Sign in to use this feature.

Years

Between: -

Subjects

remove_circle_outline
remove_circle_outline
remove_circle_outline
remove_circle_outline
remove_circle_outline
remove_circle_outline
remove_circle_outline

Journals

Article Types

Countries / Regions

Search Results (45)

Search Parameters:
Keywords = tele-dermatology

Order results
Result details
Results per page
Select all
Export citation of selected articles as:
14 pages, 487 KB  
Article
The Role of AI-Generated Clinical Image Descriptions in Enhancing Teledermatology Diagnosis: A Cross-Sectional Exploratory Study
by Jonathan Shapiro, Binyamin Greenfield, Itay Cohen, Roni P. Dodiuk-Gad, Yuliya Valdman-Grinshpoun, Tamar Freud, Anna Lyakhovitsky, Ziad Khamaysi and Emily Avitan-Hersh
Diagnostics 2026, 16(3), 384; https://doi.org/10.3390/diagnostics16030384 - 25 Jan 2026
Abstract
Background/Objectives: AI models such as ChatGPT-4 have shown strong performance in dermatology; however, the diagnostic value of AI-generated clinical image descriptions remains underexplored. This study assesses whether ChatGPT-4’s image descriptions can support accurate dermatologic diagnosis and evaluates their potential integration into the Electronic [...] Read more.
Background/Objectives: AI models such as ChatGPT-4 have shown strong performance in dermatology; however, the diagnostic value of AI-generated clinical image descriptions remains underexplored. This study assesses whether ChatGPT-4’s image descriptions can support accurate dermatologic diagnosis and evaluates their potential integration into the Electronic Medical Record (EMR) system. Materials & Methods: In this Exploratory cross-sectional study, we analyzed images and descriptions from teledermatology consultations conducted between December 2023 and February 2024. ChatGPT-4 generated clinical descriptions for each image, which two senior dermatologists then used to formulate differential diagnoses. Diagnoses based on ChatGPT-4’s output were compared to those derived from the original clinical notes written by teledermatologists. Concordance was categorized as Top1 (exact match), Top3 (correct within top three), Partial, or No match. Results: The study included 154 image descriptions from 67 male and 87 female patients, aged 0 to 93 years. ChatGPT-4 descriptions averaged 74.3 ± 33.1 words, compared to 7.9 ± 3.0 words for teledermatologists. At least one of the two dermatologists achieved a Top 3 concordance rate of 82.5% using ChatGPT-4’s descriptions and 85.3% with teledermatologist descriptions. Conclusions: Preliminary findings highlight the potential integration of ChatGPT-4-generated descriptions into EMRs to enhance documentation. Although AI descriptions were longer, they did not enhance diagnostic accuracy, and expert validation remained essential. Full article
Show Figures

Figure 1

14 pages, 672 KB  
Article
Impact of a Teledermatology-Based Referral Model on Melanoma Diagnostic Pathways and Clinicopathologic Features: A Retrospective Comparative Study Between Face-to-Face Consultation (2019) and Teledermatology (2022) in a Tertiary Hospital
by Marta Cebolla-Verdugo, Husein Husein El-Ahmed, Francisco Manuel Ramos-Pleguezuelos and Ricardo Ruiz-Villaverde
J. Clin. Med. 2026, 15(1), 267; https://doi.org/10.3390/jcm15010267 - 29 Dec 2025
Viewed by 198
Abstract
Background/Objectives: Teledermatology has transformed access to dermatologic care, yet its association with melanoma prognostic parameters and diagnostic pathways in tertiary settings remains incompletely characterized. To compare the clinicopathologic profile of melanomas diagnosed under face-to-face consultation (2019) versus teledermatology-based referral (teleconsultation) (2022). Methods: A [...] Read more.
Background/Objectives: Teledermatology has transformed access to dermatologic care, yet its association with melanoma prognostic parameters and diagnostic pathways in tertiary settings remains incompletely characterized. To compare the clinicopathologic profile of melanomas diagnosed under face-to-face consultation (2019) versus teledermatology-based referral (teleconsultation) (2022). Methods: A retrospective observational study comparing two patient cohorts: those diagnosed with melanoma via in-person consultation in 2019, and those diagnosed through teleconsultation in 2022. These years were selected to reflect the structural shift in care delivery models before and after the COVID-19 pandemic, during which teledermatology was formally implemented. Sociodemographic, clinical, and histopathological variables were collected. A multivariable logistic regression model assessed variables associated with being diagnosed in the 2022 teledermatology cohort versus the 2019 face-to-face cohort. Statistical analyses were performed using R (v. 4.4.3). Results: A total of 151 patients were included (89 in-person in 2019, 62 via teleconsultation in 2022). Multivariable analysis identified three variables independently associated with being diagnosed via teleconsultation. Increasing Breslow thickness was inversely associated with teleconsultation diagnosis (OR 0.60 per 1 mm increase; 95% CI 0.40–0.91; p= 0.017). Similarly, the presence of histologic regression (OR 0.28; 95% CI 0.09–0.90; p = 0.032) and immunosuppression (OR 0.08; 95% CI 0.008–0.86; p = 0.037) were inversely associated with teleconsultation diagnosis. No significant associations were found for sex, age, tumor location, ulceration, mitosis, or clinical stage. Conclusions: In this retrospective single-center comparison of two care models, melanomas diagnosed through teleconsultation in 2022 were associated with a more favorable clinicopathologic profile at diagnosis than those diagnosed via face-to-face consultation in 2019. These findings support the role of teledermatology-based referral pathways in facilitating timely melanoma assessment, although causal inference is limited by the observational design. Full article
Show Figures

