Sustaining Ecological Functional Zones: The Stabilizing Role of Common Fungi Against Warming Revealed by Altitudinal Transect
Abstract
1. Introduction
2. Materials and Methods
2.1. Study Area and Design
2.2. Soil Sampling and Analyses
2.3. Molecular and Bioinformatics Analyses
2.4. Statistical Analyses
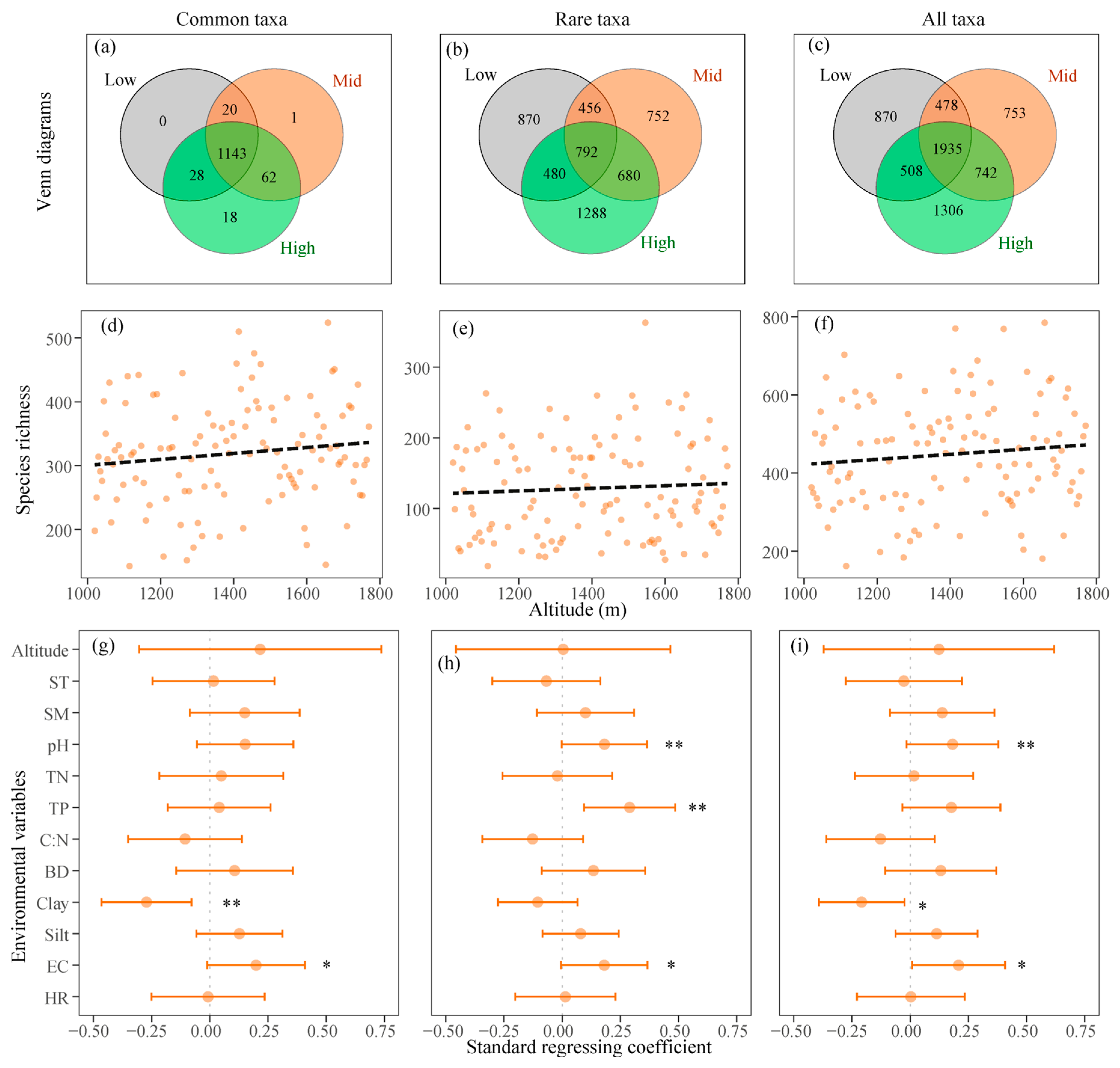
3. Results
3.1. Altitudinal Variation in Soil and Plant Properties
3.2. Variation in Fungal Alpha Diversity Along Altitudes
3.3. Changes in Community Composition Along Altitudes
3.4. Changes in Interspecific Interaction Along Altitudes
4. Discussion
4.1. Fungal Community Composition Not Diversity Significantly Altered with Altitude
4.2. Rare Fungi Dominate Diversity While Common Fungi Dominate Composition Responses to Environment
4.3. Distinct Stabilizing Mechanisms of Common and Rare Fungi at Mid and High Altitude
5. Conclusions
Author Contributions
Funding
Institutional Review Board Statement
Informed Consent Statement
Data Availability Statement
Conflicts of Interest
Appendix A


| Variables | Common Taxa | Rare Taxa | All Taxa | |||
|---|---|---|---|---|---|---|
| r | p | r | p | r | p | |
| Altitude (m) | 0.131 | 0.156 | 0.060 | 0.517 | 0.106 | 0.251 |
| Soil temperature (°C) | −0.082 | 0.373 | −0.095 | 0.306 | −0.095 | 0.302 |
| Soil moisture (v v−1) | 0.140 | 0.129 | 0.020 | 0.832 | 0.091 | 0.324 |
| Tree abundance | −0.041 | 0.654 | −0.083 | 0.367 | −0.066 | 0.476 |
| Tree richness | −0.067 | 0.472 | 0.039 | 0.673 | −0.019 | 0.837 |
| Herb abundance | 0.023 | 0.808 | −0.142 | 0.124 | −0.058 | 0.530 |
| Herb richness | 0.029 | 0.752 | −0.002 | 0.982 | 0.016 | 0.864 |
| SOC (g kg−1) | 0.196 | 0.032 | 0.230 | 0.012 | 0.230 | 0.012 |
| TN (g kg−1) | 0.197 | 0.031 | 0.259 | 0.004 | 0.245 | 0.007 |
| TP (g kg−1) | 0.148 | 0.108 | 0.368 | 0.000 | 0.271 | 0.003 |
| pH | 0.160 | 0.083 | 0.294 | 0.001 | 0.240 | 0.008 |
| EC (ds cm−1) | 0.218 | 0.017 | 0.281 | 0.002 | 0.267 | 0.003 |
| C:N ratio | 0.010 | 0.911 | −0.026 | 0.782 | −0.007 | 0.941 |
| Bulk density (g cm−3) | −0.115 | 0.213 | −0.043 | 0.642 | −0.088 | 0.339 |
| Clay content (%) | −0.286 | 0.002 | −0.094 | 0.311 | −0.213 | 0.020 |
| Silt content (%) | 0.079 | 0.393 | −0.006 | 0.947 | 0.043 | 0.644 |
| Phylum | Genus | Low Altitude | Mid Altitude | High Altitude |
|---|---|---|---|---|
| Ascomycota | Alatospora | 0.110 [0.000, 0.268] | 0.076 [0.000, 0.227] | 0.170 [0.056, 0.284] |
| Alternaria | 0.137 [0.043, 0.232] ab | 0.051 [−0.039, 0.142] b | 0.195 [0.126, 0.263] a | |
| Apodus | 0.067 [0.000,0.134] | 0.132 [0.067, 0.197] | 0.133 [0.084, 0.182] | |
| Archaeorhizomyces | 0.107 [−0.182, 0.396] ab | 0.062 [−0.215, 0.339] b | 0.422 [0.213, 0.631] a | |
| Aspergillus | 0.042 [−0.206,0.289] | 0.070 [−0.168, 0.307] | 0.169 [0.000, 0.348] | |
| Aureobasidium | 0.605 [0.113,1.097] | 0.064 [0.000, 0.536] | 0.185 [0.000, 0.540] | |
| Capronia | 6.283 [5.111, 7.455] ab | 5.140 [4.015, 6.264] b | 3.960 [3.114, 4.807] a | |
| Cephaliophora | 0.003 [0.000,0.532] | 0.000 [0.000, 0.000] | 0.390 [0.007, 0.772] | |
| Chalara | 0.044 [0.000,0.393] | 0.130 [0.000, 0.465] | 0.462 [0.209, 0.714] | |
| Cladophialophora | 1.634 [1.092, 2.177] b | 2.525 [2.005,3.046] a | 1.279 [0.887, 1.672] b | |
| Cladosporium | 0.287 [0.005, 0.570] | 0.296 [0.025, 0.567] | 0.588 [0.384, 0.792] | |
| Cylindrocarpon | 0.215 [0.138, 0.291] | 0.170 [0.097, 0.243] | 0.166 [0.111, 0.221] | |
| Dictyochaeta | 0.082 [0.000, 0.352] | 0.210 [0.000, 0.469] | 0.197 [0.002, 0.392] | |
| Exophiala | 2.434 [1.716, 3.151] b | 3.735 [3.046, 4.423] a | 2.460 [1.942, 2.978] b | |
| Fusarium | 0.201 [0.001, 0.401] b | 0.138 [0.000, 0.330] b | 0.504 [0.359, 0.648] a | |
| Gibberella | 1.120 [0.104, 2.137] b | 1.198 [0.223, 2.174] b | 3.660 [2.925, 4.395] a | |
| Herpotrichia | 0.038 [0.000, 0.334] | 0.142 [0.000, 0.426] | 0.309 [0.095, 0.523] | |
