Optimization Strategies for Responsivity Control of Microgel Assisted Lab-On-Fiber Optrodes
Abstract
:1. Introduction
2. Materials and Methods
2.1. MGs Synthesis and Characterization
2.2. LOF Probe Fabrication and Optical Characterization
2.3. The Dip Coating Procedure
2.4. Morphological Analysis
3. Results and Discussion
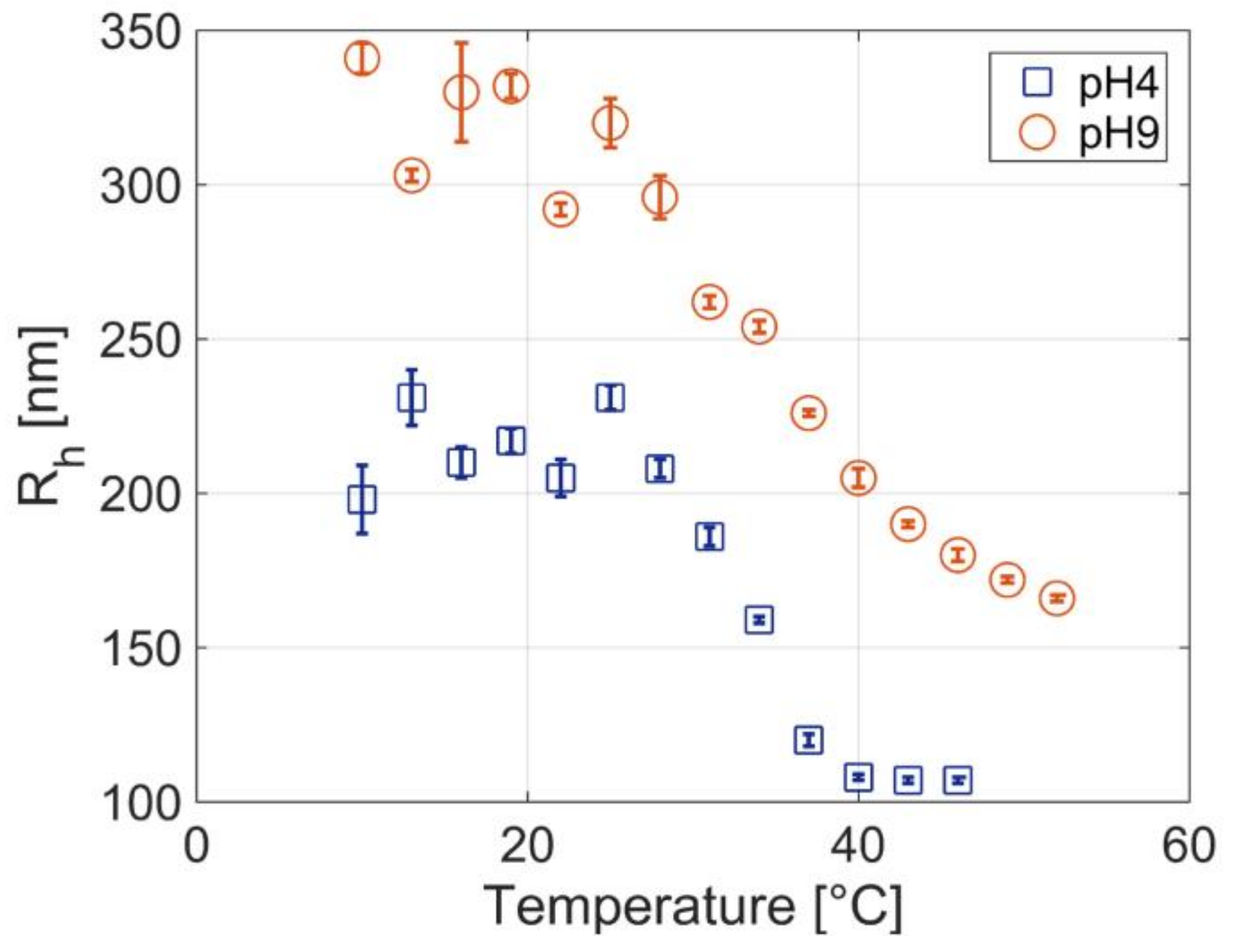
3.1. Effect of Temperature and pH
3.2. Effect of MGs Concentration
3.3. Evaluation of the Coverage Factor
3.4. Optical Characterization and Responsivity Analysis
4. Conclusions
Acknowledgments
Author Contributions
Conflicts of Interest
Appendix A

Appendix B

References
- Vaiano, P.; Carotenuto, B.; Pisco, M.; Ricciardi, A.; Quero, G.; Consales, M.; Crescitelli, A.; Esposito, E.; Cusano, A. Lab on fiber technology for biological sensing applications. Laser Photonics Rev. 2016, 10, 922–961. [Google Scholar] [CrossRef]
- Cusano, A.; Consales, M.; Crescitelli, A.; Ricciardi, A. Lab-on-Fiber Technology; Springer: Berlin, Germany, 2015; Volume 56. [Google Scholar]
- Consales, M.; Ricciardi, A.; Crescitelli, A.; Esposito, E.; Cutolo, A.; Cusano, A. Lab-on-fiber technology: Toward multifunctional optical nanoprobes. ACS Nano 2012, 6, 3163–3170. [Google Scholar] [CrossRef] [PubMed]
- Ricciardi, A.; Consoles, M.; Quero, G.; Crescitelli, A.; Esposito, E.; Cusano, A. Versatile optical fiber nanoprobes: From plasmonic biosensors to polarization-sensitive devices. ACS Photonics 2014, 1, 69–78. [Google Scholar] [CrossRef]
- Ricciardi, A.; Aliberti, A.; Giaquinto, M.; Micco, A.; Cusano, A. Microgel Photonics: A Breathing Cavity onto Optical Fiber Tip. In Proceedings of the 24th International Conference on Optical Fibre Sensors, Curitiba, Brazil, 28 September–2 October 2015; SPIE: Bellingham, WA, USA, 2015. [Google Scholar] [CrossRef]
- Ricciardi, A.; Consales, M.; Quero, G.; Crescitelli, A.; Esposito, E.; Cusano, A. Lab-on-fiber devices as an all around platform for sensing. Opt. Fiber Technol. 2013, 19, 772–784. [Google Scholar] [CrossRef]
- Kostovski, G.; Stoddart, P.R.; Mitchell, A. The optical fiber tip: An inherently light-coupled microscopic platform for micro-and nanotechnologies. Adv. Mater. 2014, 26, 3798–3820. [Google Scholar] [CrossRef] [PubMed]
- Pelton, R.; Hoare, T. Microgels and their synthesis: An introduction. In Microgel Suspensions: Fundamentals and Applications; John Wiley & Sons: Hoboken, NJ, USA, 2011; Volume 1, pp. 1–32. [Google Scholar]
- Plamper, F.A.; Richtering, W. Functional microgels and microgel systems. Accounts Chem. Res. 2017, 50, 131–140. [Google Scholar] [CrossRef] [PubMed]
