Sign in to use this feature.

Years

Between: -

Subjects

remove_circle_outline
remove_circle_outline
remove_circle_outline
remove_circle_outline
remove_circle_outline
remove_circle_outline
remove_circle_outline
remove_circle_outline
remove_circle_outline

Journals

Article Types

Countries / Regions

Search Results (34)

Search Parameters:
Keywords = ternary representation

Order results
Result details
Results per page
Select all
Export citation of selected articles as:
36 pages, 607 KB  
Article
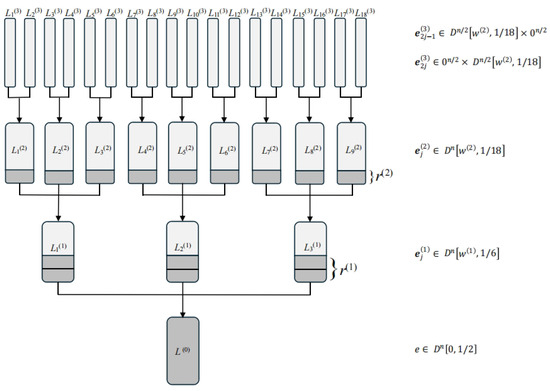
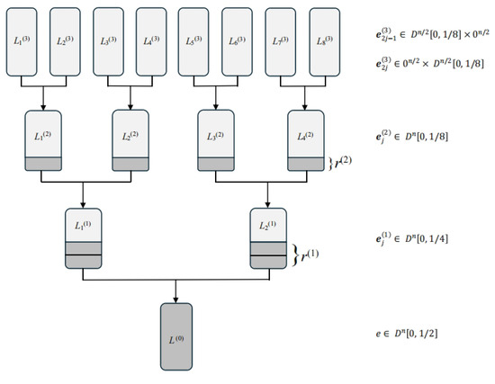
From Subset-Sum to Decoding: Improved Classical and Quantum Algorithms via Ternary Representation Technique
by Yang Li
Information 2025, 16(10), 887; https://doi.org/10.3390/info16100887 - 12 Oct 2025
Viewed by 204
Abstract
The subset-sum problem, a foundational NP-hard problem in theoretical computer science, serves as a critical building block for cryptographic constructions. This work introduces novel classical and quantum heuristic algorithms for the random subset-sum problem at density d=1, where exactly one [...] Read more.
The subset-sum problem, a foundational NP-hard problem in theoretical computer science, serves as a critical building block for cryptographic constructions. This work introduces novel classical and quantum heuristic algorithms for the random subset-sum problem at density d=1, where exactly one solution is expected. Classically, we propose the first algorithm based on a ternary tree representation structure, inspired by recent advances in lattice-based cryptanalysis. Through numerical optimization, our method achieves a time complexity of 𝒪˜20.2400n and space complexity of 𝒪˜20.2221n, improving upon the previous best classical heuristic result of 𝒪˜20.2830n. In the quantum setting, we develop a corresponding algorithm by integrating the classical ternary representation technique with a quantum walk search framework. The optimized quantum algorithm attains a time and space complexity of 𝒪˜20.1843n, surpassing the prior state-of-the-art quantum heuristic of 𝒪˜20.2182n. Furthermore, we apply our algorithms to information set decoding in code-based cryptography. For half-distance decoding, our classical algorithm improves the time complexity to 𝒪˜20.0453n, surpassing the previous best of 𝒪˜20.0465n. For full-distance decoding, we achieve a quantum complexity of 𝒪˜20.058326n, advancing beyond the prior best quantum result of 𝒪˜20.058696n. These findings demonstrate the broad applicability and efficiency of our ternary representation technique across both classical and quantum computational models. Full article
Show Figures

