Multiscale Study of the Effect of Fiber Twist Angle and Interface on the Viscoelasticity of 2D Woven Composites
Abstract
1. Introduction
2. The Microstructure, Multiscale Framework and RVEs of Woven Composites
2.1. Multiscale Framework and RVEs
2.2. Twist Angle and Coating of Fiber in the Yarn
3. Multiscale Viscoelastic Model of Woven Composites
3.1. Viscoelastic Constitutive Model
3.2. Multiscale Homogenization
3.3. Periodic Boundary Conditions of RVEs
4. Validation
5. Numerical Investigations
5.1. The Effect of Temperature
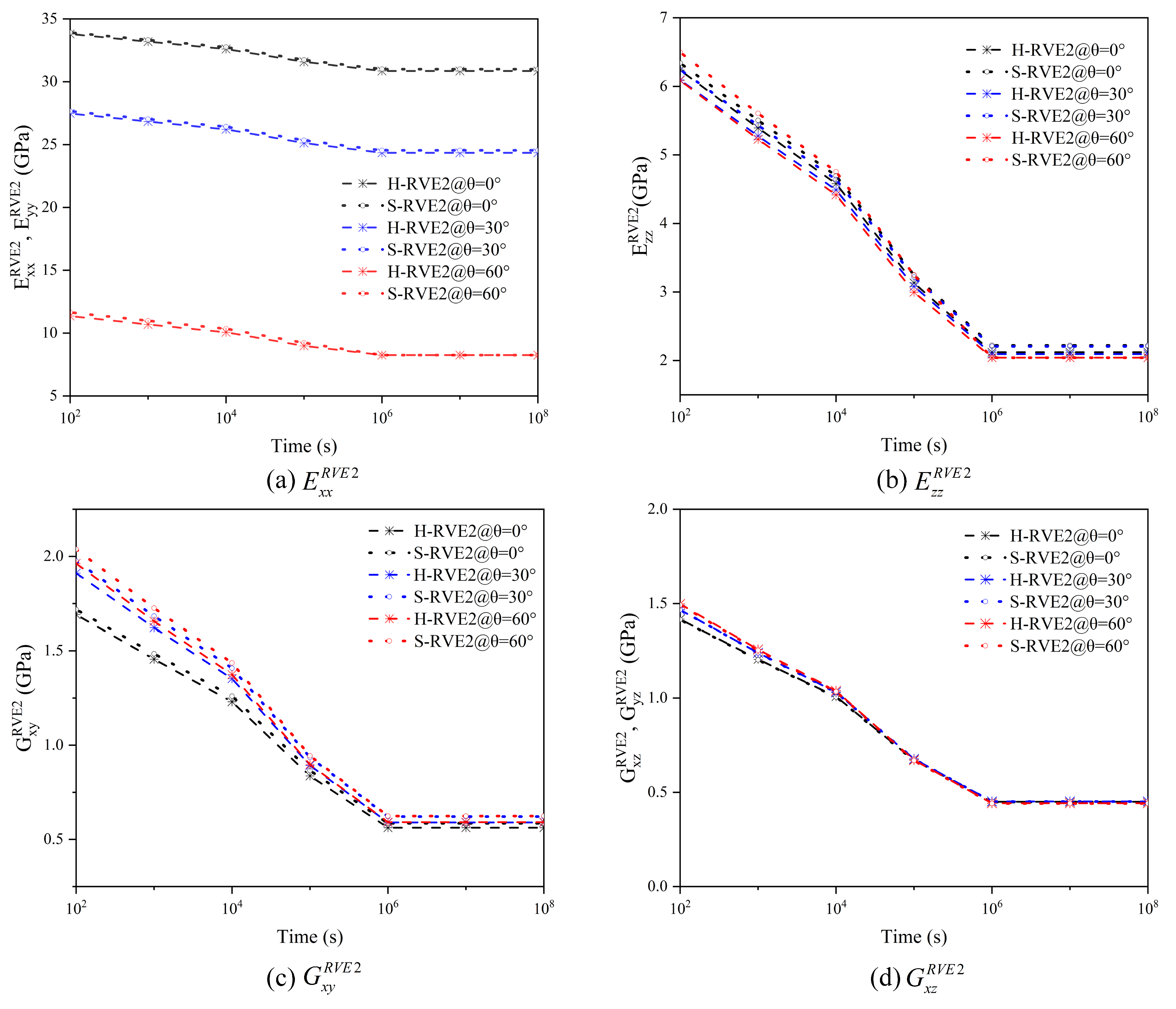
5.2. The Effect of the Fiber Twist Angle
5.3. The Effect of the Coating Thickness
6. Conclusions
- (1)
- The results using the multiscale method show that the fiber array considerably affects stiffness relaxation of the yarn. , , and of the square array are higher than H-RVE1, while the H-RVE1’s tensors and are higher than that of S-RVE1. At the same temperature, the relaxation time and variation trend of S-RVE1 and H-RVE1 are almost identical.