- Wei, M.L.; Gao, Y.F.; Li, X.; Serpe, M.J. Stimuli-responsive polymers and their applications. Polym. Chem. 2017, 8, 127–143. [Google Scholar] [CrossRef]
- Aliberti, A.; Ricciardi, A.; Giaquinto, M.; Micco, A.; Bobeico, E.; La Ferrara, V.; Ruvo, M.; Cutolo, A.; Cusano, A. Microgel assisted lab-on-fiber optrode. Sci. Rep. 2017, 7, 14459. [Google Scholar] [CrossRef] [PubMed]
- Giaquinto, M.; Micco, A.; Aliberti, A.; Ricciardi, A.; Ruvo, M.; Cutolo, A.; Cusano, A. Microgel Photonics and Lab on Fiber Technology for Advanced Label Free Fiber Optic Nanoprobes. In Proceedings of the Sixth European Workshop on Optical Fibre Sensors, Limerick, Ireland, 31 May–3 June 2016; SPIE: Bellingham, WA, USA; Volume 9916. [Google Scholar]
- Giaquinto, M.; Ricciardi, A.; Aliberti, A.; Micco, A.; Bobeico, E.; Ruvo, M.; Cusano, A. Light-microgel interaction in resonant nanostructures. Sci. Rep. 2018. under review. [Google Scholar]
- Jiang, Y.; Chen, J.; Deng, C.; Suuronen, E.J.; Zhong, Z. Click hydrogels, microgels and nanogels: Emerging platforms for drug delivery and tissue engineering. Biomaterials 2014, 35, 4969–4985. [Google Scholar] [CrossRef] [PubMed]
- Oh, J.K.; Drumright, R.; Siegwart, D.J.; Matyjaszewski, K. The development of microgels/nanogels for drug delivery applications. Prog. Polym. Sci. 2008, 33, 448–477. [Google Scholar] [CrossRef]
- Schmidt, S.; Zeiser, M.; Hellweg, T.; Duschl, C.; Fery, A.; Möhwald, H. Adhesion and mechanical properties of pnipam microgel films and their potential use as switchable cell culture substrates. Adv. Funct. Mater. 2010, 20, 3235–3243. [Google Scholar] [CrossRef]
- Islam, M.R.; Ahiabu, A.; Li, X.; Serpe, M.J. Poly (N-isopropylacrylamide) microgel-based optical devices for sensing and biosensing. Sensors 2014, 14, 8984–8995. [Google Scholar] [CrossRef] [PubMed]
- Nerapusri, V.; Keddie, J.L.; Vincent, B.; Bushnak, I.A. Swelling and deswelling of adsorbed microgel monolayers triggered by changes in temperature, pH, and electrolyte concentration. Langmuir 2006, 22, 5036–5041. [Google Scholar] [CrossRef] [PubMed]
- Serpe, M.J.; Jones, C.D.; Lyon, L.A. Layer-by-layer deposition of thermoresponsive microgel thin films. Langmuir 2003, 19, 8759–8764. [Google Scholar] [CrossRef]
- Schmidt, S.; Motschmann, H.; Hellweg, T.; von Klitzing, R. Thermoresponsive surfaces by spin-coating of PNIPAM-co-PAA microgels: A combined AFM and ellipsometry study. Polymer 2008, 49, 749–756. [Google Scholar] [CrossRef]
