Sign in to use this feature.

Years

Between: -

Subjects

remove_circle_outline
remove_circle_outline
remove_circle_outline
remove_circle_outline
remove_circle_outline
remove_circle_outline

Journals

Article Types

Countries / Regions

Search Results (11)

Search Parameters:
Keywords = thaw settlement coefficient

Order results
Result details
Results per page
Select all
Export citation of selected articles as:
17 pages, 3023 KB  
Article
Cumulative Plastic Strain Characteristics of Soft Clay Under Traffic Load in Freeze–Thaw Cyclic Foundation
by Mengya Zhang, Hongyi Liu, Lidong Yang, Kena Cheng, Zihao Wang and Tangdai Xia
Appl. Sci. 2026, 16(7), 3284; https://doi.org/10.3390/app16073284 - 28 Mar 2026
Viewed by 274
Abstract
Seasonal permafrost areas undergo long-term freeze–thaw cycles, severely compromising the strength of foundation soils. Consequently, deformation and settlement under long-term cyclic traffic loads are greater than in normal temperature areas, leading to potential safety hazards. This study focuses on soft clay soils in [...] Read more.
Seasonal permafrost areas undergo long-term freeze–thaw cycles, severely compromising the strength of foundation soils. Consequently, deformation and settlement under long-term cyclic traffic loads are greater than in normal temperature areas, leading to potential safety hazards. This study focuses on soft clay soils in seasonal permafrost areas. Remoulded soft clay is subjected to freeze–thaw cycles, followed by a series of long-term cyclic traffic load tests using the GDS dynamic triaxial testing system and pore size analyses using the nuclear magnetic resonance (NMR) technology. The study aims to investigate the effects of varying freeze–thaw cycles, compaction coefficients, and types of curing agents on the cumulative plastic strain of soft clay. The findings indicate that under identical freeze–thaw conditions, both the presence of curing agents and the increase of the soil’s compaction coefficient significantly restrain the deformation of freeze–thawed soils. In the micro perspective, freeze–thaw cycles cause irreversible fracturing of the soil’s internal framework, while the addition of curing agents effectively mitigates the pore enlargement effect. The resulting pore size distribution differs by about 4% from the original distribution, which is consistent with the patterns observed in dynamic triaxial tests. Full article
Show Figures

Figure 1

26 pages, 9653 KB  
Article
Numerical Simulation of Frost Heave and Thaw Settlement Characteristics in a Complex Pipe–Soil System in the Seasonally Frozen Ground
by Qinglin Li, Pengrui Feng, Rui Wang, Ni An, Ruiguang Bai, Guang Yang, Xinlin He, Ping Lin and Zixu Hu
Appl. Sci. 2025, 15(9), 4628; https://doi.org/10.3390/app15094628 - 22 Apr 2025
Cited by 3 | Viewed by 1895
Abstract
This paper investigates the frost heave and thaw settlement characteristics of the pipe–soil system during the freeze–thaw cycle, along with the underlying mechanisms. A numerical simulation platform for the complex pipe–soil system was developed using the heat conduction equation, moisture migration equation, and [...] Read more.
This paper investigates the frost heave and thaw settlement characteristics of the pipe–soil system during the freeze–thaw cycle, along with the underlying mechanisms. A numerical simulation platform for the complex pipe–soil system was developed using the heat conduction equation, moisture migration equation, and stress–strain equation, all of which account for the ice–water phase change process. The simulations were performed with the coefficient-type partial differential equation (PDE) module in COMSOL Multiphysics. By employing coupled thermal–hydraulic–mechanical (THM) simulation methods, the study analyzed the changes in volumetric water content, volumetric ice content, moisture migration patterns, and temperature field distribution of a water pipeline after three years of service under real engineering conditions in the cold region of northern Xinjiang, China. The study also examined the effects of parameters such as pipeline burial depth, specific heat capacity, thermal conductivity, permeability of saturated soil, and initial saturation on the displacement field. The results show that selecting soil layers with high specific heat capacity (e.g., 1.68 kJ/kg·°C) and materials with high thermal conductivity (e.g., 2.25 W/m·°C) can reduce surface frost heave displacement by up to 40.8% compared to low-conductivity conditions. The maximum freezing depth near the pipeline is limited to 0.87 m due to the thermal buffering effect of water flow. This research provides a scientific reference and theoretical foundation for the design of frost heave resistance in water pipelines in seasonally frozen regions. Full article
(This article belongs to the Section Civil Engineering)
Show Figures

