Sign in to use this feature.

Years

Between: -

Subjects

remove_circle_outline
remove_circle_outline
remove_circle_outline
remove_circle_outline
remove_circle_outline
remove_circle_outline
remove_circle_outline
remove_circle_outline
remove_circle_outline

Journals

remove_circle_outline
remove_circle_outline
remove_circle_outline
remove_circle_outline
remove_circle_outline
remove_circle_outline
remove_circle_outline
remove_circle_outline
remove_circle_outline

Article Types

Countries / Regions

remove_circle_outline
remove_circle_outline
remove_circle_outline
remove_circle_outline
remove_circle_outline
remove_circle_outline

Search Results (494)

Search Parameters:
Keywords = telemetry system

Order results
Result details
Results per page
Select all
Export citation of selected articles as:
39 pages, 3325 KB  
Article
Novel Middleware Framework for Integrating Extended Reality into Robotic Manufacturing Processes
by Zoltán Szilágyi, Csaba Hajdu, Károly Széll and Péter Galambos
J. Manuf. Mater. Process. 2026, 10(2), 46; https://doi.org/10.3390/jmmp10020046 - 27 Jan 2026
Abstract
The integration of extended reality (XR) into industrial robotics requires robust middleware solutions capable of bridging heterogeneous systems, protocols, and user interactions. This paper presents a novel middleware framework designed to connect industrial robots with XR devices such as the HoloLens. The architecture [...] Read more.
The integration of extended reality (XR) into industrial robotics requires robust middleware solutions capable of bridging heterogeneous systems, protocols, and user interactions. This paper presents a novel middleware framework designed to connect industrial robots with XR devices such as the HoloLens. The architecture employs a hybrid communication layer that combines MQTT (Message Queuing Telemetry Transport) and ØMQ (Zero Message Queue), leveraging the Sparkplug Robotics API model for robot data and publisher–subscriber streaming for XR camera feeds. A Redis cache database is introduced to ensure efficient data handling and prevent data corruption. On the robot side, the system is built on ROS 2 (Robot Operating System) and connects to proprietary industrial protocols through dedicated bridges, enabling seamless interoperability. Spatial alignment between physical robots and XR overlays is achieved using ArUco marker-based synchronization, while real-time kinematic and process data are visualized directly in XR. The middleware further supports bidirectional interaction, allowing users to adjust parameters and issue commands through XR devices. Beyond functionality, safety considerations are incorporated by integrating human–robot interaction safeguards and ensuring compliance with industrial communication standards. The proposed solution demonstrates how middleware-driven XR integration enhances transparency, control, and safety in robotic manufacturing processes, laying the foundation for greater efficiency and adaptability in Industry 4.0 environments. Full article
(This article belongs to the Special Issue Robotics in Manufacturing Processes)
Show Figures

