq. qPCR was used to validate several differentially expressed genes (DEGs). A total of 179 DEGs were observed in the placenta and 4 in VAT, including both up- and downregulated genes. The expression of the selected mRNAs for validation was consistent with the sequencing results. An analysis of the placental upregulated DEGs in the GDM women showed enrichment in functions including the G-protein-coupled receptor signaling pathway, organophosphate biosynthetic process, and phospholipid metabolic process, while the downregulated DEGs were enriched in cell motility and the cell migration process. The target pathways of DEGs in VAT are related to cancer and to the activation of the complement cascade. Molecular pathways involved in G-protein-coupled receptor signaling, the organophosphate biosynthetic process, the phospholipid metabolic process, and cell motility and cell migration are altered in the placentas of GDM women. Moreover, a disordered complement cascade might take place in the VAT of GDM women. Full article
(This article belongs to the Special Issue Advanced Molecular Research on Pregnancy Complication Mechanisms)
Show Figures

Figure 1

24 pages, 4725 KB  
Article
Multi-Omics Alterations in Rat Kidneys upon Chronic Glyphosate Exposure
by Favour Chukwubueze, Cristian D. Guiterrez Reyes, Jesús Chávez-Reyes, Joy Solomon, Vishal Sandilya, Sarah Sahioun, Bruno A. Marichal-Cancino and Yehia Mechref
Biomolecules 2025, 15(10), 1399; https://doi.org/10.3390/biom15101399 - 1 Oct 2025
Abstract
Clinical studies have linked glyphosate exposure to substantial morbidity, with acute kidney injury occurring in some cases. Although the toxic effects of glyphosate-based herbicides (GBHs) have been reported in several studies, their molecular impact on renal function remains poorly understood. Given the kidney’s [...] Read more.
Clinical studies have linked glyphosate exposure to substantial morbidity, with acute kidney injury occurring in some cases. Although the toxic effects of glyphosate-based herbicides (GBHs) have been reported in several studies, their molecular impact on renal function remains poorly understood. Given the kidney’s critical role in excretion, it is particularly susceptible to damage from xenobiotic exposure. In this study, we aim to identify N-glycomics and proteomics change in the kidney following chronic GBH exposure, to better understand the mechanisms behind glyphosate-induced kidney damage. Kidney tissues from female and male rats were analyzed using liquid chromatography–tandem mass spectrometry. The results revealed notable changes in the N-glycan composition, particularly in the fucosylated and sialofucosylated N-glycan types. The proteomic analysis revealed the activation of immune signaling and inflammatory pathways, including neutrophil degranulation, integrin signaling, and MHC class I antigen presentation. Transcription regulators, such as IL-6, STAT3, and NFE2L2, were upregulated, indicating a coordinated inflammatory and oxidative stress response. Sex-specific differences were apparent, with female rats exhibiting more pronounced alterations in both the N-glycan and protein expression profiles, suggesting a higher susceptibility to GBH-induced nephrotoxicity. These findings provide new evidence that chronic GBH exposure may trigger immune activation, inflammation, and potentially carcinogenic processes in the kidney. Full article
(This article belongs to the Section Molecular Biology)
Show Figures