| Humicola | 1.831 [0.965, 2.698] b | 3.596 [2.765, 4.428] a | 2.193 [1.566, 2.819] b | |
| Hymenoscyphus | 0.027 [0.000, 0.326] | 0.065 [0.000, 0.353] | 0.389 [0.172, 0.605] | |
| Ilyonectria | 0.865 [0.568, 1.163] b | 0.867 [0.581, 1.152] b | 1.227 [1.012, 1.442] a | |
| Lachnum | 0.179 [0.000, 0.513] | 0.215 [0.000, 0.536] | 0.239 [0.000, 0.480] | |
| Leohumicola | 0.883 [0.473, 1.292] | 0.939 [0.546, 1.332] | 0.914 [0.618, 1.210] | |
| Leptosphaeria | 0.167 [0.011, 0.323] b | 0.188 [0.038, 0.338] b | 0.497 [0.384, 0.61] a | |
| Lophiostoma | 0.407 [0.000, 0.869] | 0.240 [0.000, 0.683] | 0.728 [0.394, 1.062] | |
| Mycoarthris | 1.264 [0.671, 1.857] a | 0.120 [0.000, 0.689] b | 0.072 [0.000, 0.501] b | |
| Mycocentrospora | 0.079 [0.000,0.763] | 0.037 [0.000, 0.693] | 0.644 [0.149, 1.138] | |
| Nectria | 0.031 [0.000, 0.177] ab | 0.223 [0.083, 0.363] b | 0.315 [0.209, 0.42] a | |
| Neonectria | 0.168 [0.091, 0.246] | 0.178 [0.104, 0.253] | 0.244 [0.188, 0.301] | |
| Paraphoma | 0.268 [0.024, 0.511] b | 0.264 [0.031, 0.498] b | 0.989 [0.813, 1.165] a | |
| Penicillium | 0.598 [0.38, 0.816] | 0.419 [0.209, 0.628] | 0.423 [0.266, 0.581] | |
| Phaeosphaeriopsis | 0.020 [0.000, 0.408] | 0.379 [0.007, 0.752] | 0.039 [0.000, 0.319] | |
| Phoma | 0.897 [0.000, 2.071] b | 0.557 [0.000, 1.684] b | 2.413 [1.564, 3.262] a | |
| Podospora | 0.037 [0.000, 0.426] | 0.057 [0.000, 0.430] | 0.368 [0.087, 0.649] | |
| Polyscytalum | 0.095 [0.04, 0.15] | 0.074 [0.021, 0.127] | 0.119 [0.08, 0.159] | |
| Preussia | 0.092 [0.000, 1.030] b | 0.059 [0.000, 0.960] b | 1.413 [0.735, 2.092] a | |
| Pseudogymnoascus | 0.268 [0.07, 0.466] ab | 0.549 [0.36, 0.739] a | 0.314 [0.171, 0.457] ab | |
| Pyrenochaeta | 0.214 [0.072, 0.356] | 0.114 [−0.022, 0.251] | 0.104 [0.001, 0.207] | |
| Rhinocladiella | 0.323 [0.221, 0.424] | 0.320 [0.222, 0.417] | 0.275 [0.201, 0.348] | |
| Schizothecium | 0.135 [0.016, 0.254] | 0.204 [0.09, 0.318] | 0.275 [0.189, 0.361] | |
| Tetracladium | 0.768 [0.510, 1.026] | 0.741 [0.494, 0.989] | 0.984 [0.798, 1.17] | |
| Thelebolus | 0.033 [0.000, 0.544] | 0.012 [0.000, 0.502] | 0.578 [0.209, 0.947] | |
| Trichoderma | 0.246 [0.156, 0.336] | 0.197 [0.11, 0.283] | 0.216 [0.15, 0.281] | |
| Verticillium | 0.001 [0.000, 1.047] | 0.000 [0.000, 0.000] | 0.552 [0.000, 1.308] | |
| Xylaria | 0.064 [0.000, 0.401] | 0.323 [0.000, 0.647] | 0.008 [0.000, 0.252] | |
| Basidiomycota | Amanita | 0.010 [0.000, 0.533] | 0.500 [0.002, 1.002] | 0.317 [0.000, 0.695] |
| Boletus | 2.530 [0.787, 4.273] b | 0.067 [0.000, 1.739] b | 0.099 [0.000, 1.359] a | |
| Cortinarius | 4.753 [0.000, 11.163] b | 18.288 [12.136, 24.439] a | 4.890 [0.257, 9.523] b | |
| Cryptococcus | 2.637 [1.196, 4.078] a | 0.545 [0.000, 1.927] b | 1.142 [0.100, 2.183] ab | |
| Entoloma | 0.089 [0.000, 1.032] | 0.837 [0.000, 1.742] | 0.184 [0.000, 0.866] | |
| Geastrum | 0.066 [0.000, 0.483] | 0.059 [0.000, 0.460] | 0.296 [0.000, 0.598] | |
| Geminibasidium | 2.174 [1.044, 3.304] a | 0.346 [0.000, 1.43] b | 0.966 [0.149, 1.782] ab | |
| Hygrocybe | 4.597 [1.402, 7.793] | 0.326 [0.000, 3.393] | 1.711 [0.000, 4.021] | |
| Inocybe | 1.024 [0.195, 1.853] | 0.319 [0.000, 1.115] | 0.300 [0.000, 0.899] | |
| Mycena | 0.141 [0.000, 0.322] | 0.036 [0.000, 0.209] | 0.124 [0.000, 0.255] | |
| Russula | 0.946 [0.17, 1.721] | 1.039 [0.295, 1.783] | 0.866 [0.306, 1.426] | |
| Scleroderma | 0.734 [0.255, 1.213] a | 0.464 [0.004, 0.923] ab | 0.143 [0.000, 0.489] b | |
| Sebacina | 0.398 [0.000, 1.672] | 1.151 [0.000, 2.373] | 1.939 [1.019, 2.86] | |
| Tomentella | 0.769 [0.075, 1.462] ab | 1.271 [0.605, 1.936] a | 0.295 [0.000,0.796] b | |
| Typhula | 0.045 [0.000, 0.959] | 0.744 [0.000, 1.621] | 0.368 [0.000, 1.028] | |
| Xerocomellus | 0.118 [0.000, 0.946] | 0.793 [0.000, 1.588] | 0.127 [0.000, 0.726] | |
