Sign in to use this feature.

Years

Between: -

Subjects

remove_circle_outline
remove_circle_outline
remove_circle_outline
remove_circle_outline
remove_circle_outline
remove_circle_outline
remove_circle_outline
remove_circle_outline
remove_circle_outline

Journals

remove_circle_outline
remove_circle_outline
remove_circle_outline
remove_circle_outline

Article Types

Countries / Regions

remove_circle_outline
remove_circle_outline
remove_circle_outline
remove_circle_outline

Search Results (1,283)

Search Parameters:
Keywords = temperate forest

Order results
Result details
Results per page
Select all
Export citation of selected articles as:
23 pages, 6757 KB  
Article
Sustaining Ecological Functional Zones: The Stabilizing Role of Common Fungi Against Warming Revealed by Altitudinal Transect
by Litao Lin, Guixiang Li and Keming Ma
J. Fungi 2026, 12(3), 227; https://doi.org/10.3390/jof12030227 - 20 Mar 2026
Abstract
Fungal communities, typically K-strategy, demonstrate significant potential to counteract environmental stresses. Theories of complexity- and biodiversity-stability suggest that ecosystem stability may be differentially influenced by common species, which engage in intense interactions, and rare species, which contribute to diversity. Here, taking advantage of [...] Read more.
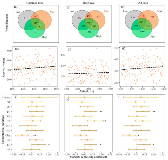
Fungal communities, typically K-strategy, demonstrate significant potential to counteract environmental stresses. Theories of complexity- and biodiversity-stability suggest that ecosystem stability may be differentially influenced by common species, which engage in intense interactions, and rare species, which contribute to diversity. Here, taking advantage of −0.6 °C/100 m lapse rate, an altitudinal gradient in the Yan-Taihang Mountain Ecological Conservation Area was established, aiming to investigate the responses of common and rare fungi to climatic, plant, and edaphic variations and their potential roles in maintaining stability among low, mid, and high altitudes. Results showed that community composition, rather than diversity, was significantly influenced by altitude, with the abundance of symbiotrophs peaking at mid-altitudes and Saprotrophs at high altitudes. Rare fungi were less accounted for by environmental variables in terms of community composition, whereas their diversity was more sensitive to pH, total phosphorus, and electrical conductivity than the common fungi, indicating that rare species may serve as a resilient gene reservoir under environmental perturbations. The stability of fungal community was further enhanced through interactions among common fungi, with these interactions being slightly compartmentalized and tending more negative at mid (modularity = 0.73, negative-to-positive associations = 0.69%) and high altitudes (modularity = 0.77, negative-to-positive associations = 0.61%) compared with low altitudes (modularity = 0.67, negative-to-positive associations = 0.13%). These results highlighted distinct assembly strategies between common and rare fungi and underscored the importance of common fungi for the persistence of ecological functional zones amidst climate change. Full article
(This article belongs to the Special Issue Taxonomy, Systematics and Evolution of Forestry Fungi, 3rd Edition)
Show Figures

Figure 1

15 pages, 2383 KB  
Article
Olfactory Susceptive Difference in Gregarious and Solitary Locusts
by Weichan Cui, Dafeng Chen, Liushu Dong and Xianhui Wang
Insects 2026, 17(3), 330; https://doi.org/10.3390/insects17030330 - 18 Mar 2026
Viewed by 78
Abstract
The migratory locust, Locusta migratoria, possesses a highly specialized olfactory system that exhibits remarkable density-dependent plasticity, which plays a crucial role in the formation of large aggregations and the resulting severe crop damage. However, the mechanisms by which population density influences phase-related [...] Read more.
The migratory locust, Locusta migratoria, possesses a highly specialized olfactory system that exhibits remarkable density-dependent plasticity, which plays a crucial role in the formation of large aggregations and the resulting severe crop damage. However, the mechanisms by which population density influences phase-related plasticity in olfactory perception remain largely unexplored. Here, we conducted a comprehensive, multi-level comparison of the peripheral olfactory system between solitary and gregarious locusts. We found that solitary male locusts display the highest total number of antennal sensilla, with basiconica sensilla being the most abundant and particularly prominent in this group. At the physiological level, solitary males also displayed the greatest overall sensitivity in their electroantennogram (EAG) responses to volatile compounds highly specific to both phase and sex. At the molecular level, solitary males exhibited a significant upregulation of Or genes across all sex-phase combinations. These findings illuminate the intricate adaptation strategies of the insect peripheral olfactory system in response to environmental changes. Full article
(This article belongs to the Section Insect Physiology, Reproduction and Development)
Show Figures