Figure 1

12 pages, 4480 KB  
Article
Transcriptomic Insights into Anthocyanin Biosynthesis in Aronia melanocarpa Callus Under Different Light Conditions
by Mingjun Hou, Bingrui Wang, Chang An, Yulai Wu, Mohammad Gul Arabzai, Xiaopeng Fan, Changbing Liu and Zongshen Zhang
Int. J. Mol. Sci. 2025, 26(19), 9588; https://doi.org/10.3390/ijms26199588 - 1 Oct 2025
Abstract
Aronia melanocarpa is rich in anthocyanins, compounds with significant medicinal and industrial value, making it an attractive species for enhanced production. Compared with fruits or intact plants, callus tissue offers a uniform, controllable in vitro system that is particularly suitable for dissecting regulatory [...] Read more.
Aronia melanocarpa is rich in anthocyanins, compounds with significant medicinal and industrial value, making it an attractive species for enhanced production. Compared with fruits or intact plants, callus tissue offers a uniform, controllable in vitro system that is particularly suitable for dissecting regulatory mechanisms under defined environmental conditions. Although light quality is known to influence anthocyanin biosynthesis, its specific regulatory mechanisms in A. melanocarpa remain unclear. In this study, callus tissues were cultured under six light regimes: full-spectrum LED, blue:red (5:1), red:blue (5:1), red:blue:white (1:1:1), red:white (5:1), and pure blue light. Anthocyanin content was quantified using the pH differential method, and the results showed that the blue:red (5:1) treatment produced the highest accumulation, reaching 14.06 mg/100 g. Transcriptome sequencing was then performed to compare the gene expression profiles between calli cultured under blue:red (5:1) light and those maintained in darkness. A total of 10,547 differentially expressed genes (DEGs) were identified, including 6134 upregulated and 4413 downregulated genes. Functional enrichment analysis indicated that these DEGs were mainly involved in anthocyanin biosynthesis and transport. Importantly, key structural genes such as PAL, C4H, 4CL, CHS, ANS, UFGT, and GST were significantly upregulated under blue:red (5:1) light, as further validated by qRT-PCR. Overall, our findings demonstrate that a blue:red (5:1) light ratio enhances anthocyanin accumulation by promoting the expression of biosynthetic and transport-related genes. This study not only provides new transcriptomic insights into the light-mediated regulation of secondary metabolism in A. melanocarpa callus, but also establishes a foundation for optimizing in vitro culture systems for sustainable anthocyanin production. Full article
(This article belongs to the Section Molecular Genetics and Genomics)
Show Figures

Figure 1

24 pages, 1118 KB  
Article
SPP1 as a Potential Stage-Specific Marker of Colorectal Cancer
by Eva Turyova, Peter Mikolajcik, Michal Kalman, Dusan Loderer, Miroslav Slezak, Maria Skerenova, Emile Johnston, Tatiana Burjanivova, Juraj Miklusica, Jan Strnadel and Zora Lasabova
Cancers 2025, 17(19), 3200; https://doi.org/10.3390/cancers17193200 - 30 Sep 2025
Abstract
Background: Colorectal cancer is the third most diagnosed cancer and a leading cause of cancer-related deaths worldwide. Early detection significantly improves patient outcomes, yet many cases are identified only at late stages. The high molecular and genetic heterogeneity of colorectal cancer presents major [...] Read more.
Background: Colorectal cancer is the third most diagnosed cancer and a leading cause of cancer-related deaths worldwide. Early detection significantly improves patient outcomes, yet many cases are identified only at late stages. The high molecular and genetic heterogeneity of colorectal cancer presents major challenges in accurate diagnosis, prognosis, and therapeutic stratification. Recent advances in gene expression profiling offer new opportunities to discover genes that play a role in colorectal cancer carcinogenesis and may contribute to early diagnosis, prognosis prediction, and the identification of novel therapeutic targets. Methods: This study involved 142 samples: 84 primary tumor samples, 27 liver metastases, and 31 adjacent non-tumor tissues serving as controls. RNA sequencing was performed on a subset of tissues (12 liver metastases and 3 adjacent non-tumor tissues) using a targeted RNA panel covering 395 cancer-related genes. Data processing and differential gene expression analysis were carried out using the DRAGEN RNA and DRAGEN Differential Expression tools. The expression of six genes involved in hypoxia and epithelial-to-mesenchymal transition (EMT) pathways (SLC16A3, ANXA2, P4HA1, SPP1, KRT19, and LGALS3) identified as significantly differentially expressed was validated across the whole cohort via quantitative real-time PCR. The relative expression levels were determined using the ΔΔct method and log2FC, and compared between different groups based on the sample type; clinical parameters; and mutational status of the genes KRAS, PIK3CA, APC, SMAD4, and TP53. Results: Our results suggest that the expression of all the validated genes is significantly altered in metastases compared to non-tumor control samples (p < 0.05). The most pronounced change occurred for the genes P4HA1 and SPP1, whose expression was significantly increased in metastases compared to non-tumor and primary tumor samples, as well as between clinical stages of CRC (p < 0.001). Furthermore, all genes, except for LGALS3, exhibited significantly altered expression between non-tumor samples and samples in stage I of the disease, suggesting that they play a role in the early stages of carcinogenesis (p < 0.05). Additionally, the results suggest the mutational status of the KRAS gene did not significantly affect the expression of any of the validated genes, indicating that these genes are not involved in the carcinogenesis of KRAS-mutated CRC. Conclusions: Based on our results, the genes P4HA1 and SPP1 appear to play a role in the progression and metastasis of colorectal cancer and are candidate genes for further investigation as potential biomarkers in CRC. Full article
(This article belongs to the Special Issue Colorectal Cancer Metastasis (Volume II))
18 pages, 9301 KB  
Article
The Cell of Origin Defines the Transcriptional Program of APC-Transformed Organoids
by Aleksandar B. Kirov, Veerle Lammers, Arezo Torang, Jan Koster and Jan Paul Medema
Organoids 2025, 4(4), 22; https://doi.org/10.3390/organoids4040022 - 30 Sep 2025
Abstract
In many cancers, tumorigenesis is determined in part by the cell type in the tissue that transforms, which has been called the cell of origin. In intestinal cancer, previous observations suggested that transformation can occur from both stem cells and more differentiated cells; [...] Read more.
In many cancers, tumorigenesis is determined in part by the cell type in the tissue that transforms, which has been called the cell of origin. In intestinal cancer, previous observations suggested that transformation can occur from both stem cells and more differentiated cells; in the latter case, this is provided that NF-kB is activated and apoptosis is blocked. However, whether these distinct transformation trajectories yield similar types of cancer remains unresolved. In this study the effect of APC loss within different cellular backgrounds was analyzed. Transformation of either stem-like cells or secretory-like cells, as defined by CD24 or c-KIT expression, by deleting the APC function in organoids in vitro, led to WNT-independent growth of organoids in both cellular populations. Importantly, transformed cultures derived from secretory-like cells had significantly distinct gene expression profiles as compared to the more stem cell-derived (CD44high cells) APC mutant cultures and in fact preserved a level of gene expression that relates back to their original cell lineage. Our data highlights the influence of different cellular backgrounds on the initiation of intestinal cancer and suggests that the cell of origin could be a defining factor in colorectal cancer heterogeneity. Full article
Show Figures