| Glomeromycota | Entrophospora | 0.378 [0.000, 0.829] | 0.199 [0.000, 0.631] | 0.591 [0.266, 0.917] |
| Zygomycota | Mortierella | 3.172 [1.763, 4.58] b | 3.793 [2.442, 5.145] b | 6.174 [5.156, 7.192] a |
| Functional Guilds | Low Altitude | Mid Altitude | High Altitude |
|---|---|---|---|
| |Animal Parasite|-Animal Pathogen-Endophyte-Plant Saprotroph-Undefined Saprotroph | 2.434 [1.716, 3.151] b | 3.733 [3.044, 4.421] a | 2.46 [1.941, 2.978] b |
| |Ectomycorrhizal| | 8.418 [1.875, 14.96] b | 22.94 [16.661, 29.219] a | 6.818 [2.089, 11.547] b |
| |Ectomycorrhizal|-Orchid Mycorrhizal-Root Associated Biotroph | 0.398 [0.000, 1.672] | 1.151 [0.000, 2.373] | 1.939 [1.019, 2.86] |
| |Plant Pathogen| | 1.704 [1.273, 2.134] | 1.342 [0.929, 1.755] | 1.806 [1.495, 2.117] |
| |Plant Saprotroph|-Undefined Saprotroph | 1.045 [0.503, 1.587] | 1.008 [0.487, 1.528] | 1.538 [1.146, 1.929] |
| |Undefined Saprotroph| | 2.479 [1.284, 3.674] | 0.882 [−0.265, 2.029] | 1.69 [0.826, 2.553] |
| |Undefined Saprotroph|-Undefined Symbiotroph | 4.609 [1.412, 7.807] | 0.345 [−2.723, 3.414] | 1.848 [−0.463, 4.159] |
| Animal Pathogen-Dung Saprotroph-Endophyte-Epiphyte-Plant Saprotroph-Wood Saprotroph | 1.784 [1.055, 2.513] ab | 1.097 [0.397, 1.797] b | 2.157 [1.63, 2.684] a |
| Animal Pathogen-Endophyte-Fungal Parasite-|Undefined Saprotroph| | 7.237 [5.899, 8.574] a | 6.652 [5.368, 7.936] a | 4.369 [3.402, 5.336] b |
| Bryophyte Parasite-Dung Saprotroph-Ectomycorrhizal-Fungal Parasite-Leaf Saprotroph-Plant Parasite-Undefined Saprotroph-Wood Saprotroph | 0.596 [0.000, 1.774] | 0.99 [0.000, 2.120] | 1.299 [0.448, 2.151] |
| Dung Saprotroph-Endophyte-Lichen Parasite-|Plant Pathogen|-Plant Saprotroph-Undefined Saprotroph-Wood Saprotroph | 0.897 [0.000, 2.071] b | 0.557 [0.000, 1.684] b | 2.413 [1.564, 3.262] a |
| Endophyte | 0.735 [0.424, 1.047] | 1.13 [0.832, 1.429] | 1.074 [0.849, 1.299] |
| Endophyte-|Plant Pathogen|-Plant Saprotroph-Undefined Saprotroph | 1.12 [0.104, 2.137] b | 1.198 [0.223, 2.174] b | 3.66 [2.925, 4.395] a |
| Endophyte-Plant Saprotroph-|Undefined Saprotroph| | 3.172 [1.764, 4.579] b | 3.804 [2.453, 5.155] b | 6.174 [5.156, 7.191] a |
| Plant Pathogen-Undefined Saprotroph-|Wood Saprotroph| | 2.046 [1.165, 2.927] b | 3.711 [2.865, 4.557] a | 2.309 [1.672, 2.946] b |
| Undefined Saprotroph | 1.254 [0.000, 3.724] | 1.369 [0.000, 3.739] | 3.044 [1.259, 4.829] |
| Variables | Common Taxa | Rare Taxa | All Taxa | |||
|---|---|---|---|---|---|---|
| SS | p | SS | p | SS | p | |
| Altitude (m) | 2.242 | 0.001 | 1.573 | 0.001 | 2.179 | 0.001 |
| Soil temperature (°C) | 0.731 | 0.064 | 1.077 | 0.008 | 0.776 | 0.053 |
| Soil moisture (v v−1) | 1.139 | 0.001 | 1.118 | 0.004 | 1.164 | 0.001 |
| pH | 1.943 | 0.001 | 1.192 | 0.001 | 1.869 | 0.001 |
| TN (g kg−1) | 1.023 | 0.002 | 1.136 | 0.003 | 1.023 | 0.001 |
| TP (g kg−1) | 0.846 | 0.012 | 1.055 | 0.029 | 0.862 | 0.019 |
| C:N ratio | 0.536 | 0.491 | 1.000 | 0.155 | 0.570 | 0.550 |
| Bulk density (g cm−3) | 0.680 | 0.094 | 0.975 | 0.415 | 0.699 | 0.152 |
| Clay content (%) | 0.817 | 0.020 | 1.024 | 0.126 | 0.865 | 0.017 |
| Silt content (%) | 0.648 | 0.185 | 1.131 | 0.001 | 0.695 | 0.135 |
| EC (ds cm−1) | 0.897 | 0.008 | 0.952 | 0.705 | 0.892 | 0.017 |
| Herbaceous richness | 1.215 | 0.001 | 1.208 | 0.001 | 1.232 | 0.001 |
| Residual | 58.422 | 102.582 | 63.397 | |||
| Topologies | Low Altitude | Mid Altitude | High Altitude |
|---|---|---|---|
| Number of species | 986 | 972 | 808 |
| Positive edges | 3096 | 2159 | 1476 |
| Negative edges | 4 | 15 | 9 |
| Negative/positive edges (%) | 0.13 | 0.69 | 0.61 |
| Average degree | 6.28 | 4.47 | 3.68 |
| Diameter | 17 | 15 | 20 |
| Clustering coefficient | 0.38 | 0.32 | 0.29 |
| Number of modules | 38 | 42 | 58 |
| Modularity | 0.67 | 0.73 | 0.77 |