Graphical abstract

21 pages, 5145 KB  
Article
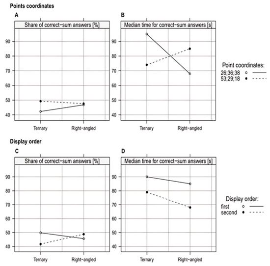
Ternary vs. Right-Angled Plots in Agricultural Research: An Assessment of Data Representation Efficiency and User Perception
by Małgorzata Tartanus, Daniel Sas, Bartłomiej Borowski, Eligio Malusà and Marcin Kozak
Appl. Sci. 2025, 15(18), 9949; https://doi.org/10.3390/app15189949 - 11 Sep 2025
Viewed by 399
Abstract
Visual representation of data can ease their understanding and interpretation, particularly when more variables are considered together. The ternary plot, based on a barycentric coordinate system and commonly used to represent compositional variables, may be difficult to interpret due to its structural complexity—stemming [...] Read more.
Visual representation of data can ease their understanding and interpretation, particularly when more variables are considered together. The ternary plot, based on a barycentric coordinate system and commonly used to represent compositional variables, may be difficult to interpret due to its structural complexity—stemming in part from the 60° axis projection and the need for indirect value estimation. This article presents its new alternative, the right-angled triangle plot, and compares the two plot types in the representation of a compositional variable of three components. According to a theoretical comparison, the right-angled plot has several technical advantages (e.g., larger plotting area, direct axis reading), resulting from its construction being based on the Cartesian coordinate system. To verify this hypothesis from an empirical point of view, a survey was conducted involving 441 researchers to assess the effectiveness in correctly interpreting the data presented on both plots. The bias was lower, and the precision was higher on the right-angled plot. Indeed, this study’s results, particularly the higher accuracy (more than 95% when a minimal tolerance was allowed) in determining the values of individual variables (X, Y, and Z), as well as the correctly identification of all three variables simultaneously in the right-angled plot compared with the ternary plot, suggest that the former may hold potential for improving the visualization of compositional data with three components. However, introducing this new type of plot would require familiarizing potential users with it, since the majority of respondents (63.2%) still considered the ternary plot easier to use, likely due to its long use and the novelty of the new plot type. Full article
(This article belongs to the Section Agricultural Science and Technology)
Show Figures

Figure 1

23 pages, 3055 KB  
Article
RDPNet: A Multi-Scale Residual Dilated Pyramid Network with Entropy-Based Feature Fusion for Epileptic EEG Classification
by Tongle Xie, Wei Zhao, Yanyouyou Liu and Shixiao Xiao
Entropy 2025, 27(8), 830; https://doi.org/10.3390/e27080830 - 5 Aug 2025
Viewed by 784
Abstract
Epilepsy is a prevalent neurological disorder affecting approximately 50 million individuals worldwide. Electroencephalogram (EEG) signals play a vital role in the diagnosis and analysis of epileptic seizures. However, traditional machine learning techniques often rely on handcrafted features, limiting their robustness and generalizability across [...] Read more.
Epilepsy is a prevalent neurological disorder affecting approximately 50 million individuals worldwide. Electroencephalogram (EEG) signals play a vital role in the diagnosis and analysis of epileptic seizures. However, traditional machine learning techniques often rely on handcrafted features, limiting their robustness and generalizability across diverse EEG acquisition settings, seizure types, and patients. To address these limitations, we propose RDPNet, a multi-scale residual dilated pyramid network with entropy-guided feature fusion for automated epileptic EEG classification. RDPNet combines residual convolution modules to extract local features and a dilated convolutional pyramid to capture long-range temporal dependencies. A dual-pathway fusion strategy integrates pooled and entropy-based features from both shallow and deep branches, enabling robust representation of spatial saliency and statistical complexity. We evaluate RDPNet on two benchmark datasets: the University of Bonn and TUSZ. On the Bonn dataset, RDPNet achieves 99.56–100% accuracy in binary classification, 99.29–99.79% in ternary tasks, and 95.10% in five-class classification. On the clinically realistic TUSZ dataset, it reaches a weighted F1-score of 95.72% across seven seizure types. Compared with several baselines, RDPNet consistently outperforms existing approaches, demonstrating superior robustness, generalizability, and clinical potential for epileptic EEG analysis. Full article
(This article belongs to the Special Issue Complexity, Entropy and the Physics of Information, 2nd Edition)
Show Figures