- Sorrell, C.D.; Lyon, L.A. Deformation controlled assembly of binary microgel thin films. Langmuir 2008, 24, 7216–7222. [Google Scholar] [CrossRef] [PubMed]
- Schmidt, S.; Hellweg, T.; von Klitzing, R. Packing density control in P (NIPAM-co-AAc) microgel monolayers: Effect of surface charge, pH, and preparation technique. Langmuir 2008, 24, 12595–12602. [Google Scholar] [CrossRef] [PubMed]
- Tsuji, S.; Kawaguchi, H. Colored thin films prepared from hydrogel microspheres. Langmuir 2005, 21, 8439–8442. [Google Scholar] [CrossRef] [PubMed]
- Sakai, T.; Takeoka, Y.; Seki, T.; Yoshida, R. Organized monolayer of thermosensitive microgel beads prepared by double-template polymerization. Langmuir 2007, 23, 8651–8654. [Google Scholar] [CrossRef] [PubMed]
- South, A.B.; Whitmire, R.E.; Garcia, A.J.; Lyon, L.A. Centrifugal deposition of microgels for the rapid assembly of nonfouling thin films. ACS Appl. Mater. Interfaces 2009, 1, 2747–2754. [Google Scholar] [CrossRef] [PubMed]
- Singh, N.; Bridges, A.W.; García, A.J.; Lyon, L.A. Covalent tethering of functional microgel films onto poly (ethylene terephthalate) surfaces. Biomacromolecules 2007, 8, 3271–3275. [Google Scholar] [CrossRef] [PubMed]
- Meng, Z.; Cho, J.K.; Debord, S.; Breedveld, V.; Lyon, L.A. Crystallization behavior of soft, attractive microgels. J. Phys. Chem. B 2007, 111, 6992–6997. [Google Scholar] [CrossRef] [PubMed]
- Tsuji, S.; Kawaguchi, H. Self-assembly of poly (N-isopropylacrylamide)-carrying microspheres into two-dimensional colloidal arrays. Langmuir 2005, 21, 2434–2437. [Google Scholar] [CrossRef] [PubMed]
- Sorrell, C.D.; Carter, M.C.; Serpe, M.J. A “paint-on” protocol for the facile assembly of uniform microgel coatings for color tunable etalon fabrication. ACS Appl. Mater. Interfaces 2011, 3, 1140–1147. [Google Scholar] [CrossRef] [PubMed]
- Hu, L.; Serpe, M.J. The influence of deposition solution pH and ionic strength on the quality of poly (N-isopropylacrylamide) microgel-based thin films and etalons. ACS Appl. Mater. Interfaces 2013, 5, 11977–11983. [Google Scholar] [CrossRef] [PubMed]
- Islam, M.R.; Irvine, J.; Serpe, M.J. Photothermally induced optical property changes of poly (N-isopropylacrylamide) microgel-based etalons. ACS Appl. Mater. Interfaces 2015, 7, 24370–24376. [Google Scholar] [CrossRef] [PubMed]
- Sorrell, C.D.; Serpe, M.J. Reflection order selectivity of color-tunable poly(N-isopropylacrylamide) microgel based etalons. Adv. Mater. 2011, 23, 4088–4092. [Google Scholar] [CrossRef] [PubMed]
- Lu, Y.; Drechsler, M. Charge-induced self-assembly of 2-dimensional thermosensitive microgel particle patterns. Langmuir 2009, 25, 13100–13105. [Google Scholar] [CrossRef] [PubMed]