References
- Yuan, M.T.M.; Guo, X.; Wu, L.W.; Zhang, Y.; Xiao, N.J.; Ning, D.L.; Shi, Z.; Zhou, X.S.; Wu, L.Y.; Yang, Y.F.; et al. Climate warming enhances microbial network complexity and stability. Nat. Clim. Change 2021, 11, 343–348. [Google Scholar] [CrossRef]
- Pinsky, M.L.; Hillebrand, H.; Chase, J.M.; Antão, L.H.; Hirt, M.R.; Brose, U.; Burrows, M.T.; Gauzens, B.; Rosenbaum, B.; Blowes, S.A. Warming and cooling catalyse widespread temporal turnover in biodiversity. Nature 2025, 638, 995–999. [Google Scholar] [CrossRef]
- Tedersoo, L.; Bahram, M.; Polme, S.; Koljalg, U.; Yorou, N.S.; Wijesundera, R.; Ruiz, L.V.; Vasco-Palacios, A.M.; Thu, P.Q.; Suija, A.; et al. Global diversity and geography of soil fungi. Science 2014, 346, 1256688. [Google Scholar] [CrossRef]
- Warcup, J.H. The ecology of soil fungi. Trans. Br. Mycol. Soc. 1951, 34, 376–399. [Google Scholar] [CrossRef]
- Kivlin, S.N.; Lynn, J.S.; Kazenel, M.R.; Beals, K.K.; Rudgers, J.A.; Diez, J. Biogeography of plant-associated fungal symbionts in mountain ecosystems: A meta-analysis. Divers. Distrib. 2017, 23, 1067–1077. [Google Scholar] [CrossRef]
- de Vries, F.T.; Griffiths, R.I.; Bailey, M.; Craig, H.; Girlanda, M.; Gweon, H.S.; Hallin, S.; Kaisermann, A.; Keith, A.M.; Kretzschmar, M.; et al. Soil bacterial networks are less stable under drought than fungal networks. Nat. Commun. 2018, 9, 3033. [Google Scholar] [CrossRef]
- Korner, C. The use of ‘altitude’ in ecological research. Trends Ecol. Evol. 2007, 22, 569–574. [Google Scholar] [CrossRef] [PubMed]
- Peay, K.G.; von Sperber, C.; Cardarelli, E.; Toju, H.; Francis, C.A.; Chadwick, O.A.; Vitousek, P.M. Convergence and contrast in the community structure of bacteria, fungi and archaea along a tropical elevation-climate gradient. FEMS Microbiol. Ecol. 2017, 93, 12. [Google Scholar] [CrossRef]
- Ni, Y.Y.; Yang, T.; Zhang, K.P.; Shen, C.C.; Chu, H.Y. Fungal communities along a small-scale elevational gradient in an alpine tundra are determined by soil carbon nitrogen ratios. Front. Microbiol. 2018, 9, 1815. [Google Scholar] [CrossRef]
- Hirose, D.; Shirouzu, T.; Hirota, M.; Ohtsuka, T.; Senga, Y.; Du, M.Y.; Shimono, A.; Zhang, X.Z. Species richness and species composition of fungal communities associated with cellulose decomposition at different altitudes on the Tibetan Plateau. J. Plant Ecol. 2009, 2, 217–224. [Google Scholar] [CrossRef]
- Yang, H.; Lu, G.Z.; Jiang, H.M.; Shi, D.N.; Liu, Z.H. Diversity and distribution of soil micro-fungi along an elevation gradient on the north slope of Changbai Mountain. J. For. Res. 2017, 28, 831–839. [Google Scholar] [CrossRef]
- Meng, H.; Li, K.; Nie, M.; Wan, J.R.; Quan, Z.X.; Fang, C.M.; Chen, J.K.; Gu, J.D.; Li, B. Responses of bacterial and fungal communities to an elevation gradient in a subtropical montane forest of China. Appl. Microbiol. Biot. 2013, 97, 2219–2230. [Google Scholar] [CrossRef]
- Cobian, G.M.; Egan, C.P.; Amend, A.S. Plant-microbe specificity varies as a function of elevation. Isme J. 2019, 13, 2778–2788. [Google Scholar] [CrossRef]
- Miyamoto, Y.; Nakano, T.; Hattori, M.; Nara, K. The mid-domain effect in ectomycorrhizal fungi: Range overlap along an elevation gradient on Mount Fuji, Japan. ISME J. 2014, 8, 1739–1746. [Google Scholar] [CrossRef]
- Miyamoto, Y.; Nara, K. Soil propagule banks of ectomycorrhizal fungi share many common species along an elevation gradient. Mycorrhiza 2016, 26, 189–197. [Google Scholar] [CrossRef]
- Gai, J.P.; Tian, H.; Yang, F.Y.; Christie, P.; Li, X.L.; Klironomos, J.N. Arbuscular mycorrhizal fungal diversity along a Tibetan elevation gradient. Pedobiologia 2012, 55, 145–151. [Google Scholar] [CrossRef]
- Zhao, F.Z.; Feng, X.X.; Guo, Y.X.; Ren, C.J.; Wang, J.; Doughty, R. Elevation gradients affect the differences of arbuscular mycorrhizal fungi diversity between root and rhizosphere soil. Agric. For. Meteorol. 2020, 284, 8. [Google Scholar] [CrossRef]
