Underlying Mechanisms for Growth Promotion by Low-Concentration Single Salt and Alkali Stresses and Growth Inhibition by Combined Salt-Alkali Stress in Quercus mongolica
Abstract
1. Introduction
2. Materials and Methods
2.1. Plant Material and Experimental Design
2.2. Determination of Plant Growth-Physiological Indices, Soil Physicochemical Properties, and Enzyme Activities
2.3. Selection of Treatments for Metagenomic Analysis
2.4. DNA Extraction, Library Preparation, and High-Throughput Sequencing
2.5. Co-Occurrence Network Construction and Analysis
2.6. Partial Least Squares Path Modeling
2.7. Statistical Analysis
3. Results
3.1. Differential Responses of Quercus mongolica Growth Physiology and Rhizosphere Soil Properties to Salt-Alkali Stress
3.1.1. Effects of Salt-Alkali Stress on Growth Characteristics of Quercus mongolica Seedlings
3.1.2. Effects of Salt-Alkali Stress on Physiological Characteristics of Quercus mongolica Seedlings
3.1.3. Effects of Salt-Alkali Stress on Soil Characteristics in the Rhizosphere of Quercus mongolica Seedlings
3.2. Variations in Rhizosphere Soil Microbial Community Composition and Diversity
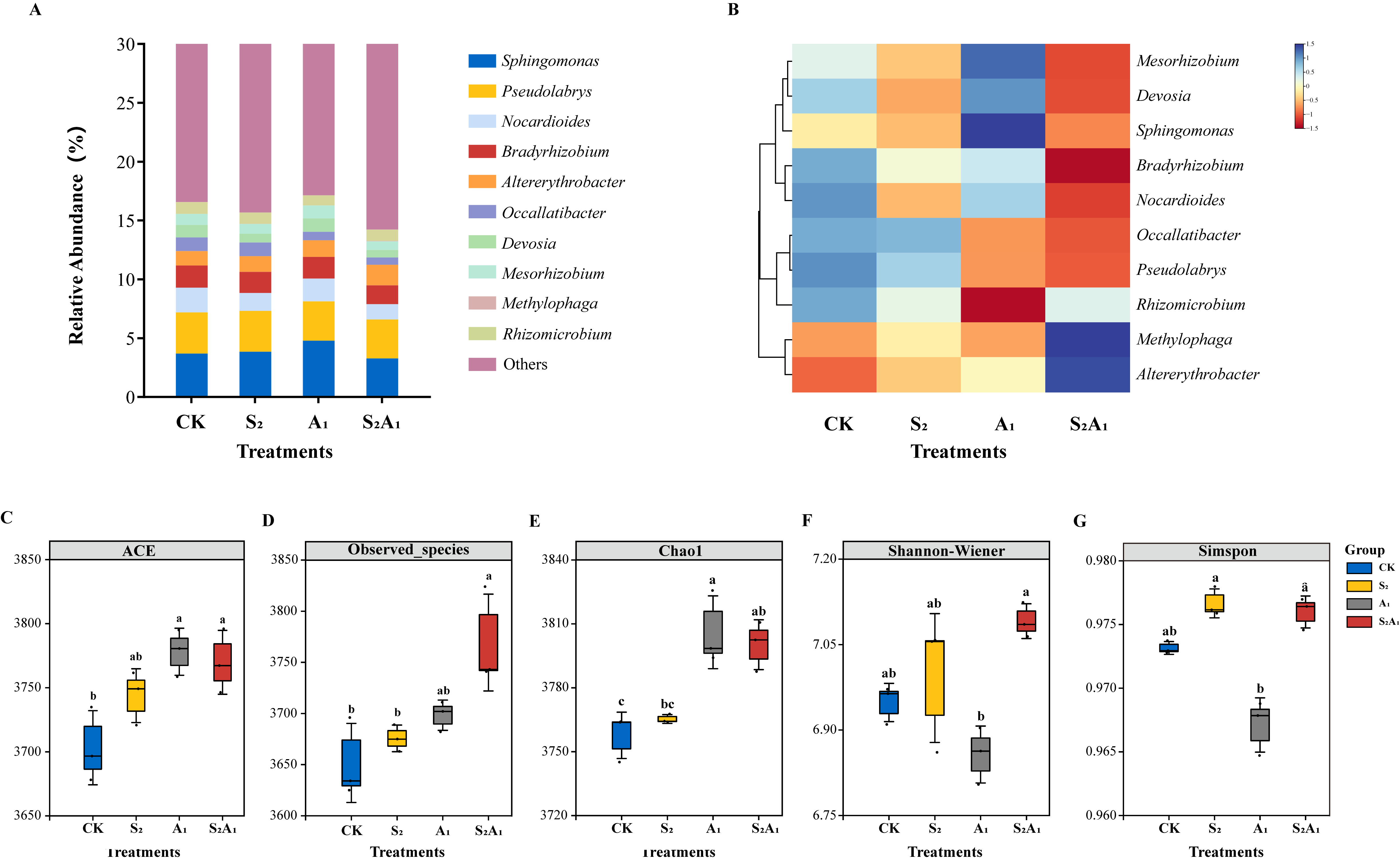
3.2.1. Analysis of Community Composition and Diversity
3.2.2. Linear Discriminant Analysis
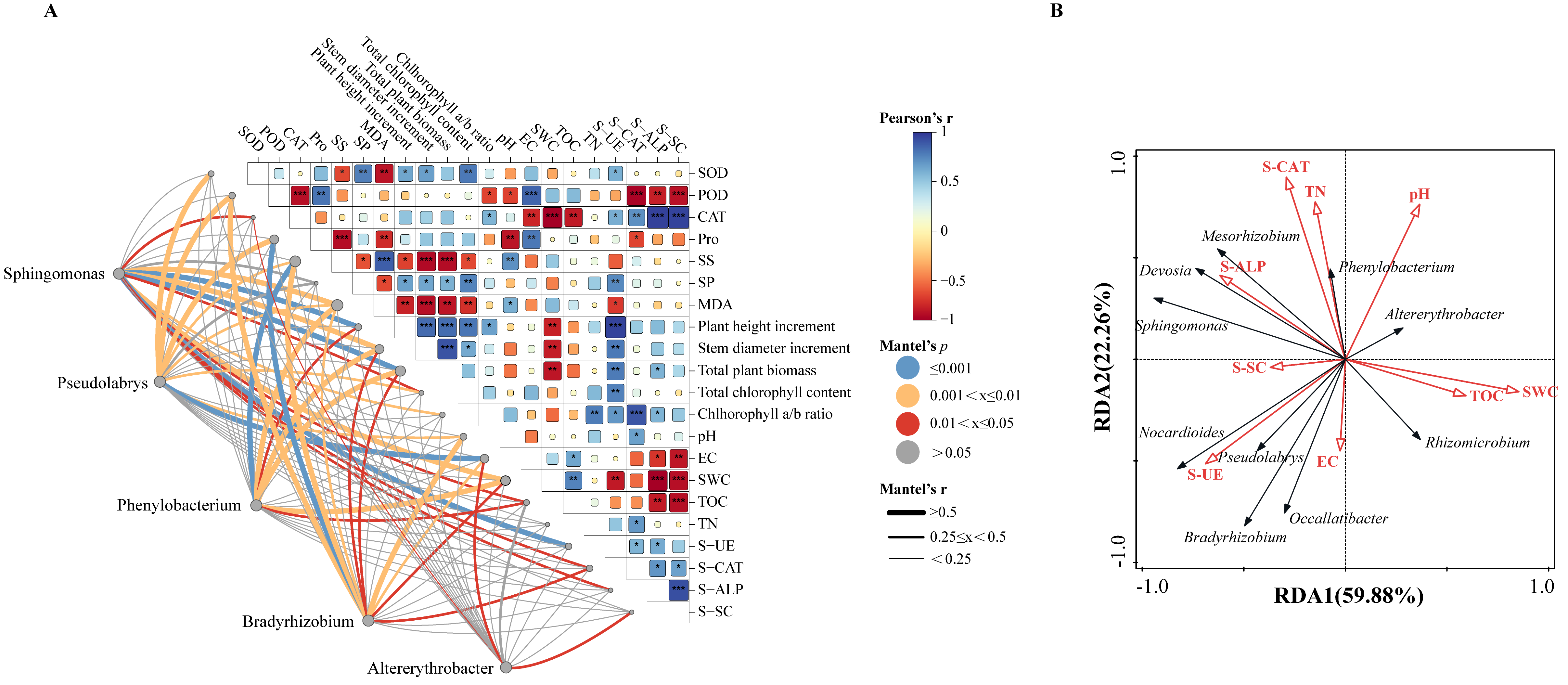
3.3. Association Analysis of Plant Physiology, Rhizosphere Soil Properties, and Microbial Community
3.4. Characterization of Microbial Co-Occurrence Network
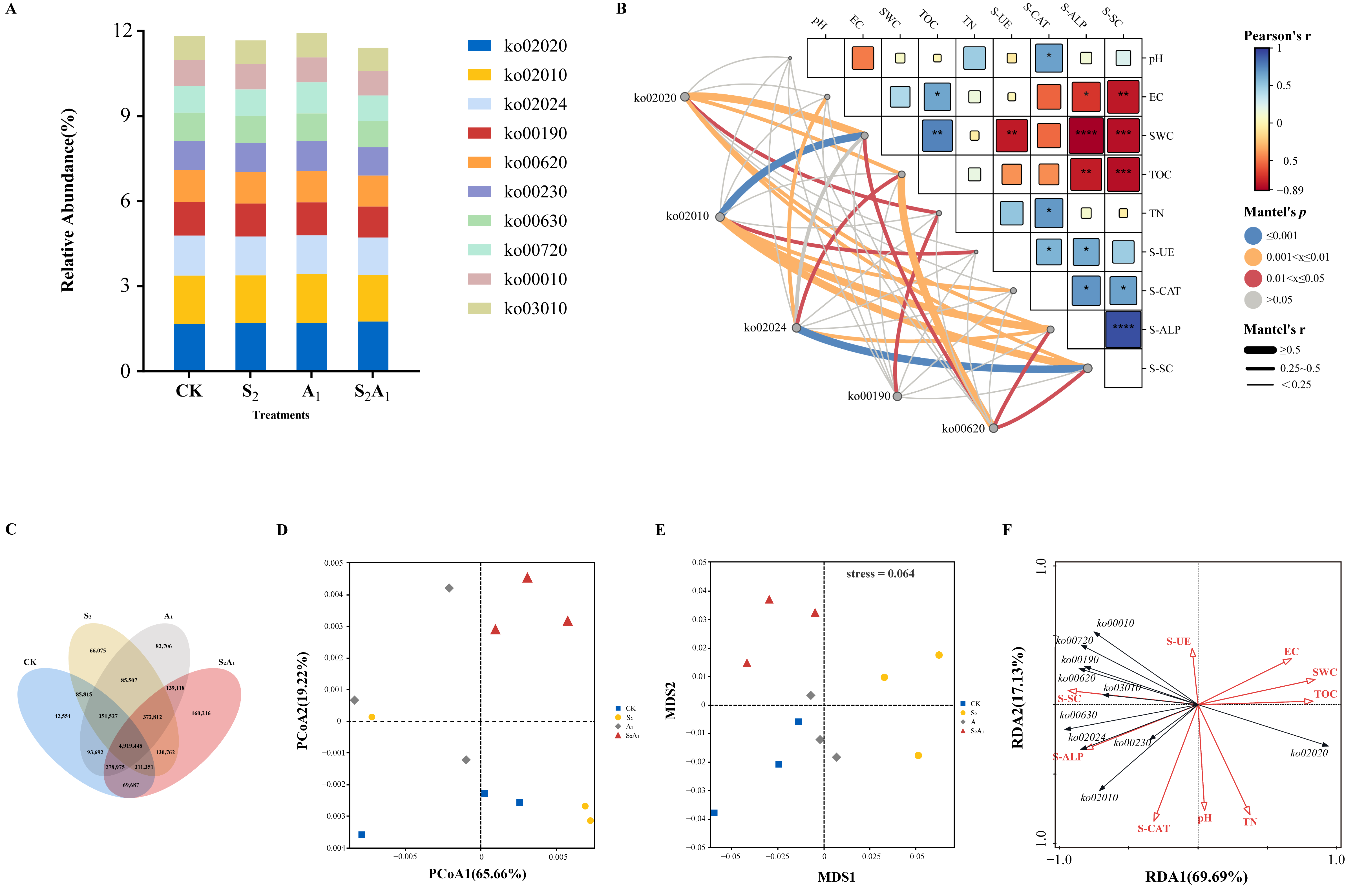
3.5. Effects of Salt-Alkali Stress on the Functional Potential of Microbial Communities
3.5.1. Response of Core Metabolic Pathways Based on the KEGG Database
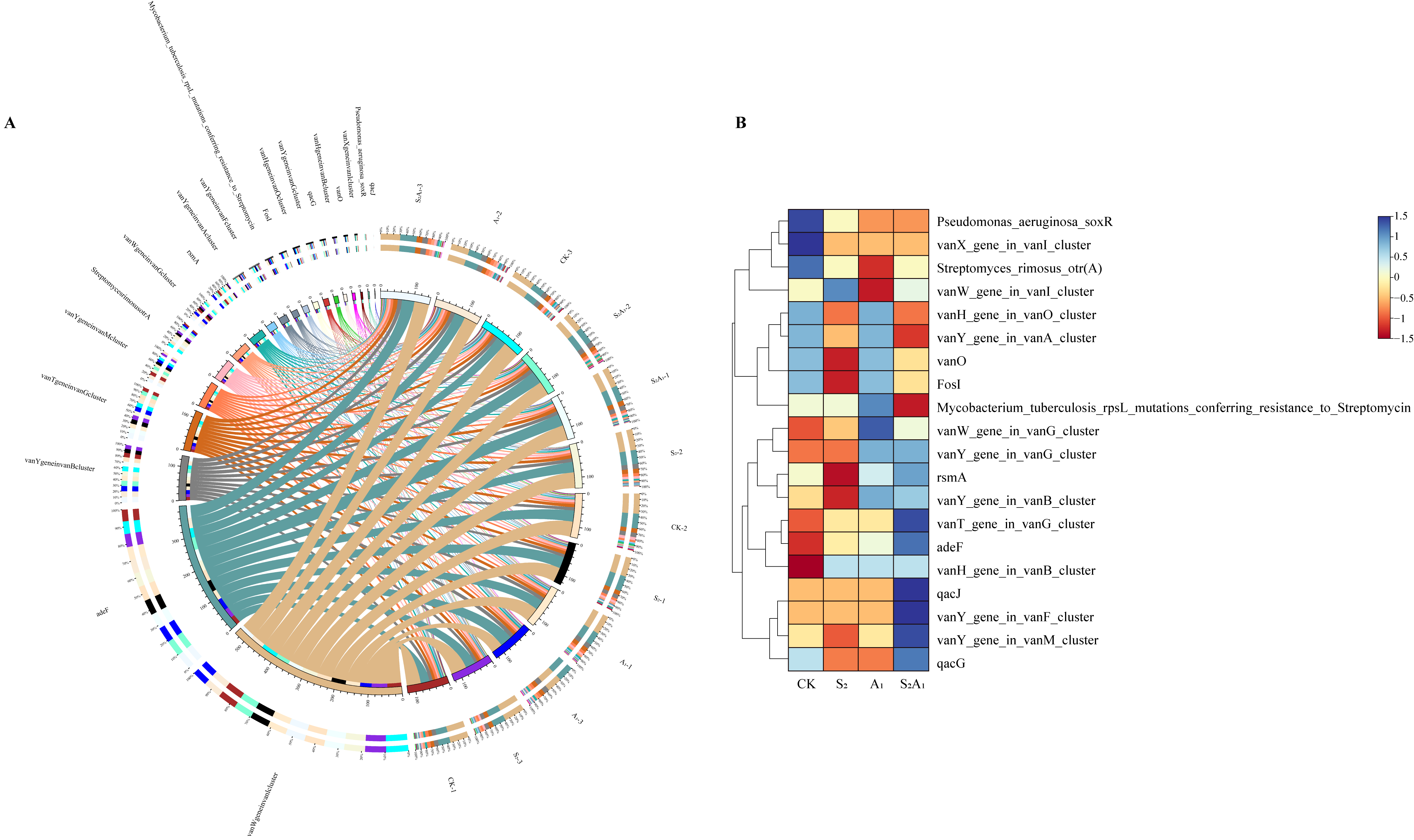
3.5.2. Responses of Antibiotic Resistance Genes Based on the CARD
3.6. Partial Least Squares Path Modeling (PLS-PM) Analysis
4. Discussion
4.1. The Growth-Promoting Effects and Underlying Mechanisms of Low-Concentration Salt Stress
4.1.1. Soil Physicochemical Changes Under Salt Stress
4.1.2. Microbial Community and Functional Responses Under Salt Stress
4.1.3. Plant Physiological Responses Under Salt Stress
4.2. The Growth-Promoting Effects and Underlying Mechanisms of Low-Concentration Alkali Stress
4.2.1. Soil Physicochemical Changes Under Alkaline Stress
4.2.2. Microbial Community and Functional Responses Under Alkaline Stress
4.2.3. Plant Physiological Responses Under Alkaline Stress
4.3. The Inhibitory Effects and Underlying Mechanisms of Combined Salt-Alkali Stress
4.3.1. Soil Physicochemical Changes Under Combined Stress
4.3.2. Microbial Community and Functional Responses Under Combined Stress
4.3.3. Plant Physiological Responses Under Combined Stress
5. Conclusions
Supplementary Materials
Author Contributions
Funding
Institutional Review Board Statement
Informed Consent Statement
Data Availability Statement
Conflicts of Interest
References
- Tang, H.; Du, L.; Xia, C.; Luo, J. Bridging gaps and seeding futures: A synthesis of soil salinization and the role of plant-soil interactions under climate change. iScience 2024, 27, 110804. [Google Scholar] [CrossRef]
- Yue, Y.; Shao, T.; Long, X.; He, T.; Gao, X.; Zhou, Z.; Liu, Z.; Rengel, Z. Microbiome structure and function in rhizosphere of Jerusalem artichoke grown in saline land. Sci. Total Environ. 2020, 724, 138259. [Google Scholar] [CrossRef]
- Tedeschi, A.; Xue, X. Crop Response to Soil and Water Salinity. Soil Syst. 2025, 9, 27. [Google Scholar] [CrossRef]
- Huang, G.; Sun, Y.; Zhang, X.; Rodríguez, L.G.; Luo, J.; Chen, Z.; Ou, Y.; Gao, Y.; Ghaffari, H.; Yao, Y. Adaptation to low nitrogen and salt stresses in the desert poplar by effective regulation of nitrogen assimilation and ion balance. Plant Physiol. Biochem. 2022, 193, 14–24. [Google Scholar] [CrossRef]
- Liu, C.; Jiang, X.; Yuan, Z. Plant Responses and Adaptations to Salt Stress: A Review. Horticulturae 2024, 10, 1221. [Google Scholar] [CrossRef]
- Su, T.-H.; Shen, Y.; Chiang, Y.-Y.; Liu, Y.-T.; You, H.-M.; Lin, H.-C.; Kung, K.-N.; Huang, Y.-M.; Lai, C.-M. Species selection as a key factor in the afforestation of coastal salt-affected lands: Insights from pot and field experiments. J. Environ. Manag. 2024, 360, 121126. [Google Scholar] [CrossRef] [PubMed]