Figure 1

16 pages, 2787 KB  
Article
Experimental and Microscopic Analysis for Impact of Compaction Coefficient on Plastic Strain Characteristic of Soft Clay in Seasonally Frozen Soil Regions
by Miaomiao Sun, Zhanggong Huang, Zouying Liu, Ganggui Liu, Chengbao Hu and Jiaying Liu
Fractal Fract. 2025, 9(4), 214; https://doi.org/10.3390/fractalfract9040214 - 28 Mar 2025
Cited by 2 | Viewed by 721
Abstract
Freeze–thaw cycles and the soil compaction coefficient (λc) have significant influence on the plastic strain for the foundation of underground structures in seasonal permafrost regions. Understanding the microstructural evolution of freeze–thawed soil is pivotal for assessing the long-term settlement of [...] Read more.
Freeze–thaw cycles and the soil compaction coefficient (λc) have significant influence on the plastic strain for the foundation of underground structures in seasonal permafrost regions. Understanding the microstructural evolution of freeze–thawed soil is pivotal for assessing the long-term settlement of infrastructure foundation under repeated train loading. This study investigates the impacts of freeze–thaw cycles and λc on the plastic strain and pore size distribution (PSD), as well as fractal characteristics, of soft clay via a set of cyclic triaxial tests and nuclear magnetic resonance (NMR) analyses. Fractal theory was adopted to analyze the heterogeneity of soil specimens. The results showed that an increase in λc could efficiently alleviate the cumulative plastic strain. It also decreased the proportion of large pores and facilitated the generation of small and medium-sized pores. The analysis of the NMR test demonstrated that the freeze–thaw cycle led to the disruption of the soil’s microporous structure. Moreover, a higher value of λc encouraged the formation of a more intricate and uniform pore structure. This, in turn, increased the fractal dimension, enhanced the structural heterogeneity, and thereby improved the soil’s structural complexity and its resistance to deformation. These findings underscore the significance of achieving optimal compaction levels to bolster soil stability under freeze–thaw conditions, provide valuable guidance for infrastructure design in permafrost regions, and help to ensure the durability and stability of transportation networks, such as railways and roads, over time. Full article
(This article belongs to the Section Engineering)
Show Figures

Figure 1

19 pages, 7916 KB  
Article
Experimental Study on the Influence of Cooling Rates on the Permeability Coefficient of Thawed Soil After Open Frozen
by Zhen Wang, Haoran Wang, Xiaohui Ni, Ming Wu, Shu Zhu, Semaierjiang Maimaitiyusupu and Zhende Zhu
Buildings 2025, 15(5), 753; https://doi.org/10.3390/buildings15050753 - 25 Feb 2025
Viewed by 1160
Abstract
Adjusting freezing patterns is a critical technology in artificial ground freezing (AGF) projects to mitigate frost heave. The distribution of ice lenses formed under varying freezing patterns not only influences frost heave but also modifies the structure of thawed soil, thereby affecting the [...] Read more.
Adjusting freezing patterns is a critical technology in artificial ground freezing (AGF) projects to mitigate frost heave. The distribution of ice lenses formed under varying freezing patterns not only influences frost heave but also modifies the structure of thawed soil, thereby affecting the thaw settlement process. However, most existing research on freezing patterns has primarily focused on their impact on frost heave, with limited attention paid to thaw settlement. This study investigates the cooling rates at the cold side of open frozen systems, which are the key variables defining different freezing patterns, and examines their effect on the permeability coefficient of thawed soil. Experimental results demonstrate that the cooling rate significantly influences the soil permeability coefficient. This is specifically manifested as a 12.18-fold enhancement in permeability coefficients as cooling rates decrease from 0.5 °C/s to 0.005 °C/s. As the temperature gradient increases, the permeability coefficients increase. The minimum enhancement magnitude in the permeability coefficient was recorded at −75 °C. A decrease in the cooling rate leads to an increase in the permeability coefficient, particularly under high frozen temperature conditions. Utilizing the Kozeny–Carman permeability coefficient equation, a predictive model for the permeability coefficient of thawed soil was developed. In practical AGF projects, any freezing pattern can be represented as a combination of different cooling rates. By applying this predictive model, the permeability coefficient of thawed soil under any freezing pattern can be simulated using the corresponding combination of cooling rates. This study provides a valuable reference for predicting thaw settlement following artificial freezing construction. Full article
(This article belongs to the Section Building Energy, Physics, Environment, and Systems)
Show Figures