- Robledo, G.L.; Renison, D. Wood-decaying polypores in the mountains of central Argentina in relation to Polylepis forest structure and altitude. Fungal Ecol. 2010, 3, 178–184. [Google Scholar] [CrossRef]
- Sundqvist, M.K.; Sanders, N.J.; Wardle, D.A. Community and ecosystem responses to elevational gradients: Processes, mechanisms, and Insights for global change. Annu. Rev. Ecol. Evol. Syst. 2013, 44, 261–280. [Google Scholar] [CrossRef]
- Broadbent, A.A.; Snell, H.S.; Michas, A.; Pritchard, W.J.; Newbold, L.; Cordero, I.; Goodall, T.; Schallhart, N.; Kaufmann, R.; Griffiths, R.I. Climate change alters temporal dynamics of alpine soil microbial functioning and biogeochemical cycling via earlier snowmelt. ISME J. 2021, 15, 2264–2275. [Google Scholar] [CrossRef] [PubMed]
- Sheng, Y.Y.; Cong, W.; Yang, L.S.; Liu, Q.; Zhang, Y.G. Forest soil fungal community elevational distribution pattern and their ecological assembly processes. Front. Microbiol. 2019, 10, 10. [Google Scholar] [CrossRef]
- Briones, M.J.I.; Elias, D.M.O.; Grant, H.K.; McNamara, N.P. Plant identity control on soil food web structure and C transfers under perennial bioenergy plantations. Soil. Biol. Biochem. 2019, 138, 107603. [Google Scholar] [CrossRef]
- Saitta, A.; Anslan, S.; Bahram, M.; Brocca, L.; Tedersoo, L. Tree species identity and diversity drive fungal richness and community composition along an elevational gradient in a Mediterranean ecosystem. Mycorrhiza 2018, 28, 39–47. [Google Scholar] [CrossRef] [PubMed]
- Comas, L.H.; Tuininga, A.R.; Callahan, H.S. Advancing our current understanding of plant-fungal symbioses: Bridging scales from local to global. New Phytol. 2010, 185, 871–873. [Google Scholar] [CrossRef]
- Zhang, P.; Luan, M.M.; Li, X.R.; Lian, Z.M.; Zhao, X.M. The distribution of soil fungal communities along an altitudinal gradient in an alpine meadow. Glob. Ecol. Conserv. Biol. 2021, 31, e01838. [Google Scholar] [CrossRef]
- Wang, J.T.; Zheng, Y.M.; Hu, H.W.; Zhang, L.M.; Li, J.; He, J.Z. Soil pH determines the alpha diversity but not beta diversity of soil fungal community along altitude in a typical Tibetan forest ecosystem. J. Soils Sediments 2015, 15, 1224–1232. [Google Scholar] [CrossRef]
- Chen, H.H.; Dai, Z.M.; Veach, A.M.; Zheng, J.Q.; Xu, J.M.; Schadt, C.W. Global meta-analyses show that conservation tillage practices promote soil fungal and bacterial biomass. Agric. Ecosyst. Environ. 2020, 293, 106841. [Google Scholar] [CrossRef]
- Domeignoz-Horta, L.A.; Pold, G.; Liu, X.-J.A.; Frey, S.D.; Melillo, J.M.; DeAngelis, K.M. Microbial diversity drives carbon use efficiency in a model soil. Nat. Commun. 2020, 11, 3684. [Google Scholar] [CrossRef] [PubMed]
- Balbuena, J.A.; Monlleo-Borrull, C.; Llopis-Belenguer, C.; Blasco-Costa, I.; Sarabeev, V.L.; Morand, S. Fuzzy quantification of common and rare species in ecological communities (FuzzyQ). Methods Ecol. Evol. 2021, 12, 1070–1079. [Google Scholar] [CrossRef]
- Valencia, E.; De Bello, F.; Galland, T.; Adler, P.B.; Lepš, J.; E-Vojtkó, A.; van Klink, R.; Carmona, C.P.; Danihelka, J.; Dengler, J. Synchrony matters more than species richness in plant community stability at a global scale. Proc. Natl. Acad. Sci. USA 2020, 117, 24345–24351. [Google Scholar] [CrossRef]
- Tylianakis, J.M.; Didham, R.K.; Bascompte, J.; Wardle, D.A. Global change and species interactions in terrestrial ecosystems. Ecol. Lett. 2008, 11, 1351–1363. [Google Scholar] [CrossRef] [PubMed]
- MacArthur, R. Fluctuations of animal populations and a measure of community stability. Ecology 1955, 36, 533–536. [Google Scholar] [CrossRef]