- Başak, H.; Aydin, A.; Yetişir, H.; Turan, M. Salt Stress Effects on Hybrid Bottle Gourd (Lagenaria siceraria) Rootstock Candidates Plant Growth, Hormones and Nutrient Content. J. Crop Health 2025, 77, 28. [Google Scholar] [CrossRef]
- Quamruzzaman, M.; Manik, S.M.N.; Livermore, M.; Johnson, P.; Zhou, M.; Shabala, S. Multidimensional screening and evaluation of morpho-physiological indices for salinity stress tolerance in wheat. J. Agron. Crop Sci. 2022, 208, 454–471. [Google Scholar] [CrossRef]
- Rahman, A.; Ahmed, S.; Islam, M.; Shathy, L.P.; Urmi, T.A.; Haque, M.M.; Siddiqui, M.H.; Murata, Y. Physiological responses, ion accumulation and yield performance of wheat (Triticum aestivum L.) to salt stress. S. Afr. J. Bot. 2024, 168, 417–429, Corrigendum in S. Afr. J. Bot. 2024, 174, 1032. [Google Scholar] [CrossRef]
- Ji, X.; Tang, J.; Zhang, J. Effects of Salt Stress on the Morphology, Growth and Physiological Parameters of Juglans microcarpa L. Seedlings. Plants 2022, 11, 2381. [Google Scholar] [CrossRef]
- Mohammadi Alagoz, S.; Hadi, H.; Toorchi, M.; Pawłowski, T.A.; Asgari Lajayer, B.; Price, G.W.; Farooq, M.; Astatkie, T. Morpho-physiological responses and growth indices of triticale to drought and salt stresses. Sci. Rep. 2023, 13, 8896. [Google Scholar] [CrossRef] [PubMed]
- Jahantigh, O.; Najafi, F.; Badi, H.N.; Khavari-Nejad, R.A.; Sanjarian, F. Changes in antioxidant enzymes activities and proline, total phenol and anthocyanine contents in Hyssopus officinalis L. plants under salt stress. Acta Biol. Hung. 2016, 67, 195–204. [Google Scholar] [CrossRef][Green Version]
- Guo, X.; Ahmad, N.; Zhao, S.; Zhao, C.; Zhong, W.; Wang, X.; Li, G. Effect of Salt Stress on Growth and Physiological Properties of Asparagus Seedlings. Plants 2022, 11, 2836. [Google Scholar] [CrossRef]
- Ma, Y.; Wei, Z.; Liu, J.; Liu, X.; Liu, F. Growth and physiological responses of cotton plants to salt stress. J. Agron. Crop Sci. 2021, 207, 565–576. [Google Scholar] [CrossRef]
- Liu, W.; Zhang, X.; Hu, Z.; Zhang, J.; Wang, S.; Zhao, Y.; Yu, P. Salinity effect on soil organic carbon characteristics and microbial carbon metabolism in coastal wetland of Yellow River Delta. J. Environ. Sci. 2025, in press. [Google Scholar] [CrossRef]
- Yang, C.-W.; Xu, H.-H.; Wang, L.-L.; Liu, J.; Shi, D.-C.; Wang, D.-L. Comparative effects of salt-stress and alkali-stress on the growth, photosynthesis, solute accumulation, and ion balance of barley plants. Photosynthetica 2009, 47, 8. [Google Scholar] [CrossRef]
- Liu, D.; Ma, Y.; Rui, M.; Lv, X.; Chen, R.; Chen, X.; Wang, Y. Is High pH the Key Factor of Alkali Stress on Plant Growth and Physiology? A Case Study with Wheat (Triticum aestivum L.) Seedlings. Agronomy 2022, 12, 1820. [Google Scholar] [CrossRef]
- Zhu, H.; Fazliddin, K.; Li, Q.; Wang, C.; Chen, P.; Yang, J.; Dong, Q.; Li, X.; Kakhramon, D.; Toshkhon, G.; et al. Contrasting adaptations of soil prokaryotes and arbuscular mycorrhizal fungi in saline wildland and non-saline farmland. Fundam. Res. 2025, in press. [Google Scholar] [CrossRef]
- Guo, H.; Huang, Z.; Li, M.; Hou, Z. Growth, ionic homeostasis, and physiological responses of cotton under different salt and alkali stresses. Sci. Rep. 2020, 10, 21844. [Google Scholar] [CrossRef]
- Pan, M.; Jiang, S.; Ma, L.; Ma, J.; Yue, C.; Kong, L.; Wang, D.; Ma, W.; Liu, X.; Ren, W. Study on physiological changes and response mechanism of Cerasus humilis under alkali stress. Front. Plant Sci. 2025, 16, 1586093. [Google Scholar] [CrossRef] [PubMed]
- Dehghan-Harati, Z.; Mahdavi, B.; Hashemi, S.-E. Ion contents, physiological characteristics and growth of Carum copticum as influenced by salinity and alkalinity stresses. Biol. Futur. 2022, 73, 301–308. [Google Scholar] [CrossRef]
- Shi, C.; Guo, F.; Sun, Y.; Han, J.; Zheng, X.; Zhang, J.; Qin, C.; Tan, Z.; Lin, J.; Wang, J. Physiological and transcriptomic analysis of Hordeum jubatum seedlings in response to salt, alkali and drought stresses under uniform water potential. Environ. Exp. Bot. 2024, 220, 105677. [Google Scholar] [CrossRef]
- Yan, G.; Shi, Y.; Chen, F.; Mu, C.; Wang, J. Physiological and Metabolic Responses of Leymus chinensis Seedlings to Alkali Stress. Plants 2022, 11, 1494. [Google Scholar] [CrossRef] [PubMed]