Figure 1

22 pages, 4830 KB  
Review
Artificial Intelligence and New Technologies in Melanoma Diagnosis: A Narrative Review
by Sebastian Górecki, Aleksandra Tatka and James Brusey
Cancers 2025, 17(24), 3896; https://doi.org/10.3390/cancers17243896 - 5 Dec 2025
Viewed by 1272
Abstract
Melanoma is among the most lethal forms of skin cancer, where early and accurate diagnosis significantly improves patient survival. Traditional diagnostic pathways, including clinical inspection and dermoscopy, are constrained by interobserver variability and limited access to expertise. Between 2020 and 2025, advances in [...] Read more.
Melanoma is among the most lethal forms of skin cancer, where early and accurate diagnosis significantly improves patient survival. Traditional diagnostic pathways, including clinical inspection and dermoscopy, are constrained by interobserver variability and limited access to expertise. Between 2020 and 2025, advances in artificial intelligence (AI) and medical imaging technologies have substantially redefined melanoma diagnostics. This narrative review synthesizes key developments in AI-based approaches, emphasizing the progression from convolutional neural networks to vision transformers and multimodal architectures that incorporate both clinical and imaging data. We examine the integration of AI with non-invasive imaging techniques such as reflectance confocal microscopy, high-frequency ultrasound, optical coherence tomography, and three-dimensional total body photography. The role of AI in teledermatology and mobile applications is also addressed, with a focus on expanding diagnostic accessibility. Persistent challenges include data bias, limited generalizability across diverse skin types, and a lack of prospective clinical validation. Recent regulatory frameworks, including the European Union Artificial Intelligence Act and the United States Food and Drug Administration’s guidance on adaptive systems, are discussed in the context of clinical deployment. The review concludes with perspectives on explainable AI, federated learning, and strategies for equitable implementation in dermatological oncology. Full article
Show Figures

Figure 1

17 pages, 760 KB  
Systematic Review
Teledermatology and Teledermoscopy for Melanoma Care Pathways: Timeliness, Diagnostic Performance, and Stage at Diagnosis: A Systematic Review
by Alexandra Laura Mederle, Roxana Manuela Fericean, Roxana Grigore, Mihail-Alexandru Badea, Monica Angela Bara and Adrian Cosmin Ilie
Diagnostics 2025, 15(23), 3003; https://doi.org/10.3390/diagnostics15233003 - 26 Nov 2025
Viewed by 734
Abstract
Background/Objectives: Early melanoma management depends on rapid triage and definitive treatment. Image-enabled teledermatology, particularly teledermoscopy, may accelerate pathways without compromising safety. This review evaluated effects on timeliness, diagnostic performance, and initial prognostic severity at diagnosis. Methods: Following a preregistered PRISMA-2020 protocol, [...] Read more.
Background/Objectives: Early melanoma management depends on rapid triage and definitive treatment. Image-enabled teledermatology, particularly teledermoscopy, may accelerate pathways without compromising safety. This review evaluated effects on timeliness, diagnostic performance, and initial prognostic severity at diagnosis. Methods: Following a preregistered PRISMA-2020 protocol, PubMed/MEDLINE, Embase, and Scopus were searched from inception to 1 September 2025. Comparative clinical studies and service evaluations reporting melanoma-specific outcomes were eligible. Dual screening, duplicate data extraction, and risk-of-bias appraisal were performed; substantial clinical and methodological heterogeneity precluded quantitative meta-analysis, so findings were synthesized narratively. Results: Twelve studies met criteria. Front-end intervals consistently shortened: time to expert advice was ≈1 day and median time to first clinic was reduced by ~10 days versus conventional referral. Downstream milestones showed mixed translation, with time to excision and histology in several programs remaining ≈45–67 days, indicating capacity constraints beyond triage. Diagnostic safety was high where quantified: melanoma triage sensitivity approached ~99% with a false-negative rate near ~1.1%, and positive predictive value for suspected-melanoma referrals was ~45–50% in mature services. Selected observational comparisons suggested a ≈0.6 mm lower mean Breslow thickness and ~13-percentage-point higher in situ/T1 proportion in one TD network, although these findings are susceptible to selection and lead-time bias and are not consistent across all settings. Overall, teledermoscopy functioned as a “front-door accelerator,” with pathway gains being largest before surgical and pathology steps. Conclusions: Teledermatology/teledermoscopy reliably compresses referral-to-decision intervals and maintains high triage safety, with indications of stage migration toward thinner tumors at diagnosis. Integrating surgical and pathology capacity is essential to convert early advice into earlier definitive treatment. Full article
(This article belongs to the Section Clinical Diagnosis and Prognosis)
Show Figures