Figure 1

32 pages, 521 KB  
Article
FedDT: A Communication-Efficient Federated Learning via Knowledge Distillation and Ternary Compression
by Zixiao He, Gengming Zhu, Shaobo Zhang, Entao Luo and Yijiang Zhao
Electronics 2025, 14(11), 2183; https://doi.org/10.3390/electronics14112183 - 28 May 2025
Cited by 1 | Viewed by 2890
Abstract
Federated learning (FL) enables privacy-preserving collaborative training by iteratively aggregating locally trained model parameters on a central server while keeping raw data decentralized. However, FL faces critical challenges arising from data heterogeneity, model heterogeneity, and excessive communication costs. To address these issues, we [...] Read more.
Federated learning (FL) enables privacy-preserving collaborative training by iteratively aggregating locally trained model parameters on a central server while keeping raw data decentralized. However, FL faces critical challenges arising from data heterogeneity, model heterogeneity, and excessive communication costs. To address these issues, we propose a communication-efficient federated learning via knowledge distillation and ternary compression framework (FedDT). First, to mitigate the negative impact of data heterogeneity, we pre-train personalized heterogeneous teacher models for each client and employ knowledge distillation to transfer knowledge from teachers to student models, enhancing convergence speed and generalization capability. Second, to resolve model heterogeneity, we utilize the server-initialized global model as a shared student model across clients, where homogeneous student models mask local architectural variations to align feature representations. Finally, to reduce communication overhead, we introduce a two-level compression strategy that quantizes the distilled student model into ternary weight networks layer by layer, substantially decreasing parameter size. Comprehensive evaluations on both MNIST and Cifar10 datasets confirm that FedDT attains 7.85% higher model accuracy and reduces communication overhead by an average of 78% compared to baseline methods. This approach provides a lightweight solution for FL systems, significantly lowering communication costs while maintaining superior performance. Full article
Show Figures

Figure 1

19 pages, 5246 KB  
Article
Prediction of Physical and Mechanical Properties of Al2O3–TiB2–TiC Composites Using Design of Mixture Experiments
by Nestor Washington Solís Pinargote, Yuri Pristinskiy, Yaroslav Meleshkin, Alexandra Yu. Kurmysheva, Aleksandr Mozhaev, Nikolay Lavreshin and Anton Smirnov
Ceramics 2024, 7(4), 1639-1657; https://doi.org/10.3390/ceramics7040105 - 7 Nov 2024
Cited by 1 | Viewed by 1406
Abstract
In this study, the design of mixture experiments was used to find empirical models that could predict, for a first approximation, the relative density, flexural strength, Vickers hardness and fracture toughness of sintered composites in order to identify further areas of research in [...] Read more.
In this study, the design of mixture experiments was used to find empirical models that could predict, for a first approximation, the relative density, flexural strength, Vickers hardness and fracture toughness of sintered composites in order to identify further areas of research in the Al2O3-TiB2-TiC ternary system. The composites were obtained by spark plasma sintering (SPS) of these mixtures at 1700 °C, 80 MPa and a dwell of 3 min. The obtained experimental results were analyzed in the statistical analysis software Minitab 17, and then, different regression models were obtained for each property. Based on the selected models, contour plots were made in the Al2O3–TiB2–TiC simplex for a visual representation of the predicted results. By combining these plots, it was possible to obtain one common zone in the Al2O3–TiB2–TiC simplex, which shows the following combination of physical and mechanical properties for sintered samples: relative densities, flexural strength, Vickers hardness, and fracture toughness of than 99%, 500 MPa, 18 GPa, and 7.0 МPa·m1/2, respectively. For a first approximation in determining the further area of research, the obtained models describe well the behavior of the studied properties. The results of the analysis showed that the design of mixture experiments allows us to identify the most promising compositions in terms of mechanical properties without resorting to labor-intensive and financially expensive full-scale experiments. Our work shows that 10 different compositions were required for preliminary analysis. Full article
(This article belongs to the Special Issue Advances in Ceramics, 2nd Edition)
Show Figures