- Sharma, M.; Tisarum, R.; Kohli, R.K.; Batish, D.R.; Cha-um, S.; Singh, H.P. Inroads into saline-alkaline stress response in plants: Unravelling morphological, physiological, biochemical, and molecular mechanisms. Planta 2024, 259, 130. [Google Scholar] [CrossRef]
- Ahmed, S.; Patel, R.; Rana, M.; Kumar, N.; I, I.; Choudhary, M.; Chand, S.; Singh, A.K.; Ghosh, A.; Singhal, R.K. Effect of salt, alkali and combined stresses on root system architecture and ion profiling in a diverse panel of oat (Avena spp.). Funct. Plant Biol. 2024, 51, FP23031. [Google Scholar] [CrossRef]
- Lei, J.; Gu, H.; Liu, Z.; Hu, X.; Yu, Z.; Guan, Q.; Jin, J.; Liu, X.; Wang, G.; Liu, J. Recruitment of specific rhizosphere microorganisms in saline-alkali tolerant rice improves adaptation to saline-alkali stress. Sci. Total Environ. 2025, 963, 178413. [Google Scholar] [CrossRef] [PubMed]
- Zhang, X.-P.; Liu, Q.; Wang, J.; Hu, J.; Zhou, C.-Y.; La, B. Progress on the Mechanism of Interaction between Saline Plants and Inter-rooted Soil Microorganisms under Saline Stress. Chin. J. Soil Sci. 2024, 55, 10. [Google Scholar] [CrossRef]
- Saqib, M.; Abbas, G.; Akhtar, J. Root-mediated acidification and resistance to low calcium improve wheat (Triticum aestivum) performance in saline-sodic conditions. Plant Physiol. Biochem. 2020, 156, 201–208. [Google Scholar] [CrossRef]
- Xia, F.; Hao, H.; Qi, Y.; Bai, H.; Li, H.; Shi, Z.; Shi, L. Effect of Salt Stress on Microbiome Structure and Diversity in Chamomile (Matricaria chamomilla L.) Rhizosphere Soil. Agronomy 2023, 13, 1444. [Google Scholar] [CrossRef]
- Yang, D.; Tang, L.; Cui, Y.; Chen, J.; Liu, L.; Guo, C. Saline-alkali stress reduces soil bacterial community diversity and soil enzyme activities. Ecotoxicology 2022, 31, 1356–1368. [Google Scholar] [CrossRef]
- Sun, X.; Wang, W.; Yi, S.; Zheng, F.; Zhang, Z.; Alharbi, S.A.; Filimonenko, E.; Wang, Z.; Kuzyakov, Y. Microbial composition in saline and alkaline soils regulates plant growth with P-solubilizing bacteria. Appl. Soil Ecol. 2024, 203, 105653. [Google Scholar] [CrossRef]
- Hu, Y.; Zhang, H.; Cui, L.; Zhou, W.; Zhang, M. Responses of soil enzyme activities to increasing salinity: A quantitative meta-analysis. J. Environ. Manag. 2026, 398, 128578. [Google Scholar] [CrossRef]
- Verma, K.K.; Joshi, A.; Song, X.-P.; Liang, Q.; Xu, L.; Huang, H.-R.; Wu, K.-C.; Seth, C.S.; Arora, J.; Li, Y.-R. Regulatory mechanisms of plant rhizobacteria on plants to the adaptation of adverse agroclimatic variables. Front. Plant Sci. 2024, 15, 1377793. [Google Scholar] [CrossRef]
- Sahu, P.K.; Singh, S.; Singh, U.B.; Chakdar, H.; Sharma, P.K.; Sarma, B.K.; Teli, B.; Bajpai, R.; Bhowmik, A.; Singh, H.V.; et al. Inter-Genera Colonization of Ocimum tenuiflorum Endophytes in Tomato and Their Complementary Effects on Na+/K+ Balance, Oxidative Stress Regulation, and Root Architecture Under Elevated Soil Salinity. Front. Microbiol. 2021, 12, 744733. [Google Scholar] [CrossRef]
- Chen, Z.; Zhang, P.; Wang, B.; Li, H.; Li, S.; Zhang, H.; Haider, F.U.; Li, X. Harnessing the role of rhizo-bacteria to mitigate salinity stress in rice (Orzya sativa); focus on antioxidant defense system, photosynthesis response, and rhizosphere microbial diversity. Rhizosphere 2025, 33, 101043. [Google Scholar] [CrossRef]
- Chen, Y.; Yang, Z.; Zhang, J. Combined waterlogging/Submergence and salinity stress in woody plants: Current understanding and future perspectives. Plant Soil 2025, 515, 23–49. [Google Scholar] [CrossRef]
- Llanes, A.; Palchetti, M.V.; Vilo, C.; Ibañez, C. Molecular control to salt tolerance mechanisms of woody plants: Recent achievements and perspectives. Ann. For. Sci. 2021, 78, 96. [Google Scholar] [CrossRef]
- Liu, L.; Li, F.; Hai, L.; Sa, R.; Gao, M.; Wang, Z.; Tie, N. Priority Conservation Area of Quercus mongolica Fisch.ex Ledeb. under Climate Change: Application of an Ensemble Modeling. Preprints 2024. [Google Scholar] [CrossRef]
- Li, J.; Li, Y.; Sun, Y. Research Progress on Genetics and Breeding of Quercus mongolica in China. Mol. Plant Breed. 2024, 22, 6. [Google Scholar] [CrossRef]
- Wang, T.-C.; Ai, W.-F.; Liu, H.-Z.; Liu, L.; Ma, S.-J.; Lu, X.-J. Identification of QmMYC Gene Family in Quercus mongolica and Expression Analysis under Drought Stress. J. Shenyang Agric. Univ. 2022, 53, 147–156. [Google Scholar] [CrossRef]