Figure 1

29 pages, 6834 KB  
Article
Multi-Layer AI Sensor System for Real-Time GPS Spoofing Detection and Encrypted UAS Control
by Ayoub Alsarhan, Bashar S. Khassawneh, Mahmoud AlJamal, Zaid Jawasreh, Nayef H. Alshammari, Sami Aziz Alshammari, Rahaf R. Alshammari and Khalid Hamad Alnafisah
Sensors 2026, 26(3), 843; https://doi.org/10.3390/s26030843 - 27 Jan 2026
Abstract
Unmanned Aerial Systems (UASs) are playing an increasingly critical role in both civilian and defense applications. However, their heavy reliance on unencrypted Global Navigation Satellite System (GNSS) signals, particularly GPS, makes them highly susceptible to signal spoofing attacks, posing severe operational and safety [...] Read more.
Unmanned Aerial Systems (UASs) are playing an increasingly critical role in both civilian and defense applications. However, their heavy reliance on unencrypted Global Navigation Satellite System (GNSS) signals, particularly GPS, makes them highly susceptible to signal spoofing attacks, posing severe operational and safety threats. This paper introduces a comprehensive, AI-driven multi-layer sensor framework that simultaneously enables real-time spoofing detection and secure command-and-control (C2) communication in lightweight UAS platforms. The proposed system enhances telemetry reliability through a refined preprocessing pipeline that includes a novel GPS Drift Index (GDI), robust statistical normalization, cluster-constrained oversampling, Kalman-based noise reduction, and quaternion filtering. These sensing layers improve anomaly separability under adversarial signal manipulation. On this enhanced feature space, a differentiable architecture search (DARTS) approach dynamically generates lightweight neural network architectures optimized for fast, onboard spoofing detection. For secure command and control, the framework integrates a low-latency cryptographic layer utilizing PRESENT-128 encryption and CMAC authentication, achieving confidentiality and integrity with only 1.79 ms latency and a 0.51 mJ energy cost. Extensive experimental evaluations demonstrate the framework’s outstanding detection accuracy (99.99%), near-perfect F1-score (0.999), and AUC (0.9999), validating its suitability for deployment in real-world, resource-constrained UAS environments. This research advances the field of AI-enabled sensor systems by offering a robust, scalable, and secure navigation framework for countering GPS spoofing in autonomous aerial vehicles. Full article
(This article belongs to the Section Sensors and Robotics)
19 pages, 5729 KB  
Article
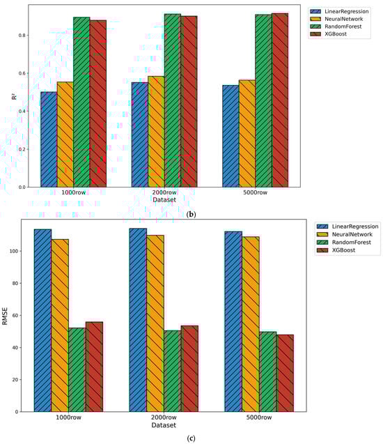
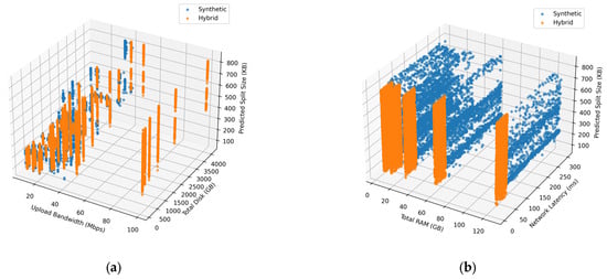
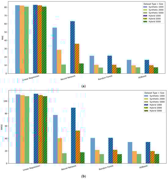
AI-Driven Hybrid Architecture for Secure, Reconstruction-Resistant Multi-Cloud Storage
by Munir Ahmed and Jiann-Shiun Yuan
Future Internet 2026, 18(2), 70; https://doi.org/10.3390/fi18020070 - 27 Jan 2026
Abstract
Cloud storage continues to experience recurring provider-side breaches, raising concerns about the confidentiality and recoverability of user data. This study addresses this challenge by introducing an Artificial Intelligence (AI)-driven hybrid architecture for secure, reconstruction-resistant multi-cloud storage. The system applies telemetry-guided fragmentation, where fragment [...] Read more.
Cloud storage continues to experience recurring provider-side breaches, raising concerns about the confidentiality and recoverability of user data. This study addresses this challenge by introducing an Artificial Intelligence (AI)-driven hybrid architecture for secure, reconstruction-resistant multi-cloud storage. The system applies telemetry-guided fragmentation, where fragment sizes are dynamically predicted from real-time bandwidth, latency, memory availability and disk I/O, eliminating the predictability of fixed-size fragmentation. All payloads are compressed, encrypted with AES-128 and dispersed across independent cloud providers, while two encrypted fragments are retained within a VeraCrypt-protected local vault to enforce a distributed trust threshold that prevents cloud-only reconstruction. Synthetic telemetry was first used to evaluate model feasibility and scalability, followed by hybrid telemetry integrating real Microsoft system traces and Cisco network metrics to validate generalization under realistic variability. Across all evaluations, XGBoost and Random Forest achieved the highest predictive accuracy, while Neural Network and Linear Regression models provided moderate performance. Security validation confirmed that partial-access and cloud-only attack scenarios cannot yield reconstruction without the local vault fragments and the encryption key. These findings demonstrate that telemetry-driven adaptive fragmentation enhances predictive reliability and establishes a resilient, zero-trust framework for secure multi-cloud storage. Full article
Show Figures

