Sign in to use this feature.

Years

Between: -

Subjects

remove_circle_outline
remove_circle_outline
remove_circle_outline
remove_circle_outline
remove_circle_outline

Journals

Article Types

Countries / Regions

Search Results (11)

Search Parameters:
Keywords = time-temperature superposition principle (TTSP)

Order results
Result details
Results per page
Select all
Export citation of selected articles as:
12 pages, 1661 KB  
Article
Creep Compliance of Carbon Black-Filled Rubber Converted from Storage Modulus by Use of Collocation Method: Numerical and Experimental Validation
by Bo Zhou, Bin Zhao, Wei Tang, Rongyong Wang and Boyuan Yin
Polymers 2025, 17(13), 1809; https://doi.org/10.3390/polym17131809 - 28 Jun 2025
Viewed by 634
Abstract
Carbon black (CB)-filled rubber has been widely used in engineering. However, its time-dependent behavior, such as creep, is undesirable during the service process. In addition, the long-term creep test is time- and cost-consuming. To this end, the objective of this paper aims to [...] Read more.
Carbon black (CB)-filled rubber has been widely used in engineering. However, its time-dependent behavior, such as creep, is undesirable during the service process. In addition, the long-term creep test is time- and cost-consuming. To this end, the objective of this paper aims to predict the creep behavior from the short-term storage modulus by use of the collocation method. First, the master curve of storage modulus was constructed based on the time–temperature superposition principle (TTSP), and the validation of shift factors was verified by use of the Williams–Landel–Ferry (WLF) equation. Second, the generalized Kelvin model was used to describe the master curve of storage modulus by use of the collocation method, and the corresponding parameters were obtained. Compared with the existing works, the collocation method had the advantages of avoiding the occurrence of waviness of the fitting curve. Lastly, the creep compliance of CB-filled rubber was calculated by substituting the fitting parameters into the creep compliance expression. In order to verify the reliability of the calculation result, the creep tests were carried out. It was obvious that the calculation result is in good agreement with the experimental one with a RMSE value of 0.0055, which means that the calculation result is reliable. Full article
(This article belongs to the Section Polymer Physics and Theory)
Show Figures

Figure 1

31 pages, 3743 KB  
Article
Dynamic Mechanical Characterization of Warm-Mixed Steel Slag-Crumb Rubber Modified Asphalt Mixture in Wide- and Narrow-Frequency Domains
by Fei Zhang, Bingyuan Huo, Chao Li, Heng Liu, Pengzhi Li, Yongming Xing, Lan Wang and Pucun Bai
Polymers 2025, 17(11), 1449; https://doi.org/10.3390/polym17111449 - 23 May 2025
Viewed by 813
Abstract
To investigate the dynamic mechanical properties of warm-mix steel slag-crumb rubber modified asphalt mixtures across wide- and narrow-frequency domains and evaluate the applicability of warm-mix technology, four distinct mixtures were prepared. The dynamic modulus characteristics under measured temperatures and frequencies were initially analyzed [...] Read more.
To investigate the dynamic mechanical properties of warm-mix steel slag-crumb rubber modified asphalt mixtures across wide- and narrow-frequency domains and evaluate the applicability of warm-mix technology, four distinct mixtures were prepared. The dynamic modulus characteristics under measured temperatures and frequencies were initially analyzed through complex modulus testing to elucidate narrow-frequency-domain mechanical behavior. Subsequently, leveraging the linear viscoelastic (LVE) theory and time–temperature superposition principle (TTSP), both the 2 Springs, 2 Parabolic Elements and 1 Dashpot (2S2P1D) mechanical element model and Modified Havriliak–Negami (MHN) mathematical model were established based on experimental data to characterize wide-frequency-domain dynamic responses. The results demonstrate substantial consistency in mechanical interpretation between narrow- and wide-frequency domain datasets, with enhanced information resolution achieved in wide-frequency analysis. Both models demonstrate comparable accuracy in characterizing the thermomechanical behavior of warm-mix steel slag-crumb rubber modified asphalt mixture across extended frequency and temperature ranges, while showing negligible performance discrepancies between the 2S2P1D and MHN formulations. Furthermore, both Cole–Cole and Black diagrams convincingly demonstrate the reliability of model predictions. This systematic investigation confirms the technical viability of warm-mix steel slag-crumb rubber modified asphalt mixture while establishing a dual-validated modeling framework for comprehensive performance prediction. Full article
(This article belongs to the Special Issue Sustainable Polymeric Materials in Building and Construction)
Show Figures