Figure 1

25 pages, 2161 KB  
Article
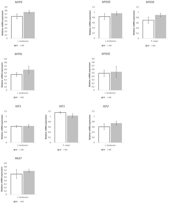
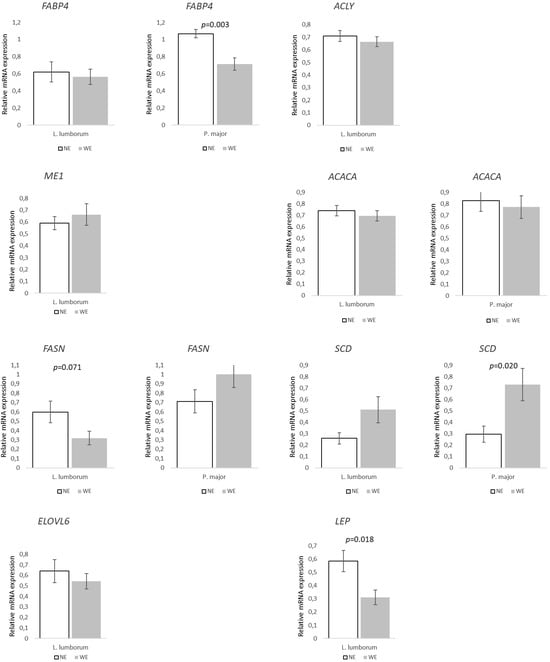
Long-Term Physical Activity Modulates Lipid Metabolism and Gene Expression in Muscle and Fat Tissues of Alentejano Pigs
by José Manuel Martins, André Albuquerque, David Silva, José A. Neves, Rui Charneca and Amadeu Freitas
Agriculture 2025, 15(19), 2047; https://doi.org/10.3390/agriculture15192047 - 29 Sep 2025
Abstract
This study examined the effect of long-term physical activity during the finishing period on meat and fat quality, and metabolic gene expression in obese Alentejano (AL) pigs. From 87.3 to 161.6 kg BW and for 130 days, eighteen pigs were assigned to either [...] Read more.
This study examined the effect of long-term physical activity during the finishing period on meat and fat quality, and metabolic gene expression in obese Alentejano (AL) pigs. From 87.3 to 161.6 kg BW and for 130 days, eighteen pigs were assigned to either individual pens without an exercise area (NE, n = 9) or an outdoor park with an exercise area (WE, n = 9). Both groups received identical commercial diets at 85% ad libitum intake. Loin (Longissimus lumborum—LL), tenderloin (Psoas major—PM), and dorsal subcutaneous fat samples were obtained at slaughter, and analyzed for fatty acid composition and gene expression. Physical activity modulated the fatty acid profile and key metabolic genes in muscle and fat tissues. WE pigs showed higher palmitoleic (p = 0.031) and linolenic (p = 0.022) acids in LL, while Fatty acid synthase and Leptin in LL were downregulated (p = 0.071 and p = 0.018, respectively); Fatty acid binding protein 4 was downregulated (p = 0.003) and Stearoyl-CoA desaturase upregulated (p = 0.020) in the PM of WE pigs, indicating changes in lipid metabolism. Also, Myosin heavy chain 7 was upregulated (p = 0.016) in LL, suggesting oxidative muscle remodeling. These findings suggest that moderate, long-term physical activity during finishing induces modest but favorable metabolic adaptations in muscle and fat tissues without compromising meat quality in AL pigs, supporting its use in traditional rearing systems aimed at balancing animal welfare and product quality in local breeds. Full article
(This article belongs to the Section Farm Animal Production)
Show Figures