Graphical abstract

20 pages, 1854 KB  
Article
Dual-Optimized Genetic Algorithm for Edge-Ready IoT Intrusion Detection on Raspberry Pi
by Khawlah Harasheh, Satinder Gill, Kendra Brinkley, Salah Garada, Dindin Aro Roque, Hayat MacHrouhi, Janera Manning-Kuzmanovski, Jesus Marin-Leal, Melissa Isabelle Arganda-Villapando and Sayed Ahmad Shah Sekandary
J 2026, 9(1), 3; https://doi.org/10.3390/j9010003 - 25 Jan 2026
Viewed by 51
Abstract
The Internet of Things (IoT) is increasingly deployed at the edge under resource and environmental constraints, which limits the practicality of traditional intrusion detection systems (IDSs) on IoT hardware. This paper presents two IDS configurations. First, we develop a baseline IDS with fixed [...] Read more.
The Internet of Things (IoT) is increasingly deployed at the edge under resource and environmental constraints, which limits the practicality of traditional intrusion detection systems (IDSs) on IoT hardware. This paper presents two IDS configurations. First, we develop a baseline IDS with fixed hyperparameters, achieving 99.20% accuracy and ~0.002 ms/sample inference latency on a desktop machine; this configuration is suitable for high-performance platforms but is not intended for constrained IoT deployment. Second, we propose a lightweight, edge-oriented IDS that applies ANOVA-based filter feature selection and uses a genetic algorithm (GA) for the bounded hyperparameter tuning of the classifier under stratified cross-validation, enabling efficient execution on Raspberry Pi-class devices. The lightweight IDS achieves 98.95% accuracy with ~4.3 ms/sample end-to-end inference latency on Raspberry Pi while detecting both low-volume and high-volume (DoS/DDoS) attacks. Experiments are conducted in a Raspberry Pi-based real lab using an up-to-date mixed-modal dataset combining system/network telemetry and heterogeneous physical sensors. Overall, the proposed framework demonstrates a practical, hardware-aware, and reproducible way to balance detection performance and edge-level latency using established techniques for real-world IoT IDS deployment. Full article
20 pages, 1385 KB  
Article
Development of an IoT System for Acquisition of Data and Control Based on External Battery State of Charge
by Aleksandar Valentinov Hristov, Daniela Gotseva, Roumen Ivanov Trifonov and Jelena Petrovic
Electronics 2026, 15(3), 502; https://doi.org/10.3390/electronics15030502 - 23 Jan 2026
Viewed by 160
Abstract
In the context of small, battery-powered systems, a lightweight, reusable architecture is needed for integrated measurement, visualization, and cloud telemetry that minimizes hardware complexity and energy footprint. Existing solutions require high resources. This limits their applicability in Internet of Things (IoT) devices with [...] Read more.
In the context of small, battery-powered systems, a lightweight, reusable architecture is needed for integrated measurement, visualization, and cloud telemetry that minimizes hardware complexity and energy footprint. Existing solutions require high resources. This limits their applicability in Internet of Things (IoT) devices with low power consumption. The present work demonstrates the process of design, implementation and experimental evaluation of a single-cell lithium-ion battery monitoring prototype, intended for standalone operation or integration into other systems. The architecture is compact and energy efficient, with a reduction in complexity and memory usage: modular architecture with clearly distinguished responsibilities, avoidance of unnecessary dynamic memory allocations, centralized error handling, and a low-power policy through the usage of deep sleep mode. The data is stored in a cloud platform, while minimal storage is used locally. The developed system combines the functional requirements for an embedded external battery monitoring system: local voltage and current measurement, approximate estimation of the State of Charge (SoC) using a look-up table (LUT) based on the discharge characteristic, and visualization on a monochrome OLED display. The conducted experiments demonstrate the typical U(t) curve and the triggering of the indicator at low charge levels (LOW − SoC ≤ 20% and CRITICAL − SoC ≤ 5%) in real-world conditions and the absence of unwanted switching of the state near the voltage thresholds. Full article
Show Figures

