Sign in to use this feature.

Years

Between: -

Subjects

remove_circle_outline
remove_circle_outline
remove_circle_outline
remove_circle_outline

Journals

Article Types

Countries / Regions

Search Results (13)

Search Parameters:
Keywords = temperature sensitive microgels

Order results
Result details
Results per page
Select all
Export citation of selected articles as:
13 pages, 2752 KB  
Article
Development and Mechanistic Evaluation of Polymeric Nanomicrogels Under High-Temperature and High-Salinity Conditions
by Wei Zhang, Yinbo He, Tengfei Dong, Huayan Mu, Guancheng Jiang and Quande Wang
Gels 2025, 11(9), 689; https://doi.org/10.3390/gels11090689 - 30 Aug 2025
Cited by 1 | Viewed by 995
Abstract
Fracture-induced loss poses severe challenges to drilling operations, particularly under high-temperature and high-salinity conditions encountered in deep wells. Conventional plugging materials, characterized by relatively large particle sizes and poor structural integrity, often exhibit insufficient thermal stability and salt tolerance under extreme drilling conditions, [...] Read more.
Fracture-induced loss poses severe challenges to drilling operations, particularly under high-temperature and high-salinity conditions encountered in deep wells. Conventional plugging materials, characterized by relatively large particle sizes and poor structural integrity, often exhibit insufficient thermal stability and salt tolerance under extreme drilling conditions, making them prone to structural degradation and loss of adhesion, which ultimately leads to drilling fluid deterioration and downhole complications. To address this issue, a core–shell-structured microgel, ANDT-70 (named after the acronyms of 2-acrylamido-2-methylpropane sulfonic acid, N-vinyl-2-pyrrolidinone, N, N-dimethylacrylamide, dimethyl diallyl ammonium chloride, and titanium dioxide nanoparticles), was synthesized and systematically evaluated for its thermal stability, salt resistance, and interfacial adhesion capabilities. The structural evolution, dispersion behavior, and colloidal stability of the microgel were thoroughly characterized using scanning electron microscopy (SEM), transmission electron microscopy (TEM), atomic force microscopy (AFM), Raman spectroscopy, and Zeta potential analysis. Experimental results indicate that ANDT-70 exhibits excellent thermal stability and resistance to salt-induced degradation at 260 °C, maintaining its fundamental structure and performance under harsh high-temperature and high-salinity conditions, with a viscosity retention of 81.10% compared with ambient conditions. Compared to representative materials reported in the literature, ANDT-70 exhibited superior tolerance to ionic erosion in saline conditions. AFM analysis confirmed that ANDT-70 significantly improves bentonite slurry dispersion and reduces salt sensitivity risks. ANDT-70 stably adsorbs onto bentonite lamellae via the synergistic action of electrostatic interactions and hydrogen bonding, thereby forming a dense cementation network that markedly enhances the structural stability and adhesion of the system. This network significantly enhances the cohesion and structural integrity of drilling fluid systems under extreme conditions. In conclusion, ANDT-70 demonstrates strong potential as a high-performance functional microgel for enhancing the stability and effectiveness of advanced drilling fluids under complex geological environments. Full article
(This article belongs to the Special Issue Polymer Gels for Oil Recovery and Industry Applications)
Show Figures