Figure 1

13 pages, 2719 KB  
Article
Validation of the Dermatologic Complexity Score for Dermatologic Triage
by Neil K. Jairath, Joshua Mijares, Kanika Garg, Katie Beier, Vartan Pahalyants, Andjela Nemcevic, Melissa Laughter, Jessica Quinn, Swetha Maddipuddi, George Jeha, Sultan Qiblawi and Vignesh Ramachandran
Diagnostics 2025, 15(21), 2765; https://doi.org/10.3390/diagnostics15212765 - 31 Oct 2025
Viewed by 665
Abstract
Background/Objectives: Demand for dermatologic services exceeds specialist capacity, with average wait times of 26–50 days in the United States. Current triage methods rely on subjective judgment or disease-specific indices that do not generalize across diagnoses or translate to operational decisions. We developed and [...] Read more.
Background/Objectives: Demand for dermatologic services exceeds specialist capacity, with average wait times of 26–50 days in the United States. Current triage methods rely on subjective judgment or disease-specific indices that do not generalize across diagnoses or translate to operational decisions. We developed and validated the Dermatologic Complexity Score (DCS), a standardized instrument to guide case prioritization across dermatology care settings and evaluate DCS as a workload-reduction filter, enabling safe delegation of approximately half of routine teledermatology cases (DCS ≤ 40) away from specialist review. Methods: We conducted a prospective validation study of the DCS using 100 consecutive teledermatology cases spanning 30 common conditions. The DCS decomposes complexity into five domains (Diagnostic, Treatment, Risk, Patient Complexity, Monitoring) summed to a 0–100 total with prespecified bands: ≤40 (low) (41–70), (moderate) (71–89), (high), ≥90 (extreme). Five board-certified dermatologists and an automated module independently scored all cases. Two primary care physicians completed all ≤40 cases to assess feasibility. Primary outcomes were interrater reliability using ICC (2,1) and agreement with automation. Secondary outcomes included time-to-decision, referral rates, and primary care feasibility. Results: Mean patient age was 46.2 years; 47% of cases scored ≤40, 33% scored 41–70, 18% scored 71–89, and 2% scored ≥90. Interrater reliability was excellent (ICC (1,2)) = 0.979; 95% CI 0.974–0.983), with near-perfect agreement between automated and mean dermatologist scores (r = 0.998). Time-to-decision increased monotonically across DCS bands from 2.11 min (≤40) to 5 (90) min (≥90) (p = 1.36 × 10−14). Referral rates were 0% for ≤40, 3% for 41–70, 27.8% for 71–89, and 100% for ≥90 cases. DCS strongly predicted referral decisions (AUC = 0.919). Primary care physicians successfully managed all ≤40 cases but required 6–8 additional minutes per case compared to dermatologists. Conclusions: The DCS demonstrates excellent reliability and strong construct validity, mapping systematically to clinically relevant outcomes, including decision time and referral patterns. The instrument enables standardized, reproducible triage decisions that can optimize resource allocation across teledermatology, clinic, procedural, and inpatient settings. Implementation could improve access to dermatologic care by supporting appropriate delegation of low-complexity cases to primary care while ensuring timely specialist evaluation for high-complexity conditions. Full article
Show Figures

Figure 1

27 pages, 864 KB  
Systematic Review
Teledermatology vs. Face-to-Face Dermatology for the Diagnosis of Melanoma: A Systematic Review
by María López-Pardo Rico, Manuel Ginarte Val, María Dolores Sánchez-Aguilar Rojas, Lorena Martínez Leboráns, Carmen Rodríguez Otero and Ángeles Flórez
Cancers 2025, 17(17), 2836; https://doi.org/10.3390/cancers17172836 - 29 Aug 2025
Cited by 1 | Viewed by 4999
Abstract
Background: Cutaneous melanoma is the leading cause of skin cancer-related mortality, and early detection is crucial to improving prognosis. Teledermatology (TD) has increasingly been adopted in melanoma care to address growing demand and limited access to specialists. This systematic review aimed to evaluate [...] Read more.
Background: Cutaneous melanoma is the leading cause of skin cancer-related mortality, and early detection is crucial to improving prognosis. Teledermatology (TD) has increasingly been adopted in melanoma care to address growing demand and limited access to specialists. This systematic review aimed to evaluate the role of TD in the diagnosis and management of suspected melanoma under real-world clinical conditions. Methods: The review was conducted and reported in accordance with the PRISMA 2020 guidelines. Literature searches were performed in PubMed, Embase, Web of Science, and Scopus up to December 2024. Studies assessing TD use in routine practice were included, focusing on diagnostic accuracy, prognostic indicators, waiting times, satisfaction, and economic outcomes. Results: TD showed high sensitivity and specificity, particularly when dermoscopic images and expert interpretation were available. Some studies reported reduced Breslow thickness and shorter delays compared to face-to-face care. Overall satisfaction was high among both patients and clinicians. Economic evaluations suggested potential cost savings, although formal analyses were limited. The use of artificial intelligence tools yielded mixed results and was generally perceived with caution in the absence of clinical supervision. Conclusions: Teledermatology appears to be a useful approach for improving access and supporting early diagnosis in melanoma care. Its effectiveness depends on proper implementation and integration into clinical workflows. Full article
(This article belongs to the Special Issue Prognosis and Treatment of Cutaneous Melanoma (2nd Edition))
Show Figures