Figure 1

24 pages, 7143 KB  
Article
MoviGestion: Automating Fleet Management for Personnel Transport Companies Using a Conversational System and IoT Powered by AI
by Elias Torres-Espinoza, Luiggi Raúl Juarez-Vasquez and Vicky Huillca-Ayza
Computers 2026, 15(2), 71; https://doi.org/10.3390/computers15020071 - 23 Jan 2026
Viewed by 96
Abstract
The increasing complexity of fleet operations often forces drivers and administrators to alternate between fragmented tools for geolocation, messaging, and spreadsheet-based reporting, which slows response times and increases cognitive load. This study evaluates a comprehensive architectural framework designed to automate fleet management in [...] Read more.
The increasing complexity of fleet operations often forces drivers and administrators to alternate between fragmented tools for geolocation, messaging, and spreadsheet-based reporting, which slows response times and increases cognitive load. This study evaluates a comprehensive architectural framework designed to automate fleet management in personnel transport companies. The research proposes a unified methodology integrating Internet-of-Things (IoT) telemetry, cloud analytics, and Conversational AI to mitigate information fragmentation. Through a Lean UX iterative process, the proposed system was modeled and validated, with 30 participants (10 administrators and 20 drivers) who performed representative operational tasks in a simulated environment. Usability was assessed through the System Usability Scale (SUS), obtaining a score of 71.5 out of 100, classified as “Good Usability”. The results demonstrate that combining conversational interfaces with centralized operational data reduces friction, accelerates decision-making, and improves the overall user experience in fleet management contexts. Full article
Show Figures

Figure 1

13 pages, 1559 KB  
Article
Use of Leg-Mounted Monitors to Assess the Effects of Treponeme-Associated Hoof Disease on Elk (Cervus canadensis) Activity
by Trent O. Hill, Lisa A. Shipley, Steven N. Winter, Holly R. Drankhan, Kong Moua and Margaret A. Wild
Animals 2026, 16(2), 306; https://doi.org/10.3390/ani16020306 - 19 Jan 2026
Viewed by 105
Abstract
Treponeme-associated hoof disease (TAHD) is an emerging disease of free-ranging elk (Cervus canadensis) in the northwestern United States. Affected elk develop chronic foot lesions, lameness, debilitation, and an apparent increase in mortality, but the onset of lameness and associated changes in [...] Read more.
Treponeme-associated hoof disease (TAHD) is an emerging disease of free-ranging elk (Cervus canadensis) in the northwestern United States. Affected elk develop chronic foot lesions, lameness, debilitation, and an apparent increase in mortality, but the onset of lameness and associated changes in activity are not fully understood. We evaluated the accuracy of a newly developed leg-mounted tri-axial accelerometer monitor (Advanced Telemetry Systems) on captive elk and collected monitor-derived data to assess activity before and during an experimental TAHD challenge. Monitors provided reliable data with 85% overall accuracy of the continuous onboard classification of activity as standing, moving, or bedded against direct visual observation using seven healthy elk. Further, following TAHD challenge, monitor-derived data were able to detect that treatment elk exhibiting abnormal locomotion spent more time bedded and less time moving or standing. During the challenge period, treatment elk spent roughly 10% more of the day bedded than control elk. These findings suggest that leg-mounted activity monitors can detect changes in elk activity and may serve as a useful tool for future wildlife disease monitoring efforts. Full article
Show Figures