Graphical abstract

16 pages, 3313 KB  
Article
New Experimental Approaches for the Determination of Flammability Limits in Methane–Hydrogen Mixtures with CO2 Inertization Using the Spark Test Apparatus
by Isabel Amez, Roberto Paredes, David León, David Bolonio, Dimitrios Pantelakis and Blanca Castells
Fire 2024, 7(11), 403; https://doi.org/10.3390/fire7110403 - 2 Nov 2024
Viewed by 2190
Abstract
This study presents a novel experimental method to determine the flammability limits and the minimum oxygen concentration in methane–hydrogen mixtures using the spark test apparatus (STA), by incorporating CO2 as an inert compound. The proposed methodology allows for the more accurate and [...] Read more.
This study presents a novel experimental method to determine the flammability limits and the minimum oxygen concentration in methane–hydrogen mixtures using the spark test apparatus (STA), by incorporating CO2 as an inert compound. The proposed methodology allows for the more accurate and efficient assessment of the safety of these flammable mixtures, which is crucial for industrial applications where hydrogen-enriched fuels are used. When comparing the literature data, the differences between methods are not significant, although the procedure, apparatus, and test conditions influence the results. Then, the proposed method is experimentally validated in the STA. Methane is enriched with hydrogen at different concentrations (10, 20, 30, and 50%). The results in the STA show good alignment with the literature data. Furthermore, literature data analysis allows for the generation of an empirical curve that shows the influence of hydrogen addition in methane–air mixtures. The theoretical flammability intervals are also presented as a result. Such representations, after method validation, are the base of the flammability interval test in the STA. The capability of the STA to define flammability ranges in ternary diagrams provides an innovative graphical approach to control explosive atmospheres and facilitates its application in the prevention of industrial accidents. Full article
Show Figures