Figure 1

22 pages, 3919 KB  
Article
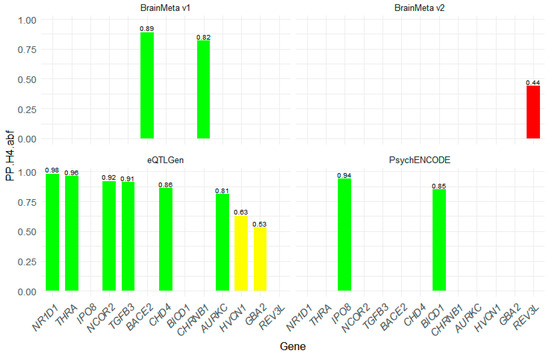
Precision Target Discovery for Migraine: An Integrated GWAS-eQTL-PheWAS Pipeline
by Xianting Liu, Qingming Liu, Haoning Zhu, Xiao Zhou, Xinyao Li, Ming Hu, Fu Peng, Jianguang Ji and Shu Yang
Molecules 2025, 30(19), 3921; https://doi.org/10.3390/molecules30193921 - 29 Sep 2025
Abstract
Migraine is a complex neurological disorder that severely compromises quality of life. Current therapies remain inadequate, creating an urgent need for precision medicine approaches. To bridge this gap, we integrated genome-wide association studies (GWASs) and multi-tissue expression quantitative trait loci (eQTL) data. Using [...] Read more.
Migraine is a complex neurological disorder that severely compromises quality of life. Current therapies remain inadequate, creating an urgent need for precision medicine approaches. To bridge this gap, we integrated genome-wide association studies (GWASs) and multi-tissue expression quantitative trait loci (eQTL) data. Using Mendelian randomization (SMR/HEIDI) to identify putatively causal genes, followed by colocalization analysis, protein–protein interaction networks, and gene enrichment, we prioritized druggable targets. Phenome-wide association studies (PheWASs) further assessed their potential safety profiles. We identified 31 migraine-associated genes in whole blood, 20 in brain tissue, and 9 genes shared by both whole blood and brain regions. Among 13 druggable genes identified from the DGIdb and supporting literature, 10 passed colocalization validation. Eight genes (TGFB3, CHRNB1, BACE2, THRA, NCOR2, NR1D1, CHD4, REV3L) showed interactions with known drug targets, enabling the computational prediction of 41 potential repurposable drugs. Based on target druggability, PPI (protein–protein interaction) and favorable PheWAS profiles, NR1D1, THRA, NCOR2, and CHD4 are prioritized for drug development. Additionally, MICU1, UFL1, LY6G5C, and PPP1CC emerged as novel pathophysiological factors. This study establishes a multi-omics framework for precision migraine therapy, translating genetic insights into clinically actionable targets. Full article
Show Figures