Graphical abstract

17 pages, 2597 KB  
Article
Differential Responses of Fungal Community Diversity and Soil Environmental Variables to Freeze–Thaw Disturbance in Seasonally Frozen Soil
by Hong Pan, Xiaoyu Fu, Xiaosong Shan, Siyuan Liu, Dan Wei, Daoguang Zhu, Xinming Lu, Zhichao Cheng and Libin Yang
J. Fungi 2026, 12(3), 213; https://doi.org/10.3390/jof12030213 - 16 Mar 2026
Viewed by 126
Abstract
Permafrost regions serve as sensitive indicators of global warming due to their ecological sensitivity and role as climate archives. To study how soil microbial communities in seasonal permafrost respond to freeze–thaw alternations, we analyzed composition and diversity during freezing, freeze–thaw, and thawing stages, [...] Read more.
Permafrost regions serve as sensitive indicators of global warming due to their ecological sensitivity and role as climate archives. To study how soil microbial communities in seasonal permafrost respond to freeze–thaw alternations, we analyzed composition and diversity during freezing, freeze–thaw, and thawing stages, identifying key taxa and environmental drivers. Our results identified 11 known fungal phyla and 13 dominant genera in permafrost regions. Most dominant fungi showed stable abundance during soil warming. However, the genera Inocybe and Sebacina were significantly suppressed when transitioning from frozen to freeze–thaw conditions. Fungal species diversity gradually increased with rising temperature and freeze–thaw frequency, with thawed soil showing higher richness and evenness. Frozen, freeze–thaw, and thawed soil were respectively associated with 90.48%, 71.43%, and 66.67% of node species. Adjacent stages shared 57.14% of coexisting species. Keystone node species declined progressively from frozen to thawed stages, indicating substantial yet continuous community reorganization. Furthermore, total carbon, organic carbon, available nitrogen, and phospholipid fatty acids peaked in freeze–thaw alternating soil. Active fungal biomass and species richness were most strongly correlated with soil carbon, temperature, and moisture. Overall, the influence of nutrients on soil fungi was limited across different freeze–thaw stages, while temperature emerged as the primary driver reshaping fungal community structure during freeze–thaw dynamics. Full article
(This article belongs to the Special Issue Metabolism and Ecological Role of Fungi in Extreme Environments)
Show Figures

Figure 1

15 pages, 3173 KB  
Article
Functional Analysis of GbFLS1045 Regulating the Metabolism of Flavonoids in Ginkgo biloba L.
by Xiaojing Kang, Xuefei Xu, Dan Liu, Yizeng Lu, Chenliang Zhao and Limin Sun
Metabolites 2026, 16(3), 193; https://doi.org/10.3390/metabo16030193 - 13 Mar 2026
Viewed by 158
Abstract
Objectives: Flavonoids are a class of widely distributed secondary metabolites in plants. Ginkgo biloba leaves are rich in flavonoids and thus are utilized for extracting medicinal components to treat and prevent cardiovascular and cerebrovascular diseases. Flavonol synthase (FLS) serves as a key [...] Read more.
Objectives: Flavonoids are a class of widely distributed secondary metabolites in plants. Ginkgo biloba leaves are rich in flavonoids and thus are utilized for extracting medicinal components to treat and prevent cardiovascular and cerebrovascular diseases. Flavonol synthase (FLS) serves as a key enzyme in the flavonol metabolic pathway. Numerous studies have identified and characterized FLS family genes across various plant species, all of which play crucial roles in regulating the flavonoid biosynthetic pathway. Methods: We measured the flavonoid content in Ginkgo biloba leaves across different months, performed transcriptomic analysis on leaves from months showing an increasing trend, and screened out the GbFLS1045 gene involved in the synthesis of the FLS enzyme. Molecular biology techniques were then employed to explore the function of the GbFLS1045 gene. Results: From June to August, the flavonoid content in Ginkgo biloba leaves exhibited an upward trend, and we found that GbFLS1045 is localized in the cytoplasm, cell membrane, and nucleus through transient transformation in Nicotiana tabacum. Overexpression(OE) of GbFLS1045 in Arabidopsis thaliana resulted in significantly higher levels of total flavonol glycosides, kaempferol, quercetin, and isorhamnetin in OE transgenic plants compared to WT controls. Furthermore, in OE lines of Ginkgo biloba callus, the isorhamnetin content was consistently elevated relative to both WT and Anti lines. Conclusions: GbFLS1045 positively regulates flavonoid synthesis in Ginkgo biloba. Full article
(This article belongs to the Section Plant Metabolism)
Show Figures