Figure 1

15 pages, 4152 KB  
Article
Study on Frost Heave and Thaw Settlement Characteristics of Sanya Estuary Channel Soil Layer
by Xiuwen Wu, Jun Hu, Junxin Shi, Hui Xiang and Jiangtao Xia
Appl. Sci. 2024, 14(21), 9761; https://doi.org/10.3390/app14219761 - 25 Oct 2024
Cited by 3 | Viewed by 1940
Abstract
In order to explore the frost heave and thaw settlement characteristics of soil layers in the Sanya Estuary Channel Project, the frost heave rate and thaw settlement coefficient of gravel sand, fine sand, silty clay, and clay are obtained. The most unfavorable soil [...] Read more.
In order to explore the frost heave and thaw settlement characteristics of soil layers in the Sanya Estuary Channel Project, the frost heave rate and thaw settlement coefficient of gravel sand, fine sand, silty clay, and clay are obtained. The most unfavorable soil layers are then compared and analyzed. The variation law of frost heave and thaw settlement performance of the most unfavorable soil layer under different water content is studied. The results are as follows: (1) The freezing stage of the passage through the typical soil layer is divided into four stages: frost shrinkage, rapid frost heave, slow frost heave, and frost heave stability. The melting stage is divided into three stages: slow thaw settlement, rapid thaw settlement, and thaw settlement stability. (2) The most unfavorable soil layer in the typical soil layer of the Sanya Estuary Channel Project is silty clay, with a frost heave rate and thaw settlement coefficient of 4.51% and 5.88% at −28 °C. (3) The frost heave and thaw settlement performance of the most unfavorable soil layer is linearly related to water content. The larger the water content, the greater the frost heave rate and thaw settlement coefficient, and the more prone to damage. Full article
(This article belongs to the Special Issue Recent Research on Tunneling and Underground Engineering)
Show Figures

Figure 1

18 pages, 6779 KB  
Article
Risk Zoning of Permafrost Thaw Settlement in the Qinghai–Tibet Engineering Corridor
by Zhiyun Liu, Yu Zhu, Jianbing Chen, Fuqing Cui, Wu Zhu, Jine Liu and Hui Yu
Remote Sens. 2023, 15(15), 3913; https://doi.org/10.3390/rs15153913 - 7 Aug 2023
Cited by 11 | Viewed by 2651
Abstract
The Qinghai–Tibet Plateau is the highest and largest permafrost area in the middle and low latitudes of China. In this region, permafrost thaw settlement is the main form of expressway subgrade disaster. Therefore, the quantitative analysis and regionalization study of permafrost thaw settlement [...] Read more.
The Qinghai–Tibet Plateau is the highest and largest permafrost area in the middle and low latitudes of China. In this region, permafrost thaw settlement is the main form of expressway subgrade disaster. Therefore, the quantitative analysis and regionalization study of permafrost thaw settlement deformation are of great significance for expressway construction and maintenance in the Qinghai–Tibet region. This paper establishes a thaw settlement prediction model using the thaw settlement coefficient and thaw depth. The thaw depth was predicted by the mean annual ground temperatures and active-layer thicknesses using the Radial Basis Function (RBF) neural network model, and the thaw settlement coefficient was determined according to the type of ice content. Further, the distribution characteristics of thaw settlement risk of the permafrost subgrade in the study region were mapped and analyzed. The results showed that the thaw settlement risk was able to be divided into four risk levels, namely significant risk, high risk, medium risk and low risk levels, with the areas of these four risk levels covering 3868.67 km2, 1594.21 km2, 2456.10 km2 and 558.78 km2, respectively, of the total study region. The significant risk level had the highest proportion among all the risk levels and was mainly distributed across the Chumar River Basin, Beiluhe River Basin and Gaerqu River Basin regions. Moreover, ice content was found to be the main factor affecting thaw settlement, with thaw settlement found to increase as the ice content increased. Full article
Show Figures