Figure 1

26 pages, 6743 KB  
Article
Matrix-Guided Vascular-like Cord Formation by MRC-5 Lung Fibroblasts: Evidence of Structural and Transcriptional Plasticity
by Nikoleta F. Theodoroula, Alexandros Giannopoulos-Dimitriou, Aikaterini Saiti, Aliki Papadimitriou-Tsantarliotou, Androulla N. Miliotou, Giannis Vatsellas, Yiannis Sarigiannis, Eleftheria Galatou, Christos Petrou, Dimitrios G. Fatouros and Ioannis S. Vizirianakis
Cells 2025, 14(19), 1519; https://doi.org/10.3390/cells14191519 - 29 Sep 2025
Abstract
The role of mesenchymal-to-endothelial transition in the angiogenic response remains controversial. In this study, we investigated whether human fetal lung fibroblasts (MRC-5 cells) exhibit morphological plasticity in a biomimetic extracellular matrix environment. To this end, MRC-5 cells were first cultured on and within [...] Read more.
The role of mesenchymal-to-endothelial transition in the angiogenic response remains controversial. In this study, we investigated whether human fetal lung fibroblasts (MRC-5 cells) exhibit morphological plasticity in a biomimetic extracellular matrix environment. To this end, MRC-5 cells were first cultured on and within Matrigel hydrogel and then studied with tube formation assays, confocal/fluorescence microscopy, invasion assays, and transcriptomic profiling. In addition, quantitative assessment for cord formation and gene expression was conducted via qPCR and RNA sequencing. In this study, MRC-5 cells quickly self-organized into cord-like networks, resembling early stages of vascular patterning, and at higher densities, invaded the hydrogel and formed spheroid-like aggregates. Transcriptomic analysis revealed upregulation of genes related to nervous system development and synaptic signaling in Matrigel-grown MRC-5 cultures. Collectively, these findings suggest that MRC-5 fibroblasts display structural and transcriptional plasticity in 3D Matrigel cultures, forming vascular-like cords that are more likely to resemble early developmental morphologies or neuroectodermal-like transcriptional signatures than definitive endothelial structures. This work underscores the potential of fibroblasts as an alternative cell source for vascular tissue engineering and highlights a strategy to overcome current limitations in autologous endothelial cell availability for regenerative applications. Full article
(This article belongs to the Collection Advances in Epithelial-Mesenchymal Transition (EMT))
Show Figures

Figure 1

17 pages, 2087 KB  
Article
Integrated Analysis of Carotenoid Metabolism, Lipid Profiles, and Gut Microbiota Reveals Associations Fundamental to Skin Pigmentation in Lingshan Chickens
by Shengting Deng, Weiguang Yang, Shengdi Hu, Long Li, Jianhua He and Guozhi Bian
Animals 2025, 15(19), 2832; https://doi.org/10.3390/ani15192832 - 28 Sep 2025
Abstract
Skin color is a crucial phenotypic trait in poultry that influences consumer preference, market value, and breed identification. However, the mechanisms underlying skin color variation in Lingshan chickens remain poorly understood. This study aimed to elucidate the physiological, metabolic, and microbial characteristics associated [...] Read more.
Skin color is a crucial phenotypic trait in poultry that influences consumer preference, market value, and breed identification. However, the mechanisms underlying skin color variation in Lingshan chickens remain poorly understood. This study aimed to elucidate the physiological, metabolic, and microbial characteristics associated with skin color differences in male Lingshan chickens. A total of 210 castrated male Lingshan chickens were categorized into white-shanked (WS), yellow-shanked (YS), and red-shanked (RS) groups based on the Roche color fan scores. The results showed that chickens in the YS and RS groups exhibited significantly higher body weights and pigmentation levels in the shank, breast, and abdominal skin compared to those in the WS group (p < 0.05). Serum concentrations of triglycerides (TG), total cholesterol (TC), high-density lipoprotein (HDL), low-density lipoprotein (LDL), and very-low-density lipoprotein (VLDL) were markedly elevated in RS chickens. Additionally, carotenoid profiles revealed higher deposition of lutein and β-carotene in the skin and adipose tissues of YS and RS birds. Gene expression analysis indicated differential regulation of carotenoid transport and metabolism-related genes among groups. Furthermore, 16S rRNA sequencing of cecal microbiota revealed significant compositional shifts in microbial communities associated with shank pigmentation. Collectively, these findings suggest that differences in shank color in Lingshan chickens are closely linked to lipid metabolism, carotenoid transport, and gut microbiota composition. This study provides novel insights into the biological mechanisms driving skin pigmentation, offering valuable implications for breeding and functional trait selection in indigenous chicken populations. Full article
Show Figures