Figure 1

14 pages, 3806 KB  
Article
Microgels of N-Isopropylacrylamide Copolymerized with an Amphiphilic Acid for the Delivery of Doxorubicin
by Teresa G. Rodriguez-Tellez, Héctor Magaña, José M. Cornejo-Bravo, Giovanni Palomino-Vizcaino and Kenia Palomino-Vizcaino
Gels 2024, 10(12), 806; https://doi.org/10.3390/gels10120806 - 7 Dec 2024
Cited by 2 | Viewed by 1644
Abstract
This study aims to design microgels that are thermo- and pH-sensitive for controlled doxorubicin (Dox) release in response to tumor microenvironment changes. N-isopropylacrylamide (NIPAAm) is widely used for thermoresponsive tumor-targeted drug delivery systems for the release of therapeutic payloads in response to temperature [...] Read more.
This study aims to design microgels that are thermo- and pH-sensitive for controlled doxorubicin (Dox) release in response to tumor microenvironment changes. N-isopropylacrylamide (NIPAAm) is widely used for thermoresponsive tumor-targeted drug delivery systems for the release of therapeutic payloads in response to temperature changes. Herein, a NIPAAm microgel (MP) that is responsive to temperature and pH was designed for the smart delivery of Dox. MP was made from NIPAAm, and polyethylene glycol methyl ether methacrylate (PEGMA) was copolymerized with 5%, 10%, or 15% mol of methacryloylamido hexanoic acid, (CAM5) an amphiphilic acid. We characterized the microgels using FTIR-ATR, DLS, and FESEM. The MP 10% CAM5 exhibited a particle size of 268 nm, with a transition temperature of 44 °C. MP had a drug loading capacity of 13% and entrapment efficiency of 87%. Nearly 100% of the Dox was released at pH 5 and 42 °C, compared to 30% at pH 7.4 and 37 °C. MP 10% CAM5 showed cytocompatibility in HeLa cells using the MTT assay. However, the cell viability assay showed that dox-MP was twice as effective as free Dox. Specifically, 3 μg/mL of free Dox resulted in 74% cell viability, while the same doses of Dox in NP reduced it to 35%. These results are promising for the future tumor-targeted delivery of antineoplastic-drugs, as they may reduce the side effects of Dox. Full article
(This article belongs to the Special Issue Advances in Responsive Hydrogels (2nd Edition))
Show Figures

Graphical abstract

17 pages, 3415 KB  
Article
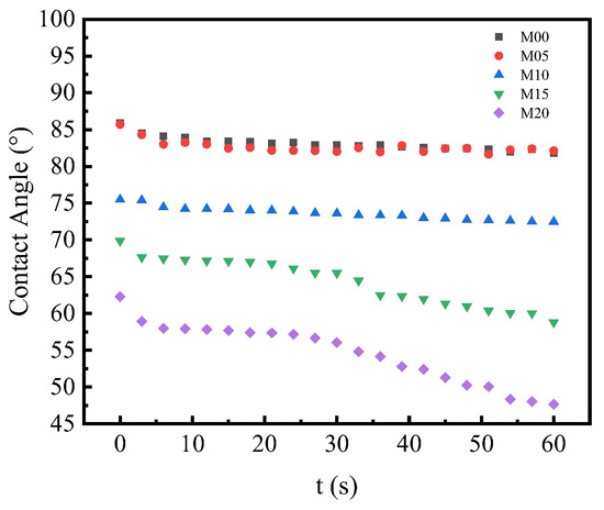
Thermo-Sensitive Microgel/Poly(ether sulfone) Composited Ultrafiltration Membranes
by Wei Fan, Shaoxiong Zhu, Jingjing Nie and Binyang Du
Materials 2023, 16(14), 5149; https://doi.org/10.3390/ma16145149 - 21 Jul 2023
Cited by 1 | Viewed by 1755
Abstract
Thermo-sensitive microgels known as PMO-MGs were synthesized via surfactant free emulsion polymerization, with poly(ethylene glycol) methacrylate (OEGMA475) and 2-(2-methoxyethoxy) ethyl methacrylate (MEO2MA) used as the monomers and N, N-methylene-bis-acrylamide used as the crosslinker. PMO-MGs are spherical in shape and [...] Read more.
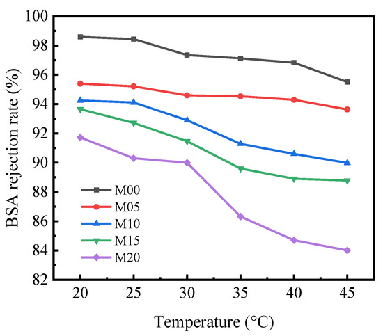
Thermo-sensitive microgels known as PMO-MGs were synthesized via surfactant free emulsion polymerization, with poly(ethylene glycol) methacrylate (OEGMA475) and 2-(2-methoxyethoxy) ethyl methacrylate (MEO2MA) used as the monomers and N, N-methylene-bis-acrylamide used as the crosslinker. PMO-MGs are spherical in shape and have an average diameter of 323 ± 12 nm, as determined via transmission electron microscopy. PMO-MGs/poly (ether sulfone) (PES) composited ultrafiltration membranes were then successfully prepared via the non-solvent-induced phase separation (NIPS) method using a PMO-MG and PES mixed solution as the casting solution. The obtained membranes were systematically characterized via combined X-ray photoelectron spectroscopy, field-emission scanning electron microscopy, Fourier transform infrared spectroscopy and contact angle goniometer techniques. It was found that the presence of PMO-MGs significantly improved the surface hydrophilicity and antifouling performance of the obtained membranes and the PMO-MGs mainly located on the channel surface of the membranes. At 20 °C, the pure water flux increased from 217.6 L·m−2·h−1 for pure PES membrane (M00) to 369.7 L·m−2·h−1 for PMO-MGs/PES composited membrane (M20) fabricated using the casting solution with 20-weight by percentage microgels. The incorporation of PMO-MGs also gave the composited membranes a thermo-sensitive character. When the temperature increased from 20 to 45 °C, the pure water flux of M20 membrane was enhanced from 369.7 to 618.7 L·m−2·h−1. Full article
(This article belongs to the Section Polymeric Materials)
Show Figures