Figure 1

19 pages, 8091 KB  
Article
Leveraging Synthetic Degradation for Effective Training of Super-Resolution Models in Dermatological Images
by Francesco Branciforti, Kristen M. Meiburger, Elisa Zavattaro, Paola Savoia and Massimo Salvi
Electronics 2025, 14(15), 3138; https://doi.org/10.3390/electronics14153138 - 6 Aug 2025
Viewed by 1069
Abstract
Teledermatology relies on digital transfer of dermatological images, but compression and resolution differences compromise diagnostic quality. Image enhancement techniques are crucial to compensate for these differences and improve quality for both clinical assessment and AI-based analysis. We developed a customized image degradation pipeline [...] Read more.
Teledermatology relies on digital transfer of dermatological images, but compression and resolution differences compromise diagnostic quality. Image enhancement techniques are crucial to compensate for these differences and improve quality for both clinical assessment and AI-based analysis. We developed a customized image degradation pipeline simulating common artifacts in dermatological images, including blur, noise, downsampling, and compression. This synthetic degradation approach enabled effective training of DermaSR-GAN, a super-resolution generative adversarial network tailored for dermoscopic images. The model was trained on 30,000 high-quality ISIC images and evaluated on three independent datasets (ISIC Test, Novara Dermoscopic, PH2) using structural similarity and no-reference quality metrics. DermaSR-GAN achieved statistically significant improvements in quality scores across all datasets, with up to 23% enhancement in perceptual quality metrics (MANIQA). The model preserved diagnostic details while doubling resolution and surpassed existing approaches, including traditional interpolation methods and state-of-the-art deep learning techniques. Integration with downstream classification systems demonstrated up to 14.6% improvement in class-specific accuracy for keratosis-like lesions compared to original images. Synthetic degradation represents a promising approach for training effective super-resolution models in medical imaging, with significant potential for enhancing teledermatology applications and computer-aided diagnosis systems. Full article
(This article belongs to the Section Computer Science & Engineering)
Show Figures

Figure 1

17 pages, 602 KB  
Systematic Review
From Rash Decisions to Critical Conditions: A Systematic Review of Dermatological Presentations in Emergency Departments
by Abdullah S. Algarni, Safinaz M. Alshiakh, Sara M. Alghamdi, Mohammed A. Alahmadi, Abdulah W. Bokhari, Samar N. Aljubayri, Waad M. Almutairy, Najwa M. Alfahmi and Ramy Samargandi
Diagnostics 2025, 15(5), 614; https://doi.org/10.3390/diagnostics15050614 - 4 Mar 2025
Cited by 3 | Viewed by 2675
Abstract
Background: Dermatological emergencies are critical conditions requiring immediate attention due to their potential to escalate into life-threatening scenarios. Accurate diagnosis and timely management are essential to prevent severe complications, including systemic involvement and mortality. This systematic review summarizes findings on dermatological emergencies in [...] Read more.
Background: Dermatological emergencies are critical conditions requiring immediate attention due to their potential to escalate into life-threatening scenarios. Accurate diagnosis and timely management are essential to prevent severe complications, including systemic involvement and mortality. This systematic review summarizes findings on dermatological emergencies in emergency departments (EDs), focusing on diagnostic accuracy, hospitalization rates, systemic complications, and management strategies. Methods: A systematic literature review of studies on dermatological emergencies was conducted, encompassing 24 prospective and retrospective cohort studies, cross-sectional studies, and descriptive analyses. The review included diverse patient populations, examining dermatological presentations, diagnostic methods, treatment strategies, hospitalization rates, and adverse outcomes. Key outcome measures such as diagnostic accuracy, complications, mortality rates, and re-visit frequencies were analyzed. Results: The studies revealed high diagnostic accuracy, particularly in in-person evaluations, with teledermatology showing slightly lower but reliable rates. Systemic complications, including severe drug reactions, bacterial infections, and autoimmune diseases, were common causes of hospitalization. Mortality rates varied, with conditions such as toxic epidermal necrolysis showing the highest risk. Hospitalization rates averaged 4.52%, and re-visit rates ranged from 1% to 6.5%. The results also highlighted the impact of environmental factors and seasonal trends on dermatological presentations. Conclusions: Dermatological emergencies pose significant challenges in emergency care. High diagnostic accuracy and effective management strategies are crucial in preventing severe outcomes. Timely diagnosis, careful management of systemic complications, and teledermatology play critical roles in improving care. Future research should focus on standardized management protocols, telemedicine applications, and the influence of environmental and demographic factors to enhance patient outcomes. Full article
(This article belongs to the Section Clinical Diagnosis and Prognosis)
Show Figures