Figure 1

20 pages, 2519 KB  
Article
Machine Learning Framework for Predicting Mechanical Properties of Heat-Treated Alloys: Computational Approach
by Saurabh Tiwari and Aman Gupta
Metals 2026, 16(3), 320; https://doi.org/10.3390/met16030320 - 13 Mar 2026
Viewed by 219
Abstract
Heat treatment critically controls microstructure and mechanical properties in engineering alloys, but experimental optimization is costly and time-intensive. Machine learning (ML) offers a data-driven alternative, though data scarcity and feature leakage often limit predictive reliability. A comprehensive ML framework was developed and validated [...] Read more.
Heat treatment critically controls microstructure and mechanical properties in engineering alloys, but experimental optimization is costly and time-intensive. Machine learning (ML) offers a data-driven alternative, though data scarcity and feature leakage often limit predictive reliability. A comprehensive ML framework was developed and validated using a physics-informed synthetic dataset of 332 heat-treated alloy samples covering carbon steels (AISI 4140, 1080, 4340, 5130), aluminum alloys (AlSi7Mg, AlSi10Mg, Al6061, Al2618), and stainless steels (304, 316L). Twenty-seven features describing chemical composition, heat-treatment parameters, and microstructural characteristics were initially included. Following strict data-leakage analysis, all six mechanical property features were fully removed, leaving 22 independent predictors. Five regression models—Extra Trees, Random Forest, Gradient Boosting, Ridge, and ElasticNet—were evaluated using a 70/15/15 train–validation–test split with randomized hyperparameter optimization and 3-fold cross-validation. The Random Forest model showed the best test performance for tensile strength prediction (R2 = 0.9282, RMSE = 37.24 MPa, MAE = 28.54 MPa, MAPE = 5.39%), with minimal overfitting. Tempering temperature, carbon content, and manganese content were the most influential features, aligning with established metallurgical principles. The proposed framework demonstrates robust, leakage-free prediction of mechanical properties from composition and processing parameters, offering a scalable approach for accelerated alloy design pending experimental validation. This study serves as a methodological framework demonstration; the reported performance metrics are benchmarks against the synthetic dataset, and experimental validation with real alloy data remains essential for industrial deployment. Full article
Show Figures

Figure 1

24 pages, 1843 KB  
Article
Agronomic Performance, Stability, and Yield Determinants of Heike 60 Soybean Cultivar in Multi-Environment Trials Across Northeast China
by Hongchang Jia, Xiaofei Yan, Dezhi Han, Lei Zhang, Jili Liang, Songhe Hu, Yansong Li, Chunlei Zhang, Honglei Ren and Wencheng Lu
Agronomy 2026, 16(6), 596; https://doi.org/10.3390/agronomy16060596 - 10 Mar 2026
Viewed by 176
Abstract
Heike 60, a cold-tolerant soybean cultivar developed at the Heihe Branch of the Heilongjiang Academy of Agricultural Sciences, was evaluated across seven locations in Heilongjiang Province, northeastern China, over four growing seasons (2015–2018), generating 28 site–year environments. The objectives were to characterize yield [...] Read more.
Heike 60, a cold-tolerant soybean cultivar developed at the Heihe Branch of the Heilongjiang Academy of Agricultural Sciences, was evaluated across seven locations in Heilongjiang Province, northeastern China, over four growing seasons (2015–2018), generating 28 site–year environments. The objectives were to characterize yield performance and stability, partition sources of agronomic variation, and identify the yield component pathways through which the cultivar adapts to contrasting cold–temperate environments. Grain yield across the trial network ranged from 1591 to 3219 kg ha−1 with a grand mean of 2688 kg ha−1, and Heike 60 consistently outperformed the regional check variety Heihe 43 across all evaluated locations and seasons, with a mean yield advantage of 11.5%. Two-way ANOVA revealed highly significant (p < 0.001) Year, Location, and Year × Location interaction effects for all eight agronomic traits examined, with the interaction term accounting for the largest proportion of yield variance, indicating that relative site performance was not consistent across seasons. Five of the seven locations were classified as stable by the coefficient of variation criterion (CV < 15%), with Eberhart–Russell regression coefficients of 1.000 across all sites confirming average and proportional responsiveness to environmental quality. Hierarchical cluster analysis partitioned the 24-core site–year environments into three agronomically distinct groups reflecting differences in accumulated thermal resources: a pod number-compensating profile under lower temperature accumulation, a seed weight-dominated profile under higher post-anthesis thermal supply, and a balanced yield component expression representing the predominant growing conditions of the region. Random forest modeling identified hundred-seed weight, pods per plant, and growth period as the primary predictors of grain yield across environments. Collectively, the results demonstrate that Heike 60 possesses broad adaptability and phenotypic plasticity across the cold–temperate soybean production zone of Heilongjiang Province, combining competitive mean yield with stable performance across diverse environmental conditions. Full article
Show Figures