- Guo, W.; Hao, H.; Zhang, W.H.; Hu, Z.H.; Leng, P.S. Ectomycorrhizal fungi enhance salt tolerance of Quercus mongolica by regulating ion balance. Chin. J. Appl. Ecol. 2022, 33, 12. [Google Scholar] [CrossRef]
- Muhammad, A.; Khan, M.H.U.; Kong, X.; Zheng, S.; Bai, N.; Li, L.; Zhang, N.; Muhammad, S.; Li, Z.; Zhang, X.; et al. Rhizospheric crosstalk: A mechanistic overview of how plant secondary metabolites alleviate abiotic stresses. Plant Sci. 2025, 354, 112431. [Google Scholar] [CrossRef]
- Flohe, L. Superoxide Dismutase Assays. In Methods in Enzymology; Elsevier: Amsterdam, The Netherlands, 1984; p. 5. [Google Scholar]
- Altın, S.; Tohma, H.; Gülçin, İ.; Köksal, E. Purification, characterization, and inhibition sensitivity of peroxidase from wheat (Triticum aestivum ssp. vulgare). Int. J. Food Prop. 2017, 20, 1949–1959. [Google Scholar] [CrossRef]
- Hadwan, M.H. Simple spectrophotometric assay for measuring catalase activity in biological tissues. BMC Biochem. 2018, 19, 7. [Google Scholar] [CrossRef]
- Du, Z.; Bramlage, W.J. Modified thiobarbituric acid assay for measuring lipid oxidation in sugar-rich plant tissue extracts. J. Agric. Food Chem. 1992, 40, 1566–1570. [Google Scholar] [CrossRef]
- Tan, C.; Zhang, L.; Duan, X.; Chai, X.; Huang, R.; Kang, Y.; Yang, X. Effects of exogenous sucrose and selenium on plant growth, quality, and sugar metabolism of pea sprouts. J. Sci. Food Agric. 2021, 102, 2855–2863. [Google Scholar] [CrossRef] [PubMed]
- Parida, A.; Das, A.B.; Das, P. NaCl stress causes changes in photosynthetic pigments, proteins, and other metabolic components in the leaves of a true mangrove, Bruguiera parviflora, in hydroponic cultures. J. Plant Biol. 2002, 45, 28–36. [Google Scholar] [CrossRef]
- Li, D.; Li, C.; Sun, H.; Wang, W.; Liu, L.; Zhang, Y. Effects of drought on soluble protein content and protective enzyme system in cotton leaves. Front. Agric. China 2010, 4, 56–62. [Google Scholar] [CrossRef]
- Nóbrega, G.N.; Ferreira, T.O.; Artur, A.G.; de Mendonça, E.S.; de O. Leão, R.A.; Teixeira, A.S.; Otero, X.L. Evaluation of methods for quantifying organic carbon in mangrove soils from semi-arid region. J. Soils Sediments 2015, 15, 282–291. [Google Scholar] [CrossRef]
- Schepers, J.S.; Francis, D.D.; Thompson, M.T. Simultaneous determination of total C, total N, and15N on soil and plant material. Commun. Soil Sci. Plant Anal. 2008, 20, 949–959. [Google Scholar] [CrossRef]
- Hu, X.; Liu, X.; Qiao, L.; Zhang, S.; Su, K.; Qiu, Z.; Li, X.; Zhao, Q.; Yu, C. Study on the spatial distribution of ureolytic microorganisms in farmland soil around tailings with different heavy metal pollution. Sci. Total Environ. 2021, 775, 144946. [Google Scholar] [CrossRef]
- Shan, Q.; Yu, Y.; Yu, J.; Zhang, J. Soil enzyme activities and their indication for fertility of urban forest soil. Front. Environ. Sci. Eng. China 2008, 2, 218–223. [Google Scholar] [CrossRef]
- Xiao, J.; Lan, S.; Zhang, Z.; Yang, L.; Qian, L.; Xia, L.; Song, S.; Farías, M.E.; Torres, R.M.; Wu, L. Physical Disturbance Reduces Cyanobacterial Relative Abundance and Substrate Metabolism Potential of Biological Soil Crusts on a Gold Mine Tailing of Central China. Front. Microbiol. 2022, 13, 811039. [Google Scholar] [CrossRef] [PubMed]
- Pozo, C.; Martinez-Toledo, M.V.; Salmeron, V.; Rodelas, B.; Gonzalez-Lopez, J. Effect of chlorpyrifos on soil microbial activity. Environ. Toxicol. Chem. 1995, 14, 187–192. [Google Scholar] [CrossRef]
- Babalola, O.O.; Akinola, S.A.; Ayangbenro, A.S.; Stewart, F.J. Shotgun Metagenomic Survey of Maize Soil Rhizobiome. Microbiol. Resour. Announc. 2020, 9. [Google Scholar] [CrossRef]
- Cao, J.; Hu, Y.; Liu, F.; Wang, Y.; Bi, Y.; Lv, N.; Li, J.; Zhu, B.; Gao, G.F. Metagenomic analysis reveals the microbiome and resistome in migratory birds. Microbiome 2020, 8, 26. [Google Scholar] [CrossRef]
- Wang, J.-H.; Lu, J.; Zhang, Y.-X.; Wu, J.; Luo, Y.; Liu, H. Metagenomic analysis of antibiotic resistance genes in coastal industrial mariculture systems. Bioresour. Technol. 2018, 253, 235–243. [Google Scholar] [CrossRef]