Figure 1

22 pages, 2873 KB  
Article
Resource-Constrained Edge AI Solution for Real-Time Pest and Disease Detection in Chili Pepper Fields
by Hoyoung Chung, Jin-Hwi Kim, Junseong Ahn, Yoona Chung, Eunchan Kim and Wookjae Heo
Agriculture 2026, 16(2), 223; https://doi.org/10.3390/agriculture16020223 - 15 Jan 2026
Viewed by 218
Abstract
This paper presents a low-cost, fully on-premise Edge Artificial Intelligence (AI) system designed to support real-time pest and disease detection in open-field chili pepper cultivation. The proposed architecture integrates AI-Thinker ESP32-CAM module (ESP32-CAM) image acquisition nodes (“Sticks”) with a Raspberry Pi 5–based edge [...] Read more.
This paper presents a low-cost, fully on-premise Edge Artificial Intelligence (AI) system designed to support real-time pest and disease detection in open-field chili pepper cultivation. The proposed architecture integrates AI-Thinker ESP32-CAM module (ESP32-CAM) image acquisition nodes (“Sticks”) with a Raspberry Pi 5–based edge server (“Module”), forming a plug-and-play Internet of Things (IoT) pipeline that enables autonomous operation upon simple power-up, making it suitable for aging farmers and resource-limited environments. A Leaf-First 2-Stage vision model was developed by combining YOLOv8n-based leaf detection with a lightweight ResNet-18 classifier to improve the diagnostic accuracy for small lesions commonly occurring in dense pepper foliage. To address network instability, which is a major challenge in open-field agriculture, the system adopted a dual-protocol communication design using Hyper Text Transfer Protocol (HTTP) for Joint Photographic Experts Group (JPEG) transmission and Message Queuing Telemetry Transport (MQTT) for event-driven feedback, enhanced by Redis-based asynchronous buffering and state recovery. Deployment-oriented experiments under controlled conditions demonstrated an average end-to-end latency of 0.86 s from image capture to Light Emitting Diode (LED) alert, validating the system’s suitability for real-time decision support in crop management. Compared to heavier models (e.g., YOLOv11 and ResNet-50), the lightweight architecture reduced the computational cost by more than 60%, with minimal loss in detection accuracy. This study highlights the practical feasibility of resource-constrained Edge AI systems for open-field smart farming by emphasizing system-level integration, robustness, and real-time operability, and provides a deployment-oriented framework for future extension to other crops. Full article
(This article belongs to the Special Issue Smart Sensor-Based Systems for Crop Monitoring)
Show Figures

Figure 1

21 pages, 1676 KB  
Article
Fuzzy Logic-Based Data Flow Control for Long-Range Wide Area Networks in Internet of Military Things
by Rachel Kufakunesu, Herman C. Myburgh and Allan De Freitas
J. Sens. Actuator Netw. 2026, 15(1), 10; https://doi.org/10.3390/jsan15010010 - 14 Jan 2026
Viewed by 201
Abstract
The Internet of Military Things (IoMT) relies on Long-Range Wide Area Networks (LoRaWAN) for low-power, long-range communication in critical applications like border security and soldier health monitoring. However, conventional priority-based flow control mechanisms, which rely on static classification thresholds, lack the adaptability to [...] Read more.
The Internet of Military Things (IoMT) relies on Long-Range Wide Area Networks (LoRaWAN) for low-power, long-range communication in critical applications like border security and soldier health monitoring. However, conventional priority-based flow control mechanisms, which rely on static classification thresholds, lack the adaptability to handle the nuanced, continuous nature of physiological data and dynamic network states. To overcome this rigidity, this paper introduces a novel, domain-adaptive Fuzzy Logic Flow Control (FFC) protocol specifically tailored for LoRaWAN-based IoMT. While employing established Mamdani inference, the FFC system innovatively fuses multi-parameter physiological data (body temperature, blood pressure, oxygen saturation, and heart rate) into a continuous Health Score, which is then mapped via a context-optimised sigmoid function to dynamic transmission intervals. This represents a novel application-layer semantic integration with LoRaWAN’s constrained MAC and PHY layers, enabling cross-layer flow optimisation without protocol modification. Simulation results confirm that FFC significantly enhances reliability and energy efficiency while reducing latency relative to traditional static priority architectures. Seamlessly integrated into the NS-3 LoRaWAN simulation framework, the FFC protocol demonstrates superior performance in IoMT communications. Simulation results confirm that FFC significantly enhances reliability and energy efficiency while reducing latency compared with traditional static priority-based architectures. It achieves this by prioritising high-priority health telemetry, proactively mitigating network congestion, and optimising energy utilisation, thereby offering a robust solution for emergent, health-critical scenarios in resource-constrained environments. Full article
Show Figures