Figure 1

15 pages, 1780 KB  
Article
Relaxation Modeling of Unidirectional Carbon Fiber Reinforced Polymer Composites Before and After UV-C Exposure
by Flavia Palmeri and Susanna Laurenzi
Fibers 2024, 12(12), 110; https://doi.org/10.3390/fib12120110 - 11 Dec 2024
Cited by 2 | Viewed by 2184
Abstract
Carbon fiber-reinforced polymers (CFRPs) are widely used in aerospace for their lightweight and high-performance characteristics. This study examines the long-term viscoelastic behavior of CFRP after UV-C exposure, simulating low Earth orbit conditions. The viscoelastic properties of the polymer were evaluated using dynamic mechanical [...] Read more.
Carbon fiber-reinforced polymers (CFRPs) are widely used in aerospace for their lightweight and high-performance characteristics. This study examines the long-term viscoelastic behavior of CFRP after UV-C exposure, simulating low Earth orbit conditions. The viscoelastic properties of the polymer were evaluated using dynamic mechanical analysis and the time-temperature superposition principle on both unexposed and UV-C-exposed samples. After UV-C exposure, the polymer’s instantaneous modulus decreased by about 15%. Over a 32-year period, the modulus of the unexposed resin is expected to degrade to approximately 25% of its initial value, while the exposed resin drops to around 15%. These experimental results were incorporated into finite element method models of a unidirectional CFRP representative volume element. The simulations showed that UV-C exposure caused only a slight reduction in the CFRP’s axial relaxation coefficient along the fiber’s axis, with no significant time-dependent degradation, as the fiber dominates this behavior. In contrast, the axial relaxation coefficient perpendicular to the fiber’s axis, as well as the off-diagonal and shear relaxation coefficients, showed more notable changes, with an approximate 10% reduction in their initial values after UV-C exposure. Over 32 years, degradation became much more severe, with differences between the pre- and post-exposure coefficient values reaching up to nearly 60%. Full article
Show Figures

Figure 1

22 pages, 2849 KB  
Article
Study on the Application of Kramers–Kronig Relation for Polyurethane Mixture
by Haisheng Zhao, Quanjun Shen, Peiyu Zhang, Zhen Li, Shiping Cui, Lin Wang, Wensheng Zhang, Chunhua Su and Shijie Ma
Materials 2024, 17(12), 2909; https://doi.org/10.3390/ma17122909 - 14 Jun 2024
Cited by 2 | Viewed by 1127
Abstract
Polyurethane (PU) mixture, which is a new pavement mixture, exhibits different dynamic properties compared to a hot-mixed asphalt mixture (HMA). This paper analyzed whether the Kramers–Kronig (K–K) relation and thermorheologically simple properties applied to the PU mixture. Based on the results, the PU [...] Read more.
Polyurethane (PU) mixture, which is a new pavement mixture, exhibits different dynamic properties compared to a hot-mixed asphalt mixture (HMA). This paper analyzed whether the Kramers–Kronig (K–K) relation and thermorheologically simple properties applied to the PU mixture. Based on the results, the PU mixture exhibited thermorheologically simple properties within the test conditions. The time–temperature superposition principle (TTSP) was applicable for the PU mixture to construct a dynamic modulus master curve using the standard logistic sigmoidal (SLS) model, the generalized logistic sigmoidal (GLS) model, and the Havriliak–Negami (HN) model. The Hilbert integral transformed SLS and GLS models for the phase angle can accurately fit the measured phase angle data with newly fitted shift factors and predict the phase angle within the viscoelastic range. The core–core and black space diagrams both displayed single continuous smooth curves, which can be utilized to characterize the viscoelastic property of the PU mixture. The K–K relation is applicable for the PU mixture to obtain the phase angle master curve model, storage modulus, and loss modulus from the complex modulus test results with the test temperatures and loading frequencies. The phase angle of the PU mixture at extremely high or low test temperatures cannot be derived from the dynamic modulus data. Full article
(This article belongs to the Section Polymeric Materials)
Show Figures