Figure 1

21 pages, 359 KB  
Article
Ternary Associativity and Ternary Lie Algebras at Cube Roots of Unity
by Viktor Abramov
Axioms 2024, 13(10), 687; https://doi.org/10.3390/axioms13100687 - 3 Oct 2024
Viewed by 1084
Abstract
We propose a new approach to extend the notion of commutator and Lie algebra to algebras with ternary multiplication laws. Our approach is based on the ternary associativity of the first and second kinds. We propose a ternary commutator, which is a linear [...] Read more.
We propose a new approach to extend the notion of commutator and Lie algebra to algebras with ternary multiplication laws. Our approach is based on the ternary associativity of the first and second kinds. We propose a ternary commutator, which is a linear combination of six triple products (all permutations of three elements). The coefficients of this linear combination are the cube roots of unity. We find an identity for the ternary commutator that holds due to the ternary associativity of either the first or second kind. The form of this identity is determined by the permutations of the general affine group GA(1,5)S5. We consider this identity as a ternary analog of the Jacobi identity. Based on the results obtained, we introduce the concept of a ternary Lie algebra at cube roots of unity and provide examples of such algebras constructed using ternary multiplications of rectangular and three-dimensional matrices. We also highlight the connection between the structure constants of a ternary Lie algebra with three generators and an irreducible representation of the rotation group. The classification of two-dimensional ternary Lie algebras at cube roots of unity is proposed. Full article
(This article belongs to the Special Issue Recent Advances in Representation Theory with Applications)
19 pages, 2031 KB  
Article
Exploring the Interplay of Dataset Size and Imbalance on CNN Performance in Healthcare: Using X-rays to Identify COVID-19 Patients
by Moshe Davidian, Adi Lahav, Ben-Zion Joshua, Ori Wand, Yotam Lurie and Shlomo Mark
Diagnostics 2024, 14(16), 1727; https://doi.org/10.3390/diagnostics14161727 - 8 Aug 2024
Cited by 7 | Viewed by 2415
Abstract
Introduction: Convolutional Neural Network (CNN) systems in healthcare are influenced by unbalanced datasets and varying sizes. This article delves into the impact of dataset size, class imbalance, and their interplay on CNN systems, focusing on the size of the training set versus imbalance—a [...] Read more.
Introduction: Convolutional Neural Network (CNN) systems in healthcare are influenced by unbalanced datasets and varying sizes. This article delves into the impact of dataset size, class imbalance, and their interplay on CNN systems, focusing on the size of the training set versus imbalance—a unique perspective compared to the prevailing literature. Furthermore, it addresses scenarios with more than two classification groups, often overlooked but prevalent in practical settings. Methods: Initially, a CNN was developed to classify lung diseases using X-ray images, distinguishing between healthy individuals and COVID-19 patients. Later, the model was expanded to include pneumonia patients. To evaluate performance, numerous experiments were conducted with varied data sizes and imbalance ratios for both binary and ternary classifications, measuring various indices to validate the model’s efficacy. Results: The study revealed that increasing dataset size positively impacts CNN performance, but this improvement saturates beyond a certain size. A novel finding is that the data balance ratio influences performance more significantly than dataset size. The behavior of three-class classification mirrored that of binary classification, underscoring the importance of balanced datasets for accurate classification. Conclusions: This study emphasizes the fact that achieving balanced representation in datasets is crucial for optimal CNN performance in healthcare, challenging the conventional focus on dataset size. Balanced datasets improve classification accuracy, both in two-class and three-class scenarios, highlighting the need for data-balancing techniques to improve model reliability and effectiveness. Motivation: Our study is motivated by a scenario with 100 patient samples, offering two options: a balanced dataset with 200 samples and an unbalanced dataset with 500 samples (400 healthy individuals). We aim to provide insights into the optimal choice based on the interplay between dataset size and imbalance, enriching the discourse for stakeholders interested in achieving optimal model performance. Limitations: Recognizing a single model’s generalizability limitations, we assert that further studies on diverse datasets are needed. Full article
(This article belongs to the Special Issue Respiratory Diseases: Diagnosis and Management)
Show Figures

Figure 1

18 pages, 5928 KB  
Article
Enhanced Efficiency of MHD-Driven Double-Diffusive Natural Convection in Ternary Hybrid Nanofluid-Filled Quadrantal Enclosure: A Numerical Study
by Saleh Mousa Alzahrani and Talal Ali Alzahrani
Mathematics 2024, 12(10), 1423; https://doi.org/10.3390/math12101423 - 7 May 2024
Cited by 10 | Viewed by 1508
Abstract
The study investigates the performance of fluid flow, thermal, and mass transport within a cavity, highlighting its application in various engineering sectors like nuclear reactors and solar collectors. Currently, the focus is on enhancing heat and mass transfer through the use of ternary [...] Read more.
The study investigates the performance of fluid flow, thermal, and mass transport within a cavity, highlighting its application in various engineering sectors like nuclear reactors and solar collectors. Currently, the focus is on enhancing heat and mass transfer through the use of ternary hybrid nanofluid. Motivated by this, our research delves into the efficiency of double-diffusive natural convective (DDNC) flow, heat, and mass transfer of a ternary hybrid nanosuspension (a mixture of Cu-CuO-Al2O3 in water) in a quadrantal enclosure. The enclosure’s lower wall is set to high temperatures and concentrations (Th and Ch), while the vertical wall is kept at lower levels (Tc and Cc). The curved wall is thermally insulated, with no temperature or concentration gradients. We utilize the finite element method, a distinguished numerical approach, to solve the dimensionless partial differential equations governing the system. Our analysis examines the effects of nanoparticle volume fraction, Rayleigh number, Hartmann number, and Lewis number on flow and thermal patterns, assessed through Nusselt and Sherwood numbers using streamlines, isotherms, isoconcentration, and other appropriate representations. The results show that ternary hybrid nanofluid outperforms both nanofluid and hybrid nanofluid, exhibiting a more substantial enhancement in heat transfer efficiency with increasing volume concentration of nanoparticles. Full article
Show Figures