- He, L.-X.; He, L.-Y.; Tang, Y.-J.; Qiao, L.-K.; Xu, M.-C.; Zhou, Z.-Y.; Bai, H.; Zhang, M.; Ying, G.-G. Deciphering spread of quinolone resistance in mariculture ponds: Cross-species and cross-environment transmission of resistome. J. Hazard. Mater. 2025, 487, 137198. [Google Scholar] [CrossRef]
- Deng, Y.; Jiang, Y.-H.; Yang, Y.; He, Z.; Luo, F.; Zhou, J. Molecular ecological network analyses. BMC Bioinform. 2012, 13, 113. [Google Scholar] [CrossRef]
- Barberán, A.; Bates, S.T.; Casamayor, E.O.; Fierer, N. Using network analysis to explore co-occurrence patterns in soil microbial communities. ISME J. 2012, 6, 343–351, Erratum in ISME J. 2014, 8, 952. [Google Scholar] [CrossRef]
- Bellafiore, S.; Barneche, F.; Peltier, G.; Rochaix, J.-D. State transitions and light adaptation require chloroplast thylakoid protein kinase STN7. Nature 2005, 433, 892–895. [Google Scholar] [CrossRef]
- Duan, Y.; Zhang, J.; Petropoulos, E.; Zhao, J.; Jia, R.; Wu, F.; Chen, Y.; Wang, L.; Wang, X.; Li, Y.; et al. Soil Acidification Destabilizes Terrestrial Ecosystems via Decoupling Soil Microbiome. Glob. Change Biol. 2025, 31, e70174. [Google Scholar] [CrossRef]
- Roy, S.; Dawson, R.A.; Bradley, J.A.; Hernández, M. Prevalence and dynamics of antimicrobial resistance in pioneer and developing Arctic soils. BMC Microbiol. 2025, 25, 50. [Google Scholar] [CrossRef]
- Geng, G.; Li, R.; Stevanato, P.; Lv, C.; Lu, Z.; Yu, L.; Wang, Y. Physiological and Transcriptome Analysis of Sugar Beet Reveals Different Mechanisms of Response to Neutral Salt and Alkaline Salt Stresses. Front. Plant Sci. 2020, 11, 571864. [Google Scholar] [CrossRef] [PubMed]
- Chen, G.; Amoanimaa-Dede, H.; Zeng, F.; Deng, F.; Xu, S.; Chen, Z.-H. Chapter One—Stomatal regulation and adaptation to salinity in glycophytes and halophytes. In Advances in Botanical Research; Shabala, S., Ed.; Academic Press: Cambridge, MA, USA, 2022; Volume 103, pp. 1–42. [Google Scholar]
- Huancheng, M. Physiology of woody plant under salt condition. J. Northeast For. Univ. 1996, 7, 1–6. [Google Scholar] [CrossRef]
- Agathokleous, E.; Kitao, M.; Calabrese, E.J. Hormesis: A Compelling Platform for Sophisticated Plant Science. Trends Plant Sci. 2019, 24, 318–327. [Google Scholar] [CrossRef] [PubMed]
- Erofeeva, E.A. Environmental hormesis of non-specific and specific adaptive mechanisms in plants. Sci. Total Environ. 2022, 804, 150059. [Google Scholar] [CrossRef]
- Isayenkov, S.V.; Maathuis, F.J.M. Plant Salinity Stress: Many Unanswered Questions Remain. Front. Plant Sci. 2019, 10, 80. [Google Scholar] [CrossRef]
- van Zelm, E.; Zhang, Y.; Testerink, C. Salt Tolerance Mechanisms of Plants. Annu. Rev. Plant Biol. 2020, 71, 403–433. [Google Scholar] [CrossRef]
- Munns, R.; Tester, M. Mechanisms of Salinity Tolerance. Annu. Rev. Plant Biol. 2008, 59, 651–681. [Google Scholar] [CrossRef]
- Cao, H.; Ding, R.; Kang, S.; Du, T.; Tong, L.; Zhang, Y.; Chen, J.; Shukla, M.K. Chapter Three—Drought, salt, and combined stresses in plants: Effects, tolerance mechanisms, and strategies. In Advances in Agronomy; Sparks, D.L., Ed.; Academic Press: Cambridge, MA, USA, 2023; Volume 178, pp. 107–163. [Google Scholar]
- Zhou, S.; Wang, G.; Han, Q.; Zhang, J.; Dang, H.; Ning, H.; Gao, Y.; Sun, J. Long-term saline water irrigation affected soil carbon and nitrogen cycling functional profiles in the cotton field. Front. Microbiol. 2024, 15, 1310387. [Google Scholar] [CrossRef]
- Du, Y.; Zhang, L.; Yang, Y.; Cheng, K.; Li, K.; Zhou, Y.; Li, L.; Jin, Y.; He, X. Assembly, network and functional compensation of specialists and generalists in poplar rhizosphere under salt stress. npj Biofilms Microbiomes 2025, 11, 28. [Google Scholar] [CrossRef] [PubMed]
- Zheng, Y.; Cao, X.; Zhou, Y.; Ma, S.; Wang, Y.; Li, Z.; Zhao, D.; Yang, Y.; Zhang, H.; Meng, C.; et al. Purines enrich root-associated Pseudomonas and improve wild soybean growth under salt stress. Nat. Commun. 2024, 15, 3520. [Google Scholar] [CrossRef]
- Hecht, K.; Kowalchuk, G.A.; Ford Denison, R.; Kahmen, A.; Xiong, W.; Jousset, A.; Ravanbakhsh, M. Deletion of ACC Deaminase in Symbionts Converts the Host Plant From Water Waster to Water Saver. Plant Cell Environ. 2024, 48, 1919–1931. [Google Scholar] [CrossRef]