Figure 1

12 pages, 1438 KB  
Article
Analyzing On-Board Vehicle Data to Support Sustainable Transport
by Márton Jagicza, Gergő Sütheö and Gábor Saly
Future Transp. 2026, 6(1), 17; https://doi.org/10.3390/futuretransp6010017 - 14 Jan 2026
Viewed by 123
Abstract
Energy-efficient driving is essential for reducing the environmental impacts of road transport, especially for electric passenger vehicles. This research aims to build a data-driven behavioral analysis and energy-consumption evaluation model. The model relies on sensor data from the vehicle’s on-board communication network, primarily [...] Read more.
Energy-efficient driving is essential for reducing the environmental impacts of road transport, especially for electric passenger vehicles. This research aims to build a data-driven behavioral analysis and energy-consumption evaluation model. The model relies on sensor data from the vehicle’s on-board communication network, primarily the CAN (Controller Area Network) bus. We analyze patterns of key powertrain and battery parameters—such as current, voltage, state of charge (SoC), and power—in relation to driver inputs, such as the accelerator pedal position. In the first stage, we review the literature with a focus on machine learning and clustering methods used in behavioral and energy analysis. We also examine the role of on-board telemetry systems. Next, we develop a controlled measurement architecture. It defines reference consumption maps from dynamometer data across operating points and environmental variables, including SoC, temperature, and load. The longer-term goal is a multidimensional behavioral map and profiling framework that can predict energy efficiency from real-time driver inputs. This work lays the foundation for a future system with adaptive, feedback-based driver support. Such a system can promote intelligent, sustainable, and behavior-oriented mobility solutions. Full article
(This article belongs to the Special Issue Future of Vehicles (FoV2025))
Show Figures

Figure 1

14 pages, 617 KB  
Article
Integrating ESP32-Based IoT Architectures and Cloud Visualization to Foster Data Literacy in Early Engineering Education
by Jael Zambrano-Mieles, Miguel Tupac-Yupanqui, Salutar Mari-Loardo and Cristian Vidal-Silva
Computers 2026, 15(1), 51; https://doi.org/10.3390/computers15010051 - 13 Jan 2026
Viewed by 204
Abstract
This study presents the design and implementation of a full-stack IoT ecosystem based on ESP32 microcontrollers and web-based visualization dashboards to support scientific reasoning in first-year engineering students. The proposed architecture integrates a four-layer model—perception, network, service, and application—enabling students to deploy real-time [...] Read more.
This study presents the design and implementation of a full-stack IoT ecosystem based on ESP32 microcontrollers and web-based visualization dashboards to support scientific reasoning in first-year engineering students. The proposed architecture integrates a four-layer model—perception, network, service, and application—enabling students to deploy real-time environmental monitoring systems for agriculture and beekeeping. Through a sixteen-week Project-Based Learning (PBL) intervention with 91 participants, we evaluated how this technological stack influences technical proficiency. Results indicate that the transition from local code execution to cloud-based telemetry increased perceived learning confidence from μ=3.9 (Challenge phase) to μ=4.6 (Reflection phase) on a 5-point scale. Furthermore, 96% of students identified the visualization dashboards as essential Human–Computer Interfaces (HCI) for debugging, effectively bridging the gap between raw sensor data and evidence-based argumentation. These findings demonstrate that integrating open-source IoT architectures provides a scalable mechanism to cultivate data literacy in early engineering education. Full article
Show Figures