Figure 1

32 pages, 8893 KB  
Article
Advancing Forest Inventory and Fuel Monitoring with Multi-Sensor Hybrid Models: A Comparative Framework for Basal Area Estimation
by Nasrin Salehnia, Peter Wolter, Brian R. Sturtevant and Dalia Abbas Iossifov
Remote Sens. 2026, 18(6), 852; https://doi.org/10.3390/rs18060852 - 10 Mar 2026
Viewed by 301
Abstract
Fire suppression in the upper U.S. Midwest has led to the expansion of flammable coniferous ladder fuels, necessitating precise tracking of conifer species basal area (BA) for fire risk management. This study benchmarks four subset-selection pipelines—xPLS, GA-xPLS, RF-xPLS, and SVR-xPLS—to optimize the fusion [...] Read more.
Fire suppression in the upper U.S. Midwest has led to the expansion of flammable coniferous ladder fuels, necessitating precise tracking of conifer species basal area (BA) for fire risk management. This study benchmarks four subset-selection pipelines—xPLS, GA-xPLS, RF-xPLS, and SVR-xPLS—to optimize the fusion of high-dimensional, collinear data from Sentinel-2, Landsat-9, and LiDAR sensors. Using 141 field plots in Minnesota’s Kawishiwi Ranger District of the Superior National Forest, we evaluated 175 predictors against eight BA response variables. Results show that RF-xPLS provided the superior accuracy–parsimony trade-off, achieving the highest pooled R2 (≈0.86) and lowest error with a compact 27-predictor block. GA-xPLS ranked second, excelling for specific species such as Pinus resinosa. The most effective predictors combined SWIR-based moisture indices, red-edge/NIR structure, and a single LiDAR-derived surface of vertical-structure (quadratic mean height). Our findings demonstrate that integrating machine learning selection engines with multi-sensor fusion substantially enhances the scalability and precision of forest inventory and fuels monitoring. This comparative framework offers practical insights for sustainable management and fire risk mitigation in northern temperate–boreal forests. Full article
Show Figures

Figure 1

17 pages, 2663 KB  
Article
Morphology and Molecular Phylogeny of Two Soil Ciliate Species (Protozoa, Ciliophora) from the Changbai Mountain Region, China, Including a New Species
by Yuxuan Wang, Yunhan Wang, Huan Li, Sitong Li and Xuming Pan
Microorganisms 2026, 14(3), 559; https://doi.org/10.3390/microorganisms14030559 - 28 Feb 2026
Viewed by 296
Abstract
Soil ciliates are an important component of the soil micro-food web, playing key roles in organic matter decomposition and nutrient cycling. However, research on the species diversity and taxonomy of this group in the temperate forest soils of China is still limited. This [...] Read more.
Soil ciliates are an important component of the soil micro-food web, playing key roles in organic matter decomposition and nutrient cycling. However, research on the species diversity and taxonomy of this group in the temperate forest soils of China is still limited. This study investigates the morphology and ciliary pattern of two ciliate species discovered in the Changbai Mountain region of northeastern China: Bryometopus changbaishanensis sp. n. and Apocolpodidium etoschense Foissner et al., 2002, using live observation and silver carbonate impregnation. B. changbaishanensis sp. n. is characterized by the following morphological features: size in vivo approximately 40–48 × 20–29 μm, 11–14 somatic kineties; the paroral membrane consists of about 16–26 dikinetids; and there are 11–15 oral membranelles. This species differs from B. atypicus in its smaller body size in vivo, fewer somatic kineties, and fewer oral membranelles. Apocolpodidium etoschense Foissner et al., 2002, exhibits the following morphological features: in vivo size approximately 48–85 × 19–35 μm, 16–20 somatic kineties, and a gently curved paroral membrane composed of about 13–20 dikinetids; its hypostomial organelle consists of three to five files, each containing approximately three to five monokinetids. Additionally, DNA extraction and SSU rRNA gene sequencing were performed to elucidate their evolutionary relationships. Phylogenetic analyses based on SSU rRNA gene data indicated that Bryometopus changbaishanensis sp. n. clusters with B. atypicus. This study also provides a redescription and supplementary definition of A. etoschense, with the Changbai Mountain population forming a fully supported cluster with previously sequenced data. Full article
(This article belongs to the Special Issue Diversity, Function, and Ecology of Soil Microbial Communities)
Show Figures