- Khan, M.S.U.; Afridi, N.; Ritu, S.A.; Shipar, S.I.; Zaman, S.B.; Hasan, N.T.; Uddin, S.; Hasan, M.; Rahimi, M.; Sumi, M.J.; et al. Enhancing root resilience through sustainable agriculture to mitigate heavy metal pollution and abiotic stresses in a changing climate. Rhizosphere 2026, 37, 101251. [Google Scholar] [CrossRef]
- Yan, K.; Ma, S.; Zhu, Q.; Tian, H.; Wang, Y. Microbial Biotic Associations Dominated Adaptability Differences of Dioecious Poplar Under Salt Stress. Plant Cell Environ. 2025, 48, 3364–3378. [Google Scholar] [CrossRef]
- Zhong, C.; Zhang, P.; Liu, C.; Liu, M.; Chen, W.; Fu, J.; Qi, X.; Cao, G. The PolS-PolR Two-Component System Regulates Genes Involved in Poly-P Metabolism and Phosphate Transport in Microlunatus phosphovorus. Front. Microbiol. 2019, 10, 2127. [Google Scholar] [CrossRef] [PubMed]
- Xu, J.; Yun, H.; Seo, J.H.; Kim, Y.-K.; Yang, J. Examining the bacterial diversity including extracellular vesicles in air and soil: Implications for human health. PLoS ONE 2025, 20, e0320916. [Google Scholar] [CrossRef]
- Ribeiro, T.; Santos, S.; Marques, M.I.M.; Gilmore, M.; de Fátima Silva Lopes, M. Identification of a new gene, vanV, in vanB operons of Enterococcus faecalis. Int. J. Antimicrob. Agents 2011, 37, 554–557. [Google Scholar] [CrossRef] [PubMed][Green Version]
- Lemanowicz, J.; Gawlińska, K.; Siwik-Ziomek, A. Impact of Technogenic Saline Soils on Some Chemical Properties and on the Activity of Selected Enzymes. Energies 2021, 14, 4882. [Google Scholar] [CrossRef]
- Zhai, C.; Feng, X.; Liu, C.; Li, Y.; Fan, J.; Zhang, J.; Meng, Q. Linkages of Enzymatic Activity and Stoichiometry with Soil Physical-Chemical Properties under Long-Term Manure Application to Saline-Sodic Soil on the Songnen Plain. Agronomy 2023, 13, 2972. [Google Scholar] [CrossRef]
- Shabaan, M.; Asghar, H.N.; Zahir, Z.A.; Zhang, X.; Sardar, M.F.; Li, H. Salt-Tolerant PGPR Confer Salt Tolerance to Maize Through Enhanced Soil Biological Health, Enzymatic Activities, Nutrient Uptake and Antioxidant Defense. Front. Microbiol. 2022, 13, 901865. [Google Scholar] [CrossRef]
- Reginato, M.; Cenzano, A.M.; Arslan, I.; Furlán, A.; Varela, C.; Cavallin, V.; Papenbrock, J.; Luna, V. Na2SO4 and NaCl salts differentially modulate the antioxidant systems in the highly stress tolerant halophyte Prosopis strombulifera. Plant Physiol. Biochem. 2021, 167, 748–762. [Google Scholar] [CrossRef]
- Mittler, R.; Blumwald, E. The Roles of ROS and ABA in Systemic Acquired Acclimation. Plant Cell 2015, 27, 64–70. [Google Scholar] [CrossRef]
- Mittler, R. ROS Are Good. Trends Plant Sci. 2017, 22, 11–19. [Google Scholar] [CrossRef] [PubMed]
- Gill, S.S.; Tuteja, N. Reactive oxygen species and antioxidant machinery in abiotic stress tolerance in crop plants. Plant Physiol. Biochem. 2010, 48, 909–930. [Google Scholar] [CrossRef]
- Vaseva, I.I.; Simova-Stoilova, L.; Kirova, E.; Mishev, K.; Depaepe, T.; Van Der Straeten, D.; Vassileva, V. Ethylene signaling in salt-stressed Arabidopsis thaliana ein2-1 and ctr1-1 mutants—A dissection of molecular mechanisms involved in acclimation. Plant Physiol. Biochem. 2021, 167, 999–1010. [Google Scholar] [CrossRef]
- Shan, J.; Niedzwiedzki, D.M.; Tomar, R.S.; Liu, Z.; Liu, H. Architecture and functional regulation of a plant PSII-LHCII megacomplex. Sci. Adv. 2024, 10, eadq9967. [Google Scholar] [CrossRef]
- Li, F.; Qing, T.; Wu, F.; Yue, K.; Zhu, J.; Ni, X. Trade-off in the partitioning of recent photosynthate carbon under global change. Glob. Change Biol. 2024, 30, e17110. [Google Scholar] [CrossRef] [PubMed]
- Feng, H.; Du, Q.; Jiang, Y.; Jia, Y.; He, T.; Wang, Y.; Chapman, B.; Yu, J.; Zhang, H.; Gu, M.; et al. Hordeum I genome unlocks adaptive evolution and genetic potential for crop improvement. Nat. Plants 2025, 11, 438–452. [Google Scholar] [CrossRef]
- Kang, J.; Yang, W.; Liu, S.; Xuan, N.; Shao, Y.; Geng, Y.; Afzal, M.; Zhang, Y.; Yue, S.; Mushtaq, R.; et al. Arbuscular mycorrhizal fungi increased peanut (Arachis hypogaea L.) yield by changing the rhizosphere microbial community structure in saline-alkali soil. Front. Microbiol. 2023, 14, 1303979. [Google Scholar] [CrossRef]
- Liu, L.; Wang, Y.; Gai, Z.; Liu, D.; Wu, P.; Wang, B.; Zou, C.; Li, C.; Yang, F. Responses of Soil Microorganisms and Enzymatic Activities to Alkaline Stress in Sugar Beet Rhizosphere. Pol. J. Environ. Stud. 2019, 29, 739–748. [Google Scholar] [CrossRef]