Figure 1

26 pages, 2339 KB  
Article
Switching Self-Attention Text Classification Model with Innovative Reverse Positional Encoding for Right-to-Left Languages: A Focus on Arabic Dialects
by Laith H. Baniata and Sangwoo Kang
Mathematics 2024, 12(6), 865; https://doi.org/10.3390/math12060865 - 15 Mar 2024
Cited by 4 | Viewed by 2511
Abstract
Transformer models have emerged as frontrunners in the field of natural language processing, primarily due to their adept use of self-attention mechanisms to grasp the semantic linkages between words in sequences. Despite their strengths, these models often face challenges in single-task learning scenarios, [...] Read more.
Transformer models have emerged as frontrunners in the field of natural language processing, primarily due to their adept use of self-attention mechanisms to grasp the semantic linkages between words in sequences. Despite their strengths, these models often face challenges in single-task learning scenarios, particularly when it comes to delivering top-notch performance and crafting strong latent feature representations. This challenge is more pronounced in the context of smaller datasets and is particularly acute for under-resourced languages such as Arabic. In light of these challenges, this study introduces a novel methodology for text classification of Arabic texts. This method harnesses the newly developed Reverse Positional Encoding (RPE) technique. It adopts an inductive-transfer learning (ITL) framework combined with a switching self-attention shared encoder, thereby increasing the model’s adaptability and improving its sentence representation accuracy. The integration of Mixture of Experts (MoE) and RPE techniques empowers the model to process longer sequences more effectively. This enhancement is notably beneficial for Arabic text classification, adeptly supporting both the intricate five-point and the simpler ternary classification tasks. The empirical evidence points to its outstanding performance, achieving accuracy rates of 87.20% for the HARD dataset, 72.17% for the BRAD dataset, and 86.89% for the LABR dataset, as evidenced by the assessments conducted on these datasets. Full article
(This article belongs to the Special Issue Recent Trends and Advances in the Natural Language Processing)
Show Figures

Figure 1

17 pages, 342 KB  
Article
SO(3)-Irreducible Geometry in Complex Dimension Five and Ternary Generalization of Pauli Exclusion Principle
by Viktor Abramov and Olga Liivapuu
Universe 2024, 10(1), 2; https://doi.org/10.3390/universe10010002 - 21 Dec 2023
Cited by 1 | Viewed by 1607
Abstract
Motivated by a ternary generalization of the Pauli exclusion principle proposed by R. Kerner, we propose a notion of a Z3-skew-symmetric covariant SO(3)-tensor of the third order, consider it as a 3-dimensional matrix, and study the geometry [...] Read more.
Motivated by a ternary generalization of the Pauli exclusion principle proposed by R. Kerner, we propose a notion of a Z3-skew-symmetric covariant SO(3)-tensor of the third order, consider it as a 3-dimensional matrix, and study the geometry of the 10-dimensional complex space of these tensors. We split this 10-dimensional space into a direct sum of two 5-dimensional subspaces by means of a primitive third-order root of unity q, and in each subspace, there is an irreducible representation of the rotation group SO(3)SU(5). We find two SO(3)-invariants of Z3-skew-symmetric tensors: one is the canonical Hermitian metric in five-dimensional complex vector space and the other is a quadratic form denoted by K(z,z). We study the invariant properties of K(z,z) and find its stabilizer. Making use of these invariant properties, we define an SO(3)-irreducible geometric structure on a five-dimensional complex Hermitian manifold. We study a connection on a five-dimensional complex Hermitian manifold with an SO(3)-irreducible geometric structure and find its curvature and torsion. Full article
Show Figures