Graphical abstract

14 pages, 2728 KB  
Article
Experimental Study on Engineering Characteristics of High-Speed Railway Subgrade Filler in Island Permafrost Regions
by Xiaohe Liu, Degou Cai, Hongye Yan, Zongqi Bi and Zhuqing Li
Coatings 2023, 13(2), 429; https://doi.org/10.3390/coatings13020429 - 14 Feb 2023
Cited by 4 | Viewed by 2165
Abstract
The high-speed railway (HSR) subgrade has a strict settlement-control standard at the mm level, but its deformation stability is significantly threatened on permafrost with poor thermal stability and in susceptible-to-thawing settlements. Therefore, the filler suitable for permafrost regions needs to be explored and [...] Read more.
The high-speed railway (HSR) subgrade has a strict settlement-control standard at the mm level, but its deformation stability is significantly threatened on permafrost with poor thermal stability and in susceptible-to-thawing settlements. Therefore, the filler suitable for permafrost regions needs to be explored and determined. In this study, the frost heaves, permeabilities and static strength characteristics of three coarse fillers were experimentally investigated, and the optimal subgrade filler was determined for the certain HSR, the first HSR in permafrost regions around the world. The test fillers include pure fillers, 5% cement improved fillers and 5% cement + 3% modifier improved fillers, and the effects of curing time, modifier content and freeze–thaw cycles were analyzed. The test results show that: (1) the frost heave rate and permeability coefficient decrease with the increase of curing time and modifier content, while increasing with the freeze-thaw cycles; (2) After six freeze–thaw cycles, the cement + modifier improved filler’s frost heave rate and permeability coefficient are 0.51 and 0.00331 cm/s, a larger decrease in the frost heave rate (more than 50%) and the permeability coefficient (about one order of magnitude) than that of pure filler; (3) The cement + modifier improved filler shares the highest compressive strength under different curing times and freeze-thaw cycles. In summary, the modifier has a more significant influence on the engineering characteristics than the curing time or freeze-thaw cycles, and the cement + modifier improved filler has the best comprehensive performance. This study will provide a technical reference for the foundation-treatment and disease-prevention of HSRs in island permafrost regions. Full article
(This article belongs to the Special Issue Functional Materials for Building and Pavement Coatings)
Show Figures

Figure 1

32 pages, 10561 KB  
Article
Numerical Analysis of the Influence of Foundation Replacement Materials on the Hydrothermal Variation and Deformation Process of Highway Subgrades in Permafrost Regions
by Wei Shan, Min Ma, Ying Guo and Chengcheng Zhang
Water 2022, 14(17), 2642; https://doi.org/10.3390/w14172642 - 27 Aug 2022
Cited by 7 | Viewed by 2571
Abstract
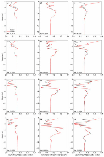
Affected by global warming, permafrost thawing in Northeast China promotes issues including highway subgrade instability and settlement. The traditional design concept based on protecting permafrost is unsuitable for regional highway construction. Based on the design concept of allowing permafrost thawing and the thermodynamic [...] Read more.
Affected by global warming, permafrost thawing in Northeast China promotes issues including highway subgrade instability and settlement. The traditional design concept based on protecting permafrost is unsuitable for regional highway construction. Based on the design concept of allowing permafrost thawing and the thermodynamic characteristics of a block–stone layer structure, a new subgrade structure using a large block–stone layer to replace the permafrost layer in a foundation is proposed and has successfully been practiced in the Walagan–Xilinji section of the Beijing–Mohe Highway to reduce subgrade settlement. To compare and study the improvement in the new structure on the subgrade stability, a coupling model of liquid water, vapor, heat and deformation is proposed to simulate the hydrothermal variation and deformation mechanism of different structures within 20 years of highway completion. The results show that the proposed block–stone structure can effectively reduce the permafrost degradation rate and liquid water content in the active layer to improve subgrade deformation. During the freezing period, when the water in the active layer under the subgrade slope and natural ground surface refreezes, two types of freezing forms, scattered ice crystals and continuous ice lenses, will form, which have different retardation coefficients for hydrothermal migration. These forms are discussed separately, and the subgrade deformation is corrected. From 2019 to 2039, the maximum cumulative settlement and the maximum transverse deformation of the replacement block–stone, breccia and gravel subgrades are –0.211 cm and +0.111 cm, –23.467 cm and –1.209 cm, and –33.793 cm and –2.207 cm, respectively. The replacement block–stone subgrade structure can not only reduce the cumulative settlement and frost heave but also reduce the transverse deformation and longitudinal cracks to effectively improve subgrade stability. However, both the vertical deformation and transverse deformation of the other two subgrades are too large, and the embankment fill layer will undergo transverse deformation in the opposite direction, which will cause sliding failure to the subgrades. Therefore, these two subgrade structures cannot be used in permafrost regions. The research results provide a reference for solving the settlement and deformation problems of subgrades in degraded permafrost regions and contribute to the development and application of complex numerical models related to water, heat and deformation in cold regions. Full article
(This article belongs to the Section Soil and Water)
Show Figures