- Zhang, M.; Wu, M.; Xu, T.; Cao, J.; Zhang, Z.; Zhang, T.; Xie, Q.; Wang, J.; Sun, S.; Zhang, Q.; et al. A putative Na+/H+ antiporter BpSOS1 contributes to salt tolerance in birch. Plant Sci. 2024, 346, 112181. [Google Scholar] [CrossRef]
- Liu, L.; Chen, Y.; Zhang, L.; Bi, X.; Meng, F.; Luo, Q. Effects of NaHCO3 Stress on Black Locust (Robinia pseudoacacia L.) Physiology, Biochemistry, and Rhizosphere Bacterial Communities. Microorganisms 2023, 11, 2941. [Google Scholar] [CrossRef]
- Khan, A.L.; Waqas, M.; Asaf, S.; Kamran, M.; Shahzad, R.; Bilal, S.; Khan, M.A.; Kang, S.-M.; Kim, Y.-H.; Yun, B.-W.; et al. Plant growth-promoting endophyte Sphingomonas sp. LK11 alleviates salinity stress in Solanum pimpinellifolium. Environ. Exp. Bot. 2017, 133, 58–69. [Google Scholar] [CrossRef]
- Bihani, S.C.; Nagar, V.; Kumar, M. Mechanistic and evolutionary insights into alkaline phosphatase superfamily through structure-function studies on Sphingomonas alkaline phosphatase. Arch. Biochem. Biophys. 2023, 736, 109524. [Google Scholar] [CrossRef]
- Wang, Z.; Li, Z.; Zhang, Y.; Liao, J.; Guan, K.; Zhai, J.; Meng, P.; Tang, X.; Dong, T.; Song, Y. Root hair developmental regulators orchestrate drought triggered microbiome changes and the interaction with beneficial Rhizobiaceae. Nat. Commun. 2024, 15, 10068. [Google Scholar] [CrossRef]
- Guo, L.; Zhang, X.; Zhao, J.; Zhang, A.; Pang, Q. Enhancement of sulfur metabolism and antioxidant machinery confers Bacillus sp. Jrh14-10–induced alkaline stress tolerance in plant. Plant Physiol. Biochem. 2023, 203, 108063. [Google Scholar] [CrossRef] [PubMed]
- Li, X.-H.; Zhang, X.-N.; Zhou, S.-F.; Li, H.-X.; Chen, Y.-F. Competitive Interactions Among Populus euphratica Seedlings Intensify Under Drought and Salt Stresses. Plants 2025, 14, 3842. [Google Scholar] [CrossRef]
- Stacey, S.D.; Williams, D.A.; Pritchett, C.L.; Stock, A.M. The Pseudomonas aeruginosa Two-Component Regulator AlgR Directly Activates rsmA Expression in a Phosphorylation-Independent Manner. J. Bacteriol. 2017, 199. [Google Scholar] [CrossRef] [PubMed]
- Schäberle, T.F.; Vollmer, W.; Frasch, H.-J.; Hüttel, S.; Kulik, A.; Röttgen, M.; von Thaler, A.-K.; Wohlleben, W.; Stegmann, E. Self-Resistance and Cell Wall Composition in the Glycopeptide Producer Amycolatopsis balhimycina. Antimicrob. Agents Chemother. 2011, 55, 4283–4289. [Google Scholar] [CrossRef] [PubMed]
- Ahmad, P.; Ozturk, M.; Sharma, S.; Gucel, S. Effect of sodium carbonate-induced salinity–alkalinity on some key osmoprotectants, protein profile, antioxidant enzymes, and lipid peroxidation in two mulberry (Morus alba L.) cultivars. J. Plant Interact. 2013, 9, 460–467. [Google Scholar] [CrossRef]
- Krasensky, J.; Jonak, C. Drought, salt, and temperature stress-induced metabolic rearrangements and regulatory networks. J. Exp. Bot. 2012, 63, 1593–1608. [Google Scholar] [CrossRef]
- Mucsi, M.; Borsodi, A.K.; Megyes, M.; Szili-Kovács, T. Response of the metabolic activity and taxonomic composition of bacterial communities to mosaically varying soil salinity and alkalinity. Sci. Rep. 2024, 14, 7460. [Google Scholar] [CrossRef] [PubMed]
- Zhao, X.-Y.; Gao, J.-L.; Yu, X.-F.; Borjigin, Q.-G.; Qu, J.; Zhang, B.-Z.; Zhang, S.-N.; Li, Q.; Guo, J.-A.; Li, D.-B. Evaluation of the microbial community in various saline alkaline-soils driven by soil factors of the Hetao Plain, Inner Mongolia. Sci. Rep. 2024, 14, 28931. [Google Scholar] [CrossRef]
- An, X.; Li, Y.; Cao, Y.; Wang, Z.; Xu, M.; Lian, B. The molecular mechanism for improvement of coastal silt soil by the intercropping model of Suaeda glauca (Bunge) Bunge and Sesbania cannabina (Retz.) Pers. Plant Soil 2025, 513, 1521–1540. [Google Scholar] [CrossRef]
- Kajihara, K.T.; Hynson, N.A. Networks as tools for defining emergent properties of microbiomes and their stability. Microbiome 2024, 12, 184. [Google Scholar] [CrossRef]
- Chen, L.; Li, C.; Feng, Q.; Wei, Y.; Zheng, H.; Zhao, Y.; Feng, Y.; Li, H. Shifts in soil microbial metabolic activities and community structures along a salinity gradient of irrigation water in a typical arid region of China. Sci. Total Environ. 2017, 598, 64–70. [Google Scholar] [CrossRef]