- (2)
- The multiscale solutions show that the yarn surface twist angle has significant affection to the viscoelastic properties of the composites. The negative effect of high twist angle on moduli and are more important, while the improvement on other modulus is minor, and gradually disappears with the time. In addition, the lower twist angle has a more significant effect on the axial stiffness of the yarn, while the radial stiffness is more sensitive to the higher angle.
- (3)
- The coating, the material property, and the thickness can effectively improve the overall viscoelasticity of 2D woven composites, especially the in-plane relaxation moduli. When the stiffness of the coating is higher than that of the matrix, the coating will effectively improve the overall mechanical properties of the composite. Designing the coating is significant in exploiting the potentiality of 2D woven composites.
- (4)
- The multiscale method facilitates the calculation of the viscoelasticity of woven composites. Combining with the discrete theory and FEM, this paper provides an appropriate approach for analyzing non-isotropic composites. In addition, the effect of more microscopic parameters on the mesoscopic properties is considered and calculated.
Author Contributions
Funding
Data Availability Statement
Conflicts of Interest
Appendix A
| s | 1 | 2 | 3 | 4 | 5 | 6 | 7 | |
|---|---|---|---|---|---|---|---|---|
| - | 102 | 103 | 104 | 105 | 106 | 107 | 108 | |
| (MPa) | 150,185 | 152,861 | 152,790.3 | 152,719.9 | 152,558.5 | 152,310.8 | 152,068.5 | 151,699.5 |
| (MPa) | 1477 | 4049.66 | 4000.2 | 3951.22 | 3835.21 | 3648.91 | 3457.23 | 3149.23 |
| (MPa) | 4839.2 | 12,127.8 | 11,991. | 11,849.81 | 11,525.29 | 10,999.1 | 10,451.4 | 9559.33 |
| (MPa) | 1392.6 | 4582 | 4519.5 | 4454.74 | 4305.73 | 4063.47 | 3811.25 | 3401.7 |
| (MPa) | 1046 | 4634.2 | 4571.99 | 4507.85 | 4360.73 | 4123.69 | 3879.07 | 3485 |
| (MPa) | 1581 | 3335.45 | 3285.56 | 3234.27 | 3116.83 | 2928.93 | 2736.78 | 2430.8 |
| s | 1 | 2 | 3 | 4 | 5 | 6 | 7 | |
|---|---|---|---|---|---|---|---|---|
| - | 102 | 103 | 104 | 105 | 106 | 107 | 108 | |
| (MPa) | 152,780.2 | 152,708.9 | 152,636.8 | 152,473.6 | 152,222.5 | 151,975.7 | 151,598 | |
| (MPa) | 4035.73 | 3984.31 | 3931.25 | 3809.39 | 3612.2 | 3407.64 | 3076.14 | |
| (MPa) | 11,860.1 | 11,713.22 | 11,561.45 | 11,212.65 | 10,646.66 | 10,057.74 | 9100.42 | |
| (MPa) | 4772.60 | 4714.71 | 4654.69 | 4516.45 | 4290.5 | 4053.69 | 3666.18 | |
| (MPa) | 4531.39 | 4466.61 | 4399.91 | 4247.02 | 4001.31 | 3748.72 | 3343.95 | |
| (MPa) | 3615.55 | 3573.31 | 3529.74 | 3429.71 | 3267.89 | 3099.82 | 2826.58 |
References
- Hashin, Z. Viscoelastic fiber reinforced materials. AIAA J. 1966, 4, 1411–1417. [Google Scholar]
- Hashin, Z. Viscoelastic behavior of heterogeneous media. J. Appl. Mech. 1964, 32, 630–636. [Google Scholar]
- Chen, Q.; Wang, G.N.; Chen, X.F.; Geng, J. Finite-volume homogenization of elastic/viscoelastic periodic materials. Compos. Struct. 2017, 182, 457–470. [Google Scholar]
- Wang, G.N.; Pindera, M.J. Locally-exact homogenization of viscoelastic unidirectional composites. Mech. Mater. 2016, 103, 95–109. [Google Scholar]