Figure 1

21 pages, 9722 KB  
Article
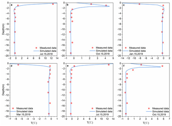
Thaw Settlement Monitoring and Active Layer Thickness Retrieval Using Time Series COSMO-SkyMed Imagery in Iqaluit Airport
by Deying Ma, Mahdi Motagh, Guoxiang Liu, Rui Zhang, Xiaowen Wang, Bo Zhang, Wei Xiang and Bing Yu
Remote Sens. 2022, 14(9), 2156; https://doi.org/10.3390/rs14092156 - 30 Apr 2022
Cited by 4 | Viewed by 4144
Abstract
Thaw consolidation of degrading permafrost is a serious hazard to the safety and operation of infrastructure. Monitoring thermal changes in the active layer (AL), the proportion of the soil above permafrost that thaws and freezes periodically, is critical to understanding the conditions of [...] Read more.
Thaw consolidation of degrading permafrost is a serious hazard to the safety and operation of infrastructure. Monitoring thermal changes in the active layer (AL), the proportion of the soil above permafrost that thaws and freezes periodically, is critical to understanding the conditions of the top layer above the permafrost and regulating the construction, operation, and maintenance of facilities. However, this is a very challenging task using ground-based methods such as ground-penetrating radar (GPR) or temperature sensors. This study explores the integration of interferometric measurements from high-resolution X-band Synthetic Aperture Radar (SAR) images and volumetric water content (VWC) data from SoilGrids to quantify detailed spatial variations in active layer thickness (ALT) in Iqaluit, the territorial capital of Nunavut in Canada. A total of 21 SAR images from COSMO Sky-Med (CSK) were first analyzed using the freely connected network interferometric synthetic aperture radar (FCNInSAR) method to map spatial and temporal variations in ground surface subsidence in the study area. Subsequently, we built an ALT retrieval model by introducing the thaw settlement coefficient, which takes soil properties and saturation state into account. The subsidence measurements from InSAR were then integrated with VWC extracted from the SoilGrids database to estimate changes in ALT. For validation, we conducted a comparison between estimated ALTs and in situ measurements in the airport sector. The InSAR survey identifies several sites of ground deformation at Iqaluit, subsiding at rates exceeding 80 mm/year. The subsidence rate changes along the runway coincide with frost cracks and ice-wedge furrows. The obtained ALTs, ranging from 0 to 5 m, vary significantly in different sediments. Maximum ALTs are found for rock areas, while shallow ALTs are distributed in the till blanket (Tb), the intertidal (Mi) sediments, and the alluvial flood plain (Afp) sediment units. The intersection of taxiway and runway has an AL thicker than other parts in the glaciomarine deltaic (GMd) sediments. Our study suggests that combining high-resolution SAR imagery with VWC data can provide more comprehensive ALT knowledge for hazard prevention and infrastructure operation in the permafrost zone. Full article
Show Figures