- Iori, F.; Corni, S.; Di Felice, R. Unraveling the interaction between histidine side chain and the Au(111) surface: A DFT study. J. Phys. Chem. C 2008, 112, 13540–13545. [Google Scholar] [CrossRef]
- Yin, X.; Hoffman, A.S.; Stayton, P.S. Poly (N-isopropylacrylamide-co-propylacrylic acid) copolymers that respond sharply to temperature and pH. Biomacromolecules 2006, 7, 1381–1385. [Google Scholar] [CrossRef] [PubMed]
- Wang, B.; Xu, X.-D.; Wang, Z.-C.; Cheng, S.-X.; Zhang, X.-Z.; Zhuo, R.-X. Synthesis and properties of pH and temperature sensitive P (NIPAAm-co-DMAEMA) hydrogels. Colloids Surf. B Biointerfaces 2008, 64, 34–41. [Google Scholar] [CrossRef] [PubMed]
- Aguilar, M.; San Román, J. Introduction to smart polymers and their applications. In Smart Polymers and Their Applications; Elsevier: New York, NY, USA, 2014; pp. 1–11. [Google Scholar]







| MGs Concentration | Solution Temperature (°C) | Solution pH | Coverage Factor (%) |
|---|---|---|---|
| 5.0% | 10 | 3 | 91.8 ± 1.6 |
| 2.0% | 10 | 3 | 81.7 ± 2.3 |
| 0.5% | 10 | 3 | 74.5 ± 4.6 |
| 0.5% | 10 | 6 | 40.0 ± 4.2 |
| 0.5% | 45 | 3 | 33.7 ± 5.7 |
| 0.5% | 45 | 6 | 21.3 ± 4.8 |
© 2018 by the authors. Licensee MDPI, Basel, Switzerland. This article is an open access article distributed under the terms and conditions of the Creative Commons Attribution (CC BY) license (http://creativecommons.org/licenses/by/4.0/).
Share and Cite
Giaquinto, M.; Micco, A.; Aliberti, A.; Bobeico, E.; La Ferrara, V.; Ruvo, M.; Ricciardi, A.; Cusano, A. Optimization Strategies for Responsivity Control of Microgel Assisted Lab-On-Fiber Optrodes. Sensors 2018, 18, 1119. https://doi.org/10.3390/s18041119
Giaquinto M, Micco A, Aliberti A, Bobeico E, La Ferrara V, Ruvo M, Ricciardi A, Cusano A. Optimization Strategies for Responsivity Control of Microgel Assisted Lab-On-Fiber Optrodes. Sensors. 2018; 18(4):1119. https://doi.org/10.3390/s18041119
Chicago/Turabian StyleGiaquinto, Martino, Alberto Micco, Anna Aliberti, Eugenia Bobeico, Vera La Ferrara, Menotti Ruvo, Armando Ricciardi, and Andrea Cusano. 2018. "Optimization Strategies for Responsivity Control of Microgel Assisted Lab-On-Fiber Optrodes" Sensors 18, no. 4: 1119. https://doi.org/10.3390/s18041119
APA StyleGiaquinto, M., Micco, A., Aliberti, A., Bobeico, E., La Ferrara, V., Ruvo, M., Ricciardi, A., & Cusano, A. (2018). Optimization Strategies for Responsivity Control of Microgel Assisted Lab-On-Fiber Optrodes. Sensors, 18(4), 1119. https://doi.org/10.3390/s18041119