- Hernandez, D.J.; David, A.S.; Menges, E.S.; Searcy, C.; Afkhami, M.E. Environmental stress destabilizes microbial networks. ISME J. 2021, 15, 1722–1734. [Google Scholar] [CrossRef]
- Pimm, S.L. The complexity and stability of ecosystems. Nature 1984, 307, 321–326. [Google Scholar] [CrossRef]
- Wan, W.J.; Gadd, G.M.; Yang, Y.Y.; Yuan, W.K.; Gu, J.D.; Ye, L.P.; Liu, W.Z. Environmental adaptation is stronger for abundant rather than rare microorganisms in wetland soils from the Qinghai-Tibet Plateau. Mol. Ecol. 2021, 30, 2390–2403. [Google Scholar] [CrossRef]
- Oono, R.; Rasmussen, A.; Lefevre, E. Distance decay relationships in foliar fungal endophytes are driven by rare taxa. Environ. Microbiol. 2017, 19, 2794–2805. [Google Scholar] [CrossRef]
- Lin, L.T.; Jing, X.; Lucas-Borja, M.E.; Shen, C.C.; Wang, Y.G.; Feng, W.T. Rare taxa drive the response of soil fungal guilds to soil salinization in the Taklamakan desert. Front. Microbiol. 2022, 13, 862245. [Google Scholar] [CrossRef]
- Hou, D.W.; Zhou, R.J.; Zeng, S.Z.; Wei, D.D.; Deng, X.S.; Xing, C.G.; Yu, L.F.; Deng, Z.X.; Wang, H.; Weng, S.P.; et al. Intestine bacterial community composition of shrimp varies under low- and high-salinity culture conditions. Front. Microbiol. 2020, 11, 589164. [Google Scholar] [CrossRef]
- Lin, L.T.; Hao, H.G.; Zhang, C.; Feng, B.T.; Qiao, Q.; Sun, T.T. Effects of undergrazing and ferterlizer addition management on community assembly and stability of Horqin sandy grasslands. J. Environ. Manag. 2025, 393, 127063. [Google Scholar]
- Wu, M.H.; Chen, S.Y.; Chen, J.W.; Xue, K.; Chen, S.L.; Wang, X.M.; Chen, T.; Kang, S.C.; Rui, J.P.; Thies, J.E.; et al. Reduced microbial stability in the active layer is associated with carbon loss under alpine permafrost degradation. Proc. Natl. Acad. Sci. USA 2021, 118, e2025321118. [Google Scholar]
- Wu, Z.Y. Flora of China; Chinese Science Press: Beijing, China, 1998. [Google Scholar]
- Ding, Z.Q.; Xu, G.R.; Zhang, Y.X.; Zhang, S.; Ma, K.M. Altitudinal patterns of dominant invertebrates in forest soil and litter are scale-different. Ecol. Inform. 2023, 77, 102238. [Google Scholar] [CrossRef]
- Yuan, G.; Lavkulich, L. Colorimetric determination of phosphorus in citrate-bicarbonate-dithionite extracts of soils. Commun. Soil. Sci. Plant Anal. 1995, 26, 1979–1988. [Google Scholar] [CrossRef]
- White, T.; Bruns, T.; Lee, S.; Taylor, J. Amplification and direct sequencing of fungal ribosomal RNA genes for phylogenetics. In PCR Protocols: A Guide to Methods and Applications; Innis, M., Gelfand, D., Sninsky, J., White, T., Eds.; Academic Press: San Diego, CA, USA, 1990. [Google Scholar]
- Caporaso, J.G.; Kuczynski, J.; Stombaugh, J.; Bittinger, K.; Bushman, F.D.; Costello, E.K.; Fierer, N.; Pena, A.G.; Goodrich, J.K.; Gordon, J.I.; et al. QIIME allows analysis of high-throughput community sequencing data. Nat. Methods 2010, 7, 335–336. [Google Scholar] [CrossRef]
- Magoč, T.; Salzberg, S.L. FLASH: Fast length adjustment of short reads to improve genome assemblies. Bioinformatics 2011, 27, 2957–2963. [Google Scholar] [CrossRef]
- Lindahl, B.D.; Nilsson, R.H.; Tedersoo, L.; Abarenkov, K.; Carlsen, T.; Kjøller, R.; Kõljalg, U.; Pennanen, T.; Rosendahl, S.; Stenlid, J. Fungal community analysis by high-throughput sequencing of amplified markers—A user’s guide. New Phytol. 2013, 199, 288–299. [Google Scholar] [CrossRef]
- Oksanen, J.; Blanchet, F.G.; Kindt, R.; Legendre, P.; Minchin, P.R.; O’hara, R.; Simpson, G.L.; Solymos, P.; Stevens, M.H.H.; Wagner, H.J. Vegan: Community Ecology Package. R Package Version 2.2-0. 2014. Available online: http://CRAN.Rproject.org/package=vegan (accessed on 16 March 2026).
- Pinheiro, J.; Bates, D.; DebRoy, S.; Sarkar, D.; R Core Team. nlme: Linear and Nonlinear Mixed Effects Models. R Package Version 3.1-137. 2018. Available online: http://CRAN.R-project.org/package=nlme (accessed on 16 March 2026).