Figure 1

13 pages, 3940 KB  
Article
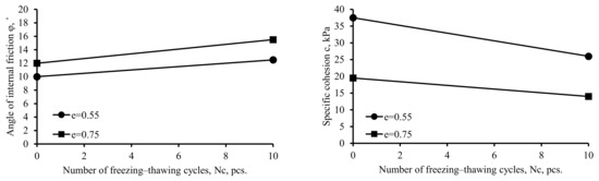
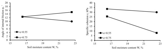
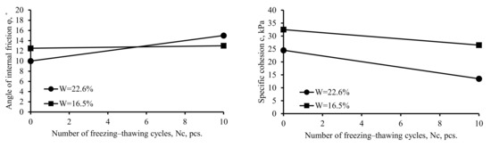
Evaluation of the Strength Characteristics of Silty-Clayey Soils during Freezing-Thawing Cycles
by Elena Bragar, Yakov Pronozin, Askar Zhussupbekov, Alexander Gerber, Assel Sarsembayeva, Tymarkul Muzdybayeva and Ulbossyn Zhangabilkyzy Sarabekova
Appl. Sci. 2022, 12(2), 802; https://doi.org/10.3390/app12020802 - 13 Jan 2022
Cited by 7 | Viewed by 2750
Abstract
Destructuring settlements due to frost heave during the structures’ exploitation are often not taken into account at the designing stage, although they are indirectly related to the bearing capacity of the soils. The objective of this research was analyzing the effect of the [...] Read more.
Destructuring settlements due to frost heave during the structures’ exploitation are often not taken into account at the designing stage, although they are indirectly related to the bearing capacity of the soils. The objective of this research was analyzing the effect of the number of freezing-thawing cycles on the strength characteristics of soils. A paired experiment with various initial parameters (void ratio, initial moisture content, and the number of freezing-thawing cycles) was carried out. According to the experimental results, the cohesion largely depends on the above parameters which might lead to its decrease by up to three times. The angle of internal friction demonstrated an indefinite behavior during the freeze-thaw cycles, which is confirmed by a literature review. Freezing–thawing cycles significantly decrease the soil bearing capacity: up to 44% after 10 freezing-thawing cycles for soil with e=0.55 and  w=16.5%. However, in the case of e=0.75 and w=22.6%, it increased by 33%. A program based on the least-squares method was used to calculate the approximation coefficients of the dependence describing the changes in strength characteristics from the abovementioned parameters. Changes in strength characteristics must be taken into account when designing structures, as they can lead to additional settlement or even subsidence of the foundations. Full article
Show Figures

Figure 1

14 pages, 3971 KB  
Article
Improvement of Compressibility and Thaw-Settlement Properties of Warm and Ice-Rich Frozen Soil with Cement and Additives
by Mingtang Chai and Jianming Zhang
Materials 2019, 12(7), 1068; https://doi.org/10.3390/ma12071068 - 1 Apr 2019
Cited by 22 | Viewed by 4358
Abstract
The warm and ice-rich frozen soil (WIRFS) that underlies roadway embankments in permafrost regions exhibit large compression and thaw deformation, which can trigger a series of distresses. Cement and additives were used in this study to improve the compressibility and thaw-settlement properties of [...] Read more.
The warm and ice-rich frozen soil (WIRFS) that underlies roadway embankments in permafrost regions exhibit large compression and thaw deformation, which can trigger a series of distresses. Cement and additives were used in this study to improve the compressibility and thaw-settlement properties of WIRFS. We, therefore, selected optimum additives and studied the improvement effect on the frozen soil with 30% water content based on our previous research. Given constant load and variable temperatures, compression coefficients, thaw strains, and water content changes were obtained at temperatures of −1.0 °C, −0.5 °C, and 2.0 °C to evaluate the effect of improvements. A scanning electron microscope (SEM) was then used to observe the microstructure of improved soils and analyze causal mechanisms. Data show that hydration reactions, physical absorptions, cement, and additives formed new structures and changed the phase of water in frozen soil after curing at −1.0 °C for 28 days. This new structure, cemented with soil particles, unfrozen water, and ice, filled in the voids of frozen soil and effectively decreased the WIRFS compression coefficient and thaw strain. Full article
(This article belongs to the Special Issue Sustainability in Construction and Building Materials)
Show Figures

Figure 1

Back to TopTop