Figure 1

12 pages, 1352 KB  
Article
Bragg–Williams Theory for Particles with a Size-Modulating Internal Degree of Freedom
by Guilherme Volpe Bossa and Sylvio May
Molecules 2023, 28(13), 5060; https://doi.org/10.3390/molecules28135060 - 28 Jun 2023
Cited by 2 | Viewed by 2292
Abstract
The field of soft matter teems with molecules and aggregates of molecules that have internal size-modulating degrees of freedom. Proteins, peptides, microgels, polymers, micelles, and even some colloids can exist in multiple—often just two dominating—states with different effective sizes, where size can refer [...] Read more.
The field of soft matter teems with molecules and aggregates of molecules that have internal size-modulating degrees of freedom. Proteins, peptides, microgels, polymers, micelles, and even some colloids can exist in multiple—often just two dominating—states with different effective sizes, where size can refer to the volume or to the cross-sectional area for particles residing on surfaces. The size-dependence of their accessible states renders the behavior of these particles pressure-sensitive. The Bragg–Williams model is among the most simple mean-field methods to translate the presence of inter-particle interactions into an approximate phase diagram. Here, we extend the Bragg–Williams model to account for the presence of particles that are immersed in a solvent and exist in two distinct states, one occupying a smaller and the other one a larger size. The basis of the extension is a lattice–sublattice approximation that we use to host the two size-differing states. Our model includes particle–solvent interactions that act as an effective surface tension between particles and solvent and are ignorant of the state in which the particles reside. We analyze how the energetic preference of the particles for one or the other state affects the phase diagrams. The possibility of a single phase-two phases-single phase sequence of phase transitions as a function of increasing temperature is demonstrated. Full article
(This article belongs to the Special Issue Exclusive Feature Papers in Physical Chemistry)
Show Figures

Figure 1

13 pages, 3041 KB  
Article
Thermal Lens Measurements of Thermal Expansivity in Thermosensitive Polymer Solutions
by Vincenzo Ruzzi, Stefano Buzzaccaro and Roberto Piazza
Polymers 2023, 15(5), 1283; https://doi.org/10.3390/polym15051283 - 3 Mar 2023
Cited by 4 | Viewed by 3077
Abstract
The weak absorption of a laser beam generates in a fluid an inhomogeneous refractive index profile acting as a negative lens. This self-effect on beam propagation, known as Thermal Lensing (TL), is extensively exploited in sensitive spectroscopic techniques, and in several all-optical methods [...] Read more.
The weak absorption of a laser beam generates in a fluid an inhomogeneous refractive index profile acting as a negative lens. This self-effect on beam propagation, known as Thermal Lensing (TL), is extensively exploited in sensitive spectroscopic techniques, and in several all-optical methods for the assessment of thermo-optical properties of simple and complex fluids. Using the Lorentz–Lorenz equation, we show that the TL signal is directly proportional to the sample thermal expansivity α, a feature allowing minute density changes to be detected with high sensitivity in a tiny sample volume, using a simple optical scheme. We took advantage of this key result to investigate the compaction of PniPAM microgels occurring around their volume phase transition temperature, and the temperature-driven formation of poloxamer micelles. For both these different kinds of structural transitions, we observed a significant peak in the solute contribution to α, indicating a decrease in the overall solution density—rather counterintuitive evidence that can nevertheless be attributed to the dehydration of the polymer chains. Finally, we compare the novel method we propose with other techniques currently used to obtain specific volume changes. Full article
(This article belongs to the Section Polymer Analysis and Characterization)
Show Figures