- Khambani, L.S.; Hassen, A.I.; Rumbold, K. Characterization of rhizobia for beneficial traits that promote nodulation in legumes under abiotically stressed conditions. Lett. Appl. Microbiol. 2023, 76, ovad106. [Google Scholar] [CrossRef] [PubMed]
- Poshvina, D.V.; Dilbaryan, D.S.; Vasilchenko, A.S. Gausemycin A-Resistant Staphylococcus aureus Demonstrates Affected Cell Membrane and Cell Wall Homeostasis. Microorganisms 2023, 11, 1330. [Google Scholar] [CrossRef]
- Latif, A.; Ahmad, R.; Ahmed, J.; Mueen, H.; Khan, S.A.; Bibi, G.; Mahmood, T.; Hassan, A. Novel halotolerant PGPR strains alleviate salt stress by enhancing antioxidant activities and expression of selected genes leading to improved growth of Solanum lycopersicum. Sci. Hortic. 2024, 338, 113625. [Google Scholar] [CrossRef]
- Yu, P.; Tang, X.; Zhang, A.; Fan, G.; Liu, S. Responses of soil specific enzyme activities to short-term land use conversions in a salt-affected region, northeastern China. Sci. Total Environ. 2019, 687, 939–945. [Google Scholar] [CrossRef]
- Singh, A.; Rajput, V.D.; Sharma, R.; Ghazaryan, K.; Minkina, T. Salinity stress and nanoparticles: Insights into antioxidative enzymatic resistance, signaling, and defense mechanisms. Environ. Res. 2023, 235, 116585. [Google Scholar] [CrossRef] [PubMed]
- Lopez-Delacalle, M.; Silva, C.J.; Mestre, T.C.; Martinez, V.; Blanco-Ulate, B.; Rivero, R.M. Synchronization of proline, ascorbate and oxidative stress pathways under the combination of salinity and heat in tomato plants. Environ. Exp. Bot. 2021, 183, 104351. [Google Scholar] [CrossRef]
- Li, H.; Xu, C.; Han, L.; Li, C.; Xiao, B.; Wang, H.; Yang, C. Extensive secretion of phenolic acids and fatty acids facilitates rhizosphere pH regulation in halophyte Puccinellia tenuiflora under alkali stress. Physiol. Plant. 2022, 174, e13678. [Google Scholar] [CrossRef]
- Stefanov, M.A.; Rashkov, G.D.; Borisova, P.B.; Apostolova, E.L. Changes in Photosystem II Complex and Physiological Activities in Pea and Maize Plants in Response to Salt Stress. Plants 2024, 13, 1025. [Google Scholar] [CrossRef] [PubMed]









| Alkaline Stress Treatment Concentration (mmol·L−1) | Salt Stress Treatment Concentration (mmol·L−1) | |||
|---|---|---|---|---|
| 0 | 50 | 100 | 200 | |
| 0 | CK | S1 | S2 | S3 |
| 50 | A1 | S1A1 | S2A1 | S3A1 |
| 100 | A2 | S1A2 | S2A2 | S3A2 |
| 150 | A3 | S1A3 | S2A3 | S3A3 |
Disclaimer/Publisher’s Note: The statements, opinions and data contained in all publications are solely those of the individual author(s) and contributor(s) and not of MDPI and/or the editor(s). MDPI and/or the editor(s) disclaim responsibility for any injury to people or property resulting from any ideas, methods, instructions or products referred to in the content. |
© 2026 by the authors. Licensee MDPI, Basel, Switzerland. This article is an open access article distributed under the terms and conditions of the Creative Commons Attribution (CC BY) license.
Share and Cite
Huang, F.; Wu, X.; Zou, L.; Li, T.; Qu, T. Underlying Mechanisms for Growth Promotion by Low-Concentration Single Salt and Alkali Stresses and Growth Inhibition by Combined Salt-Alkali Stress in Quercus mongolica. Microorganisms 2026, 14, 547. https://doi.org/10.3390/microorganisms14030547
Huang F, Wu X, Zou L, Li T, Qu T. Underlying Mechanisms for Growth Promotion by Low-Concentration Single Salt and Alkali Stresses and Growth Inhibition by Combined Salt-Alkali Stress in Quercus mongolica. Microorganisms. 2026; 14(3):547. https://doi.org/10.3390/microorganisms14030547
Chicago/Turabian StyleHuang, Fan, Xinrui Wu, Laixue Zou, Te Li, and Tongbao Qu. 2026. "Underlying Mechanisms for Growth Promotion by Low-Concentration Single Salt and Alkali Stresses and Growth Inhibition by Combined Salt-Alkali Stress in Quercus mongolica" Microorganisms 14, no. 3: 547. https://doi.org/10.3390/microorganisms14030547
APA StyleHuang, F., Wu, X., Zou, L., Li, T., & Qu, T. (2026). Underlying Mechanisms for Growth Promotion by Low-Concentration Single Salt and Alkali Stresses and Growth Inhibition by Combined Salt-Alkali Stress in Quercus mongolica. Microorganisms, 14(3), 547. https://doi.org/10.3390/microorganisms14030547