Figure 1

19 pages, 8670 KB  
Article
Identification and Expression Analysis of CCCH Zinc Finger Proteins in Mulberry (Morus alba)
by Feng Chen, Jie Yu, Zhi-Hong Han and Yong-Jin Deng
Int. J. Mol. Sci. 2025, 26(19), 9490; https://doi.org/10.3390/ijms26199490 - 28 Sep 2025
Abstract
CCCH zinc finger proteins play critical roles in plant growth, development and stress responses. Here, 56 CCCH genes were identified in Morus alba. These genes displayed wide variation in coding sequence (456–6318 bp) and protein length (151–2105 aa), with most proteins predicted [...] Read more.
CCCH zinc finger proteins play critical roles in plant growth, development and stress responses. Here, 56 CCCH genes were identified in Morus alba. These genes displayed wide variation in coding sequence (456–6318 bp) and protein length (151–2105 aa), with most proteins predicted to localize in the nucleus and a few in chloroplasts, the endoplasmic reticulum or cytoplasm. Chromosomal mapping showed uneven distribution across 14 chromosomes, with tandem clusters on chromosomes 1, 6 and 13. Phylogenetic analysis classified 53 MaC3Hs into 13 subfamilies, while three genes remained ungrouped. Synteny analysis revealed four segmental duplication events, suggesting segmental duplication as the major expansion mechanism, under purifying selection. Comparative collinearity showed higher conservation with Arabidopsis thaliana than with rice or maize. Promoter analysis identified 22 cis-acting elements, mainly related to phytohormones, followed by abiotic stress and developmental regulation. Expression profiling under drought stress revealed differential expression across tissues, with MaC3H33 showing strong induction (>200-fold in stems on day 6). Subcellular localization confirmed MaC3H33 is nuclear, and yeast assays indicated no self-activation. These findings provide comprehensive insights into the MaC3H gene family and lay a foundation for functional studies related to drought tolerance in mulberry. Full article
(This article belongs to the Section Molecular Plant Sciences)
Show Figures

Figure 1

19 pages, 9036 KB  
Article
Genome-Wide Analysis of the HECT-Type E3 Ubiquitin Ligase Gene Family in Nicotiana benthamiana: Evidence Implicating NbHECT6 and NbHECT13 in the Response to Tomato Yellow Leaf Curl Virus Infection
by Jin Shen, Shasha Yu, Fang Ye, Yiming Zhang, Xue Wu, Mengxuan Shi, Gen Zhao, Yang Shen, Zhoufo Lu, Zaihang Yu, Xinyu Li, Xueting Zhong and Zhanqi Wang
Genes 2025, 16(10), 1150; https://doi.org/10.3390/genes16101150 - 27 Sep 2025
Abstract
Background: The ubiquitin–proteasome system plays a critical role in plant antiviral defense, with HECT-type E3 ubiquitin ligases serving as key regulators of protein turnover. To explore the potential involvement of the HECT gene family in host resistance against tomato yellow leaf curl virus [...] Read more.
Background: The ubiquitin–proteasome system plays a critical role in plant antiviral defense, with HECT-type E3 ubiquitin ligases serving as key regulators of protein turnover. To explore the potential involvement of the HECT gene family in host resistance against tomato yellow leaf curl virus (TYLCV), a comprehensive analysis was conducted in Nicotiana benthamiana. Methods: In this study, the HECT gene family in N. benthamiana was systematically investigated using a genome-wide bioinformatic analysis. The potential roles of these genes in the response to TYLCV infection were further examined using a virus-induced gene silencing (VIGS) technique. Results: Using a Hidden Markov Model approach, 18 NbHECT genes were identified that phylogenetically clustered into four subfamilies with distinct structural features. Chromosomal location and synteny analyses indicated that these genes were unevenly distributed across 11 chromosomes, with 10 instances of segmental duplication identified. Tissue-specific expression profiling demonstrated that 17 NbHECTs were constitutively expressed, with Group III members showing the highest expression in reproductive tissues. Following TYLCV infection, NbHECT6 was significantly downregulated while NbHECT13 was upregulated in both inoculated and systemic leaves. Functional validation through the VIGS approach revealed that suppression of NbHECT6 and NbHECT13 increased host susceptibility, as evidenced by exacerbated symptom severity and enhanced viral DNA accumulation compared to controls. Conclusions: These findings establish NbHECT6 and NbHECT13 as critical components of the plant antiviral response, providing new insights into ubiquitin-mediated defense mechanisms against geminiviruses. Full article
(This article belongs to the Section Plant Genetics and Genomics)
Show Figures

Figure 1

Back to TopTop