Figure 1

29 pages, 2337 KB  
Article
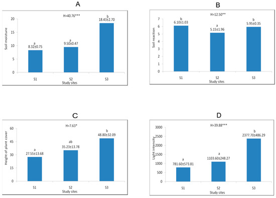
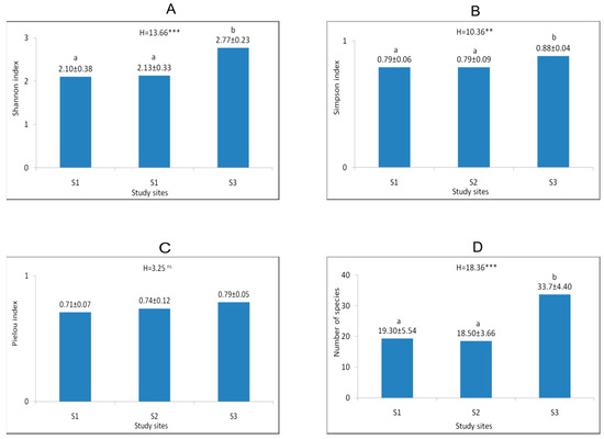
Spatio-Temporal Variability Description of the Rare Species Lilium martagon L. in Different Habitat Conditions
by Tomasz Wójcik, Kinga Kostrakiewicz-Gierałt and Maria Ziaja
Biology 2026, 15(5), 398; https://doi.org/10.3390/biology15050398 - 28 Feb 2026
Viewed by 364
Abstract
Martagon Lily, Lilium martagon, belongs to geophytes inhabiting mainly forest communities in temperate regions of Europe and Asia and it is considered as a rare and endangered species in many regions. The presented investigations were conducted in three populations, occurring in forest [...] Read more.
Martagon Lily, Lilium martagon, belongs to geophytes inhabiting mainly forest communities in temperate regions of Europe and Asia and it is considered as a rare and endangered species in many regions. The presented investigations were conducted in three populations, occurring in forest habitats in Southern Poland: Wolski Forest (population 1), Mount Chełm (population 2), and Hrabeński Forest (population 3). At each site, 10 phytosociological relevés covering an area of 100 m2 were taken. For each phytosociological relevé, the Shannon–Wiener, Pielou, and Simpson indices, as well as the number of species, were calculated. The detailed field studies were conducted in permanent study patches measuring 20 m × 20 m. The measurements of habitat conditions (e.g., number of species, soil moisture, light intensity at ground level, height of plant cover) were carried out in 2018. The observations of the abundance and developmental structure of stems, as well as selected traits (e.g., height, number and dimensions of leaves, number of flowers) were conducted in 2018–2023. The analysis of phytosociological relevés showed that the study sites in Wolski Forest and Mount Chełm were located in the Tilio cordatae–Carpinetum betuli oak-hornbeam forest association, while the study site in Hrabeński Forest was situated in the Dentario glandulosae–Fagetum mountain beech forest association. The statistical analysis confirmed that the greatest Shannon and Simpson index values, number of species, soil humidity, light intensity at ground level, and height of plant cover were recorded in Hrabeński forest. The greatest number of Lilium martagon stems and a lack of juvenile stems was found in population 3, while in less abundant populations—1 and 2—juvenile, immature, virginile, and generative stems were found. The statistical analysis showed that the highest immature and virginile stems with the greatest number of whorl leaves, as well as the substantial height of generative stems and number of whorl leaves observed in population 3, might be the result of growing in conditions of lateral shading provided by adjacent plants. The lowest height of immature and virginile stems recorded in population 1 and generative stems noticed in population 2 might be caused by them being overshaded by the canopy of surrounding trees. Moreover, the obtained results suggest the favourable impact of weather conditions during the meteorological spring and summer of 2019 on the growth of Lilium martagon stems. Nevertheless, the lack of a unified trend in the studied populations indicates the occurrence of site-specific temporal variability of individual traits. Considering the obtained results, it can be concluded that population 3 presents a much better state and prospects for persistence in the occupied site than populations 1 and 2. At the same time, it should be pointed out that further long-term observations of populations of Lilium martagon located in different habitat conditions are still strongly desired. Full article
(This article belongs to the Section Conservation Biology and Biodiversity)
Show Figures