Graphical abstract

14 pages, 4181 KB  
Article
pH-Responsive, Thermo-Resistant Poly(Acrylic Acid)-g-Poly(boc-L-Lysine) Hydrogel with Shear-Induced Injectability
by Maria-Eleni Karga, Maria-Eleni Kargaki, Hermis Iatrou and Constantinos Tsitsilianis
Gels 2022, 8(12), 817; https://doi.org/10.3390/gels8120817 - 12 Dec 2022
Cited by 8 | Viewed by 3249
Abstract
In this study we report the rheological behavior of aqueous solutions of an amphiphilic graft copolymer constituting a polyacrylic acid (PAA) grafted by poly(boc-L-lysine), P(b-LL). Due to the highly hydrophobic nature of the grafted chains, the copolymer self-assembles spontaneously in aqueous media forming [...] Read more.
In this study we report the rheological behavior of aqueous solutions of an amphiphilic graft copolymer constituting a polyacrylic acid (PAA) grafted by poly(boc-L-lysine), P(b-LL). Due to the highly hydrophobic nature of the grafted chains, the copolymer self-assembles spontaneously in aqueous media forming three-dimensional (3D) finite size networks (microgels). The rheological analysis demonstrated that the copolymer behaves as a strong elastic hydrogel, showing characteristics of a “frozen” network. Moreover, it is noteworthy that the formulation shows the above-described characteristics in very small concentrations (0.25–1.20 wt%) compared to other naturally cross-linked hydrogels that have been studied so far. Concentration significantly affects the rheological properties of the hydrogel, showing considerable increase in elastic modulus, following the scaling law G’~C1.93. At the same time, the hydrogels can be described as intelligent stimuli-responsive systems, showing pH and shear responsiveness as well as stability with temperature changes. Thanks to the pH dependance of the degree of ionization of the weak polyelectrolyte PAA backbone, stiffness and swelling of the hydrogels can be tuned effectively by adjusting the pH conditions. Simulating conditions such as those of injection through a 28-gauge syringe needle, the gel demonstrates excellent response to shear, due to its remarkable shear thinning behavior. The combination of pH-sensitivity and shear responsiveness leads to excellent injectability and self-healing properties, given that it flows easily upon applying a low stress and recovers instantly in the site of injection. Therefore, the physically cross-linked PAA-g-P(b-LL) hydrogel exhibits remarkable features, namely biocompatibility, biodegradability of cross-links, pH responsiveness, shear-induced injectability and instantaneous self-healing, making it a potential candidate for various biomedical applications. Full article
(This article belongs to the Special Issue Structure and Properties of Functional Hydrogels)
Show Figures

Figure 1

19 pages, 3901 KB  
Review
Review of Microgels for Enhanced Oil Recovery: Properties and Cases of Application
by Yulia A. Rozhkova, Denis A. Burin, Sergey V. Galkin and Hongbin Yang
Gels 2022, 8(2), 112; https://doi.org/10.3390/gels8020112 - 11 Feb 2022
Cited by 31 | Viewed by 4687
Abstract
In todays’ world, there is an increasing number of mature oil fields every year, a phenomenon that is leading to the development of more elegant enhanced oil recovery (EOR) technologies that are potentially effective for reservoir profile modification. The technology of conformance control [...] Read more.
In todays’ world, there is an increasing number of mature oil fields every year, a phenomenon that is leading to the development of more elegant enhanced oil recovery (EOR) technologies that are potentially effective for reservoir profile modification. The technology of conformance control using crosslinked microgels is one the newest trends that is gaining momentum every year. This is due to the simplicity of the treatment process and its management, as well as the guaranteed effect in the case of the correct well candidate selection. We identified the following varieties of microgels: microspheres, thermo- and pH-responsible microgels, thin fracture of preformed particle gels, colloidal dispersed gels. In this publication, we try to combine the available chemical aspects of microgel production with the practical features of their application at oil production facilities. The purpose of this publication is to gather available information about microgels (synthesis method, monomers) and to explore world experience in microgel application for enhanced oil recovery. This article will be of great benefit to specialists engaged in polymer technologies at the initial stage of microgel development. Full article
(This article belongs to the Special Issue Advance in Composite Gels)
Show Figures