Figure 1

20 pages, 11963 KB  
Article
Analysis of the Water/Cement/Bentonite Ratio Used for Construction of Cut-Off Walls
by Cristian-Ștefan Barbu, Andrei-Dan Sabău, Daniel-Marcel Manoli, Manole-Stelian Șerbulea, Ruxandra Erbașu, Daniela Țăpuși, Olga Szlachetka, Justyna Dzięcioł, Anna Baryła, Marek Dohojda and Wojciech Sas
Buildings 2023, 13(12), 2922; https://doi.org/10.3390/buildings13122922 - 23 Nov 2023
Cited by 5 | Viewed by 3036
Abstract
In recent years, because of the continuous expansion of urban areas, an increased necessity to isolate historically polluted sites by means of artificial, flexible, low-permeability barriers has emerged. Moreover, due to cost and efficiency considerations, various combinations of materials that fulfill the previously [...] Read more.
In recent years, because of the continuous expansion of urban areas, an increased necessity to isolate historically polluted sites by means of artificial, flexible, low-permeability barriers has emerged. Moreover, due to cost and efficiency considerations, various combinations of materials that fulfill the previously stated requirements have been proposed. On the basis of a literature review, this paper analyses the relationships between water, cement, and bentonite, and the physical and mechanical properties of the resulting material created in combination with standard sand introduced in the mixture using a ratio of 2:1 with respect to the solid part of the mixture (cement and bentonite). The quantity of standard sand was established following previous research conducted by the authors. The relation between water, cement, and bentonite is analyzed through properties such as viscosity, permeability, and undrained cohesion, and the representation of mixtures and their corresponding parameters was carried out using a ternary diagram. This paper provides a graphical approach to finding the optimum water/bentonite/cement mixture required for barrier design, taking into account permeability, undrained cohesion, and mixture viscosity. Full article
(This article belongs to the Special Issue Research on the Mechanical and Durability Properties of Concrete)
Show Figures

Figure 1

16 pages, 9749 KB  
Article
Research on the Cyberspace Map and Its Conceptual Model
by Lan Zhang, Guangxia Wang, Xiong You, Zhiyong Liu, Lin Ma, Jiangpeng Tian and Mingzhan Su
ISPRS Int. J. Geo-Inf. 2023, 12(9), 353; https://doi.org/10.3390/ijgi12090353 - 25 Aug 2023
Cited by 6 | Viewed by 3970
Abstract
The cyberspace map, as one of the important tools for describing cyberspace, provides a visual representation of the dynamic and elusive nature of cyberspace. It has become a research hotspot in multiple disciplinary fields. Compared with traditional maps, cyberspace maps lack the guidance [...] Read more.
The cyberspace map, as one of the important tools for describing cyberspace, provides a visual representation of the dynamic and elusive nature of cyberspace. It has become a research hotspot in multiple disciplinary fields. Compared with traditional maps, cyberspace maps lack the guidance of cartography theory and have not yet formed a unified understanding. Clarifying the concept of the cyberspace map and developing a conceptual model of it could enhance people’s unified understanding of cyberspace. Drawing from the perspective of cartography, this paper analyzes the current situation of cyberspace map research, first discussing the characteristics and definition of the cyberspace map and then proposing the conceptual model of a cyberspace map. This model elaborates on the types of map elements and their specific composition, the strength of their element–space association, the mapping of relationships between elements, element symbolization, and map expression. Then, based on the model proposed in this paper, typical maps are compared and analyzed, and design suggestions are provided. Finally, the entire article is summarized. This paper aims to adapt the development trend of cartography to the ternary space, clarify the basic concept of the cyberspace map, promote the development of cyberspace mapping theory, and lay the foundation for future research. Full article
Show Figures