Figure 1

32 pages, 5020 KB  
Article
Attentional BiLSTM with Ecological Process Constraints for Carbon–Water Flux Prediction in Cold, Temperate Coniferous Forests
by Xin Wang, Xingyu Mou, Hui Chen, Qingyu Lu, Xinjing Zhang, Chengcheng Wang, Yumin Liu, Yang Chen, Xin Xu, Ruixiang Song, Ying Zhang and Chang Lan
Forests 2026, 17(3), 307; https://doi.org/10.3390/f17030307 - 28 Feb 2026
Viewed by 196
Abstract
Addressing the challenges in predicting carbon–water fluxes in cold, temperate coniferous forests—specifically, the strong heterogeneity of driving factors, the significant non-linearity of processes, and the lack of consistency of ecological mechanisms in data-driven models—this paper constructs a Multi-Channel Fusion Attention BiLSTM (MCF-ABiLSTM) model. [...] Read more.
Addressing the challenges in predicting carbon–water fluxes in cold, temperate coniferous forests—specifically, the strong heterogeneity of driving factors, the significant non-linearity of processes, and the lack of consistency of ecological mechanisms in data-driven models—this paper constructs a Multi-Channel Fusion Attention BiLSTM (MCF-ABiLSTM) model. This model is designed for the joint prediction of Net Ecosystem Exchange (NEE) and Latent Heat Flux (LE). The model adopts a multi-channel structure to separately characterize meteorological, soil, and historical flux information, combining channel attention and temporal attention mechanisms to enhance the identification of key driving factors and critical temporal scales. On this basis, dynamic Water Use Efficiency (dWUE) and Sensitivity of Carbon–Water (SCW) indices are proposed to characterize the synergistic response features of carbon uptake and evapotranspiration under humidity and temperature gradients. The stable ecological relationships revealed by these indices are explicitly introduced into the model training process as ecological process consistency constraints, thereby guiding the model to adhere to known physiological mechanisms while improving prediction accuracy. Experimental results demonstrate that the MCF-ABiLSTM model outperforms various benchmark models in predicting both NEE and LE. Furthermore, flux contribution decomposition results indicate that the model’s response structure to environmental drivers is highly consistent with the known carbon–water coupling mechanisms of cold, temperate coniferous forests. This study achieves organic integration of high-precision carbon–water flux prediction, ecological process constraints, and mechanism analysis, providing a modeling framework that possesses both predictive capability and ecological interpretability for research on the carbon–water cycle in cold, temperate forest ecosystems. Full article
Show Figures

Figure 1

27 pages, 6204 KB  
Article
Underlying Mechanisms for Growth Promotion by Low-Concentration Single Salt and Alkali Stresses and Growth Inhibition by Combined Salt-Alkali Stress in Quercus mongolica
by Fan Huang, Xinrui Wu, Laixue Zou, Te Li and Tongbao Qu
Microorganisms 2026, 14(3), 547; https://doi.org/10.3390/microorganisms14030547 - 27 Feb 2026
Viewed by 412
Abstract
Soil salinization is a global ecological issue that severely constrains forest tree growth and ecological restoration. The salt-alkali stress response mechanisms of Quercus mongolica, a key temperate forest species in China, remain unclear. A two-factor pot experiment was conducted using NaCl (0, [...] Read more.
Soil salinization is a global ecological issue that severely constrains forest tree growth and ecological restoration. The salt-alkali stress response mechanisms of Quercus mongolica, a key temperate forest species in China, remain unclear. A two-factor pot experiment was conducted using NaCl (0, 50, 100, 200 mmol·L−1) and NaHCO3:Na2CO3 (1:1; 0, 50, 100, 150 mmol·L−1). Plant traits, soil properties, and enzyme activities were measured. Furthermore, high-throughput sequencing revealed that microbial responses enhanced network cooperation under 100 mmol·L−1 salt stress and improved network stability under 50 mmol·L−1 alkali stress. These responses also upregulated resistance genes and increased soil enzyme activities. This activation of seedling antioxidant and osmotic adjustment systems was directly associated with an increase in growth parameters. Under combined stress, however, soil environment deterioration and microbial network disruption, along with reduced key soil enzyme activities, resulted in an insufficient defense system to counteract reactive oxygen species (ROS) accumulation, thereby reducing growth parameters. The study found that low-concentration individual salt or alkali stress promoted Quercus mongolica seedling growth, while combined stress was associated with significant inhibition. This study refines the theoretical framework for non-salt-tolerant trees and establishes a basis for determining their survival thresholds in saline-alkali soils. Full article
(This article belongs to the Section Plant Microbe Interactions)
Show Figures