- Weng, Y.M.; Wang, G.J. The Influence of Inclusion Shape on the Overall Viscoelastic Behavior of Compoisites. J. Appl. Mech. 1992, 59, 510–518. [Google Scholar] [CrossRef]
- Katouzian, M.; Vlase, S. Mori–Tanaka Formalism-Based Method Used to Estimate the Viscoelastic Parameters of Laminated Composites. Polymers 2020, 12, 2481. [Google Scholar]
- Mayookh Lal, H.; Xian, G.J.; Thomas, S.; Zhang, L.; Zhang, Z.H.; Wang, H.L. Experimental Study on the Flexural Creep Behaviors of Pultruded Unidirectional Carbon/Glass Fiber-Reinforced Hybrid Bars. Materials 2020, 13, 976. [Google Scholar]
- Doan, H.G.; Mertiny, P. Creep Testing of Thermoplastic Fiber-Reinforced Polymer Composite Tubular Coupons. Materials 2020, 13, 4637. [Google Scholar] [CrossRef]
- Yang, Z.; Wang, H.; Ma, X.; Shang, F.; Ma, Y.; Shao, Z.; Hou, D. Flexural creep tests and long-term mechanical behavior of fi ber-reinforced polymeric composite tubes. Compos. Struct. 2018, 193, 154–164. [Google Scholar] [CrossRef]
- Martynenko, V.G.; Lvov, G.I. Numerical prediction of temperature-dependent anisotropic viscoelastic properties of fiber reinforced composite. J. Reinf. Plast. Compos. 2017, 36, 1790–1801. [Google Scholar]
- Martynenko, V.G.; Lvov, G.I.; Ulianov, Y.N. Experimental investigation of anisotropic viscoelastic properties of glass fi ber-reinforced polymeric composite material. Polym. Polym. Compos. 2019, 27, 323–336. [Google Scholar]
- Kwok, K.; Pellegrino, S. Micromechanics models for viscoelastic plain-weave composite tape springs. AIAA J. 2016, 55, 309–321. [Google Scholar]
- Zhao, X.; Wang, G.; Chen, Q.; Duan, L.; Tu, W. An effective thermal conductivity and thermomechanical homogenization scheme for a multiscale Nb3Sn filaments. Nanotechnol. Rev. 2021, 10, 187–200. [Google Scholar]
- Pathan, M.V.; Tagarielli, V.L.; Patsias, S. Effect of fibre shape and interphase on the anisotropic viscoelastic response of fiber composites. Compos. Struct. 2017, 162, 156–163. [Google Scholar] [CrossRef]
- Pathan, M.V.; Tagarielli, V.L.; Patsias, S. Numerical predictions of the anisotropic viscoelastic response of uni-directional fiber composites. Compos. Part A Appl. Sci. Manuf. 2017, 93, 18–32. [Google Scholar]
- Devireddy, S.B.R.; Biswas, S. Effect of Fiber Geometry and Representative Volume Element on Elastic and Thermal Properties of Unidirectional Fiber-Reinforced Composites. J. Compos. 2014, 2014, 629175. [Google Scholar]
- Liu, X.; Tang, T.; Yu, W.; Pipes, R.B. Multiscale modeling of viscoelastic behaviors of textile composites. Int. J. Eng. Sci. 2018, 130, 175–186. [Google Scholar]
- Rique, O.; Liu, X.; Yu, W.; Pipes, R. Constitutive modeling for time- and temperature-dependent behavior of composites. Compos. Part B 2020, 184, 107726. [Google Scholar]
- Seifert Ole, E.; Schumacher, S.; Hansen, A. Viscoelastic properties of a glass fabric composite at elevated temperatures: Experimental and numerical results. Compos. Part B-Eng. 2003, 34, 571–586. [Google Scholar]
- Cai, Y.; Sun, H. Prediction on viscoelastic properties of three-dimensionally braided composites by multi-scale model. J. Mater. Sci. 2013, 48, 6499–6508. [Google Scholar] [CrossRef]