Figure 1

17 pages, 2964 KB  
Article
Thermal Behaviour of Microgels Composed of Interpenetrating Polymer Networks of Poly(N-isopropylacrylamide) and Poly(acrylic acid): A Calorimetric Study
by Silvia Franco, Elena Buratti, Valentina Nigro, Monica Bertoldo, Barbara Ruzicka and Roberta Angelini
Polymers 2022, 14(1), 115; https://doi.org/10.3390/polym14010115 - 29 Dec 2021
Cited by 12 | Viewed by 4137
Abstract
Stimuli-responsive microgels have recently attracted great attention in fundamental research as their soft particles can be deformed and compressed at high packing fractions resulting in singular phase behaviours. Moreover, they are also well suited for a wide variety of applications such as drug [...] Read more.
Stimuli-responsive microgels have recently attracted great attention in fundamental research as their soft particles can be deformed and compressed at high packing fractions resulting in singular phase behaviours. Moreover, they are also well suited for a wide variety of applications such as drug delivery, tissue engineering, organ-on-chip devices, microlenses fabrication and cultural heritage. Here, thermoresponsive and pH-sensitive cross-linked microgels, composed of interpenetrating polymer networks of poly(N-isopropylacrylamide) (PNIPAM) and poly(acrylic acid) (PAAc), are synthesized by a precipitation polymerization method in water and investigated through differential scanning calorimetry in a temperature range across the volume phase transition temperature of PNIPAM microgels. The phase behaviour is studied as a function of heating/cooling rate, concentration, pH and PAAc content. At low concentrations and PAAc contents, the network interpenetration does not affect the transition temperature typical of PNIPAM microgel in agreement with previous studies; on the contrary, we show that it induces a marked decrease at higher concentrations. DSC analysis also reveals an increase of the overall calorimetric enthalpy with increasing concentration and a decrease with increasing PAAc content. These findings are discussed and explained as related to emerging aggregation processes that can be finely controlled by properly changing concentration, PAAc content an pH. A deep analysis of the thermodynamic parameters allows to draw a temperature–concentration state diagram in the investigated concentration range. Full article
(This article belongs to the Special Issue Polymer Microgels: Synthesis and Application)
Show Figures

Graphical abstract

25 pages, 4686 KB  
Review
Chemical-Physical Behaviour of Microgels Made of Interpenetrating Polymer Networks of PNIPAM and Poly(acrylic Acid)
by Valentina Nigro, Roberta Angelini, Monica Bertoldo, Elena Buratti, Silvia Franco and Barbara Ruzicka
Polymers 2021, 13(9), 1353; https://doi.org/10.3390/polym13091353 - 21 Apr 2021
Cited by 42 | Viewed by 6812
Abstract
Microgels composed of stimuli responsive polymers have attracted worthwhile interest as model colloids for theorethical and experimental studies and for nanotechnological applications. A deep knowledge of their behaviour is fundamental for the design of new materials. Here we report the current understanding of [...] Read more.
Microgels composed of stimuli responsive polymers have attracted worthwhile interest as model colloids for theorethical and experimental studies and for nanotechnological applications. A deep knowledge of their behaviour is fundamental for the design of new materials. Here we report the current understanding of a dual responsive microgel composed of poly(N-isopropylacrylamide) (PNIPAM), a temperature sensitive polymer, and poly(acrylic acid) (PAAc), a pH sensitive polymer, at different temperatures, PAAc contents, concentrations, solvents and pH. The combination of multiple techniques as Dynamic Light Scattering (DLS), Raman spectroscopy, Small Angle Neutron Scattering (SANS), rheology and electrophoretic measurements allow to investigate the hydrodynamic radius behaviour across the typical Volume Phase Transition (VPT), the involved molecular mechanism and the internal particle structure together with the viscoelastic properties and the role of ionic charge in the aggregation phenomena. Full article
(This article belongs to the Special Issue Polymer Microgels: Synthesis and Application)
Show Figures