Figure 1

26 pages, 5025 KB  
Article
Memory-Efficient Fixed-Length Representation of Synchronous Event Frames for Very-Low-Power Chip Integration
by Ionut Schiopu and Radu Ciprian Bilcu
Electronics 2023, 12(10), 2302; https://doi.org/10.3390/electronics12102302 - 19 May 2023
Cited by 4 | Viewed by 1949
Abstract
The new event cameras are now widely used in many computer vision applications. Their high raw data bitrate levels require a more efficient fixed-length representation for low-bandwidth transmission from the event sensor to the processing chip. A novel low-complexity lossless compression framework is [...] Read more.
The new event cameras are now widely used in many computer vision applications. Their high raw data bitrate levels require a more efficient fixed-length representation for low-bandwidth transmission from the event sensor to the processing chip. A novel low-complexity lossless compression framework is proposed for encoding the synchronous event frames (EFs) by introducing a novel memory-efficient fixed-length representation suitable for hardware implementation in the very-low-power (VLP) event-processing chip. A first contribution proposes an improved representation of the ternary frames using pixel-group frame partitioning and symbol remapping. Another contribution proposes a novel low-complexity memory-efficient fixed-length representation using multi-level lookup tables (LUTs). Complex experimental analysis is performed using a set of group-size configurations. For very-large group-size configurations, an improved representation is proposed using a mask-LUT structure. The experimental evaluation on a public dataset demonstrates that the proposed fixed-length coding framework provides at least two times the compression ratio relative to the raw EF representation and a close performance compared with variable-length video coding standards and variable-length state-of-the-art image codecs for lossless compression of ternary EFs generated at frequencies bellow one KHz. To our knowledge, the paper is the first to introduce a low-complexity memory-efficient fixed-length representation for lossless compression of synchronous EFs, suitable for integration into a VLP event-processing chip. Full article
Show Figures

Figure 1

16 pages, 4096 KB  
Article
Chromatographic Characterization of Archaeological Molluskan Colorants via the Di-Mono Index and Ternary Diagram
by Zvi C. Koren
Heritage 2023, 6(2), 2186-2201; https://doi.org/10.3390/heritage6020116 - 19 Feb 2023
Cited by 6 | Viewed by 3323
Abstract
One of the main research questions regarding archaeological molluscan purple pigments and dyes is whether it is possible to determine which malacological species produced these colorants. For this determination of the zoological provenance of the pigment, a multicomponent analysis must be performed, which [...] Read more.
One of the main research questions regarding archaeological molluscan purple pigments and dyes is whether it is possible to determine which malacological species produced these colorants. For this determination of the zoological provenance of the pigment, a multicomponent analysis must be performed, which can only be obtained from the HPLC technique—the optimal method for identifying all the detectable colorants in a sample. In order to find any trends in the compositions of the dye components from various species of purple-producing sea snails, a statistical formulation is needed. Though principal component analysis (PCA) is a powerful statistical tool that has been used in the analysis of these components, it is based on an algorithm that combines all the componential values and produces new two-dimensional parameters whereby the individualities of the original dye component values are lost. To maintain the integrity of the dye compositions in the purple pigments, a very simple formulation was first published in 2008 and applied to a limited number of samples. This property is known as DMI (short for Di-Mono Index), and for each sample, it is simply the ratio of the peak area of DBI relative to that of MBI, evaluated at the standard wavelength of 288 nm, which has been used for such peak calculations. Currently, considerably more modern and archaeological pigments have been analyzed via HPLC; thus, in the current study, the DMI has been expanded to characterize these purple pigments. Furthermore, a ternary diagram comprising the blue, violet, and red components that can be found in purple colorants is presented for both modern and archaeological purple pigments from the three Muricidae species known in antiquity to produce purple pigments. This triangular diagram is intuitive, retains the integrity of the original dyes, and is presented here for the first time. Both the DMI and the ternary diagram can discern whether a Hexaplex trunculus species or perhaps the Bolinus brandaris or Stramonita haemastoma species were used to produce the pigment. Further, these two representations can also determine whether the IND-rich or the DBI-rich varieties, or both, of H. trunculus were used to produce the purple pigment, either as a paint pigment or as a textile dye. Full article
(This article belongs to the Special Issue Dyes in History and Archaeology 41)
Show Figures

Figure 1

Back to TopTop