- Wang, G.N.; Pindera, M.J. Locally-exact homogenization of unidirectional composites with coated or hollow reinforcement. Mater. Des. 2016, 93, 514–528. [Google Scholar] [CrossRef]
- Gu, H.B.; Miao, M.H. Optimising fiber alignment in twisted yarns for natural fiber composites. J. Compos. Mater. 2013, 48, 2993–3002. [Google Scholar] [CrossRef]
- Zaidi, B.M.; Zhang, J.; Magniez, K.; Gu, H.; Miao, M.H. Optimizing twisted yarn structure for natural fiber-reinforced polymeric composites. J. Compos. Mater. 2018, 52, 373–381. [Google Scholar] [CrossRef]
- Xiong, X.S.; Hua, L.; Miao, M.H.; Shen, S.Z.; Li, X.; Wan, X.J.; Guo, W. Multi-scale constitutive modeling of natural fiber fabric reinforced composites. Compos. Part A Appl. Sci. Manuf. 2018, 115, 383–396. [Google Scholar] [CrossRef]
- Fisher, F.T.; Brinson, L.C. Viscoelastic interphases in polymer–matrix composites: Theoretical models and finite-element analysis. Compos. Sci. Technol. 2001, 61, 731–748. [Google Scholar] [CrossRef]
- Huang, Y.; Wang, G.; Dong, L.; Atluri, S.N. 3D Viscoelastic Computational Grains with Spherical Inclusions with or without Interphases/Coatings for Micromechanical Modeling of Heterogeneous Materials. Int. J. Numer. Methods Eng. 2021, 122, 4966–4986. [Google Scholar] [CrossRef]
- Yang, Y.; He, Q.; Rao, Y.N.; Dai, H.L. Estimation of dynamic thermos-viscoelastic moduli of short fiber-reinforced polymers based on a micromechanical model considering interphases/interfaces conditions. Polym. Compos. 2020, 41, 788–803. [Google Scholar] [CrossRef]
- Ma, H.; Li, Y.; Shen, Y.; Xie, L.; Wang, D. Effect of linear density and yarn structure on the mechanical properties of ramie fiber yarn reinforced composites. Compos. Part A Appl. Sci. Manuf. 2016, 87, 98–108. [Google Scholar] [CrossRef]
- Wang, C.G.; Tang, M.; Liu, W.K.; Zhu, T. Study on Microstructure Characteristics of Axially Braided Carbon/Carbon Composites Based on SEM and Micro-CT. Materials 2020, 13, 1414. [Google Scholar] [CrossRef]
- Xu, Y.; Zhang, W.; Bassir, D. Stress analysis of multi-phase and multi-layer plain weave composite structure using glob al/local approach. Compos. Struct. 2010, 92, 1143–1154. [Google Scholar] [CrossRef]
- Belytschko, T.; Song, J.H. Coarse-graining of multiscale crack propagation. Int. J. Numer. Methods Eng. 2010, 81, 537–563. [Google Scholar] [CrossRef]
- Matthews, F.L.; Rawlings, R.D. Composite Materials: Engineering and Science; Chapman & Hall: London, UK, 1994. [Google Scholar]
- Lin, H.; Brown, L.P.; Long, A.C. Modelling and simulating textile structures using TexGen. Adv. Mater. Res. 2011, 331, 44–47. [Google Scholar]
- Fu, S.Y.; Lauke, B. The elastic modulus of misaligned short-fiber-reinforced polymers. Compos. Sci. Technol. 1998, 58, 389–400. [Google Scholar] [CrossRef]
- Barbero, E.J. Finite Element Analysis of Composite Materials Using Abaqus; CRC Press: Boca Raton, FL, USA, 2013. [Google Scholar]
- Williams, M.L.; Landel, R.F.; Ferry, J.D. Temperature Dependence of Relaxation Mechanisms the Temperature Dependence of Relaxation Mechanisms in Amorphous Polymers and Other Glass-Forming Liquids. J. Am. Chem. Soc. 1955, 77, 3701–3707. [Google Scholar] [CrossRef]