Figure 1

15 pages, 5738 KB  
Article
A Non-Destructive Methodology for the Viscoelastic Characterization of Polymers: Toward the Identification of the Time–Temperature Superposition Shift Law
by Aleksandr Sakhnevych, Raffaele Maglione and Francesco Timpone
Sensors 2023, 23(22), 9213; https://doi.org/10.3390/s23229213 - 16 Nov 2023
Cited by 5 | Viewed by 3041
Abstract
Polymers find widespread applications in various industries, such as civil engineering, aerospace, and industrial machinery, contributing to vibration control, dampening, and insulation. To accurately design products that are able to predict their dynamic behavior in the virtual environment, it is essential to understand [...] Read more.
Polymers find widespread applications in various industries, such as civil engineering, aerospace, and industrial machinery, contributing to vibration control, dampening, and insulation. To accurately design products that are able to predict their dynamic behavior in the virtual environment, it is essential to understand and reproduce their viscoelastic properties via material physical modeling. While Dynamic Mechanical Analysis (DMA) has traditionally been used, innovative non-destructive techniques are emerging for characterizing components and monitoring their performance without deconstructing them. In this context, the Time–Temperature Superposition Principle (TTSP) represents a powerful empirical procedure to extend a polymer’s viscoelastic behavior across a wider frequency range. This study focuses on replicating an indentation test on viscoelastic materials using the non-destructive Viscoelasticity Evaluation System evolved (VESevo) tool. The primary objective is to derive a unique temperature–frequency relationship, referred to as a “shift law”, using characteristic curves from this non-invasive approach. Encouragingly, modifying the device setup enabled us to replicate, virtually, three tests under identical initial conditions but with varying indentation frequencies. This highlights the tool’s ability to conduct material testing across a range of frequencies. These findings set the stage for our upcoming experiment campaign, aiming to create an innovative shift algorithm from at least three distinct master curves at specific frequencies, offering a significant breakthrough in non-destructive polymer characterization with broad industrial potential. Full article
Show Figures

Figure 1

23 pages, 79543 KB  
Article
Multiscale Study of the Effect of Fiber Twist Angle and Interface on the Viscoelasticity of 2D Woven Composites
by Beibei Li, Cheng Liu, Xiaoyu Zhao, Jinrui Ye and Fei Guo
Materials 2023, 16(7), 2689; https://doi.org/10.3390/ma16072689 - 28 Mar 2023
Cited by 2 | Viewed by 2103
Abstract
Time and temperature affect the viscoelasticity of woven composites, and thus affect their long-term mechanical properties. We develop a multiscale method considering fiber twist angle and interfaces to predict viscoelasticity. The multiscale approach is based on homogenization theory and the time–temperature superposition principle [...] Read more.
Time and temperature affect the viscoelasticity of woven composites, and thus affect their long-term mechanical properties. We develop a multiscale method considering fiber twist angle and interfaces to predict viscoelasticity. The multiscale approach is based on homogenization theory and the time–temperature superposition principle (TTSP). It is carried out in two steps. Firstly, the effective viscoelasticity properties of yarn are calculated using microscale homogenization; yarn comprises elastic fibers, interface, and a viscoelastic matrix. Subsequently, the effective viscoelasticity properties of woven composites are computed by mesoscale homogenization; it consists of homogenized viscoelastic yarns and matrix. Moreover, the multiscale method is verified using the Mechanics of Structure genome (MSG) consequence. Finally, the effect of temperature, fiber twist angle, fiber array, and coating on either the yarn’s effective relaxation stiffness or the relaxation moduli of the woven composite is investigated. The results show that increased temperature shortens the relaxation time of viscoelastic woven composites, and fiber twist angle affects tensors in the relaxation stiffness matrix of the yarn; the coating affects the overall mechanical properties of woven composites as well. Full article
Show Figures