Figure 1

25 pages, 2007 KB  
Article
Symmetric–Asymmetric Security Synergy: A Quantum-Resilient Hybrid Blockchain Framework for Incognito IoT Data Sharing
by Chimeremma Sandra Amadi, Simeon Okechukwu Ajakwe and Taesoo Jun
Symmetry 2026, 18(1), 142; https://doi.org/10.3390/sym18010142 - 10 Jan 2026
Viewed by 211
Abstract
Secure and auditable data sharing in large-scale Internet of Things (IoT) environments remains a significant challenge due to weak trust coordination, limited scalability, and susceptibility to emerging quantum attacks. This study introduces a hybrid blockchain-based framework that integrates post-quantum cryptography with intelligent anomaly [...] Read more.
Secure and auditable data sharing in large-scale Internet of Things (IoT) environments remains a significant challenge due to weak trust coordination, limited scalability, and susceptibility to emerging quantum attacks. This study introduces a hybrid blockchain-based framework that integrates post-quantum cryptography with intelligent anomaly detection to ensure end-to-end data integrity and resilience. The proposed system utilizes Hyperledger Fabric for permissioned device lifecycle management and Ethereum for public auditability of encrypted telemetry, thereby providing both private control and transparent verification. Device identities are established using quantum-entropy-seeded credentials and safeguarded with lattice-based encryption to withstand quantum adversaries. A convolutional long short-term memory (CNN–LSTM) model continuously monitors device behavior, facilitating real-time trust scoring and autonomous revocation via smart contract triggers. Experimental results demonstrate 97.4% anomaly detection accuracy and a 0.968 F1-score, supporting up to 1000 transactions per second with cross-chain latency below 6 s. These findings indicate that the proposed architecture delivers scalable, quantum-resilient, and computationally efficient data sharing suitable for mission-critical IoT deployments. Full article
(This article belongs to the Special Issue Applications Based on Symmetry in Quantum Computing)
Show Figures

Figure 1

18 pages, 3957 KB  
Article
Real-Time Acoustic Telemetry Buoys as Tools for Nearshore Monitoring and Management
by James M. Anderson, Brian S. Stirling, Patrick T. Rex, Emily A. Spurgeon, Anthony McGinnis, Zachariah S. Merson, Darnell Gadberry and Christopher G. Lowe
J. Mar. Sci. Eng. 2026, 14(2), 128; https://doi.org/10.3390/jmse14020128 - 8 Jan 2026
Viewed by 522
Abstract
Acoustic telemetry monitoring for tagged sharks in nearshore waters has become an important tool for beach safety management; however, detection performance can vary widely in shallow, high-energy nearshore environments where management decisions are often most time-sensitive. Real-time acoustic telemetry buoys offer the potential [...] Read more.
Acoustic telemetry monitoring for tagged sharks in nearshore waters has become an important tool for beach safety management; however, detection performance can vary widely in shallow, high-energy nearshore environments where management decisions are often most time-sensitive. Real-time acoustic telemetry buoys offer the potential to deliver live detections and system diagnostics, but their performance relative to autonomous bottom-mounted receivers remains poorly evaluated under realistic coastal conditions. We compared the detection efficiency of real-time buoy-mounted acoustic receivers and autonomous bottom-mounted receivers across five nearshore sites in southern California. Using paired long-term reference tag deployments and short-term range tests, we quantified detection probability, effective detection range, and the influence of environmental conditions and receiver placement. Detection performance was evaluated in relation to wind speed, water temperature, receiver tilt, and signal-to-noise ratio. Both buoy-mounted and bottom-mounted receivers maintained high long-term detection efficiency, recovering 77–99% of expected transmissions at 82–250 m. Range tests indicated greater effective detection distances for buoy-mounted receivers, with 50% detection probabilities occurring at approximately 471 m compared to 282 m for bottom-mounted receivers. Receiver placement strongly influenced performance, with surface-mounted receivers outperforming bottom-mounted units regardless of receiver model. Environmental effects on detections were site-specific and variable. Detection probability varied predictably with environmental conditions. Higher SNR increased detection success, particularly for bottom/substrate mounted receivers, while warm water significantly reduced detection probability across placement configuration. These results demonstrate that real-time acoustic telemetry buoys provide reliable detection performance in dynamic nearshore environments while offering key operational advantages, including immediate data access and system diagnostics. The observed relationships demonstrate that receiver performance is dynamic rather than fixed, and that real-time buoy systems therefore represent a practical tool for coastal monitoring programs that require timely information to support adaptive management, public safety, and conservation decision making. Full article
(This article belongs to the Section Physical Oceanography)
Show Figures