Figure 1

17 pages, 393 KB  
Article
Towards ‘Formalising’ WhatsApp Teledermatology Practice in KZ-N District Hospitals: Key Informant Interviews
by Christopher Morris, Richard E. Scott and Maurice Mars
Int. J. Environ. Res. Public Health 2024, 21(10), 1388; https://doi.org/10.3390/ijerph21101388 - 21 Oct 2024
Cited by 2 | Viewed by 2401
Abstract
Introduction: District hospitals in KwaZulu-Natal Province, South Africa, do not have onsite specialist dermatology services. Doctors at these hospitals use WhatsApp instant messaging to informally seek advice from dermatologists and colleagues before possible referral. They have expressed the need to formalise WhatsApp teledermatology. [...] Read more.
Introduction: District hospitals in KwaZulu-Natal Province, South Africa, do not have onsite specialist dermatology services. Doctors at these hospitals use WhatsApp instant messaging to informally seek advice from dermatologists and colleagues before possible referral. They have expressed the need to formalise WhatsApp teledermatology. Aim: To determine the views and perspectives of clinicians on the feasibility and practicality of formalising the current WhatsApp-based teledermatology activities within the KwaZulu-Natal Department of Health Dermatology Service. Methods: Key informant interviews with 12 purposively selected doctors at district hospitals and all 14 dermatologists in the KwaZulu-Natal dermatology service. Their views and perspectives on formalising the current informal use of WhatsApp for teledermatology were recorded, transcribed, and thematically analysed. Results: Five primary themes (communication, usability, utility, process, and poor understanding of legal, regulatory, and ethical issues) and 22 sub-themes were identified. Clinicians wanted WhatsApp teledermatology to continue, be formalised, and be incorporated within the KwaZulu-Natal Department of Health, facilitated by the provision of practical guidelines addressing legal, regulatory, and ethical issues. Conclusions: These findings will be used to develop a policy brief, providing recommendations and proposed guidelines for formalising the teledermatology service. The findings and methods will be relevant to similar circumstances in other countries. Full article
(This article belongs to the Section Global Health)
18 pages, 1036 KB  
Review
Assessing the Impact of ChatGPT in Dermatology: A Comprehensive Rapid Review
by Polat Goktas and Andrzej Grzybowski
J. Clin. Med. 2024, 13(19), 5909; https://doi.org/10.3390/jcm13195909 - 3 Oct 2024
Cited by 25 | Viewed by 7181
Abstract
Background/Objectives: The use of artificial intelligence (AI) in dermatology is expanding rapidly, with ChatGPT, a large language model (LLM) from OpenAI, showing promise in patient education, clinical decision-making, and teledermatology. Despite its potential, the ethical, clinical, and practical implications of its application [...] Read more.
Background/Objectives: The use of artificial intelligence (AI) in dermatology is expanding rapidly, with ChatGPT, a large language model (LLM) from OpenAI, showing promise in patient education, clinical decision-making, and teledermatology. Despite its potential, the ethical, clinical, and practical implications of its application remain insufficiently explored. This study aims to evaluate the effectiveness, challenges, and future prospects of ChatGPT in dermatology, focusing on clinical applications, patient interactions, and medical writing. ChatGPT was selected due to its broad adoption, extensive validation, and strong performance in dermatology-related tasks. Methods: A thorough literature review was conducted, focusing on publications related to ChatGPT and dermatology. The search included articles in English from November 2022 to August 2024, as this period captures the most recent developments following the launch of ChatGPT in November 2022, ensuring that the review includes the latest advancements and discussions on its role in dermatology. Studies were chosen based on their relevance to clinical applications, patient interactions, and ethical issues. Descriptive metrics, such as average accuracy scores and reliability percentages, were used to summarize study characteristics, and key findings were analyzed. Results: ChatGPT has shown significant potential in passing dermatology specialty exams and providing reliable responses to patient queries, especially for common dermatological conditions. However, it faces limitations in diagnosing complex cases like cutaneous neoplasms, and concerns about the accuracy and completeness of its information persist. Ethical issues, including data privacy, algorithmic bias, and the need for transparent guidelines, were identified as critical challenges. Conclusions: While ChatGPT has the potential to significantly enhance dermatological practice, particularly in patient education and teledermatology, its integration must be cautious, addressing ethical concerns and complementing, rather than replacing, dermatologist expertise. Future research should refine ChatGPT’s diagnostic capabilities, mitigate biases, and develop comprehensive clinical guidelines. Full article
(This article belongs to the Section Dermatology)
Show Figures