Figure 1

18 pages, 3262 KB  
Article
Residual Life Prediction of XLPE Distribution Cables Based on Time-Temperature Superposition Principle by Non-Destructive BIS Measuring on Site
by Bingliang Shan, Chengqian Du, Junhua Cheng, Wei Wang and Chengrong Li
Polymers 2022, 14(24), 5478; https://doi.org/10.3390/polym14245478 - 14 Dec 2022
Cited by 5 | Viewed by 3271
Abstract
Crosslinked polyethylene (XLPE) distribution cables are prone to segmented thermal aging after long-term operation owing to the large spatial spans and complex operating environments, and accurate residual life prediction of each aging cable segment could provide a theoretical basis and reference for performance [...] Read more.
Crosslinked polyethylene (XLPE) distribution cables are prone to segmented thermal aging after long-term operation owing to the large spatial spans and complex operating environments, and accurate residual life prediction of each aging cable segment could provide a theoretical basis and reference for performance monitoring, maintenance and the replacement of cables. Existing studies mainly focus on the residual life prediction methods for uniform aging cables, which are not suitable for segmented-aging cables. In this paper, a residual life prediction method for segmented-aging XLPE distribution cables based on the time-temperature superposition principle (TTSP) by non-destructive BIS measuring on site was proposed. Firstly, the applicability of the TTSP in the transformation of the changing process of elongation at break (EAB) of XLPE at different thermal aging temperatures was verified based on the Arrhenius equation. Secondly, to better simulate the thermal aging process under working conditions, XLPE cables were subjected to accelerated external stress aging at 140 °C for different aging times, and the corresponding changing process of EAB along with aging time was further measured. The relationship between the EAB of XLPE cables and aging time was well fitted by an equation, which could be used as a reference curve to predict the thermal aging trends and residual life of service-aged XLPE cables. After that, a calculation method for the transformation of the changing process of EAB of XLPE at different thermal aging temperatures was proposed, in which the corresponding multiplicative shift factor could be obtained based on the TTSP instead of the Arrhenius equation extrapolation. Moreover, the availability of the above calculation method was further proved by accelerated thermal aging experiments at 154 °C; the results show that the prediction error for the cable’s EAB is no more than 3.15% and the prediction error for residual life is within 10% in this case. Finally, the realization of non-destructive residual life prediction combined with BIS measuring on site was explained briefly. Full article
(This article belongs to the Special Issue Functional Polymeric Materials for Electrical Insulation Application)
Show Figures

Figure 1

12 pages, 2723 KB  
Article
Time–Temperature–Plasticization Superposition Principle: Predicting Creep of a Plasticized Epoxy
by Andrey E. Krauklis, Anton G. Akulichev, Abedin I. Gagani and Andreas T. Echtermeyer
Polymers 2019, 11(11), 1848; https://doi.org/10.3390/polym11111848 - 9 Nov 2019
Cited by 54 | Viewed by 7890
Abstract
Long-term creep properties and the effect of water are important for fiber reinforced polymer (FRP) composite materials used in offshore applications. Epoxies are often used as a matrix material in such composites. A typical design lifetime of offshore FRP structures is 25 or [...] Read more.
Long-term creep properties and the effect of water are important for fiber reinforced polymer (FRP) composite materials used in offshore applications. Epoxies are often used as a matrix material in such composites. A typical design lifetime of offshore FRP structures is 25 or more years in direct contact with water leading to some deterioration of the material properties. Knowing and predicting the extent of the material property deterioration in water is of great interest for designers and users of the offshore FRP structures. It has been established that the time–temperature superposition principle (TTSP) is a useful tool for estimating changes in properties of polymer materials at long times or extreme temperatures. In this work, a time–temperature–plasticization superposition principle (TTPSP) is described and used for predicting the long-term creep behavior of an epoxy compound. The studied epoxy does not degrade chemically via hydrolysis or chain scission but is negatively affected by plasticization with water. The methodology enables prediction of the long-term viscoelastic behavior of amorphous polymers at temperatures below the glass transition (Tg) using short-term creep experimental data. The results also indicate that it is possible to estimate the creep behavior of the plasticized polymer based on the short-term creep data of the respective dry material and the difference between Tg values of dry polymer and plasticized polymer. The methodology is useful for accelerated testing and for predicting the time-dependent mechanical properties of a plasticized polymer below the glass transition temperature. Full article
(This article belongs to the Special Issue Nordic Polymer Days)
Show Figures