- Akaike, H. Factor Analysis and AIC, Selected Papers of Hirotugu Akaike; Springer: Berlin/Heidelberg, Germany, 1987; pp. 371–386. [Google Scholar]
- Lin, L.T.; Ruan, Z.Y.; Jing, X.; Wang, Y.G.; Feng, W.T. Soil salinization increases the stability of fungal not bacterial communities in the Taklamakan desert. Soil Ecol. Lett. 2023, 5, 230175. [Google Scholar] [CrossRef]
- Dormann, C.F.; Fründ, J.; Blüthgen, N.; Gruber, B. Indices, graphs and null models: Analyzing bipartite ecological networks. Open Ecol. Ecol. J. 2009, 2, 7–24. [Google Scholar] [CrossRef]
- Stone, L.; Roberts, A. Competitive exclusion, or species aggregation? An aid in deciding. Oecologia 1992, 91, 419–424. [Google Scholar] [CrossRef]
- Antonov, M.; Csárdi, G.; Horvát, S.; Müller, K.; Nepusz, T.; Noom, D.; Salmon, M.; Traag, V.; Welles, B.F.; Zanini, F. Igraph enables fast and robust network analysis across programming languages. arXiv 2023, arXiv:2311.10260. [Google Scholar] [CrossRef]
- Adams, A.E.; Besozzi, E.M.; Shahrokhi, G.; Patten, M.A. A case for associational resistance: Apparent support for the stress gradient hypothesis varies with study system. Ecol. Lett. 2021, 25, 202–217. [Google Scholar] [CrossRef]
- Finn, D.R.; Yu, J.; Ilhan, Z.E.; Fernandes, V.M.C.; Penton, C.R.; Krajmalnik-Brown, R.; Garcia-Pichel, F.; Vogel, T.M. MicroNiche: An R package for assessing microbial niche breadth and overlap from amplicon sequencing data. FEMS Microbiol. Ecol. 2020, 96, fiaa131. [Google Scholar] [CrossRef]
- Dunne, J.A.; Williams, R.J.; Martinez, N.D. Food-web structure and network theory: The role of connectance and size. Proc. Natl. Acad. Sci. USA 2002, 99, 12917–12922. [Google Scholar] [CrossRef]
- Xu, G.R.; Lin, Y.H.; Zhang, S.; Zhang, Y.X.; Li, G.X.; Ma, K.M. Shifting mechanisms of elevational diversity and biomass patterns in soil invertebrates at treeline. Soil Biol. Biochem. 2017, 113, 80–88. [Google Scholar] [CrossRef]
- Lin, L.T.; Li, G.X.; Yu, H.Y.; Ma, K.M. pH nonlinearly dominates soil bacterial community assembly along an altitudinal gradient in oak-dominant forests. Microorganisms 2024, 12, 1877. [Google Scholar] [CrossRef] [PubMed]
- Marschner, H. Marschner’s Mineral Nutrition of Higher Plants; Academic Press: Cambridge, MA, USA, 2011. [Google Scholar]
- Rengasamy, P. World salinization with emphasis on Australia. J. Exp. Bot. 2006, 57, 1017–1023. [Google Scholar] [CrossRef]
- Carrino-Kyker, S.R.; Kluber, L.A.; Petersen, S.M.; Coyle, K.P.; Hewins, C.R.; DeForest, J.L.; Smemo, K.A.; Burke, D.J. Mycorrhizal fungal communities respond to experimental elevation of soil pH and P availability in temperate hardwood forests. FEMS Microbiol. Ecol. 2016, 92, 19. [Google Scholar] [CrossRef]
- Liu, D.; Liu, G.H.; Chen, L.; Wang, J.T.; Zhang, L.M. Soil pH determines fungal diversity along an elevation gradient in Southwestern China. Sci. China-Life Sci. 2018, 61, 718–726. [Google Scholar] [CrossRef] [PubMed]
- Falconer, R.E.; Otten, W.; White, N.A. Toward Modeling the Resistance and Resilience of “Below-ground” Fungal Communities: A Mechanistic and Trait-Based Approach. In Advances in Applied Microbiology; Sariaslani, S., Gadd, G.M., Eds.; Academic Press Inc.: New York, NY, USA, 2015; pp. 1–44. [Google Scholar]
- Newsham, K.K.; Davey, M.L.; Hopkins, D.W.; Dennis, P.G. Regional diversity of maritime Antarctic soil fungi and predicted responses of guilds and growth forms to climate change. Front. Microbiol. 2021, 11, 615659. [Google Scholar] [CrossRef] [PubMed]
- Lin, L.T.; Liu, Y.J.; Wang, Y.G.; Zhang, C.; Feng, W.T. Bacteral communities rather than fungal communities diven sol functions after deert highway shelterbelts construction. Acta Ecol. Sin. 2024, 44, 3612–3622. [Google Scholar]
- Gao, C.; Shi, N.N.; Chen, L.; Ji, N.N.; Wu, B.W.; Wang, Y.L.; Xu, Y.; Zheng, Y.; Mi, X.C.; Ma, K.P.; et al. Relationships between soil fungal and woody plant assemblages differ between ridge and valley habitats in a subtropical mountain forest. New Phytol. 2017, 213, 1874–1885. [Google Scholar] [CrossRef]
- Cleveland, C.C.; Liptzin, D. C:N:P stoichiometry in soil: Is there a “Redfield ratio” for the microbial biomass? Biogeochemistry 2007, 85, 235–252. [Google Scholar] [CrossRef]
- Bahram, M.; Koljalg, U.; Courty, P.E.; Diedhiou, A.G.; Kjoller, R.; Polme, S.; Ryberg, M.; Veldre, V.; Tedersoo, L. The distance decay of similarity in communities of ectomycorrhizal fungi in different ecosystems and scales. J. Ecol. 2013, 101, 1335–1344. [Google Scholar] [CrossRef]
- Wang, X.; Wang, Z.C.; Liu, W.C.; Liu, H.Y.; Zhang, Q.; Zeng, J.; Ren, C.J.; Yang, G.H.; Zhong, Z.K.; Han, X.H. Abundant and rare fungal taxa exhibit different patterns of phylogenetic niche conservatism and community assembly across a geographical and environmental gradient. Soil Biol. Biochem. 2023, 186, 109167. [Google Scholar] [CrossRef]
- Jiao, S.; Lu, Y.H. Abundant fungi adapt to broader environmental gradients than rare fungi in agricultural fields. Glob. Change Biol. 2020, 26, 4506–4520. [Google Scholar] [CrossRef] [PubMed]
- Lynch, M.D.; Neufeld, J.D. Ecology and exploration of the rare biosphere. Nat. Rev. Microbiol. 2015, 13, 217–229. [Google Scholar] [CrossRef]
- Zhou, J.Z.; Ning, D.L. Stochastic community assembly: Does it matter in microbial ecology? Microbiol. Mol. Biol. Rev. 2017, 81, 32. [Google Scholar] [CrossRef]
- Stegen, J.C.; Lin, X.J.; Konopka, A.E.; Fredrickson, J.K. Stochastic and deterministic assembly processes in subsurface microbial communities. ISME J. 2012, 6, 1653–1664. [Google Scholar] [CrossRef]
- Fierer, N. Embracing the unknown: Disentangling the complexities of the soil microbiome. Nat. Rev. Microbiol. 2017, 15, 579–590. [Google Scholar] [CrossRef]