Figure 1

10 pages, 708 KB  
Article
Revolutionizing Skin Cancer Triage: The Role of Patient-Initiated Teledermoscopy in Remote Diagnosis
by Emilie A. Foltz, Joanna Ludzik, Sancy Leachman, Elizabeth Stoos, Teri Greiling, Noelle Teske, Lara Clayton, Alyssa L. Becker and Alexander Witkowski
Cancers 2024, 16(14), 2565; https://doi.org/10.3390/cancers16142565 - 17 Jul 2024
Cited by 5 | Viewed by 2847
Abstract
Introduction: Teledermatology, defined as the use of remote imaging technologies to provide dermatologic healthcare services to individuals in a distant setting, has grown considerably in popularity since its widespread implementation during the COVID-19 pandemic. Teledermoscopy employs a smartphone dermatoscope attachment paired with a [...] Read more.
Introduction: Teledermatology, defined as the use of remote imaging technologies to provide dermatologic healthcare services to individuals in a distant setting, has grown considerably in popularity since its widespread implementation during the COVID-19 pandemic. Teledermoscopy employs a smartphone dermatoscope attachment paired with a smartphone camera to visualize colors and microstructures within the epidermis and superficial dermis that cannot be seen with the naked eye ABCD criteria alone. Methods: Our retrospective observational cohort and case–control study evaluated the utility of loaning a smartphone dermatoscope attachment to patients for remote triage of self-selected lesions of concern for skin cancer. The primary outcome was the number (percentage) of in-person follow-up visits required for patients who submitted lesion images, either with or without accompanying dermoscopic images. A medical record review was conducted on all Oregon Health & Science University Department of Dermatology spot check image submissions utilizing the smartphone dermatoscopes between August 2020 and August 2022. De-identified dermoscopic images of lesions that included corresponding non-dermoscopic clinical images in their submission (n = 70) were independently reviewed by a blinded expert dermoscopist. The expert used standard clinical algorithms (ABCD criteria for clinical images; dermoscopy three-point checklist for dermoscopic images) to determine whether the imaged lesion should be converted to an in-person visit for further evaluation and consideration for biopsy. Results: Of the 70 lesions submitted with corresponding clinical and dermoscopy images, 60 met the criteria for in-person evaluation from clinical (non-dermoscopic) image review compared to 28 meeting the criteria for in-person evaluation from dermoscopic images of the same lesion. Thus, a 53% reduction in conversion to an in-person consultation with the addition of smartphone dermatoscope images in virtual lesion triage was observed (p < 0.001, McNemar’s Test). Conclusion: Implementing patient-led teledermoscopy may reduce the frequency of in-person visits for benign lesions and consequently improve access to in-person dermatology consultations for patients with concerning and possibly malignant lesions. Full article
(This article belongs to the Section Cancer Causes, Screening and Diagnosis)
Show Figures

Figure 1

9 pages, 1722 KB  
Article
A New Method for the Follow-Up of Patients with Alopecia Areata
by Giulio Bortone, Gemma Caro, Lorenzo Ala, Luca Gargano and Alfredo Rossi
J. Clin. Med. 2024, 13(13), 3901; https://doi.org/10.3390/jcm13133901 - 3 Jul 2024
Cited by 2 | Viewed by 2482
Abstract
Background: Teledermatology is the application of information and telecommunication technologies in the field of dermatology to provide remote care services based on the exchange of clinical information within a network of professionals or between professionals and patients. Tele-trichoscopy is a non-invasive, inexpensive, and [...] Read more.
Background: Teledermatology is the application of information and telecommunication technologies in the field of dermatology to provide remote care services based on the exchange of clinical information within a network of professionals or between professionals and patients. Tele-trichoscopy is a non-invasive, inexpensive, and easy-to-use method that applies the principle of surface microscopy at different magnifications. Alopecia areata is a non-scarring alopecia with a chronic evolution, which often needs a close follow-up. Objectives: The aim of our work was to analyze the possible benefits of telemedicine for the follow-up of patients with alopecia areata. Materials and Methods: We enrolled patients with alopecia areata, identified during the first trichological evaluation, and we divided the patients into two groups. One group was provided with the devices necessary for a telemedicine follow-up. The other group had a conventional follow-up. The total follow-up time was one year. All of the patients’ photos were blindly evaluated by a team of expert dermatologists who were asked to indicate the quality of the images. The photos were also evaluated to identify disease markers. During the follow-up period, questionnaires were administered to both groups of patients to assess the quality of the visit, the level of patient satisfaction, and to identify any issues encountered by the patients. Results: There was a high degree of concordance between the images obtained by outpatient trichoscopy and those obtained by telemedicine. The satisfaction levels were the same between the patients followed via telemedicine and those seen in the outpatient clinic. Conclusions: Telemedicine applied to trichology using trichoscopy was proven to be a valid system for managing the follow-up of patients suffering from chronic recurrent scalp diseases and, above all, for maintaining continuity of care. Full article
(This article belongs to the Special Issue Alopecia Areata: From Diagnosis to Treatment)
Show Figures