Figure 1

15 pages, 8937 KB  
Article
Microstructured Macromaterials Based on IPN Microgels
by Irina Rashitovna Nasimova, Vladimir Yurievich Rudyak, Anton Pavlovich Doroganov, Elena Petrovna Kharitonova and Elena Yurievna Kozhunova
Polymers 2021, 13(7), 1078; https://doi.org/10.3390/polym13071078 - 29 Mar 2021
Cited by 12 | Viewed by 3876
Abstract
This study investigates the formation of microstructured macromaterials from thermo- and pH-sensitive microgels based on interpenetrating networks of poly-N-isopropylacrylamide (PNIPAM) and polyacrylic acid (PAA). Macromaterials are produced as a result of the deposition of microgel particles and subsequent crosslinking of polyacrylic acid subnetworks [...] Read more.
This study investigates the formation of microstructured macromaterials from thermo- and pH-sensitive microgels based on interpenetrating networks of poly-N-isopropylacrylamide (PNIPAM) and polyacrylic acid (PAA). Macromaterials are produced as a result of the deposition of microgel particles and subsequent crosslinking of polyacrylic acid subnetworks to each other due to the formation of the anhydride bonds during annealing. Since both PNIPAM and PAA are environment-sensitive polymers, one can expect that their conformational state during material development will affect its resulting properties. Thus, the influence of conditions of preparation for annealing (pH of the solution, the temperature of preliminary drying) on the swelling behavior, pH- and thermosensitivity, and macromaterial inner structure was investigated. In parallel, the study of the effect of the relative conformations of the IPN microgel subnetworks on the formation of macromaterials was carried out by the computer simulations method. It was shown that the properties of the prepared macromaterials strongly depend both on the temperature and pH of the PNIPAM-PAA IPN microgel dispersions. This opens up new opportunities to obtain materials with pre-chosen characteristics and environmental sensitivity. Full article
(This article belongs to the Special Issue Polymer Microgels: Synthesis and Application)
Show Figures

Figure 1

17 pages, 8024 KB  
Article
Synthesis of Silver Nanoparticles Loaded onto Polymer-Inorganic Composite Materials and Their Regulated Catalytic Activity
by Sen Yan, Chunge Jiang, Jianwu Guo, Yinglan Fan and Ying Zhang
Polymers 2019, 11(3), 401; https://doi.org/10.3390/polym11030401 - 1 Mar 2019
Cited by 31 | Viewed by 5550
Abstract
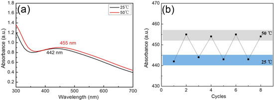
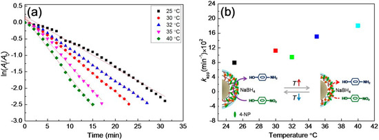
We present a novel approach for the preparation of polymer-TiO2 composite microgels. These microgels were prepared by the in situ hydrolysis and condensation of titanium tetrabutoxide (TBOT) in a mixed ethanol/acetonitrile solvent system, using poly(styrene-co-N-isopropylacrylamide)/poly(N-isopropylacrylamide-co [...] Read more.
We present a novel approach for the preparation of polymer-TiO2 composite microgels. These microgels were prepared by the in situ hydrolysis and condensation of titanium tetrabutoxide (TBOT) in a mixed ethanol/acetonitrile solvent system, using poly(styrene-co-N-isopropylacrylamide)/poly(N-isopropylacrylamide-co-methacrylic acid) (P(St-NIPAM/P(NIPAM-co-MAA)) as the core component. Silver nanoparticles (AgNPs) were controllably loaded onto the polymer-TiO2 composite microgels through the reduction of an ammoniacal silver solution in ethanol catalyzed by NaOH. The results showed that the P(St-NIPAM)/P(NIPAM-co-MAA)-TiO2 (polymer-TiO2) organic-inorganic composite microgels were less thermally sensitive than the polymer gels themselves, owing to rigid O–Ti–O chains introduced into the three-dimensional framework of the polymer microgels. The sizes of the AgNPs and their loading amount were controlled by adjusting the initial concentration of [Ag(NH3)2]+. The surface plasmon resonance (SPR) band of the P(St-NIPAM)/P(NIPAM-co-MAA)-TiO2/Ag (polymer-TiO2/Ag) composite microgels can be tuned by changing the temperature of the environment. The catalytic activities of the polymer-TiO2/Ag composite microgels were investigated in the NaBH4 reduction of 4-nitrophenol. It was demonstrated that the organic-inorganic network chains of the polymer microgels not only favor the mass transfer of the reactant but can also modulate the catalytic activities of the AgNPs by tuning the temperature. Full article
Show Figures