- Xu, Z.; Ren, H.; Li, M.-H.; van Ruijven, J.; Han, X.; Wan, S.; Li, H.; Yu, Q.; Jiang, Y.; Jiang, L. Environmental changes drive the temporal stability of semi-arid natural grasslands through altering species asynchrony. J. Ecol. 2015, 103, 1308–1316. [Google Scholar] [CrossRef]
- Jousset, A.; Bienhold, C.; Chatzinotas, A.; Gallien, L.; Gobet, A.; Kurm, V.; Küsel, K.; Rillig, M.C.; Rivett, D.W.; Salles, J.F. Where less may be more: How the rare biosphere pulls ecosystems strings. ISME J. 2017, 11, 853–862. [Google Scholar] [CrossRef]
- Langenheder, S.; Székely, A.J. Species sorting and neutral processes are both important during the initial assembly of bacterial communities. ISME J. 2011, 5, 1086–1094. [Google Scholar] [CrossRef] [PubMed]
- Lennon, J.T. Resuscitation of the rare biosphere contributes to pulses of ecosystem activity. Front. Microbiol. 2015, 6, 24. [Google Scholar] [CrossRef] [PubMed]





| Theories | Regulatory Pathways | Roles of Common and Rare Species | Reference |
|---|---|---|---|
| Biodiversity stability | Complementary Effect: Functional traits of different species complement one another, resulting in more efficient and stable utilization of resources | Rare taxa serve as a gene reservoir; functional stability | [28,32] |
| Asynchrony Effect: A diverse array of species offers varied responses to environmental fluctuations, akin to the benefits of a diversified investment portfolio. | Rare taxa serve as a gene reservoir; functional stability | [32,39] | |
| Sampling Effect: An increased number of species enhances the likelihood of incorporating highly productive and stable species. | Common taxa served as keystones, and rare taxa as a gene reservoir; functional stability | [2,32] | |
| Complexity stability | Modularity Effect: Species is organized into relatively independent modules, thereby localizing the effects of disturbances. | Common taxa more engaged in interactions; structural stability | [1,34] |
| Interaction Intensity: Numerous negative or weak interactions function as “buffers”, stabilizing fluctuations induced by a limited number of strong interactions, e.g., connectance, negative/positive interaction. | Common taxa more engaged in interactions; structural stability | [34,40] | |
| Interaction Pattern: Interactions adhere to specific patterns, e.g., cluster coefficient, nestedness. | Common and rare taxa; structural stability | [3,34] |
| Groups | Low Altitude | Mid Altitude | High Altitude | |
|---|---|---|---|---|
| Phylum | Ascomycota | 54.18 [47.15, 61.20] b | 48.68 [41.93, 55.42] b | 63.09 [58.02, 68.17] a |
| Basidiomycota | 27.95 [20.25,35.65] ab | 36.38 [28.98, 43.76] a | 20.36 [14.80, 25.92] b | |
| Chytridiomycota | 0.08 [0.03, 0.12] a | 0.02 [0, 0.07] a | 0.08 [0.05, 0.11] a | |
| Glomeromycota | 0.38 [0, 0.83] a | 0.20 [0, 0.63] a | 0.60 [0.28, 0.93] a | |
| Zygomycota | 3.24 [1.82, 4.66] b | 3.89 [2.53, 5.26] b | 6.27 [5.24, 7.30] a | |
| Unknown phylum | 14.17 [9.17, 19.16] a | 10.83 [6.04, 15.62] a | 9.59 [5.98, 13.20] a | |
| Function | Saprotroph | 22.09 [18.50, 25.68] b | 19.32 [15.87, 22.77] b | 29.10 [26.51, 31.70] a |
| Pathotroph | 13.42 [11.22, 15.62] a | 12.27 [10.16, 14.37] a | 14.18 [12.59, 15.77] a | |
| Symbiotroph | 23.23 [16.98, 29.48] b | 37.08 [31.08, 43.08] a | 24.55 [20.03, 29.07] b | |
| Unclassified guild | 41.26 [35.37, 47.15] a | 33.34 [35.37, 47.15] b | 32.17 [27.91, 36.43] b | |
| Topologies | Low Altitude | Mid Altitude | High Altitude | ||||||
|---|---|---|---|---|---|---|---|---|---|
| Both | Common | Rare | Both | Common | Rare | Both | Common | Rare | |
| Connectance | 17.14% | 18.81% | 4.33% | 20.09% | 22.51% | 4.89% | 19.43% | 24.12% | 4.57% |
| Degree | 618.60 | 224.02 | 112.61 | 937.61 | 275.92 | 130.94 | 823.57 | 301.75 | 148.05 |
| Positive edges | 2,343,894 | 266,818 | 292,556 | 2,902,846 | 338,285 | 350,924 | 3,698,648 | 377,488 | 479,680 |
| Negative edges | 116,204 | 8789 | 11,447 | 160,986 | 10,219 | 19,018 | 220,626 | 11,935 | 28,731 |
| Negative/positive edges (%) | 4.96 | 3.29 | 3.91 | 5.55 | 3.02 | 5.42 | 5.97 | 3.16 | 5.99 |
| Togetherness | 2.49 | 4.53 | 1.56 | 2.66 | 4.90 | 1.63 | 2.05 | 4.09 | 1.25 |
| Niche width | 2.36 | 4.42 | 1.42 | 2.63 | 4.93 | 1.57 | 2.61 | 5.24 | 1.59 |
Disclaimer/Publisher’s Note: The statements, opinions and data contained in all publications are solely those of the individual author(s) and contributor(s) and not of MDPI and/or the editor(s). MDPI and/or the editor(s) disclaim responsibility for any injury to people or property resulting from any ideas, methods, instructions or products referred to in the content. |
© 2026 by the authors. Licensee MDPI, Basel, Switzerland. This article is an open access article distributed under the terms and conditions of the Creative Commons Attribution (CC BY) license.
Share and Cite
Lin, L.; Li, G.; Ma, K. Sustaining Ecological Functional Zones: The Stabilizing Role of Common Fungi Against Warming Revealed by Altitudinal Transect. J. Fungi 2026, 12, 227. https://doi.org/10.3390/jof12030227
Lin L, Li G, Ma K. Sustaining Ecological Functional Zones: The Stabilizing Role of Common Fungi Against Warming Revealed by Altitudinal Transect. Journal of Fungi. 2026; 12(3):227. https://doi.org/10.3390/jof12030227
Chicago/Turabian StyleLin, Litao, Guixiang Li, and Keming Ma. 2026. "Sustaining Ecological Functional Zones: The Stabilizing Role of Common Fungi Against Warming Revealed by Altitudinal Transect" Journal of Fungi 12, no. 3: 227. https://doi.org/10.3390/jof12030227
APA StyleLin, L., Li, G., & Ma, K. (2026). Sustaining Ecological Functional Zones: The Stabilizing Role of Common Fungi Against Warming Revealed by Altitudinal Transect. Journal of Fungi, 12(3), 227. https://doi.org/10.3390/jof12030227