Figure 1

32 pages, 3734 KB  
Article
A Hierarchical Framework Leveraging IIoT Networks, IoT Hub, and Device Twins for Intelligent Industrial Automation
by Cornelia Ionela Bădoi, Bilge Kartal Çetin, Kamil Çetin, Çağdaş Karataş, Mehmet Erdal Özbek and Savaş Şahin
Appl. Sci. 2026, 16(2), 645; https://doi.org/10.3390/app16020645 - 8 Jan 2026
Viewed by 349
Abstract
Industrial Internet of Things (IIoT) networks, Microsoft Azure Internet of Things (IoT) Hub, and device twins (DvT) are increasingly recognized as core enablers of adaptive, data-driven manufacturing. This paper proposes a hierarchical IIoT framework that integrates industrial IoT networking, DvT for asset-level virtualisation, [...] Read more.
Industrial Internet of Things (IIoT) networks, Microsoft Azure Internet of Things (IoT) Hub, and device twins (DvT) are increasingly recognized as core enablers of adaptive, data-driven manufacturing. This paper proposes a hierarchical IIoT framework that integrates industrial IoT networking, DvT for asset-level virtualisation, system-level digital twins (DT) for cell orchestration, and cloud-native services to support the digital transformation of brownfield, programmable logic controller (PLC)-centric modular automation (MA) environments. Traditional PLC/supervisory control and data acquisition (SCADA) paradigms struggle to meet interoperability, observability, and adaptability requirements at scale, motivating architectures in which DvT and IoT Hub underpin real-time orchestration, virtualisation, and predictive-maintenance workflows. Building on and extending a previously introduced conceptual model, the present work instantiates a multilayered, end-to-end design that combines a federated Message Queuing Telemetry Transport (MQTT) mesh on the on-premises side, a ZigBee-based backup mesh, and a secure bridge to Azure IoT Hub, together with a systematic DvT modelling and orchestration strategy. The methodology is supported by a structured analysis of relevant IIoT and DvT design choices and by a concrete implementation in a nine-cell MA laboratory featuring a robotic arm predictive-maintenance scenario. The resulting framework sustains closed-loop monitoring, anomaly detection, and control under realistic workloads, while providing explicit envelopes for telemetry volume, buffering depth, and latency budgets in edge-cloud integration. Overall, the proposed architecture offers a transferable blueprint for evolving PLC-centric automation toward more adaptive, secure, and scalable IIoT systems and establishes a foundation for future extensions toward full DvT ecosystems, tighter artificial intelligence/machine learning (AI/ML) integration, and fifth/sixth generation (5G/6G) and time-sensitive networking (TSN) support in industrial networks. Full article
(This article belongs to the Special Issue Novel Technologies of Smart Manufacturing)
Show Figures

Figure 1

8 pages, 186 KB  
Perspective
Behavioural Diversity: Conditional Movement Tactics in the Ruff (Calidris pugnax)
by Michel Baguette
Diversity 2026, 18(1), 32; https://doi.org/10.3390/d18010032 - 8 Jan 2026
Viewed by 170
Abstract
Understanding the movement behaviour of male ruffs (Calidris pugnax) during the breeding season requires integrating recent telemetry data with long-standing theory on conditional reproductive strategies, lek dynamics, and behavioural polymorphism. A large-scale tracking study revealed extensive within-season movements among many males, [...] Read more.
Understanding the movement behaviour of male ruffs (Calidris pugnax) during the breeding season requires integrating recent telemetry data with long-standing theory on conditional reproductive strategies, lek dynamics, and behavioural polymorphism. A large-scale tracking study revealed extensive within-season movements among many males, with individuals visiting 1 to 23 sites, but also documented prolonged residency, with site tenures exceeding 40 days. Such variation is not contradictory but expected in a species whose reproductive system combines genetically fixed alternative strategies, governed by a supergene, with flexible conditional tactics expressed in response to ecological and social cues. Here, I synthesize movement ecology, state-dependent decision models, lekking theory, and previous empirical work to show that spatial behaviour in ruffs reflects a continuum of tactics rather than a homogeneous nomadic mode. Telemetry data thereby enrich our understanding of how individuals navigate fluctuating environments, competitive pressures, and mating opportunities. Embracing behavioural heterogeneity is essential for interpreting movement patterns and for understanding how reproductive diversity evolves and is maintained in lekking systems. Full article
(This article belongs to the Special Issue 2026 Feature Papers by Diversity's Editorial Board Members)
Back to TopTop