Graphical abstract

17 pages, 3504 KB  
Article
The Effects of Asphalt Migration on the Dynamic Modulus of Asphalt Mixture
by Hui Wang, Shihao Zhan and Guojun Liu
Appl. Sci. 2019, 9(13), 2747; https://doi.org/10.3390/app9132747 - 7 Jul 2019
Cited by 27 | Viewed by 4459
Abstract
Asphalt migration is one of the significant detrimental effects on asphalt pavement performance. In order to simulate the state after the occurrence of asphalt migration amid asphalt pavement layers and further investigate the effects of asphalt migration on the dynamic modulus of asphalt [...] Read more.
Asphalt migration is one of the significant detrimental effects on asphalt pavement performance. In order to simulate the state after the occurrence of asphalt migration amid asphalt pavement layers and further investigate the effects of asphalt migration on the dynamic modulus of asphalt mixture, samples with different asphalt contents layers were firstly separated into the upper and lower half portions and then compacted together. By conducting the dynamic modulus test with the Superpave Simple Performance Tester (SPT), the variation laws of the dynamic modulus (|E*|) and the phase angle (δ) at different testing temperatures and loading frequencies were analyzed in this paper. Further, the dynamic modulus and the stiffness parameter (|E*|/sinδ) at the loading frequency of 10 Hz and testing temperature of 50 °C were illustrated. Simultaneously, the master curves of the dynamic modulus and phase angle of asphalt mixtures under different testing conditions were constructed to better investigate the effects of asphalt migration on the dynamic modulus by means of Williams–Landel–Ferry (WLF) equation and Sigmoidal function. Results show that, after the asphalt migration, the dynamic modulus of asphalt mixtures increase with the increasing loading frequency while they decrease with the increasing testing temperature; the dynamic modulus and the stiffness parameter are the highest when asphalt mixtures have the optimum asphalt content layers, and then decrease with the incremental difference of asphalt content in the upper and lower half portions. Besides this, different from the master curves of dynamic modulus, the master curves of phase angle firstly increase with the increase of loading frequency to the highest point and then decrease with the further increase of loading frequency and are not as smooth as that of dynamic modulus. It can be concluded that the asphalt migration has compromised the mixture’s mechanical structure, and the more asphalt migrates, the weaker the mechanical properties of asphalt mixture will be. Additionally, based on the shift factors and master curves in the time–temperature superposition principle (TTSP), the effects of asphalt migration on the dynamic modulus and the variation laws of the dynamic modulus of asphalt mixture after the occurrence of asphalt migration can be better construed at the quantitative level. Full article
Show Figures