Graphical abstract

22 pages, 1203 KB  
Article
Pattern Analysis of Benign and Malignant Atypical Melanocytic Skin Lesions of Palms and Soles: Variations of Dermoscopic Features According to Anatomic Site and Personal Experience
by Linda Tognetti, Alessandra Cartocci, Elvira Moscarella, Aimilios Lallas, Emi Dika, Maria Concetta Fargnoli, Caterina Longo, Gianluca Nazzaro, John Paoli, Ignazio Stanganelli, Serena Magi, Francesco Lacarrubba, Paolo Broganelli, Jean-Luc Perrot, Mariano Suppa, Harald Kittler, Roberta Giuffrida, Elisa Cinotti, Lo Conte Sofia, Gennaro Cataldo, Gabriele Cevenini and Pietro Rubegniadd Show full author list remove Hide full author list
Life 2024, 14(6), 659; https://doi.org/10.3390/life14060659 - 22 May 2024
Cited by 6 | Viewed by 6351 | Correction
Abstract
Background: The differential diagnosis of atypical melanocytic skin lesions localized on palms and soles represents a diagnostic challenge: indeed, this spectrum encompasses atypical nevi (AN) and early-stage melanomas (EN) displaying overlapping clinical and dermoscopic features. This often generates unnecessary excisions or delayed diagnosis. [...] Read more.
Background: The differential diagnosis of atypical melanocytic skin lesions localized on palms and soles represents a diagnostic challenge: indeed, this spectrum encompasses atypical nevi (AN) and early-stage melanomas (EN) displaying overlapping clinical and dermoscopic features. This often generates unnecessary excisions or delayed diagnosis. Investigations to date were mostly carried out in specific populations, focusing either on acrolentiginous melanomas or morphologically typical acquired nevi. Aims: To investigate the dermoscopic features of atypical melanocytic palmoplantar skin lesions (aMPPLs) as evaluated by variously skilled dermatologists and assess their concordance; to investigate the variations in dermoscopic appearance according to precise location on palms and soles; to detect the features with the strongest association with malignancy/benignity in each specific site. Methods: A dataset of 471 aMPPLs—excised in the suspect of malignancy—was collected from 10 European Centers, including a standardized dermoscopic picture (17×) and lesion/patient metadata. An anatomical classification into 17 subareas was considered, along with an anatomo-functional classification considering pressure/friction, (4 macroareas). A total of 156 participants (95 with less than 5 years of experience in dermoscopy and 61 with ≥than 5 years) from 17 countries performed a blinded tele-dermoscopic pattern analysis over 20 cases through a specifically realized web platform. Results: A total of 37,440 dermoscopic evaluations were obtained over 94 (20%) EM and 377 (80%) AN. The areas with the highest density of EM compared to AN were the heel (40.3% EM/aMPPLs) of the sole and the “fingers area” (33%EM/aMPPLs) of the palm, both characterized by intense/chronic traumatism/friction. Globally, the recognition rates of 12 dermoscopic patterns were non statistically different between 95 dermatology residents and 61 specialists: aMPPLs in the plantar arch appeared to be the most “difficult” to diagnose, the parallel ridge pattern was poorly recognized and irregular/regular fibrillar patterns often misinterpreted. Regarding the aMPPL of the “heel area”, the parallel furrow pattern (p = 0.014) and lattice-like pattern (p = 0.001) significantly discriminated benign cases, while asymmetry of colors (p = 0.002) and regression structures (p = 0.025) malignant ones. In aMPPLs of the “plantar arch”, the lattice-like pattern (p = 0.012) was significant for benignity and asymmetry of structures, asymmetry of colors, regression structures, or blue-white veil for malignancy. In palmar lesions, no data were significant in the discrimination between malignant and benign aMPPLs. Conclusions: This study highlights that (i) the pattern analysis of aMPPLs is challenging for both experienced and novice dermoscopists; (ii) the histological distribution varies according to the anatomo-functional classification; and (iii) different dermoscopic patterns are able to discriminate malignant from benign aMPPLs within specific plantar and palmar areas. Full article
(This article belongs to the Special Issue Skin Cancer: From Molecular Basis to Therapy)
Show Figures