- Modniks, J.; Andersons, J. Modeling the non-linear deformation of a short-flax-fiber-reinforced polymer composite by orientation averaging. Compos. B Eng. 2013, 54, 188–193. [Google Scholar] [CrossRef]
- Xia, Z.; Zhou, C.W.; Yong, Q.; Wang, X.W. On selection of repeated unit cell model and application of unified periodic boundary conditions in micro-mechanical analysis of composites. Int. J. Solids Struct. 2006, 43, 266–278. [Google Scholar] [CrossRef]
- Udhayaraman, R.; Mulay, S.S. Multi-scale approach based constitutive modelling of plain woven textile composites. Mech. Mater. 2017, 112, 172–192. [Google Scholar] [CrossRef]
- Huang, Z.M. The mechanical properties of composites reinforced with woven and braided fabrics. Compos. Sci. Technol. 2000, 60, 479–498. [Google Scholar] [CrossRef]













| Parameter | Young’s Modulus (GPa) | Shear Modulus (GPa) | Poisson’s Ratio | |||
|---|---|---|---|---|---|---|
| Value | 233 | 15 | 8.963 | 5.639 | 0.2 | 0.33 |
| 1 | 2 | 3 | 4 | 5 | 6 | 7 | ||
|---|---|---|---|---|---|---|---|---|
| 1000 | 224.1 | 450.8 | 406.1 | 392.7 | 810.4 | 203.7 | 1486.0 | |
| - | 1.0 × 103 | 1.0 × 105 | 1.0 × 106 | 1.0 × 107 | 1.0 × 108 | 1.0 × 109 | 1.0 × 1010 |
| Parameter | Twist Angle | Young’s Modulus (GPa) | Shear Modulus (GPa) | Poisson’s Ratio | |||
|---|---|---|---|---|---|---|---|
| Value | 0° | 233 | 15 | 8.963 | 5.639 | 0.2 | 0.33 |
| 30° | 179.9583 | 17.67307 | 22.116 | 6.8 | 0.65 | 0.299 | |
| 60° | 53.07674 | 37.777 | 33.202 | 17.056 | 0.47 | 0.107 | |
Disclaimer/Publisher’s Note: The statements, opinions and data contained in all publications are solely those of the individual author(s) and contributor(s) and not of MDPI and/or the editor(s). MDPI and/or the editor(s) disclaim responsibility for any injury to people or property resulting from any ideas, methods, instructions or products referred to in the content. |
© 2023 by the authors. Licensee MDPI, Basel, Switzerland. This article is an open access article distributed under the terms and conditions of the Creative Commons Attribution (CC BY) license (https://creativecommons.org/licenses/by/4.0/).
Share and Cite
Li, B.; Liu, C.; Zhao, X.; Ye, J.; Guo, F. Multiscale Study of the Effect of Fiber Twist Angle and Interface on the Viscoelasticity of 2D Woven Composites. Materials 2023, 16, 2689. https://doi.org/10.3390/ma16072689
Li B, Liu C, Zhao X, Ye J, Guo F. Multiscale Study of the Effect of Fiber Twist Angle and Interface on the Viscoelasticity of 2D Woven Composites. Materials. 2023; 16(7):2689. https://doi.org/10.3390/ma16072689
Chicago/Turabian StyleLi, Beibei, Cheng Liu, Xiaoyu Zhao, Jinrui Ye, and Fei Guo. 2023. "Multiscale Study of the Effect of Fiber Twist Angle and Interface on the Viscoelasticity of 2D Woven Composites" Materials 16, no. 7: 2689. https://doi.org/10.3390/ma16072689
APA StyleLi, B., Liu, C., Zhao, X., Ye, J., & Guo, F. (2023). Multiscale Study of the Effect of Fiber Twist Angle and Interface on the Viscoelasticity of 2D Woven Composites. Materials, 16(7), 2689. https://doi.org/10.3390/ma16072689