Figure 1

15 pages, 10839 KB  
Article
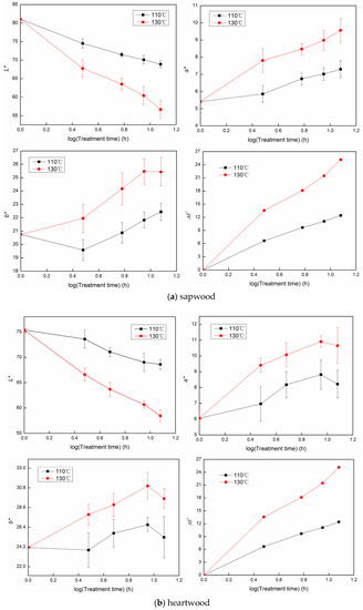
Kinetic Analysis of the Color of Larch Sapwood and Heartwood during Heat Treatment
by Yanxia Wei, Peng Zhang, Yang Liu, Yao Chen, Jianmin Gao and Yongming Fan
Forests 2018, 9(6), 289; https://doi.org/10.3390/f9060289 - 24 May 2018
Cited by 4 | Viewed by 3676
Abstract
The kinetics of color changes in larch sapwood and heartwood during heat treatment were investigated in this study in order to determine if the process of color change that occurs in the surface of wood can be regulated. Wood samples were heated at [...] Read more.
The kinetics of color changes in larch sapwood and heartwood during heat treatment were investigated in this study in order to determine if the process of color change that occurs in the surface of wood can be regulated. Wood samples were heated at 90, 110, 130, and 150 °C in an oven, vacuum, and in an oven subjected to saturated steam for 3, 6, 9, and 12 h each. The results of the color measurement showed that the values of L* (lightness) and ΔE* (total color difference) decreased and increased in both the sapwood and heartwood, respectively, with increasing temperature and treatment time. The three kinetic model approach, consisting of (i) the time-temperature superposition principle (TTSP); (ii) zero-order reaction model; and, (iii) first-order reaction model, was used to model the kinetics of color changes. The results indicated that the L* value of the sample (including heartwood and sapwood) was well fitted to the first-order reaction model (R2 = 0.9999). The Arrhenius activation energy was 14.2369 and 11.0984 kJ/mol for the sapwood and heartwood, respectively. The first-order reaction model also showed a better fit for the ΔE* values between sapwood and heartwood with higher R2 values than the other two methods. Therefore, the color changes of larch wood could successfully be analyzed using the first-order reaction model. Full article
(This article belongs to the Section Forest Ecophysiology and Biology)
Show Figures

Figure 1

13 pages, 3706 KB  
Article
Effects of Heat-Treated Wood Particles on the Physico-Mechanical Properties and Extended Creep Behavior of Wood/Recycled-HDPE Composites Using the Time–Temperature Superposition Principle
by Teng-Chun Yang, Yi-Chi Chien, Tung-Lin Wu, Ke-Chang Hung and Jyh-Horng Wu
Materials 2017, 10(4), 365; https://doi.org/10.3390/ma10040365 - 30 Mar 2017
Cited by 26 | Viewed by 6291
Abstract
This study investigated the effectiveness of heat-treated wood particles for improving the physico-mechanical properties and creep performance of wood/recycled-HDPE composites. The results reveal that the composites with heat-treated wood particles had significantly decreased moisture content, water absorption, and thickness swelling, while no improvements [...] Read more.
This study investigated the effectiveness of heat-treated wood particles for improving the physico-mechanical properties and creep performance of wood/recycled-HDPE composites. The results reveal that the composites with heat-treated wood particles had significantly decreased moisture content, water absorption, and thickness swelling, while no improvements of the flexural properties or the wood screw holding strength were observed, except for the internal bond strength. Additionally, creep tests were conducted at a series of elevated temperatures using the time–temperature superposition principle (TTSP), and the TTSP-predicted creep compliance curves fit well with the experimental data. The creep resistance values of composites with heat-treated wood particles were greater than those having untreated wood particles due to the hydrophobic character of the treated wood particles and improved interfacial compatibility between the wood particles and polymer matrix. At a reference temperature of 20 °C, the improvement of creep resistance (ICR) of composites with heat-treated wood particles reached approximately 30% over a 30-year period, and it increased significantly with increasing reference temperature. Full article
(This article belongs to the Special Issue Thermal Sciences and Thermodynamics of Materials)
Show Figures

Figure 1

Back to TopTop