Graphical abstract

18 pages, 2307 KB  
Article
Surface Functionalization by Stimuli-Sensitive Microgels for Effective Enzyme Uptake and Rational Design of Biosensor Setups
by Larisa V. Sigolaeva, Dmitry V. Pergushov, Marina Oelmann, Simona Schwarz, Monia Brugnoni, Ilya N. Kurochkin, Felix A. Plamper, Andreas Fery and Walter Richtering
Polymers 2018, 10(7), 791; https://doi.org/10.3390/polym10070791 - 19 Jul 2018
Cited by 41 | Viewed by 8304
Abstract
We highlight microgel/enzyme thin films that were deposited onto solid interfaces via two sequential steps, the adsorption of temperature- and pH-sensitive microgels, followed by their complexation with the enzyme choline oxidase, ChO. Two kinds of functional (ionic) microgels were compared in this work [...] Read more.
We highlight microgel/enzyme thin films that were deposited onto solid interfaces via two sequential steps, the adsorption of temperature- and pH-sensitive microgels, followed by their complexation with the enzyme choline oxidase, ChO. Two kinds of functional (ionic) microgels were compared in this work in regard to their adsorptive behavior and interaction with ChO, that is, poly(N-isopropylacrylamide-co-N-(3-aminopropyl)methacrylamide), P(NIPAM-co-APMA), bearing primary amino groups, and poly(N-isopropylacrylamide-co-N-[3-(dimethylamino) propyl]methacrylamide), P(NIPAM-co-DMAPMA), bearing tertiary amino groups. The stimuli-sensitive properties of the microgels in the solution were characterized by potentiometric titration, dynamic light scattering (DLS), and laser microelectrophoresis. The peculiarities of the adsorptive behavior of both the microgels and the specific character of their interaction with ChO were revealed by a combination of surface characterization techniques. The surface charge was characterized by electrokinetic analysis (EKA) for the initial graphite surface and the same one after the subsequent deposition of the microgels and the enzyme under different adsorption regimes. The masses of wet microgel and microgel/enzyme films were determined by quartz crystal microbalance with dissipation monitoring (QCM-D) upon the subsequent deposition of the components under the same adsorption conditions, on a surface of gold-coated quartz crystals. Finally, the enzymatic responses of the microgel/enzyme films deposited on graphite electrodes to choline were tested amperometrically. The presence of functional primary amino groups in the P(NIPAM-co-APMA) microgel enables a covalent enzyme-to-microgel coupling via glutar aldehyde cross-linking, thereby resulting in a considerable improvement of the biosensor operational stability. Full article
(This article belongs to the Special Issue Microgels and Hydrogels at Interfaces)
Show Figures

Graphical abstract

14 pages, 28808 KB  
Article
Optimization Strategies for Responsivity Control of Microgel Assisted Lab-On-Fiber Optrodes
by Martino Giaquinto, Alberto Micco, Anna Aliberti, Eugenia Bobeico, Vera La Ferrara, Menotti Ruvo, Armando Ricciardi and Andrea Cusano
Sensors 2018, 18(4), 1119; https://doi.org/10.3390/s18041119 - 6 Apr 2018
Cited by 26 | Viewed by 4948
Abstract
Integrating multi-responsive polymers such as microgels onto optical fiber tips, in a controlled fashion, enables unprecedented functionalities to Lab-on-fiber optrodes. The creation of a uniform microgel monolayer with a specific coverage factor is crucial for enhancing the probes responsivity to a pre-defined target [...] Read more.
Integrating multi-responsive polymers such as microgels onto optical fiber tips, in a controlled fashion, enables unprecedented functionalities to Lab-on-fiber optrodes. The creation of a uniform microgel monolayer with a specific coverage factor is crucial for enhancing the probes responsivity to a pre-defined target parameter. Here we report a reliable fabrication strategy, based on the dip coating technique, for the controlled realization of microgel monolayer onto unconventional substrates, such as the optical fiber tip. The latter was previously covered by a plasmonic nanostructure to make it sensitive to superficial environment changes. Microgels have been prepared using specific Poly(N-isopropylacrylamide)-based monomers that enable bulky size changes in response to both temperature and pH variations. The formation of the microgel monolayer is efficiently controlled through the selection of suitable operating pH, temperature and concentration of particle dispersions used during the dipping procedure. The effect of each parameter has been evaluated, and the validity of our procedure is confirmed by means of both morphological and optical characterizations. We demonstrate that when the coverage factor exceeds 90%, the probe responsivity to microgels swelling/collapsing is significantly improved. Our study opens new paradigms for the development of engineered microgels assisted Lab-on-Fiber probes for biochemical applications. Full article
Show Figures

Figure 1

Back to TopTop