Figure 1

25 pages, 4825 KB  
Article
Assessing Forest Habitat Structure with LiDAR Across Ungulate Management Gradients
by Claudia C. Jordan-Fragstein, Katharina Gungl, Dominik Seidel and Michael G. Müller
Forests 2026, 17(3), 298; https://doi.org/10.3390/f17030298 - 26 Feb 2026
Viewed by 286
Abstract
Ungulate browsing is a major driver of forest regeneration dynamics and habitat structure in managed temperate forests, influencing species composition, regeneration success, and long-term stand development. Traditional assessments of browsing impacts often rely on field-based indicators such as regeneration density or visual cover, [...] Read more.
Ungulate browsing is a major driver of forest regeneration dynamics and habitat structure in managed temperate forests, influencing species composition, regeneration success, and long-term stand development. Traditional assessments of browsing impacts often rely on field-based indicators such as regeneration density or visual cover, but these metrics provide limited insight into three-dimensional habitat structure. Mobile handheld LiDAR offers highly detailed measurements of forest structure, enabling objective and reproducible quantification of structural complexity that complements and extends conventional field-based methods. In this study, we applied handheld LiDAR as an innovative indicator for habitat structure within the ungulate browsing zone (<2 m height) to evaluate structural development across sites differing in management context. Paired fenced and unfenced plots (12 × 12 m) were surveyed within the WiWaldI project framework in 2019 and 2023 and compared across three hunting regimes representing different degrees of ungulate population management. Structural complexity was quantified by deriving box-counting dimensions from LiDAR point clouds, providing a measure of spatial arrangement and density relevant to ungulate–vegetation interactions. To support interpretation and ecological context, we complemented LiDAR indicators with streamlined field assessments. Based on this framework, we assessed whether forest structural complexity and visual cover differ among regions and over time, and whether ungulate browsing induces detectable structural differences between fenced whether structural differences between fenced and unfenced plots are detectable. We further examined the relative importance of tree species composition, plant architecture, and hunting regime as drivers of three-dimensional habitat structure. A simplified octant method characterized the spatial distribution of woody regeneration, while a silhouette-based approach quantified visual cover from the perspective of a standard ungulate profile. These auxiliary measures contextualize visual and spatial aspects of structure that LiDAR metrics capture with minimal observer bias. LiDAR studies have previously demonstrated potential for linking high-resolution structural data to ungulate habitat use, and our approach extends this by focusing on structural complexity as a habitat indicator. Results show a consistent increase in LiDAR-derived structural complexity between 2019 and 2023 across all regions. This increase occurred across management contexts and was not consistently explained by fencing or hunting regime effects, suggesting that site conditions, forest composition, and successional processes were dominant drivers during the observation period. Hunting regime showed no statistically significant and no consistent effect on structural complexity across regions or years. Visual cover metrics varied strongly among regions and species and declined over time. These findings suggest that three-dimensional habitat structure information has the potential to enhance the evaluation of ungulate impacts and may support evidence-based forest and wildlife management, particularly when interpreted in the context of site conditions and successional dynamics. Beyond ungulate impact assessment, the presented handheld LiDAR approach provides a scalable remote sensing framework for precision forestry by capturing three-dimensional structural attributes that are directly linked to forest stability, resilience, growth dynamics, and stand-level species mixing, thereby supporting evidence-based forest management recommendations. Full article
(This article belongs to the Section Forest Health)
Show Figures

Figure 1

19 pages, 4134 KB  
Article
Stand Structure, Carbon Pools, and Biodiversity Relationships in Temperate Forests of Southern Quebec, Canada: A Multi-Taxon Analysis
by Raida Benseghir, Rolando Trejo-Pérez, Karima Lafore, Michel Leboeuf and Nicolas Bélanger
Conservation 2026, 6(1), 26; https://doi.org/10.3390/conservation6010026 - 26 Feb 2026
Viewed by 371
Abstract
Reconciling carbon (C) sequestration with biodiversity conservation remains a key challenge for sustainable forest management, as C–biodiversity relationships vary across taxa and contexts. We evaluated how botanical composition, forest structure, C pools, and land use predict species richness of insects, birds, and bats [...] Read more.
Reconciling carbon (C) sequestration with biodiversity conservation remains a key challenge for sustainable forest management, as C–biodiversity relationships vary across taxa and contexts. We evaluated how botanical composition, forest structure, C pools, and land use predict species richness of insects, birds, and bats across mature temperate forests in southern Québec, Canada. Generalized linear models were fitted for insects and birds, while bat data were analyzed descriptively due to low and uneven richness. Botanical composition and forest structure were the most consistent predictors across groups. Insects responded strongly to vegetation structure and C allocation, with richness decreasing with shrub density and mineral soil C but increasing with the soil:above-ground C ratio and distance from infrastructure. Bird richness increased with herbaceous cover and wetland area, emphasizing the value of open and moist habitats. Across taxa, C pools acted as secondary but complementary predictors. Based on observational analyses, our results show that C–biodiversity relationships are compartment-specific and taxon-sensitive, and suggest that maintaining structural complexity, diverse vegetation strata, wetland habitats, and soil C pools may help align biodiversity conservation with C sequestration objectives in temperate forests. Full article
Show Figures