Figure 1

9 pages, 471 KB  
Article
What Have We Learned about the Prevention of NMSC from Albino Patients from Malawi? Secondary Prevention Maintained over Time
by Alejandra Tomás-Velázquez, Ester Moreno-Artero, Javier Romero, Pilar Escalonilla, Isabel Medina, Gisela Hebe Petiti and Pedro Redondo
Cancers 2024, 16(8), 1522; https://doi.org/10.3390/cancers16081522 - 16 Apr 2024
Viewed by 2673
Abstract
Background: We have conducted cooperative campaigns focusing on albino patients in a rural area of Malawi. What have we learned? Methods: Three surgical campaigns were performed in Nkhotakota district (2019–2023). Albino clinical and tumor characteristics were collected. Results: Between 22 and 75 albinos [...] Read more.
Background: We have conducted cooperative campaigns focusing on albino patients in a rural area of Malawi. What have we learned? Methods: Three surgical campaigns were performed in Nkhotakota district (2019–2023). Albino clinical and tumor characteristics were collected. Results: Between 22 and 75 albinos were evaluated in each campaign (mean age < 28 years old). Most patients did not use sunscreen in a way that provided optimal photoprotection. Regarding tumors, the proportion of basal and squamous cell carcinomas ranged from 1:1 to almost 2:1. Of 156 albino patients, 34 attended more than once. However, of the 19 patients with 30 tumors operated on in 2021, only seven were assessed the following year (12 were lost to follow-up). At least 14 albinos with locally advanced tumors were evaluated. Conclusions: Distributing photoprotective clothing could be more efficient or perhaps an earlier measure of sunscreen in rural Africa as it does not require permanent repositioning. Very-high-risk patients (previous interventions with positive margins or high-risk tumors, intense actinic damage, and new tumors constantly appearing, especially those presenting SCCs) require close follow-up and treatment and represent our main target. Secondary prevention with Malawian collaboration and the use of teledermatology is essential for patient tracking, as they are able to offer curative treatments. Full article
(This article belongs to the Section Cancer Epidemiology and Prevention)
Show Figures

Figure 1

14 pages, 1086 KB  
Article
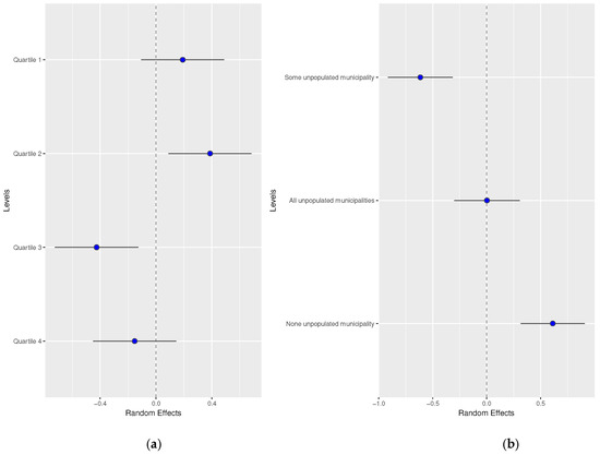
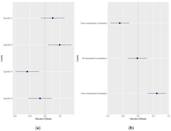
Virtual Consultation in Dermatology: Access Inequalities According to Socioeconomic Characteristics and the Place of Residence
by Almudena Marco-Ibáñez, Carlos Aibar-Remón, Adriana Gamba-Cabezas, Lina Maldonado and Isabel Aguilar-Palacio
Healthcare 2024, 12(6), 659; https://doi.org/10.3390/healthcare12060659 - 14 Mar 2024
Viewed by 1711
Abstract
Virtual consultation has been implemented as a tool to improve the cooperation and coordination between primary care and other specialties. However, in its use in dermatology, inequities have been described. The aim of this study was to identify individual and geographical factors affecting [...] Read more.
Virtual consultation has been implemented as a tool to improve the cooperation and coordination between primary care and other specialties. However, in its use in dermatology, inequities have been described. The aim of this study was to identify individual and geographical factors affecting the likelihood of accessing this resource. We conducted a cross-sectional study. The study population was individuals living in Aragón, a region in the north-east of Spain, who were users of the Aragon Health Service in 2021. To explore the differences in individual and area characteristics, between patients with virtual and non-virtual dermatology consultation, we performed bivariate analyses. To analyse the use of virtual consultation in dermatology, a multilevel methodology stratified by sex was developed. We analysed 39,174 dermatology visits, with 16,910 being virtual (43.17%). The rates of virtual consultation were higher in urban areas and the most affluent areas, for older persons, chronic complex patients and people with more advantageous socioeconomic positions. The best multilevel model conducted showed inequalities by socioeconomic position and area of residence. There are individual and area inequalities in the use of teledermatology. As this tool should improve equity of access, teledermatology interventions must address and adapt to the needs of the local patient population. Full article
(This article belongs to the Section Digital Health Technologies)
Show Figures

Figure 1

Back to TopTop