Figure 1

16 pages, 3337 KB  
Article
Millennial-Scale Fire and Vegetation Change from a Rare Mid-Latitude Permafrost Fen (Beartooth Plateau, WY)
by David B. McWethy, Mio Alt and Anica Tipkemper-Wolfe
Fire 2026, 9(3), 103; https://doi.org/10.3390/fire9030103 - 26 Feb 2026
Viewed by 459
Abstract
Long-term fire histories are well-documented across most North American temperate forest systems, yet the fire regimes of high-alpine treeline environments remain poorly understood. Here, we present a millennial-scale fire history from the Sawtooth Fen Palsa (SFP), a rare permafrost fen palsa located in [...] Read more.
Long-term fire histories are well-documented across most North American temperate forest systems, yet the fire regimes of high-alpine treeline environments remain poorly understood. Here, we present a millennial-scale fire history from the Sawtooth Fen Palsa (SFP), a rare permafrost fen palsa located in the high-alpine treeline ecotone of the Beartooth Plateau, Wyoming, a permafrost system now unraveling due to recent decades of rapid warming. Analysis of paleoenvironmental proxies from peat sediments overlying the permafrost reveals a multi-century peak in fire activity at the beginning of the record, ca. 10,000 cal yr BP, coinciding with the afforestation of newly deglaciated, ice-free sites. This initial surge in high-severity fire activity was followed by a decline when solar-orbitally driven increases in growing-season temperatures likely promoted forest opening and more surface fire activity within the SFP watershed. High-severity fire activity increased again during the mid-Holocene (ca. 5800–5000 cal yr BP), when effective moisture increased, favoring subalpine forest expansion and increased connectivity of woody biomass (sagebrush and forest), enhancing the potential for canopy fire spread. Only two small fire episodes were recorded in recent millennia when a rapid change in the sedimentation rate may indicate a partial loss of the sediment record. Rapid warming in recent decades has triggered the formation of dozens of thermal collapse ponds across the fen palsa. The frequency of these features has more than doubled since 2000 CE, underscoring the degradation of underlying permafrost in response to changing climatic conditions. Continued warming is expected to cause the complete loss of the permafrost lens and alter ecosystem dynamics, disturbance regimes, and carbon and nutrient cycling in alpine systems throughout the Rocky Mountains. Full article
Show Figures

Figure 1

28 pages, 345 KB  
Article
Governance Failure and Wildfire Escalation: A Multi-Level Analysis of Institutional Preparedness, Corruption, and Emergency Response
by Umar Daraz, Štefan Bojnec and Younas Khan
Fire 2026, 9(2), 93; https://doi.org/10.3390/fire9020093 - 23 Feb 2026
Viewed by 374
Abstract
Wildfire escalation is increasingly threatening ecosystems and communities in Khyber Pakhtunkhwa (KP), Pakistan, particularly in forest and rangeland landscapes where ecological flammability interacts with human activity. While environmental and climatic drivers are well studied, governance factors remain underexplored despite their decisive role in [...] Read more.
Wildfire escalation is increasingly threatening ecosystems and communities in Khyber Pakhtunkhwa (KP), Pakistan, particularly in forest and rangeland landscapes where ecological flammability interacts with human activity. While environmental and climatic drivers are well studied, governance factors remain underexplored despite their decisive role in shaping how ecological risk translates into disasters. Regional forests show considerable ecological diversity, including chir pine-dominated stands, mixed temperate conifer forests, broadleaved oak-associated systems, and shrub rangeland mosaics, each differing in fuel structure and fire behavior. Dependence on fuelwood collection, grazing, and forest access further influences ignition probability and fire spread. This study examines how governance failures influence wildfire risk and severity through a Governance-Fire Risk Framework. Governance is treated as a determining institutional condition affecting prevention capacity, regulation of hazardous land use, fuel management, and emergency response effectiveness. A cross-sectional survey of 540 stakeholders from rural (Dir Lower, Dir Upper) and peri-urban districts (Swat, Mansehra, Abbottabad) was analyzed using SPSS (version 26) and AMOS (version 24) (CFA and SEM). Governance failure significantly escalates wildfire risk through delayed emergency response, regulatory non-compliance, political interference, and weak institutional coordination. Institutional preparedness and response capacity reduce risks, whereas corruption intensifies them. Corruption functions through illegal land conversion, diversion of fire management resources, procurement irregularities, nepotistic staffing, and selective enforcement, increasing ignition sources, fuel accumulation, and response delays. Rural districts show stronger governance-fire linkages. Wildfire escalation in KP is governance-driven in interaction with ecological conditions and community dependence on forest resources. Effective mitigation requires anti-corruption measures, rapid response systems, stronger enforcement, and improved preparedness. The study offers a transferable governance-focused framework for wildfire management in fire-prone developing regions. Full article
Back to TopTop